Investigation of ways to synthesize concurrent error-detection circuits based on boolean signals correction using uniform separable codes
- Authors: Efanov D.V.1,2,3,4, Yelina E.I.1
-
Affiliations:
- Peter the Great Saint Petersburg Polytechnic University
- Russian University of Transport
- Tashkent State Transport University
- «Transport and Construction Safety» LLC
- Issue: Vol 53, No 5 (2024)
- Pages: 413-426
- Section: МОДЕЛИРОВАНИЕ
- URL: https://journals.rcsi.science/0544-1269/article/view/281164
- DOI: https://doi.org/10.31857/S0544126924050079
- ID: 281164
Cite item
Abstract
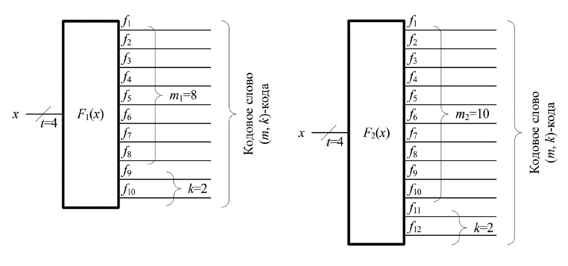
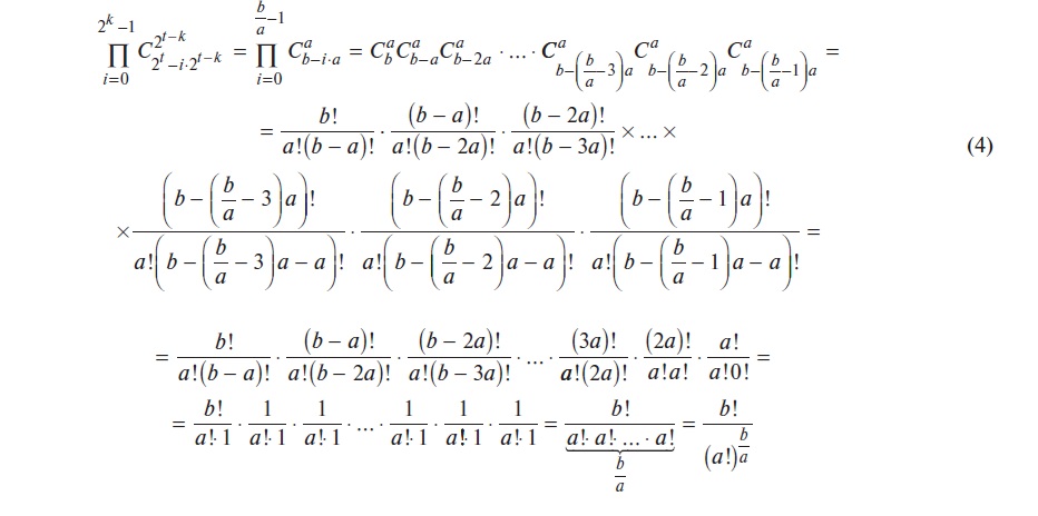
The features of the synthesis of concurrent error-detection circuit based on the Boolean signals correction using uniform separable codes are investigated. Three types of structures are considered: type I – structure with correction of part of the signals from the outputs of the diagnostic object forming the check symbols of a given code in the concurrent error-detection circuit; type II – structure with correction of part of the signals from the outputs of the diagnostic object forming the data symbols of a given code in the concurrent error-detection circuit; type III – structure with signal correction from all outputs of the diagnostic object. For structures of all types, formulas are given for determining the number of ways to synthesize concurrent error-detection circuit based on the Boolean signals correction using a given code. New properties of structures have been established that characterize the features of the growth in the number of methods for synthesizing concurrent error-detection circuit with an increase in the number of outputs forming data and check symbols. Patterns have been found that allow in practice to estimate the number of ways to synthesize concurrent error-detection circuit based on the Boolean signals correction using uniform separable codes in order to select the best one according to specified criteria. Examples are given to demonstrate the effectiveness of using the found patterns.
Full Text

About the authors
D. V. Efanov
Peter the Great Saint Petersburg Polytechnic University; Russian University of Transport; Tashkent State Transport University; «Transport and Construction Safety» LLC
Author for correspondence.
Email: TrES-4b@yandex.ru
Russian Federation, St. Petersburg; Moscow; Uzbekistan, Tashkent; St. Petersburg
E. I. Yelina
Peter the Great Saint Petersburg Polytechnic University
Email: eseniya-elina@mail.ru
Russian Federation, St. Petersburg
References
- Sogomonyan E.S. and Slabakov E.V. Self-Checking Devices and Fault-Tolerant Systems // in Moscow: Radio i Svyaz’, pp. 208, 1989 (in Russian).
- Mikoni S. Top Level Diagnostic Models of Complex Objects // Lecture Notes in Networks and Systems. – 2022. – Vol. 442. – Pp. 238–249. doi: 10.1007/978-3-030-98832-6_21.
- Drozd A., Kharchenko V., Antoshchuk S., Sulima J., Drozd M. Checkability of the Digital Components in Safety-Critical Systems: Problems and Solutions // Proceed-ings of 9th IEEE East-West Design & Test Symposium (EWDTS’2011), Sevastopol, Ukraine, 2011, pp. 411–416. doi: 10.1109/EWDTS.2011.6116606.
- Drozd O., Perebeinos I., Martynyuk O., Zashcholkin K., Ivanova O., Drozd M. Hidden Fault Analysis of FPGA Projects for Critical Applications // Proceedings of the IEEE International Conference on Advanced Trends in Radioelectronics, Tele-communications and Computer Engineering (TCSET), 25–29 February 2020, Lviv-Slavsko, Ukraine, paper 142. doi: 10.1109/TCSET49122.2020.235591.
- Göessel M., Ocheretny V., Sogomonyan E., Marienfeld D. New Methods of Con-current Checking: Edition 1. – Dordrecht: Springer Science+Business Media B.V., 2008, 184 p.
- Borecký J., Kohlík M., Kubátová H. Parity Driven Reconfigurable Duplex System // Microprocessors and Microsystems. – 2017. – Vol. 52. – Pp. 251–260, doi: 10.1016/j.micpro.2017.06.015.
- Tshagharyan G., Harutyunyan G., Shoukourian S., Zorian Y. Experimental Study on Hamming and Hsiao Codes in the Context of Embedded Applications // Proceed-ings of 15th IEEE East-West Design & Test Symposium (EWDTS’2017), Novi Sad, Serbia, September 29 – October 2, 2017, pp. 25–28. doi: 10.1109/EWDTS.2017.8110065.
- Sapozhnikov V.V., Sapozhnikov Vl.V., Efanov D.V. Summation codes for technical diagnostics systems. Vol. 1: Classical Berger codes and their modifications. – M.: Nauka, 2020, 383 p. (in Russian).
- Sapozhnikov V.V., Sapozhnikov Vl.V., Efanov D.V. Summation codes for technical diagnostics systems. Vol. 2: Weighted codes with summation. – M.: Nauka, 2021, 455 p. (in Russian).
- Stempkovsky A.L., Zhukova T.D., Telpukhov D.V., Gurov S.I. CICADA: A New Tool to Design Circuits with Correction and Detection Abilities // International Siberian Conference on Control and Communications (SIBCON), 13-15 May 2021, Kazan, Russia pp. 1–5. doi: 10.1109/SIBCON50419.2021.9438900.
- Nicolaidis M. On-Line Testing for VLSI: State of the Art and Trends // Integra-tion, the VLSI Journal, 1998, Vol. 26, Issues 1-2, pp. 197–209. doi: 10.1016/S0167-9260(98)00028-5.
- Mitra S., McCluskey E.J. Which Concurrent Error Detection Scheme to Сhoose? // Proceedings of International Test Conference, 2000, USA, Atlantic City, NJ, 03–05 October 2000, pp. 985–994. doi: 10.1109/TEST.2000.894311.
- Efanov D.V., Sapozhnikov Vl.V. and Sapozhnikov Vl.V. On Summation Code Properties in Functional Control Circuits // Automation and Remote Control, 2010, no. 6, pp. 155–162. (in Russian).
- Goessel M., Morozov A.V., Sapozhnikov Vl.V. and Sapozhnikov V.V. Checking Combinational Circuits by the Method of Logic Complement // Automation and Remote Control, vol. 66, No 8, pp. 1336–1346, 2005. (in Russian).
- Gessel M., Morozov A.V., Sapozhnikov V.V. and Sapozhnikov V.V. Logic Complement a New Method of Checking the Combinational Circuits // Automation and Remote Control, vol. 64, No 1, pp. 153–161, 2003 (in Russian).
- Sen S.K. A Self-Checking Circuit for Concurrent Checking by 1-out-of-4 code with Design Optimization using Constraint Don’t Cares // National Conference on Emerging trends and advances in Electrical Engineering and Renewable Energy (NCEEERE 2010), Sikkim Manipal Institute of Technology, Sikkim, held during 22–24 December, 2010.
- Das D.K., Roy S.S., Dmitiriev A., Morozov A., Gössel M. Constraint Don’t Cares for Optimizing Designs for Concurrent Checking by 1-out-of-3 Codes // Pro-ceedings of the 10th International Workshops on Boolean Problems, Freiberg, Ger-many, September, 2012, pp. 33–40.
- Pivovarov D.V. Formation of Concurrent Error Detection Systems in Multiple-Output Combinational Circuits Using the Boolean Complement Method Based on Constant-Weight Codes // Transport Automation - 2018. – Vol. 4. – No 1. – pp. 131–149 (in Russian).
- Morozov M., Saposhnikov V.V., Saposhnikov V.V., Goessel M. New Self-Checking Circuits by Use of Berger-codes // Proceedings of 6th IEEE International On-Line Testing Workshop, Palma De Mallorca, Spain, 3–5 July 2000, pp. 171–176.
- Efanov D.V., Sapozhnikov V.V., Sapozhnikov Vl.V. The Self-Checking Concur-rent Error-Detection Systems Synthesis Based on the Boolean Complement to the Bose-Lin Codes with the Modulo Value M=4 // Electronic Modeling. – 2021. – Vol. 43. – Issue 1. – Pp. 28–45. doi: 10.15407/emodel.43.01.028.
- Efanov D.V., Zueva M.V. Hsiao Codes Properties in Discrete Devices Technical Diagnostics Systems // Programmnaya Ingeneria, 2023, vol. 14, No 7, pp. 339—349. doi: 10.17587/prin.14.339-349 (in Russian).
- Saposhnikov Vl.V., Dmitriev A., Goessel M., Saposhnikov Vl.V. Self-Dual Parity Checking – a New Method for on Line Testing // Proceedings of 14th IEEE VLSI Test Symposium, USA, Princeton, 1996, pp. 162–168.
- Gessel M., Dmitriev A.V., Sapozhnikov Vl.V., Sapozhnikov V.V. Fault detection in combinational circuits using self-dual control // Automation and telemechanics, 2000, No 7, pp. 140–149 (in Russian).
- Efanov D., Sapozhnikov V., Sapozhnikov Vl., Osadchy G., Pivovarov D. Self-Dual Complement Method up to Constant-Weight Codes for Arrangement of Combi-national Logical Circuits Concurrent Error-Detection Systems // Proceedings of 17th IEEE East-West Design & Test Symposium (EWDTS’2019), Batumi, Georgia, September 13–16, 2019, pp. 136–143. doi: 10.1109/EWDTS.2019.8884398.
- Efanov D.V., Pivovarov D.V. The Hybrid Structure of a Self-Dual Built-In Control Circuit for Combinational Devices with Pre-Compression of Signals and Checking of Calculations by Two Diagnostic Parameters // Proceedings of 19th IEEE East-West Design & Test Symposium (EWDTS’2021), Batumi, Georgia, September 10–13, 2021, pp. 200–206. doi: 10.1109/EWDTS52692.2021.9581019.
- Pashukov A.V. Application of weight-based sum codes at the synthesis of circuits for built-in control by Boolean complement method // Automation in transport. – 2022. – Vol. 8. – No 1. – pp. 101–114. doi: 10.20295/2412-9186-2022-8-01-101-114 (in Russian).
- Efanov D.V., Yelina Y.I. Study of algorithms for synthesis of self-checking digital devices based on Boolean correction of signals using weighted Bose—Lin codes // Automation in transport. – 2024. – Vol.10. – No 1. – pp. 74–99. doi: 10.20296/2412-9186-2024-10-01-74-99. (in Russian).
- Efanov D.V. The Synthesis of Self-Checking Combinational Devices on the Basis of Codes with the Effective Symmetrical Error Detection // Information technology. – 2023. – Vol. 29. – No 10. – pp. 503–511. doi: 10.17587/it.29.503-511. (in Russian).
- Efanov D.V., Yelina Y.I. Synthesis of Concurrent Error-Detection Circuits Based on Boolean Signals Correction Using Modular Weight-Based Sum Codes // Proceedings of the 2024 Conference of Young Researchers in Electrical and Electronic Engineering (EICon), 29–30 January 2024, St. Petersburg, Russia, pp. 350–355. doi: 10.1109/ElCon61730.2024.10468328.
- Sapozhnikov V.V., Sapozhnikov Vl.V., Efanov D.V. Hamming codes in concurrent error detection systems of logic devices / Monograph. – St. Petersburg: Nauka, 2018, 151 p. (in Russian).
Supplementary files
