Согласование параметров термоэлектрической системы охлаждения теплонагруженных элементов электроники
- Авторы: Васильев Е.Н.1
-
Учреждения:
- Институт вычислительного моделирования Сибирского отделения Российской академии наук
- Выпуск: Том 53, № 5 (2024)
- Страницы: 407-412
- Раздел: МОДЕЛИРОВАНИЕ
- URL: https://journals.rcsi.science/0544-1269/article/view/281162
- DOI: https://doi.org/10.31857/S0544126924050068
- ID: 281162
Цитировать
Полный текст
Аннотация
Рассмотрена термоэлектрическая система охлаждения и терморегулирования электронных устройств. На основе математической модели, использующей в качестве исходных данных рабочие характеристики серийного термоэлектрического модуля, проведены расчеты энергетических характеристик термоэлектрической системы охлаждения с учетом ее термических сопротивлений. Результаты расчетов представлены в виде диаграмм, которые позволяют производить согласованный выбор термических сопротивлений системы, обеспечивающий заданные значения холодопроизводительности и температурного перепада.
Полный текст
1. Введение
Одним из важнейших факторов, необходимых для обеспечения ресурса и стабильности функционирования радиоэлектронной аппаратуры, является поддержание оптимального температурного режима всех её элементов. Для выполнения этой задачи используются различные методы и технические средства. Отвод теплоты от теплонагруженных элементов может осуществляться механизмами излучения и конвекции [1, 2], для более эффективного охлаждения за счет теплопроводности, используются современные материалы, имеющие коэффициент теплопроводности в несколько раз превышающий соответствующее значение для меди [3, 4]. В то же время эти методы зачастую не имеют достаточной эффективности охлаждения и требуемой точности поддержания заданного температурного режима. Термоэлектрические системы охлаждения и терморегулирования являются перспективными для обеспечения оптимальных тепловых режимов электроники [5–7]. Они дают возможность плавного и точного регулирования температуры, а также прецизионного термостатирования [8]. Термоэлектрические устройства имеют ряд преимуществ по сравнению с другими системами охлаждения и терморегулирования: высокую надежность, отсутствие движущихся частей, практически неограниченный ресурс работы, небольшие габариты и вес, малую инерционность, независимость от ориентации в пространстве.
Основной задачей термоэлектрической системы охлаждения и терморегулирования является поддержание заданной температуры электронного устройства, имеющего мощность тепловыделения Q. Выбор оптимальной конструкции системы охлаждения является достаточно сложной и неоднозначной задачей, поскольку зависит от целого набора исходных параметров, характеризующих отдельные элементы конструкции. Причем взаимное тепловое влияние этих элементов имеет нелинейный характер, поэтому наибольшая эффективность работы системы охлаждения достигается при согласованном наборе параметров, обеспечивающем минимизацию тепловых потерь. В работе [9] был проведен анализ влияния термических сопротивлений на характеристики процесса охлаждения, направленный на обоснование выбора оптимального термоэлектрического модуля (ТЭМ) для системы охлаждения. При этом было показано, что применение высокопроизводительного ТЭМ не дает автоматического повышения эффективности системы охлаждения, оно может быть обеспечено только при выполнении достаточно жестких требований к величине термических сопротивлений. Помимо выбора оптимального ТЭМ важной задачей при разработке термоэлектрической системы охлаждения и терморегулирования является согласованный выбор ее основных параметров. В настоящей работе представлена методика согласования, которая обосновывает выбор такого соотношения термических сопротивлений и рабочих характеристик ТЭМ, при которых обеспечиваются заданные значения холодопроизводительности и температурного перепада.
2. Конструкция термоэлектрической системы охлаждения и терморегулирования
Схема термоэлектрической системы охлаждения и терморегулирования приведена на рис. 1. Теплота от теплонагруженного элемента 1 с мощностью тепловыделения Q передается на холодную сторону ТЭМ через два тепловых контакта и теплораспределитель 2, которые имеют суммарное термическое сопротивление RТ. Теплораспределитель, обычно представляющий собой прямоугольную пластину из материала с высоким коэффициентом теплопроводности, необходим для выравнивания распределения тепловой мощности, поступающей от теплонагруженного элемента на поверхность термоэлектрического модуля при несоответствии их поперечных размеров. Термоэлектрический модуль 3 отводит тепловую мощность Q и обеспечивает при собственном энергопотреблении W заданный перепад температуры ΔT0 между основанием теплонагруженного элемента и внешней средой. Устройство отвода теплоты 4, имеющее термическое сопротивление RS, передает теплоту Q + W с горячей стороны ТЭМ во внешнюю среду.
Рис. 1. Схема термоэлектрической системы охлаждения и терморегулирования: 1 — теплонагруженный элемент, 2 — теплораспределитель, 3 — термоэлектрический модуль, 4 — устройство отвода теплоты.
Термическое сопротивление теплораспределителя зависит от материала и размеров теплонагруженного элемента, для медного теплораспределителя 40 × 40 мм2 его минимальное термическое сопротивление составляет примерно 0.03 K/W при размере элемента 22.5 × 22.5 мм2 [10]. Значение термического сопротивления тепловых контактов зависит от теплопроводности наполнителя, толщины и площади зазора. При использовании стандартной термопасты КПТ-8 с коэффициентом теплопроводности λ = 0.85 Вт/мК величина термического сопротивления R = = δ/(λS) при толщине слоя δ = 0.1–0.2 мм составит 0.074–0.15 К/Вт для площади контакта S = 40 × 40 мм2 и 0.23–0.46 К/Вт для площади контакта S = 22.5 × 22.5 мм2. Значение R может быть существенно снижено при использовании паяных контактов, так низкотемпературный припой ПОСВ-50 имеет λ = 16 Вт/мК. Анализ возможных значений термического сопротивления устройства отвода теплоты RS приведена в [11, 12]. Характерный диапазон термического сопротивления устройств теплоотвода на основе воздушного теплообменника (кулера) составляет 0.1–0.5 К/Вт.
Расчет энергетических характеристик термоэлектрической системы охлаждения производился с помощью соотношения, связывающего общий температурный перепад ΔT0 между основанием теплонагруженного элемента и внешней средой с перепадами температур на отдельных элементах конструкции
ΔT0 = RTQ - ΔTТЕМ(I,Q)+Rs (Q + U(I ,Q)I ),
где U, I – напряжение и сила тока электропитания ТЭМ. Первое и третье слагаемые в правой части формулы соответствуют перепаду температуры в теплораспределителе и устройстве теплоотвода, второе слагаемое – разность температур между горячей и холодной сторонами ТЭМ. Зависимости U(I, Q) и ΔTТЭМ(I, Q) определяются на основе рабочих характеристик ТЭМ с помощью интерполяционных полиномов, методика расчета этих зависимостей представлена в [11, 13]. Для серийно выпускаемых ТЭМ их рабочие характеристики обычно приводятся в технической документации производителя. Вычислительная модель, основанная на численном решении нелинейной алгебраической системы уравнений, позволяет рассчитать энергетические характеристики термоэлектрической системы охлаждения для заданных значений исходных параметров RS, RT, ΔT0 и силы тока I. Расчеты проведены на примере серийного ТЭМ «S-199–14–11» с максимальными значениями холодопроизводительности Q = 124.2 Вт и перепада температуры ΔT = 72.5 К, достигаемыми при силе тока Imax = 7.9 А и напряжении Umax = 25.3 В [14].
Выбор режима работы ТЭМ и его согласование с другими параметрами системы охлаждения основывается на анализе энергетических характеристик с учетом заданной мощности тепловыделения теплонагруженного элемента и требуемого температурного перепада между основанием элемента и внешней средой. Такими энергетическими характеристиками являются холодопроизводительность и холодильный коэффициент, которые прежде всего зависят от силы тока электропитания ТЭМ. Из технической документации производителя известно, что максимальная холодопроизводительность отдельного ТЭМ достигается при значении силы тока Imax. Для термоэлектрической системы охлаждения в целом дополнительное влияние оказывают тепловые потери на термических сопротивлениях теплораспределителя, устройства теплоотвода и тепловых контактов. Эти потери приводят к ухудшению энергетических характеристик.
Величина холодопроизводительности численно равна тепловой мощности, которая будет отведена от теплонагруженного элемента при заданных параметрах системы охлаждения. Зависимость холодопроизводительности Q(I) для ΔT0 = –10 оС приведена на рис. 2 для следующих значений термических сопротивлений: 1 – RТ = 0.1 К/Вт, RS = 0.1 К/Вт, 2 – RТ = 0.3 К/Вт, RS = 0.1 К/Вт, 3 – RТ = 0.1 К/Вт, RS = 0.3 К/Вт, 4 – RТ = 0.3 К/Вт, RS = 0.3 К/Вт. Представленные зависимости Q(I) имеют максимумы, величина которых зависит от термических сопротивлений. Из сравнения графиков видно более существенное влияние изменения величины RS, это обусловлено тем, что через устройство теплоотвода во внешнюю среду помимо теплоты от теплонагруженного элемента дополнительно передается собственное тепловыделение ТЭМ. Значения силы тока, при которых достигаются максимумы Q, также в большей степени зависят от термического сопротивления RS. Значениям Q, которые ниже максимальных, соответствуют по два значения силы тока, более эффективный режим работы обеспечивается при меньшем значении силы тока, поскольку в этом случае собственное энергопотребление ТЭМ ниже.
Рис. 2. Зависимости Q(I) для ΔT0 = –10 оС: 1 – RТ = = 0.1 К/Вт, RS = 0.1 К/Вт, 2 – RТ = 0.3 К/Вт, RS = 0.1 К/Вт, 3 – RТ = 0.1 К/Вт, RS = 0.3 К/Вт, 4 – RТ = 0.3 К/Вт, RS = 0.3 К/Вт.
Значительное влияние на холодопроизводительность термоэлектрической системы оказывает степень охлаждения теплонагруженного элемента. Для сравнения на рис. 3 приведена зависимость Q(I) для ΔT0 = –20 оС и тех же значений термических сопротивлений: 1 – RТ = 0.1 К/Вт, RS = 0.1 К/Вт, 2 – RТ = 0.3 К/Вт, RS = 0.1 К/Вт, 3 – RТ = 0.1 К/Вт, RS = 0.3 К/Вт, 4 – RТ = 0.3 К/Вт, RS = 0.3 К/Вт. В данном случае характер зависимостей не изменился, но значения максимумов кривых от 27% (RS = 0.1 К/Вт) до 47% (RS = 0.3 К/Вт) ниже, чем на рис. 2. Следует отметить, что производители термоэлектрических систем в сопроводительной документации обычно предлагают в качестве оптимального параметра электропитания ТЭМ уровень напряжения или тока, составляющий 75% от максимальной величины [15, 16]. Рассчитанные зависимости Q(I) дают возможность определить с учетом термических сопротивлений оптимальные значения силы тока, которые могут существенно отличаться от рекомендации производителя. Так при RS = 0.3 К/Вт зависимости Q(I), приведенные на рис. 2 и 3 (синие линии), имеют максимумы в диапазоне силы тока 4.1–4.3 А, что существенно ниже рекомендованного значения I = 0.75 Imax ≈ 6 А.
Рис. 3. Зависимости Q(I) для ΔT0 = –20 оС: 1 – RТ = = 0.1 К/Вт, RS = 0.1 К/Вт, 2 – RТ = 0.3 К/Вт, RS = 0.1 К/Вт, 3 – RТ = 0.1 К/Вт, RS = 0.3 К/Вт, 4 – RТ = 0.3 К/Вт, RS = 0.3 К/Вт.
Энергетическая эффективность системы охлаждения определяется холодильным коэффициентом ε, который равен отношению холодопроизводительности Q к величине потребляемой электрической мощности W. Влияние термических сопротивлений на холодильный коэффициент исследовано в [17], где было установлено, что зависимости ε(I) имеют максимумы, величина и расположение которых существенно зависят от значений RS и RТ. Максимальные значения характеристик Q(I) и ε(I) характеризуют потенциал применяемого ТЭМ при заданных ΔT0, RТ и RS, поскольку позволяют определить предельно достижимый предел энергетической эффективности термоэлектрической системы охлаждения. Поэтому дальнейший анализ энергетических характеристик проведен применительно к максимальным значениям Qmax и εmax.
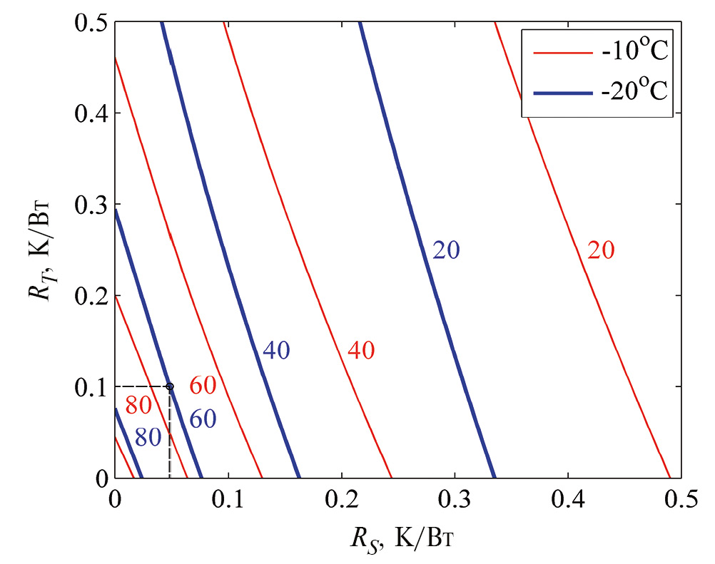
Результаты расчетов холодопроизводительности для значений ΔT = –10 оС и –20 оС приведены на плоскости RS – RТ в виде изолиний, на которых указаны соответствующие им значения Qmax в Ваттах (рис. 4). Данная диаграмма дает общую картину зависимости максимальной холодопроизводительности от термических сопротивлений термоэлектрической системы охлаждения и позволяет оценивать величины RS и RТ, при которых обеспечивается заданный температурный режим теплонагруженного элемента с известной мощностью тепловыделения. Так, например, для ΔT0 = –20 оС значение Q = 60 Вт может быть достигнуто при RТ = 0.1 К/Вт и RS ≈ 0.05 К/Вт, эти значения отмечены на рисунке штриховыми линиями, а место пересечения на изолинии выделено кружком. При этом каждой точке на изолинии соответствует своя согласованная пара значений RS и RТ. В то же время холодопроизводительность 60 Вт не может быть получена при RS > 0.08 К/Вт для ΔT0 = –20 оС и RS > 0.13 К/Вт для ΔT0 = –10 оС. Термическое сопротивление теплораспределителя в меньшей степени ограничивает величину холодопроизводительности, величина Q = 60 Вт не может быть получена при RT > 0.29 К/Вт для ΔT0 = –20 оС и RT > 0.46 К/Вт для ΔT0 = –10 оС. Более сильное ограничивающее влияние величины RS на холодопроизводительность объясняется увеличенным перепадом температуры в устройстве теплоотвода при отводе суммарной тепловой мощности Q + W. Из проведенного анализа следует, что представленная диаграмма позволяет определить диапазоны значений RS и RT, при которых достигается заданная холодопроизводительность термоэлектрической системы охлаждения. Определение силы тока, обеспечивающей заданную холодопроизводительность, производится с помощью зависимостей Q(I) (рис. 2).
Рис. 4. Диаграмма холодопроизводительности, на кривых указаны значения Qmax в Ваттах.
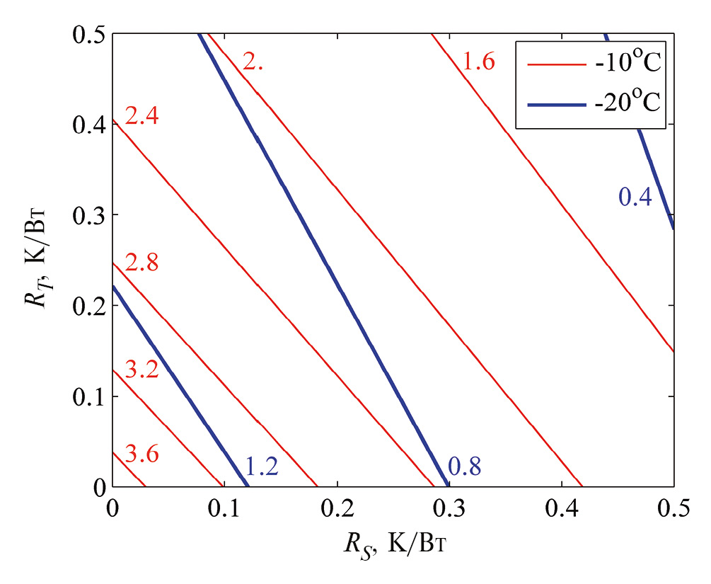
Как было показано выше, заданная холодопроизводительность может быть достигнута в определенных диапазонах термических сопротивлений теплораспределителя и устройства теплоотвода, но при этом возможны различные сочетания пар значений RS и RТ. Для выбора значений термических сопротивлений, соответствующих наибольшей эффективности системы охлаждения, на рис. 5 приведена диаграмма, на изолиниях которой указаны значения εmax. Значение холодильного коэффициента определяется по выбранной с помощью рис. 4 паре значений RS и RТ для заданного значения Q, так для выделенной на рис. 4 точки соответствующее ей значение εmax = 1.24. Изолинии εmax на большей части плоскости RS – RТ имеют меньший угол наклона к оси RS по сравнению с изолиниями Qmax, поэтому наиболее высокое значение холодильного коэффициента будет получено при RТ = 0, так в рассматриваемом случае изолинии Qmax = 60 Вт соответствует значение εmax = 1.33. Следует отметить, что на практике нулевые значения термического сопротивления не могут быть получены, поэтому при анализе следует исходить из значений RS и RТ для реальных конструкций теплораспределителя и устройства теплоотвода с массогабаритными параметрами, соответствующими техническим требованиям к термоэлектрической системе охлаждения. Дополнительно диаграммы холодопроизводительности и холодильного коэффициента позволяют рассчитать собственное энергопотребление ТЭМ, определяемое из соотношения W = Q/ε.
Рис. 5. Диаграмма холодильного коэффициента, на кривых указаны значения εmax.
Заключение
Таким образом, проведен анализ зависимостей холодопроизводительности от силы тока при различных значениях общего температурного перепада ΔT0 и термических сопротивлений RS и RТ. По результатам расчетов энергетических характеристик термоэлектрической системы охлаждения и терморегулирования получены диаграммы, отображающие на плоскости определяющих параметров RS – RТ изолинии максимальных значений холодопроизводительности и холодильного коэффициента. Диаграммы позволяют на этапе разработки проводить анализ энергетических характеристик и на этой основе осуществлять согласование параметров основных элементов, входящих в конструкцию термоэлектрической системы охлаждения.
Конфликт интересов
Автор заявляет об отсутствии конфликта интересов.
Об авторах
Е. Н. Васильев
Институт вычислительного моделирования Сибирского отделения Российской академии наук
Автор, ответственный за переписку.
Email: ven@icm.krasn.ru
Россия, Красноярск
Список литературы
- Мартюшев С.Г., Шеремет М.А. Два фактора, влияющие на интенсивность охлаждения тепловыделяющих элементов в герметичных блоках // Микроэлектроника. 2014. Т. 43. № 5. С. 390–398. https://doi.org/10.7868/S0544126914050056
- Boutina L., Bessaih R. Numerical simulation of mixed convection air-cooling of electronic components mounted in an inclined channel // Applied Thermal Engineering. 2011. V. 31. P. 2052–2062. https://doi.org/ 10.1016/j.applthermaleng.2011.03.021
- Глинский И.А., Зенченко Н.В. Расчет теплораспределяющего элемента конструкции для мощных СВЧ-транзисторов // Микроэлектроника. 2015. Т. 44. № 4. С. 269–274. https://doi.org/10.7868/S0544126915040055
- Зуев С.М., Прохоров Д.А., Малеев Р.А., Дебелов В.В., Лавриков А.А. Применение графена в системе охлаждения персональной электронно-вычислительной машины // Микроэлектроника. 2021. Т. 50. № 6. С. 445–452. https://doi.org/ 10.31857/S0544126921050094
- Chang Y.W., Chang C.C., Ke M.T., Chen S.L. Thermoelectric air-cooling module for Chang electronic devices // Applied Thermal Engineering. 2009. V. 29. № 13. P. 2731–2737. https://doi.org/10.1016/j.applthermaleng.2009.01.004
- Штерн М.Ю., Штерн Ю.И., Шерченков А.А. Термоэлектрические системы для обеспечения тепловых режимов вычислительной техники // Известия вузов. Сер. Электроника. 2011. № 4. С. 30–38.
- Васильев Е.Н. Термоэлектрическое охлаждение теплонагруженных элементов электроники // Микроэлектроника. 2020. Т. 49. № 2. С. 133–141. https://doi.org/ 10.31857/S054412692002009X
- Загороднов А.П., Якунин А.Н. Прецизионное термостатирование резонатора на объемных акустических волнах. Моделирование и синтез системы управления // Журнал радиоэлектроники. 2013. № 10. С. 1–14.
- Васильев Е.Н. О важности термических сопротивлений системы охлаждения при выборе термоэлектрического модуля // Журнал технической физики. 2023. Т. 93. № 5. С. 615–621. https://doi.org/10.21883/JTF.2023.05.55455.13–23
- Васильев Е.Н. Расчет термического сопротивления теплораспределителя системы охлаждения теплонагруженного элемента // Журнал технической физики. 2018. Т. 88. № 4. С. 487–491. https://doi.org/10.21883/JTF.2018.04.45714.2312
- Васильев Е.Н. Определение режимов термоэлектрического охлаждения теплонагруженных элементов электроники // Микроэлектроника. 2020. Т. 49. № 4. С. 297–303. https://doi.org/ 10.31857/S0544126920030072
- Васильев Е.Н. Оптимизация режимов термоэлектрического охлаждения теплонагруженных элементов с учетом термического сопротивления теплоотводящей системы // Журнал технической физики. 2017. Т. 87. № 9. С. 1290–1296. https://doi.org/ 10.21883/JTF.2017.09.44899.2094
- Васильев Е.Н. Расчет и оптимизация режимов термоэлектрического охлаждения теплонагруженных элементов // Журнал технической физики. 2017. Т. 87. № 1. С. 80–86. https://doi.org/10.21883/JTF.2017.01.44022.1725
- Электронный ресурс. Режим доступа: https://crystalltherm.com/upload/iblock/5af/1knj372x6ho3v82cwzufypmaktsqm4ph/TM_S_199_14_11_L2_SPEC.pdf
- Электронный ресурс. Режим доступа: http://kryotherm.ru/ru/assembly-instructions.html
- Электронный ресурс. Режим доступа: http://ecogenthermoelectric.com/ru/texnicheskaya-podderzhka.html
- Васильев Е.Н. Влияние термических сопротивлений на холодильный коэффициент термоэлектрической системы охлаждения // Журнал технической физики. 2021. Т. 91. № 5. С. 743–747. https://doi.org/10.21883/JTF.2021.05.50684.296–20
Дополнительные файлы







