Закономерности формирования подвижных локализованных магнитных конфигураций и технология изготовления структур для реализации элементов магнитной памяти
- Авторы: Проказников А.В.1, Папорков В.А.2, Чириков В.А.2, Евсеева Н.А.2
-
Учреждения:
- Ярославский филиал Физико-технологического института им. К.А. Валиева РАН
- Ярославский государственный университет им. П.Г. Демидова
- Выпуск: Том 52, № 5 (2023)
- Страницы: 390-403
- Раздел: ПАМЯТЬ
- URL: https://journals.rcsi.science/0544-1269/article/view/138566
- DOI: https://doi.org/10.31857/S0544126923700485
- EDN: https://elibrary.ru/PYWZNO
- ID: 138566
Цитировать
Полный текст
Аннотация
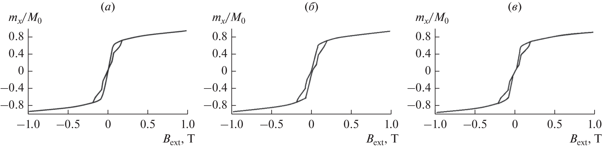
На основании компьютерного моделирования и анализа технологических, экспериментальных и теоретических результатов сформулированы технологические требования к формированию электронных устройств, базирующихся на магнитных вихрях и скирмионах. Проведены оценки основных видов взаимодействий, определяемых технологическими факторами. Изучены конструктивные особенности электронных устройств на магнитных вихрях и скирмионах. Исследованы различные технологические подходы к изготовлению структур с разными свойствами магнитной анизотропии.
Об авторах
А. В. Проказников
Ярославский филиал Физико-технологического института им. К.А. Валиева РАН
Email: prokaznikov@mail.ru
Россия, Ярославль
В. А. Папорков
Ярославский государственный университет им. П.Г. Демидова
Email: prokaznikov@mail.ru
Россия, Ярославль
В. А. Чириков
Ярославский государственный университет им. П.Г. Демидова
Email: prokaznikov@mail.ru
Россия, Ярославль
Н. А. Евсеева
Ярославский государственный университет им. П.Г. Демидова
Автор, ответственный за переписку.
Email: prokaznikov@mail.ru
Россия, Ярославль
Список литературы
- Everschor-Sitte Masell J., Reeve R.M., Klaui M. Perspective: Magnetic skyrmions − Overview of recent progress in an active research field // Jour. Appl. Phys. 2018. V. 124. P. 240901.
- Krishnan K.M. Fundamentals and applications of magnetic materials. Oxford University Press. NY, USA. 2016. 794 p.
- Zang J., Cros V., Hoffmann A. (eds). Topology in Magnetism. Springer series in Solid State Science. V. 192. Springer International Company. 2018. Springer. Schwitzerland. 416 p.
- Guimaraes A.P. Principles of Nanomagnetism. 2017. Springer International Publishing AG. Schwitzerland. 330 p.
- Gaididai Y., Kravchuk V.P., Sheka D.D. Curvature effect in thin magnetic shells. // Phys. Rev. Lett. 2014. V. 112. P. 257203.
- Gaididai Y., Kravchuk V.P., Sheka D.D. Curvature effects in statics and dynamics of low dimensional magnets. // Journ. Phys. A: Math. and Theor. 2015. V. 48. P. 125202.
- Абрикосов А.А. Основы теории металлов. М.: Наука, 1987. 520 с.
- Шмидт В.В. Введение в физику сверхпроводников. М.: МЦНМО, 2000. 402 с.
- Prange R.E., Girvin S.M. The Quantum Hall Effect. Springer-Verlag, NY, Berlin, Heidelberg, 1990. 463 p.
- Lejnell K., Karlhede A., Sondhi S.L. Phys. Rev. B. Effective-action studies of quantum Hall spin textures // 1999. V. 59. № 15. P. 10183–10192.
- Das S., Tang Y.L., Hong Z., Gonçalves M.A.P., McCarter M.R., Klewe C., Nguyen K.X., Gómez-Ortiz F., Shafer P., Arenholz E., Stoica V.A., Hsu S.-L., Wang B., Ophus C., Liu J.F., Nelson C.T., Saremi S., Prasad B., Mei A.B., Schlom D. G., Íñiguez J., García-Fernández P., Muller D.A., Chen L.Q., Junquera J., Martin L.W., Ramesh R. Observation of room-temperature polar skyrmions // Nature. 2019. V. 568. P. 368–372.
- Rayfield G.W., Reif F. Quantized Vortex Rings in Superfluid Helium // Phys. Rev. 1964. V. 136. № 5A. P. A1194–A1208.
- Eto M., Hirono Y., Nitta M., Yasui S. Vortices and other topological solitons in dense quark matter. // Prog. Theor. Exp. Phys. 2014. P. 012D01.
- Orlando T.P., Mooij J.E., Tian L., Van der Wal C.H., Levitov L.S., Lloyd S., Mazo J.J. Superconducting persistent-current qubit. // Phys. Rev. B. 1999. V. 60. № 22. P. 15398–15413.
- Shcherbakova A.V., Fedorov K.G., Shulga K.V., Ryazanov V.V., Bolginov V.V., Oboznov V.A., Egorov S.V., Shkolnikov V.O., Wolf M.J., Beckman D., Ustinov A.V. Fabrication and measurements of hybrid Nb/Al Josephson junctions and flux qubits with π-shifters // Supercond. Sci. Technol. 2015. V. 28. P. 025009.
- Ружицкий В.И. Новые физические подходы к решению задачи масштабирования элементной базы цифровой сверхпроводниковой электроники. Диссертация на соискание ученой степени кандидата физико-математических наук. Москва. МГУ им. М.В. Ломоносова. 2021. 121 с.
- Калентьева И.Л., Вихрова О.В., Данилов Ю.А., Дорохин М.В., Дудин Ю.А., Здоровейщев А.В., Кудрин А.В., Тимирязева М.П., Тимирязев А.Г., Никитов С.А., Садовников А.В. Модифицирование магнитных свойств сплава CoPt путем ионного облучения // ФТТ. 2019. Т. 61. № 9. С. 1694–1699.
- Калентьева И.Л., Вихрова О.В., Данилов Ю.А., Здоровейщев А.В., Здоровейщев Д.А., Дорохин М.В., Дудин Ю.А., Кудрин А.В., Тимирязева М.П., Тимирязев А.Г., Садовников А.В., Юнин П.А. Формирование скирмионных состояний в ионно- облученных тонких пленках CoPt. // 2022. Т. 64. № 9. С. 1304–1310.
- Tsvelik A.M. Quantum Field Theory in Condensed Matter Physics. Cambridge University Press. NY, 1998.
- Kardar M. Statistical Physics of Fields. Cambridge University Press. NY, 2007.
- Metlov K.L. Magnetization patterns in ferromagnetic nanoelements as function of complex variables. // 2010. Phys. Rev. Lett. 105. P. 107201.
- Carvalho-Santos V.L., Elias R.G., Altbir D., Fonesca J.M. Stability of scirmions on curved surfaces in the presence of magnetic field // Journ. Magn. Magn. Mat. 2015. V. 391. P. 179–183.
- Vilas-Boas P.S.C., Elias R.G., Altbir D., Fonesca J.M., Carvalho-Santos V.L. Topological magnetic solitons on a paraboloidal shell // Phys. Lett. A. 2015. 379. P. 47–53.
- Sheka D.D., Kravchuk V.P., Gaididei Y. Curvature effects in statics and dynamics of low dimentional magnets // Journ. Phys. A: Math. and Theor. 2015. V. 48. P. 25202.
- Vansteenkiste A., Leliaert J., Dvornik M., Helsen M., Garsia-Sanchez F., B. Van Waeyenberge F. The design and verification of MuMax3 // AIP Advances. 2014. V. 4. P. 107133.
- Lopez-Diaz L., Aurelio D., Torres L., Martinez E., Hernandez-Lopez M.A., Gomez J., Alejos O., Carpentieri M., Finocchio G., Consolo G. Micromagnetic simulations using Graphics Processing Units // J. Phys. D: Appl. Phys. 2012. V. 45 P. 323001.
- Zhang S., Li Z. Roles of Nonequilibrium Conduction Electrons on the Magnetization Dynamics of Ferromagnets // Phys. Rev. Lett. 2004. V. 93. P. 127204.
- Leliaert J., Dvornik M., Mulkers J., De Clercq J., Milošević M.V., Van Waeyenberge B. Fast micromagnetic simulations on GPU − recent advances made with mumax3 // J. Phys. D: Appl. Phys. 2018. V. 51. P. 123002.
- Leliaert J., Mulkers J., De Clercq J., Coene A., Dvornik M., Van Waeyenberge B. Adaptively time stepping the stochastic Landau-Lifshitz-Gilbert equation at nonzero temperature: Implementation and validation in MuMax3 // AIP Advances. 2017. V. 7. P. 125010.
- Gaididei Y.B., Kravchuk V.P., Sheka D.D., Martens F.G. Switching phenomena in magnetic vortex dynamics // Low Temp. Phys. 2008. V. 34. № 7. P. 528–534.
- Prokaznikov A.V., Paporkov V.A., Chirikov V.A. Controlling the Position of a Magnetic Vortex on a Nanostructured Surface in Magnetic Memory Elements // Russian Microelectronics. 2022. V. 51. № 1. P. 1–15.
- Liu L., Chen W., Zhen Y. Current-driven skyrmion motion beyond linear regime: interplay between skyrmion transport and deformation. // Phys. Rev. Appl. 2020. V. 14. P. 024077. https://doi.org/10.1103/PhysRevApplied.14.024077
- Vojkovic S., Carvalho-Santos V.L., Fonesca J.M., Nunez A.S. Vortex-antivortex pairs nduced by curvature in toroidal nanomagnets. // Journ. Appl. Phys. 2017. V. 121. P. 113906.
- Lebib A., Li S.P., Natali M., Chen Y. Size and thickness dependences of magnetization reversal in Co dot arrays. // Journ. Appl. Phys. 2001. V. 89. № 7. P. 3892–3896.
- Cowburn R.P., Koltsov D.K., Adeyeye A.O., Welland M.E. Single-Domain Circular Nanomagnets. // Phys. Rev. Lett. 1999. V. 83. № 5. P. 1042–1045.
- Rothman J., Klaui M., Lopez-Diaz L., Vaz C.A.F., Bleloch A., Bland J.A.C., Cui Z., Speaks R. Observation of a Bi-Domain State and Nucleation Free Switching in Mesoscopic Ring Magnet // Phys. Rev. Lett. 2001. V. 86. № 6. P. 1098–1101.
- Park Y.-K., Kim D.-Y., Kim J.-S., Nam Y.-S., Park M.-H., Choi H.-C., Min B.-C., Choe S.-B. // Experimental observation of the correlation between the interfacial Dzyaloshinskii–Moriya interaction and work function in metallic magnetic trilayers. NPG Asia Materials. 2018. 10: 995–1001. https://doi.org/10.1038/s41427-018-0090-x
- Dai Y.Y., Wang H., Tao P., Yang T., Ren W.J., Zhang Z.D. Skyrmion ground state and gyration of skyrmions in magnetic nanodisks without the Dzyaloshinsky-Moriya interaction. // Phys. Rev. B. 2013. V. 88. P. 054403.
- Nozaki T., Konoto M., Nozaki T., Kubota H., Fukushima A., Yuasa S. Control of the magnetic domain of Pt/Co/Ru/MgO multilayer: Effect of Co thickness and Ru insertion // AIP Advances. 2020. V. 10. P. 035130. https://doi.org/10.1063/1.5136044
- Gweon H.K., Park H.-J., Kim K.-W., Lee K.-J., Lim S.H. Intrinsic origin of interfacial second-order magnetic anisotropy in ferromagnet/normal metal heterostructures // NPG Asia Materials (2020) 12:23. https://doi.org/10.1038/s41427-020-0205-z
- Carcia P.F., Meinhaldt A.D., Suna A. Perpendicular magnetic anisotropy in Pd/Co thin film layered structures // Appl. Phys. Lett. 1985. V. 47. P. 178–180. https://doi.org/10.1063/1.96254
- Vogel A., Drews A., Kamionka T., Bolte M., Mayer G. Influence of dipolar interaction on vortex dynamics in arrays of ferromagnetic disks // Phys. Rev. Lett. 2010. V. 105. P. 037201.
- Шульга К.В. Микроволновое исследование сверхпроводящих когерентных систем и квантовых метаматериалов. Дис. ... канд. физ.-мат. н. Москва, 2017. 115 с.
- Wallraff A., Kemp A., Ustinov A.V. Quantum Dynamics of Vortices and Quantum Qubits. P. 162–185 in book: Beth T., Leuchs G. (eds). Quantum Information Processing. 2005. Wiley-VCH Verlag GmbH & Ko. KGaA. Weinheim. 424 p.
- Wang J., Zhang J., Shimada T., Kitamura T. Effect of strain on the evolution of magnetic multi-vortices in ferromagnetic nano-platelets // Journ. Phys.: Cond. Matter. 2013. V. 25. P. 226002
- Sandratskii L.M. Insight into the Dzyaloshinskii-Moriya interaction through first- principles study of chiral magnetic structures // Phys. Rev. B. 2017. V. 96. P. 024450.
- Udvardi L. Szunyogh L., Palota’s K., Weinberger P. First-principles relativistic study of spin waves in thin magnetic films // Phys. Rev. B. 2003. V. 68. P. 104436.
- Cardias R., Szilva A., Bezerra-Neto M.M., Ribeiro M.S., Bergman A., Kvashnin Y.O., Fransson J., Klautau A.B., Eriksson O., Nordström L. First principles Dzyaloshinskii–Moriya interaction in a non-collinear framework // Sci. Rep. 2020. 10:20339.
- Prokaznikov A.V., Paporkov V.A. Study of the magneto-optical properties of structures on curved surfaces for creating memory elements on magnetic vortices // Russian Microelectronics. 2020. V. 49. № 5. P. 358–371.
- Prokaznikov A.V., Paporkov V.A., Selyukov R.V., Vasilev S.V., Savenko O.V. Magneto-Optical Properties of Multilayer Structures Based on Cobalt and Chromium- Group Metals for Magnetic Memory Elements // Russian Microelectronics. 2022. V. 51. № 6. P. 454–464.
- Tejo F., Riveros A., Escrig J., Guslienko K.Y., Chubykalo-Fesenko O. Distinct magnetic field dependence of Neel skyrmion sizes in ultrathin nanodots // Sci. Reports. 2018. V. 8. P. 6280.
- Jaehun Cho, Nam-Hui Kim, Sukmock Lee, June-Seo Kim, Reinoud Lavrijsen, Aurelie Solignac, Yuxiang Yin, Dong-Soo Han, Niels J.J. van Hoof, Henk J.M. Swagten Bert Koopmans, Chun-Yeol You. Thickness dependence of the interfacial Dzyaloshinskii–Moriya interaction in inversion symmetry broken systems. // Nature Commun. 2015. V. 6. P. 7635.
- Ourdani D., Roussigné Y., Chérif S.M., Gabor M.S., Belmeguenai M. Dependence of the interfacial Dzyaloshinskii–Moriya interaction, perpendicular magnetic anisotropy and damping in Co-based systems on the thickness of Pt and Ir layers // Phys. Rev. B. 2021. V. 104. P. 104421.
- Давыдов А.С. Теория твердого тела. М.: Наука, 1976. 639 с.
- Kundu A., Zhang S. Dzyaloshinskii-Moriya interaction mediated by spin-polarized band with Rashba spin-orbit coupling // Phys. Rev. B. 2015. V. 92. P. 094434.
- Büttner F., Lemesh I., Beach G.S.D. Theory of isolated magnetic skyrmions: from fundamentals to room temperature applications // Sci. Rep. 2018. V. 8. P. 4464.
- Lai P., Zhao G.P., Tang H., Ran N., Wu S.Q., Xia J., Zhang X., Zhou Y. An Improved Racetrack Structure for Transporting a Skyrmion // Sci. Rep. 2017. V. 7. P. 45330.
- Blundell S. Magnetism in Condensed Matter. Oxford University Press Inc. Oxford, NY. 2001. 238 p.
- Büscher C., Auerswald T., Scheer E., Schröder A. Löhneysen H. Claus H. Ferromagnetic transition in dilute Fe–Pd alloys // Phys. Rev. B. 1992. V. 46. № 2. P. 983–989.
- Столяров В.С. Исследование сверхпроводящих джозефсоновских контактов с туннельным и ферромагнитным слоями. Дис. ... канд. физ.-мат. н. Черноголовка, 2012. 182 с.
- Tangwatanakul W., Chokprasombat K., Sirisathitkul C., Jantaratana P., Sirisathitku Y. Magnetic phase transition of annealed FePt based nanoparticles synthesized by using Fe(b-diketonate)3 // Journ. Alloys and Compounds. 2016. V. 654. P. 234–239.
- Камзин А.С., Wei F., Ганеев В.Р., Вилиуллин А.А., Зарипова Л.Д. Микроструктура и магнитные свойства многослойных структур [Fe/Pt]n, полученных методом последовательного напыления // ФТТ. 2013. Т. 55. Вып. 9. С. 1743–1748.
- Lyubina J., Rellinghaus B., Gutfleisch O., Albrecht M. Structure and Magnetic Properties of L10-Ordered Fe–Pt Alloys and Nanoparticles. In: Handbook of Magnetic Materials. 2011. V. 19. Elsevier. London. P. 291–407. https://doi.org/10.1016/S1567- 2719(11)19005-8.
Дополнительные файлы











