Simulation of the Adsorption and Diffusion of Lithium Atoms on Defective Graphene for a Li-Ion Battery
- Authors: Asadov M.M.1,2, Mammadova S.O.3, Huseynova S.S.3, Mustafaeva S.N.3, Lukichev V.F.4
-
Affiliations:
- Nagiyev Institute of Catalysis and Inorganic Chemistry, National Academy of Sciences of Azerbaijan
- Research Institute of Geotechnological Problems of Oil, Gas and Chemistry
- Institute of Physics, National Academy of Sciences of Azerbaijan
- Valiev Institute of Physics and Technology Institute, Russian Academy of Sciences
- Issue: Vol 52, No 3 (2023)
- Pages: 207-226
- Section: MODELING
- URL: https://journals.rcsi.science/0544-1269/article/view/138564
- DOI: https://doi.org/10.31857/S0544126923700291
- EDN: https://elibrary.ru/UDLJNX
- ID: 138564
Cite item
Full Text
Abstract
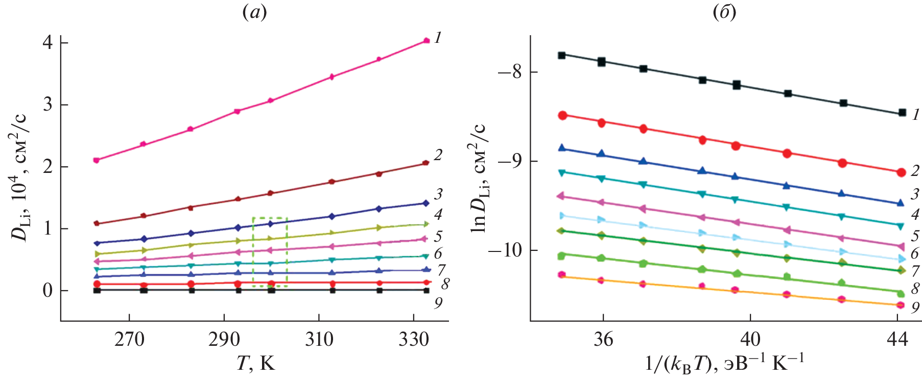
Based on the density functional theory (DFT) with allowance for spin polarization or the local spin density approximation (LSDA), we calculate the adsorption and diffusion properties of a lithium atom on a graphene ( ) monolayer with monovacancy ( ) as the anode material for an -ion battery. The DFT LSDA calculations are performed in relaxed 5 × 5 and 6 × 6 supercells and based on graphene with the monovacancy + lithium adatom complex . Based on the calculated values of the adsorption energy of the lithium atom , the energetically stable location of the lithium adatom is determined on a monolayer of supercells in and . The calculation results show that the adatom energetically prefers to be adsorbed in the pit position (H-site) rather than adsorbed from above (T-site) of the carbon atom in the monolayer. The DFT LSDA calculated electronic band structure and local total and partial magnetic moment of supercell atoms are consistent with the calculations performed by the generalized gradient approximation (GGA)-PBE functional for the H-, B-, and T-sites of graphene. Taking into account the experimentally obtained diffusion coefficients of lithium in two-layer graphene in the struc-tural packing of an AB package and the temperature (263–333 K) dependence of Li diffusion in two-layer graphene, which is described by the Arrhenius law, the diffusion activation energy of is calculated at con-centrations of = 0.06–0.51 in LixC12 graphene in the AB packaging.
About the authors
M. M. Asadov
Nagiyev Institute of Catalysis and Inorganic Chemistry, National Academy of Sciences of Azerbaijan; Research Institute of Geotechnological Problems of Oil, Gas and Chemistry
Email: mirasadov@gmail.com
Baku, AZ-1143 Azerbaijan; Baku, AZ-1010 Azerbaijan
S. O. Mammadova
Institute of Physics, National Academy of Sciences of Azerbaijan
Email: lukichev@ftian.ru
Baku, AZ-1143 Azerbaijan
S. S. Huseynova
Institute of Physics, National Academy of Sciences of Azerbaijan
Email: lukichev@ftian.ru
Baku, AZ-1143 Azerbaijan
S. N. Mustafaeva
Institute of Physics, National Academy of Sciences of Azerbaijan
Email: lukichev@ftian.ru
Baku, AZ-1143 Azerbaijan
V. F. Lukichev
Valiev Institute of Physics and Technology Institute, Russian Academy of Sciences
Author for correspondence.
Email: lukichev@ftian.ru
Moscow, 117218 Russia
References
- Yoo E., Kim J., Hosono E., Zhou H.-S., Kudo T., Honma I. Large Reversible Li Storage of Graphene Nanosheet Families for Use in Rechargeable Lithium-Ion Batteries // Nano Letters. 2008. V. 8. № 8. P. 2277–2282. https://doi.org/10.1021/nl800957b
- Lv W., Tang D.-M., He Y.-B., You C.-H., Shi Z.-Q., Chen X.-C., Chen C.-M., Hou P.-X., Liu C., Yang Q.-H. Low-Temperature Exfoliated Graphenes: Vacuum-Promoted Exfoliation and Electrochemical Energy Storage // ACS Nano. 2009. V. 3. № 11. P. 3730–3736. https://doi.org/10.1021/nn900933u
- Jang B.Z., Liu C., Neff D., Yu Z., Wang M.C., Xiong W., Zhamu A. Graphene Surface-Enabled Lithium Ion-Exchanging Cells: Next-Generation High-Power Energy Storage Devices // Nano Letters. 2011. V. 11. № 9. P. 3785–3791. https://doi.org/10.1021/nl2018492
- Das D., Kim S., Lee K-R., Singh A.K. Li diffusion through doped and defected graphene. Physical Chemistry Chemical Physics. 2013. V. 15. № 36. P. 15128–15134. https://doi.org/10.1039/C3CP52891J
- Lee E., Persson K.A. Li Absorption and Intercalation in Single Layer Graphene and Few Layer Graphene by First Principles // Nano Letters. 2012. V. 12. P. 4624–4628. https://doi.org/10.1021/nl3019164
- Kühne M., Paolucci F., Popovic J., Ostrovsky P.M., Maier J., Smet J.H. Ultrafast lithium diffusion in bilayer graphene // Nature Nanotechnology. 2017. V. 12. P. 895–902. https://doi.org/10.1038/nnano.2017.108
- Zhong K., Hu R., Xu G., Yang Y., Zhang J.-M., Huang Z. Adsorption and ultrafast diffusion of lithium in bilayer graphene: Ab initio and kinetic Monte Carlo simulation study // Physical Review B. 2019. V. 99. № 15. P. 155403–12. https://doi.org/10.1103/PhysRevB.99.155403
- Асадов M.M., Мустафаева С.Н., Гусейнова С.C., Лукичев В.Ф., Тагиев Д.Б. Ab initio моделирование влияния расположения и свойств упорядоченных вакансий на магнитное состояние монослоя графена // Физика твердого тела. 2021. Т. 63. № 5. С. 680–689. https://doi.org/10.1134/S1063783421050036
- Асадов М.М., Мустафаева С.Н., Гусейнова С.С., Лукичев В.Ф. DFT моделирование электронной структуры и адсорбция германия в упорядоченном графене с вакансией // Микроэлектроника. 2022. Т. 51. № 2. С. 125–139. https://doi.org/10.1134/S1063739722010024
- Асадов M.M., Маммадова С.О., Гусейнова С.C., Мустафаева С.Н., Лукичев В.Ф. Моделирование адсорбции золота на поверхность дефектного графена // Микроэлектроника. 2022. Т. 51. № 6. С. 429–442. https://doi.org/10.31857/S054412692270003X
- Perdew J.P., Zunger A. Self-interaction correction to density-functional approximations for many-electron systems // Physical Review B. 1981. V. 23. № 10. P. 5048–5079. https://doi.org/10.1103/physrevb.23.5048
- Konschuh S., Gmitra M., Fabian J. Tight-binding theory of the spin-orbit coupling in graphene // Physical Review B. 2010. V. 82. № 24. P. 245412–11. https://doi.org/10.1103/PhysRevB.82.245412
- Monkhorst H.J., Pack J.D. Special points for Brillouin zone integrations // Physical Review B. 1976. V. 13. № 12. P. 5188–5192. https://doi.org/10.1103/physrevb.13.5188
- Chan K.T., Neaton J.B., Cohen M.L. First-principles study of metal adatom adsorption on graphene // Physical Review B. 2008. V. 77. № 23. P. 235430–12. https://doi.org/10.1103/physrevb.77.235430
- Elias D.C., Gorbachev R.V., Mayorov A.S., Morozov S.V., Zhukov A.A., Blake P., Ponomarenko L.A., Grigorieva I.V., Novoselov K.S., Guinea F., Geim A.K. Dirac cones reshaped by interaction effects in suspended graphene // Nature Physics. 2011. V. 7. № 9. P. 701–704. https://doi.org/10.1038/nphys2049
Supplementary files


















