Multilevel Memristive Structures Based on YBa2Cu3O7–δ Epitaxial Films
- Authors: Tulina N.A.1, Rossolenko A.N.1, Borisenko I.Y.2, Ivanov A.A.3
-
Affiliations:
- Osipyan Institute of Solid State Physics, Russian Academy of Sciences
- Institute of Microelectronics Technology and High-Purity Materials, Russian Academy of Sciences
- National Research Nuclear University, Moscow Engineering Physics Institute (MEPhI)
- Issue: Vol 52, No 4 (2023)
- Pages: 315-321
- Section: ПРИБОРЫ
- URL: https://journals.rcsi.science/0544-1269/article/view/138574
- DOI: https://doi.org/10.31857/S0544126923700382
- EDN: https://elibrary.ru/WDVNXM
- ID: 138574
Cite item
Full Text
Abstract
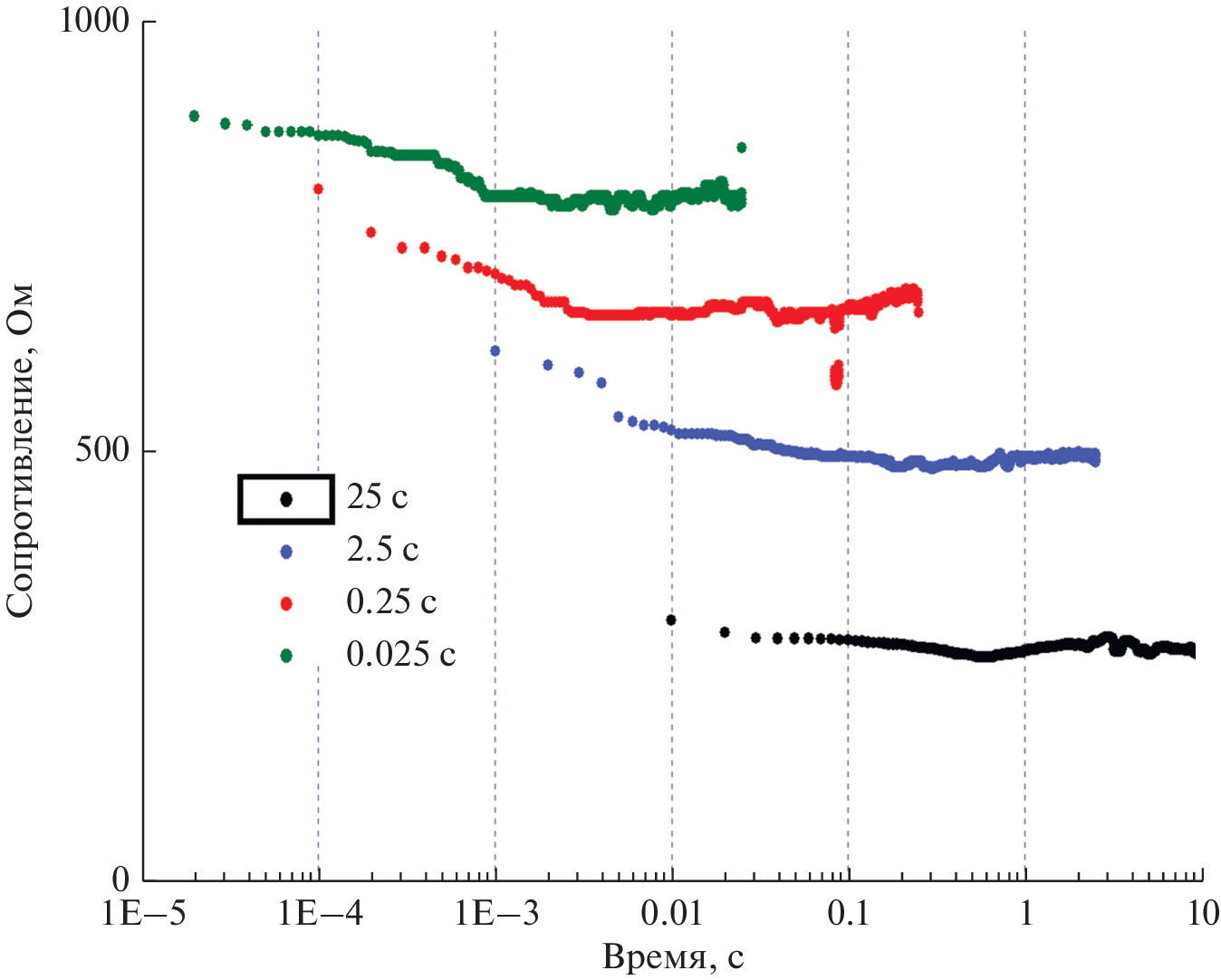
Pulse studies of transients in the effect of resistive switching in planar heterocontacts based on strongly correlated electronic systems are presented using the example of memristive transitions based on YBa2Cu3O7–δ. It is shown that the switching process is asymmetric with respect to switching to low-resistance and high-resistance metastable states; and switching times are regulated by the voltage level and can be less than microseconds; however, relaxation processes last several seconds. The ability to adjust switching times characterizes the plasticity of these devices as memory elements for neuromorphic applications. in spike neu-ral networks.
About the authors
N. A. Tulina
Osipyan Institute of Solid State Physics, Russian Academy of Sciences
Email: tulina@issp.ac.ru
Chernogolovka, Moscow Region, 142432 Russia
A. N. Rossolenko
Osipyan Institute of Solid State Physics, Russian Academy of Sciences
Email: tulina@issp.ac.ru
Chernogolovka, Moscow Region, 142432 Russia
I. Yu. Borisenko
Institute of Microelectronics Technology and High-Purity Materials, Russian Academy of Sciences
Email: tulina@issp.ac.ru
Chernogolovka, Moscow Region, 142432 Russia
A. A. Ivanov
National Research Nuclear University, Moscow Engineering Physics Institute (MEPhI)
Author for correspondence.
Email: tulina@issp.ac.ru
Moscow, 115409 Russia
References
- Yang J. Joshua, Dmitri B. Strukov, Duncan R. Stewart. Memristive devices for computing // Nature Materials. 2013. V. 8. P. 13.
- Wang C., Wu H., Gao B. et al. // Conduction mechanisms, dynamics and stability in ReRAMs: Microelectron. Eng., 2018. V. 187–188. P. 121.
- Li Y., Wang Z., Midya R., Xia Q., Yang J.J. Review of memristor devices in neuromorphic computing: materials sciences and device challenges // J. Phys. D. 2018. V. 51. P. 503002.
- Pérez-Tomás A. Functional oxides: functional oxides for photoneuromorphic engineering: toward a solar brain // Adv. Mater. Interfaces. 2019. V. 6. P. 1970096.
- Mikhaylov A., Pimashkin A., Pigareva Y. et al. CMOS-Integrated systems for biosensors and neuroprosthetics. Front Neurosciens. 2020. V. 14. P. 358.
- Websites of the International Technology Roadmap for SemicHPCductors and the Semiconductor Technology Roadmap, https://www.semiconductors.org/wp-cHPCtent/ uploads/2018/06/0_2015-ITRS-2.0-Executive-Report
- Tulina N.A., Ivanov A.A. Memristive Properties of Oxide-based High-Temperature Superconductors // J. Supercond Nov. Magn. 2020. V. 33. P. 2279–2286.
- Тулина А.Н., Россоленко И.М., Шмытько А.А. и др. Функциональные свойства анизотропных перовскитных соединений в мемристорных структурах для применения вэлектронике // Наноиндустрия. 2019. Т. 89. С. 237–240.
- Andy Thomas. Memristor-based neural networks // J. Phys. D: Appl. Phys. 2013. V. 46. P. 093001–093013.
- Stoliar P., Tranchant J., Corraze B. et al. A Leaky-Integrate-and-Fire Neuron Analog Realized with a Mott Insulator // Adv. Funct. Mater. 2017. V. 27. P. 1604740.
- Tulina N.A., Rossolenko A.N., Ivanov A.A. et al. Nd2 – xCexCuO4 – y/Nd2 – xCexOyboundary and resistive switchings in mesoscopic structures on base of epitaxial Nd1.86Ce0.14CuO4 – y films. // Physica C: Superconductivity and its applications. 2016. V. 527. P. 41–45.
- Tulina N.A., Rossolenko A.N., Shmytko I.M. et al. Properties of percolation channels in planar memristive structures based on epitaxial films of a YBa2Cu3O7 – δ high temperature superconductor // Supercond. Sci. Technol. 2019. V. 32. P. 015003.
- Berdan R., Serb A., Khiat A. et al. A controller-based system for interfacing selectorless RRAM crossbar arrays // IEEE Transactions on Electron Devices. 2015. V. 6. P. 2190.
- Serb A., Khiat A., Prodromakis T. An RRAM Biasing Parameter Optimizer // IEEE Transactions HPC Electron Devices. 2015. V. 62. P. 3685–3691.
- Tulina N.A., Ivanov A.A., Rossolenko et al. X-ray photoelectron spectroscopy studies of electronic structure of Nd2 – xCexCuO4 – y and YBa2Cu3O7 – y epitaxial film surfaces and resistive switchings in high temperature superconductor-based heterostructures // Mater. Lett. 2017. V. 203. P. 97.
- Acha C. Dynamical behaviour of the resistive switching in ceramic YBCO/metal interfaces // J. Phys. D: Appl. Phys. 2011. V. 44. P. 345301.
- Moreo A., Yunoki S., Dagotto E. Phase separation scenario for manganese oxides and related materials // Science. 1999. V. 283. P. 2034–2040.
- Tulina N.A., Borisenko I.Yu., Shmytko I.M. et al. The Study of Switching Dynamics in Planar Memristive Structures Based on Epitaxial Films of YBa2Cu3O7 – δ High-Temperature Superconductor // J. Superconductivity and Novel Magnetism. 2020. V. 33. P. 3695–3704.
- Oka T., Nagaosa N. Interfaces of Correlated Electron Systems // Phys. Rev. Let. 2005. V. 95. P. 266403-4.
- Tulina N.A., Borisenko I.Yu. Frequency Dependence of the Resistive Switching Effect in Bi2Sr2CaCu2O8 + y/Ag film Heterocontacts // Physics Letters A. 2008. V. 372. P. 918–923.
- Sirotkin V.V., Tulina N.A., Rossolenko A.N., Borisenko I.Yu. Numerical Simulation of Resistive Switching in Heterostructures Based on Anisotropic Oxide Compounds // Bulletin of the Russian Academy of Sciences. Physics. 2016. V. 80. P. 497–499.
- Tulina N.A., Shmytko I.M., Ivanov A.A. et al. Memristive Properties of Manganite-Based Planar Structures // Russian Microelectronics. 2022. V. 51. № 5. P. 349–357.
Supplementary files








