Модель профессионального благополучия педагогов дошкольных образовательных учреждений
- Авторы: Волкова Е.Н.1, Исаева О.М.2, Макаревская Ю.Э.3, Кисель А.В.4
-
Учреждения:
- Психологический институт Российской академии образования
- НИУ ВШЭ – Нижний Новгород
- Сочинский государственный университет
- Международная педагогическая академия дошкольного образования
- Выпуск: Том 28, № 2 (2024)
- Страницы: 282-301
- Раздел: Статьи
- Статья получена: 11.12.2024
- Статья одобрена: 11.12.2024
- Статья опубликована: 13.12.2024
- URL: https://journals.rcsi.science/1991-9468/article/view/272726
- DOI: https://doi.org/10.15507/1991-9468.115.028.202402.282-301
- ID: 272726
Цитировать
Полный текст
Аннотация
Введение. Профессиональное благополучие педагогов дошкольных образовательных учреждений – ключевой фактор для обеспечения качества образования и развития детей. Практически отсутствуют исследования, посвященные специфическим аспектам профессионального благополучия педагогов в условиях современных вызовов и требований образовательной среды, а также в контексте его операциональной модели. Цель исследования – разработка модели профессионального благополучия для педагогов дошкольных образовательных учреждений и оценка качества этой модели на основе результатов ее эмпирической проверки.
Методы и материалы. В исследовании принимали участие 818 педагогов в возрасте 19–74 лет со стажем работы от 3 месяцев до 50 лет. В качестве диагностического инструментария использованы адаптированные для русскоязычной выборки опросники PERMA-Profiler (О. М. Исаева, А. Ю. Акимова, Е. Н. Волкова, 2022), базовых потребностей в трудовой деятельности (Е. Н. Осин, Д. Д. Сучков, Т. О. Гордеева, Т. Ю. Иванова, 2015), профессиональной мотивации (Е. Н. Осин, А. А. Горбунова, Т. О. Гордеева, Т. Ю. Иванова, Н. В. Кошелева, Е. Ю. Овчинникова, 2017), Утрехтская шкала увлеченности работой (Д. А. Кутузова, 2006), краткая версия опросника эмоционального интеллекта (А. А. Панкратова, Д. С. Корниенко, Д. В. Люсин, 2022), короткий портретный опросник Большой пятерки (М. С. Егорова, О. В. Паршикова, 2016). Сбор эмпирических данных осуществлялся с помощью анкетирования и тестирования в онлайн-форме.
Результаты исследования. Моделирование структурными уравнениями позволило установить трехкомпонентный состав модели профессионального благополучия педагогов дошкольных образовательных учреждений, включающий в себя компонент общего психологического благополучия, деятельностный и личностный компоненты. Для профессионального благополучия педагогов дошкольного образования характерны высокий уровень развития основных доменов психологического благополучия модели PERMA, ощущение хорошего здоровья, удовлетворение базовых потребностей в автономии, компетентность, связанность, автономные виды мотивации деятельности, удовлетворенность работой, энергичность и работоспособность, доброжелательность, сознательность (ответственность), открытость новому опыту, экстраверсия и низкий уровень нейротизма. Характеристики эмоционального интеллекта педагога в эмпирическую модель не вошли.
Обсуждение и заключение. Сделанные авторами выводы вносят вклад в развитие представления о структуре и компонентном составе профессионального благополучия педагогов дошкольного образования. Предложенная модель может использоваться в системе управления дошкольными образовательными учреждениями при разработке и реализации программ карьерного развития педагога, а также для решения вопросов об удержании педагога в профессии.
Полный текст
Введение
По мнению исследователей, работающих в парадигме позитивной психологии, психологическое благополучие ‒ это характеристика, раскрывающая механизмы полноценного функционирования человека в совокупности с субъективным переживанием счастья, удовлетворенностью жизнью и пониманием, что позитивные переживания отражают ощущение самореализации человека, его самоосуществления1 [1‒3]. На каждом возрастном этапе разные виды деятельности являются системообразующими для психического, личностного и социального развития человека. Статус трудовой деятельности как ведущей позволяет предположить, что благополучие взрослого человека связано с благополучием в профессиональной деятельности, а отношение к труду, профессии, к себе как к специалисту выступает прогностическим индикатором счастья и удовлетворенности жизнью в целом.
Разделяя позицию авторов, изучающих психологическое благополучие как таковое [4; 5] и психологическое благополучие педагогов в частности2 [6; 7], мы рассматриваем последнее как интегральное переживание педагогом удовлетворенности своей жизнью в контексте оценки развития собственных психологических механизмов позитивного функционирования. Основными составляющими психологического благополучия человека на основе модели PERMA, разработанной и представленной М. Селигманом в теории благополучия и процветания3, будем считать позитивные эмоции, вовлеченность в деятельность, взаимодействие и взаимоотношения с людьми, смысл деятельности и достижения в ней. В рамках этой модели компонентный состав благополучия включает в себя оценку негативных эмоций, здоровье, одиночество и интегральную оценку ощущения счастья.
Для характеристики психологического благополучия человека в профессиональной сфере используется понятие профессионального благополучия. Соотношение психологического и профессионального благополучия можно определить как соотношение общего и специального: профессиональное благополучие – часть общего психологического благополучия. Изучение общего психологического благополучия направлено на поиск общечеловеческой универсальной структуры4 [1; 8], а профессионального благополучия – на анализ специфичных компонентов структуры и связей между ними [9]. Современные исследования показывают, что компоненты профессионального благополучия и их взаимосвязи зависят от психологического содержания соответствующей профессиональной деятельности5 [10; 11].
Психологическое содержание педагогической деятельности связано с процессом взаимодействия взрослого и ребенка. Педагог и его воспитанники находятся в процессе непрерывных и взаимообусловленных когнитивных и личностных изменений, причем управление этими изменениями и прогнозирование их результатов представляют зону ответственности педагога и во многом определяются особенностями восприятия педагогом его личностных характеристик [12] и психологического благополучия. Профессиональная педагогическая деятельность зависит от психологического благополучия педагога: кроме задачи самореализации в профессии, удовлетворенности собой и своей деятельностью педагог решает задачу создания условий для обеспечения, сохранения и развития психологического благополучия своих воспитанников.
Цель исследования ‒ разработка модели профессионального благополучия для педагогов дошкольных образовательных учреждений (ДОУ). В статье представлены описание модели профессионального благополучия педагогов ДОУ и оценка качества этой модели на основе результатов ее эмпирической проверки.
Обзор литературы
Одной из наиболее распространенных зарубежных моделей профессионального благополучия педагогов является многомерная модель профессионального благополучия Дж. В. Хорна [13], объединяющая эмоциональный, мотивационный, поведенческий, когнитивный, психосоматический компоненты.
Некоторые составляющие многомерной модели профессионального благополучия содержательно коррелируют с компонентами модели благополучия PERMA и могут прямо инкорпорироваться в ее структуру.
Эмоциональный компонент модели Дж. В. Хорна фактически представляет собой композицию трех элементов, которые могут существовать и изучаться независимо друг от друга. Первый элемент связан с переживанием эмоций определенной модальности, например компоненты позитивных и негативных эмоций в модели PERMA. Второй элемент раскрывает влияние организационных факторов на благополучие педагога [14]. В частности, в исследованиях анализируется оценка педагогом степени лояльности и приверженности организации, в которой он работает. При изучении благополучия представителей других профессий приверженность организации часто рассматривается как обязательный компонент благополучия6 [15]. Наряду с этим анализируются особенности отношения работников к результату своего труда и конгруэнтности профессии. Таким образом, переживание педагогом правильности выбора своей профессии, ощущение причастности к результатам своего труда – изменениям в личности ребенка и гордости за конструктивные перемены, приверженность и конгруэнтность конкретной образовательной организации также характеризуют его профессиональное благополучие и могут выступать его компонентом [16; 17].
Третий элемент рассматривает степень эмоционального истощения педагога, которое наряду с деперсонализацией и снижением личной эффективности выступает как антитеза феномену увлеченности работой7.
Увлеченность работой – это устойчивое состояние субъекта деятельности, раскрывающее его отношение к предмету труда в контексте поведенческой активности как внутри профессиональной среды, так и за ее пределами. Индикация увлеченности может быть связана с измерением энергичности, энтузиазма, погруженности в деятельность. В. Шауфелли и коллеги понимают энергичность как состояние бодрости и работоспособности, а также готовности работника к значительным усилиям, настойчивости для преодоления сложностей в работе; энтузиазм ‒ как оценку приверженности работе и удовлетворения от ее выполнения, воодушевления и гордости от работы; погруженность в деятельность ‒ как состояние концентрации, отсутствия желания отвлечься от работы и/или прекратить ее8. Исследования, выполненные в рамках этого подхода, показывают, что увлеченность работой связана с психологическим благополучием, отношением к деятельности и удовлетворенностью ею9 [18; 19].
Мотивационный (профессиональный в терминологии авторов) компонент также неоднороден и включает в себя оценку автономности педагога, уровень его стремления к профессиональному росту и развитию, цели и смыслы выполняемой деятельности, а также уровень его профессиональной компетентности в целом. Перечисленные особенности отвечают содержанию компонентов «смысл деятельности», «достижения в деятельности» модели PERMA и характеристикам мотивации деятельности, отражающим удовлетворенность основных потребностей профессиональной деятельности, вид мотивации с точки зрения локализации источника и контроля профессиональных действий. Развитие самого продуктивного вида мотивации – внутренней ‒ связано с удовлетворением базовых потребностей человека в автономии, компетентности и взаимосвязи с другими людьми [20]. Вместе с тем внутренняя мотивация прямо связана с психологическим благополучием и эффективностью деятельности10 [21; 22]. Результаты исследований показали высокую ценность развития у педагога внутренней мотивации (как и других автономных видов). Внутренняя мотивация деятельности способствует развитию учащихся и достижению ими в учебе высоких результатов [22]; характерна для поддержания психологического благополучия педагога и его воспитанников [23]; связана с процессами эффективного управления школой [24; 25]; в наибольшей степени отвечает субъектной парадигме современного образования.
Когнитивный компонент многомерной модели профессионального благополучия характеризует состояние когнитивных функций работника (способности воспринимать новую информацию и трансформировать ее в связи с существующими задачами) и может быть включен в модель профессионального благополучия в качестве личностной предрасположенности к открытости новой информации, способности ее воспринять, переработать и транслировать.
Личностные особенности специалиста многие исследователи рассматривают как ресурс эффективности и качества профессиональной деятельности. Мотивация и личностные особенности работника опосредованно влияют на внешние воздействия (условия труда, рабочие требования, связанные с ними рабочие стрессы и др.), что обусловлено их функцией в зависимости от ситуации и актуальных задач, стоящих перед человеком11 [15]. В педагогической деятельности личность педагога выступает ведущим инструментом воздействий, приводящих к изменениям в личности ребенка. С этой точки зрения личностные особенности могут рассматриваться как медиаторы внешних воздействий, опосредующих их влияние на психологическое благополучие, как психологические механизмы позитивного функционирования педагога, компоненты профессионального благополучия.
Анализируя личностные особенности современных педагогов, выделим две группы личностных ресурсов, необходимых для изучения благополучия и эффективности педагогической деятельности: личностные черты и эмоциональный интеллект. Исследования, проведенные среди педагогов с использованием пятифакторной модели личности «Большая пятерка», показывают, что личностные черты (экстраверсия, сознательность и открытость опыту) прямо связаны с эффективностью работы педагога, в то время как нейротизм имеет обратную связь. Характеристика доброжелательности не имела однозначной связи [26; 27]. При этом низкий нейротизм, высокая экстраверсия и дружелюбие отрицательно связаны с эмоциональным истощением педагога и профессиональным стрессом [28]. Эмоциональный интеллект выступает протективным фактором деперсонализации педагога, эмоционального истощения, нарушений профессионального здоровья и тем самым способствует повышению эффективности профессиональной деятельности [29; 30]. Развитый эмоциональный интеллект обуславливает включенность педагога в деятельность образовательного учреждения, повышает удовлетворенность профессией [31; 32].
Обобщение результатов теоретического анализа позволяет выстроить модель профессионального благополучия педагога как комплекс компонентов общего психологического благополучия, характеристик профессиональной мотивации (удовлетворенности потребностей в автономии, компетентности и взаимосвязи с другими людьми, а также вида мотивации деятельности), удовлетворенности деятельностью, увлеченности работой, ресурсов здоровья, комплекса индивидуальных личностных черт и характеристик эмоционального интеллекта. Мы предположили, что профессиональное благополучие педагога будет включать в себя компонент общего психологического благополучия (домены общего благополучия и здоровья), деятельностный (домены базовых потребностей, мотивации деятельности увлеченности и удовлетворенности работой) и личностный (домены эмоционального интеллекта и личностных черт) компоненты. Характер связи и содержательное наполнение этих компонентов будет определяться содержанием конкретного вида педагогической деятельности.
Материалы и методы
Выборка. В исследовании приняли участие 818 чел. в возрасте 19‒74 лет (М = 45,59; SD = 22,43) со стажем работы от 3 месяцев до 50 лет (М = 13,21; SD = 9,89). Все респонденты – женщины. Возраст, стаж работы, квалификационная категория, семейное положение, наличие детей учитывались при анализе результатов исследования. Выборку исследования составили педагоги городских (58,9 %) и сельских (41,1 %) образовательных учреждений из 33 регионов Российской Федерации с равным распределением респондентов по возрасту и стажу работы.
Методы. В процессе исследования использовались разные виды опросников. Изучение психологического благополучия педагогов проводилось с помощью опросника PERMA-Profiler [33] в адаптации для русскоязычной выборки [34]. Опросник позволил оценить выраженность пяти базовых компонентов модели PERMA (показатели по шкалам «Позитивные эмоции», «Вовлеченность в деятельность», «Взаимодействие и взаимоотношения с людьми», «Смысл деятельности», «Достижения в деятельности»), четырех дополнительных компонентов (показатели по шкалам «Ощущение счастья», «Негативные эмоции», «Здоровье», «Одиночество») и интегрального показателя психологического благополучия.
Для оценки удовлетворенности базовых психологических потребностей использовался «Опросник базовых потребностей в трудовой деятельности (The Basic Need Satisfaction at Work Scale), разработанный Э. Диси и адаптированный к русскоязычной выборке [35]. Русскоязычная версия «Шкалы удовлетворенности базовых психологических потребностей на работе» включает 3 шкалы и 21 утверждение и позволяет оценить степень удовлетворенности базовых психологических потребностей в автономии, компетентности, связанности.
«Опросник профессиональной мотивации» (ОПМ-2) [36], разработанный на основе теории самодетерминации12, применялся для оценки выраженности внутренней, интегрированной, идентифицированной, интроецируемой, экстернальной мотивации и амотивации профессиональной деятельности, суммарных показателей автономной и контролируемой мотивации и интегрального индекса относительной автономии (RAI).
Адаптированная для русскоязычной выборки версия опросника «Утрехтская шкала увлеченности работой» (UWES)13 предназначалась для определения степени увлеченности деятельностью и предполагала оценку выраженности характеристик энергичности, энтузиазма, погруженности в деятельность.
Удовлетворенность работой оценивалась с помощью авторской анкеты. Анкета, направленная на восприятие педагогом соответствия выбранной профессии, приверженности конкретной образовательной организации, удовлетворенности взаимодействием с коллегами и родителями детей, включала 9 утверждений, которые респонденты оценивали по 4-балльной шкале; 1 – полностью не согласен, 4 – полностью согласен. Альфа Кронбаха для шкалы «Удовлетворенность работой» составила 0,83.
Для оценки общего уровня эмоционального интеллекта, внутриличностного и межличностного эмоционального интеллекта как совокупности способностей к пониманию и управлению своими эмоциями и эмоциями другого человека использовался опросник ЭмИн [37].
Личностные качества педагогов измерялись с помощью «Короткого портретного опросника Большой пятерки» (Б5-10), позволяющего провести ориентировочную оценку выраженности личностных черт Большой пятерки (нейротизма, экстраверсии, доброжелательности, сознательности и открытости опыту). Эта версия опросника имеет удовлетворительные психометрические характеристики и позволяет получить общее представление о связи личностных черт с обобщенной внешней характеристикой, каковым в нашем исследовании выступает психологическое благополучие дошкольных педагогов [38].
Анализ данных. Исследование включало в себя проведение анонимного онлайн-опроса на добровольной безвозмездной основе. Процедура сбора данных выполнялась в соответствии с этическими стандартами Российского психологического общества. Анализ данных проводился с помощью статистического программного пакета IBM SPSS STATISTICS 22, а также пакета для структурного моделирования AMOS SPSS 22.
Результаты исследования
Описательная статистика и корреляционный анализ независимых переменных. Значения показателей благополучия, характеристик деятельности и личностных особенностей дошкольных педагогов представлены в таблице 1.
Т а б л и ц а 1. Показатели благополучия, характеристик деятельности и личностных особенностей педагогов ДОУ
T a b l e 1. Indicators of well-being, characteristics of activities and personal characteristics of preschool teachers
Показатели / Indicators | М | SD | Min | Max | |
1 | 2 | 3 | 4 | 5 | |
Психологическое благополучие / Psychological well-being | |||||
Позитивные эмоции / Positive emotions | 7,94 | 1,44 | 2,00 | 10,00 | |
Вовлеченность в деятельность / Engagement | 8,04 | 1,34 | 2,67 | 10,00 | |
Взаимодействие и взаимоотношения с людьми / Relationships | 7,82 | 1,68 | 1,67 | 10,00 | |
Смысл деятельности / Meaning | 8,17 | 1,50 | 1,67 | 10,00 | |
Достижения в деятельности / Achievement | 8,24 | 1,20 | 3,00 | 10,00 | |
Ощущение счастья / Life satisfaction | 8,33 | 1,65 | 2,00 | 10,00 | |
Негативные эмоции / Negative emotion | 4,78 | 1,78 | 0,00 | 10,00 | |
Здоровье / Physical health | 6,65 | 1,88 | 0,00 | 10,00 | |
Одиночество / Loneliness | 3,06 | 3,04 | 0,00 | 10,00 | |
Интегральный показатель / Overall well-being Базовые потребности / Basic needs | 8,09 | 1,19 | 3,61 | 10,00 | |
Потребность в автономии / Need for autonomy | 4,16 | 1,14 | 0,29 | 6,14 | |
Потребность в компетентности / Need for competence | 4,44 | 0,89 | 2,00 | 6,00 | |
Потребность в связанности / Need for connectedness | 4,83 | 1,02 | 1,13 | 6,25 | |
Мотивация деятельности / Motivation of activities | |||||
Внутренняя / Intrinsic | 4,43 | 0,76 | 1,00 | 5,00 | |
Интегрированная / Integrative | 4,15 | 0,86 | 1,00 | 5,00 | |
Идентифицированная / Identified | 3,85 | 0,98 | 1,00 | 5,00 | |
Интроецируемая / Introjected | 2,46 | 1,00 | 1,00 | 5,00 | |
Экстернальная / External | 2,19 | 1,11 | 1,00 | 5,00 | |
Позитивные эмоции / Positive emotions | 7,94 | 1,44 | 2,00 | 10,00 | |
Вовлеченность в деятельность / Engagement | 8,04 | 1,34 | 2,67 | 10,00 | |
Взаимодействие и взаимоотношения с людьми / Relationships | 7,82 | 1,68 | 1,67 | 10,00 | |
Смысл деятельности / Meaning | 8,17 | 1,50 | 1,67 | 10,00 | |
Достижения в деятельности / Achievement | 8,24 | 1,20 | 3,00 | 10,00 | |
Ощущение счастья / Life satisfaction | 8,33 | 1,65 | 2,00 | 10,00 | |
Негативные эмоции / Negative emotion | 4,78 | 1,78 | 0,00 | 10,00 | |
Здоровье / Physical health | 6,65 | 1,88 | 0,00 | 10,00 | |
Одиночество / Loneliness | 3,06 | 3,04 | 0,00 | 10,00 | |
Интегральный показатель / Overall well-being | 8,09 | 1,19 | 3,61 | 10,00 | |
Базовые потребности / Basic needs | |||||
Потребность в автономии / Need for autonomy | 4,16 | 1,14 | 0,29 | 6,14 | |
Потребность в компетентности / Need for competence | 4,44 | 0,89 | 2,00 | 6,00 | |
Потребность в связанности / Need for connectedness | 4,83 | 1,02 | 1,13 | 6,25 | |
Мотивация деятельности / Motivation of activities | |||||
Внутренняя / Intrinsic | 4,43 | 0,76 | 1,00 | 5,00 | |
Интегрированная / Integrative | 4,15 | 0,86 | 1,00 | 5,00 | |
Идентифицированная / Identified | 3,85 | 0,98 | 1,00 | 5,00 | |
Интроецируемая / Introjected | 2,46 | 1,00 | 1,00 | 5,00 | |
Экстернальная / External | 2,19 | 1,11 | 1,00 | 5,00 | |
Амотивация / Amotivation | 1,87 | 0,94 | 1,00 | 5,00 | |
Автономная / Autonomous | 12,43 | 2,35 | 3,00 | 15,00 | |
Контролируемая / Controlled | 6,52 | 2,51 | 3,00 | 15,00 | |
Индекс относительной автономии / Relative Autonomy Index | 5,90 | 3,89 | ‒6,50 | 12,00 | |
Увлеченность работой / Work Engagement | |||||
Энергичность / Vigor | 25,62 | 5,77 | 7,00 | 36,00 | |
Энтузиазм / Dedication | 23,74 | 4,78 | 7,00 | 30,00 | |
Погруженность в деятельность / Absorption | 26,48 | 6,01 | 8,00 | 36,00 | |
Удовлетворенность работой / Job satisfaction | |||||
Удовлетворенность отношениями с коллегами / Relationships with colleagues | 9,52 | 2,08 | 3,00 | 12,00 | |
Удовлетворенность взаимодействием с родителями / Interactions with parents | 8,54 | 1,59 | 4,00 | 12,00 | |
Конгруэнтность профессии / Congruence to profession | 9,56 | 1,58 | 5,00 | 12,00 | |
Интегральный показатель удовлетворенности работой / Overall job satisfaction | 9,21 | 1,44 | 4,67 | 12,00 | |
Эмоциональный интеллект / Emotional intelligence | |||||
Понимание собственных эмоций / Self-emotion understanding | 5,87 | 0,96 | 2,00 | 8,00 | |
Понимание эмоций другого человека / Other-emotion understanding | 6,61 | 1,20 | 2,00 | 8,00 | |
Управление собственными эмоциями / Self-emotion regulation | 4,43 | 1,41 | 2,00 | 8,00 | |
Управление эмоциями другого человека / Other-emotion regulation | 5,28 | 0,94 | 2,00 | 8,00 | |
Личностные черты / Personaltraits | |||||
Экстраверсия / Extraversion | 4,22 | 1,13 | 1,00 | 6,00 | |
Доброжелательность / Agreeableness | 5,12 | 0,84 | 2,50 | 6,00 | |
Сознательность / Conscientiousness | 5,10 | 0,92 | 1,00 | 6,00 | |
Нейротизм / Neuroticism | 2,62 | 1,05 | 1,00 | 5,50 | |
Открытость опыту / Openness | 4,69 | 1,02 | 2,00 | 6,00 | |
Источник: здесь и далее в статье все таблицы составлены авторами.
Source: Hereinafter in this article all tables were drawn up by the authors.
Общий уровень благополучия, а также выраженность компонентов «позитивные эмоции», «взаимодействие и взаимоотношения с людьми», «вовлеченность в деятельность», «смысл деятельности», «достижения в деятельности» у педагогов дошкольных образовательных учреждений превышает средние значения показателей для российской выборки респондентов [39]. Та же тенденция наблюдается и в отношении показателей «ощущение счастья» и «здоровье». Компоненты «одиночество» и «негативные эмоции», характеризующие симптомы нарушения благополучия, у педагогов выражены ниже, чем в российской выборке, причем разброс значений по шкале «одиночество» сопоставим по величине со значениями среднего показателя.
Для педагогов дошкольного образования характерна удовлетворенность основных потребностей, обеспечивающих успешность профессиональной деятельности: потребности в автономии, компетентности и связанности. Наибольшая величина среднего значения обнаружена при оценке удовлетворения потребности в связанности с другими людьми, желания иметь с ними эмоционально теплые взаимоотношения. В меньшей степени выражена удовлетворенность потребности в автономии, т. е. стремление чувствовать себя источником собственных действий и поступков и самостоятельно контролировать свое поведение. Потребность в компетентности отличается высоким уровнем удовлетворенности и незначительным разбросом индивидуальных значений.
Отличительной особенностью мотивации профессиональной деятельности у педагогов ДОУ является отчетливое доминирование автономных видов мотивации. Причем в структуре автономной мотивации внутренняя мотивация деятельности, отвечающая выполнению работы ради интереса к ней в противовес желанию достижения внешних по отношению к деятельности целей, у педагогов выражена наиболее явно.
Общий уровень увлеченности, показатели энергичности, энтузиазма и погруженности в деятельность у педагогов ДОУ превышают диапазон средних значений. Ранее было установлено, что дошкольные педагоги имеют высокие показатели увлеченности работой, а также автономной мотивации, причем увлеченность работой и выраженность видов автономной мотивации связаны [40].
Степень удовлетворенности работой педагогов ДОУ можно оценить как высокую: все компоненты данной шкалы и интегральный показатель превышают возможное среднее значение.
В структуре эмоционального интеллекта у педагогов ДОУ характеристики понимания и управления эмоциями другого человека выражены в большей степени, чем способность управлять эмоциями.
В структуре личностных черт у педагогов ДОУ явно выражены экстраверсия, доброжелательность, сознательность и открытость новому опыту; нейротизм проявляется незначительно.
Взаимосвязь между переменными исследования представлена в таблице 2. Сильные корреляционные связи внутри домена послужили основанием для внесения в таблицу его интегральных показателей.
Большинство корреляций между интегральными показателями доменов и отдельными независимыми переменными (в случае оценки личностных черт) были умеренными или слабыми.
Конфирматорный факторный анализ включал в себя построение моделей с разным соотношением интегральных показателей и показателей отдельных шкал разных доменов. Модель профессионального благополучия педагогов при включении показателей всех шкал психологического благополучия, удовлетворенности базовых потребностей, видов профессиональной мотивации, удовлетворенности и увлеченности работой, субъективных репрезентаций здоровья, индивидуальных личностных черт и характеристик эмоционального интеллекта оказалась неудовлетворительной и не нашла своего эмпирического подтверждения (χ2 = 5329,507; df = 488; CFI = 0,679; RMSEA = 0,110). Включение в модель обобщенных, интегративных показателей продемонстрировало удовлетворительное, но невысокое качество модели (χ2 = 43,122, df = 10, CFI = 0,983, RMSEA = 0,064)14 [41]. Дальнейшее моделирование было связано с поиском наиболее информативных интегральных или частных показателей по каждому домену определением связей между ними, а также с исключением показателей, ухудшающих характеристики модели.
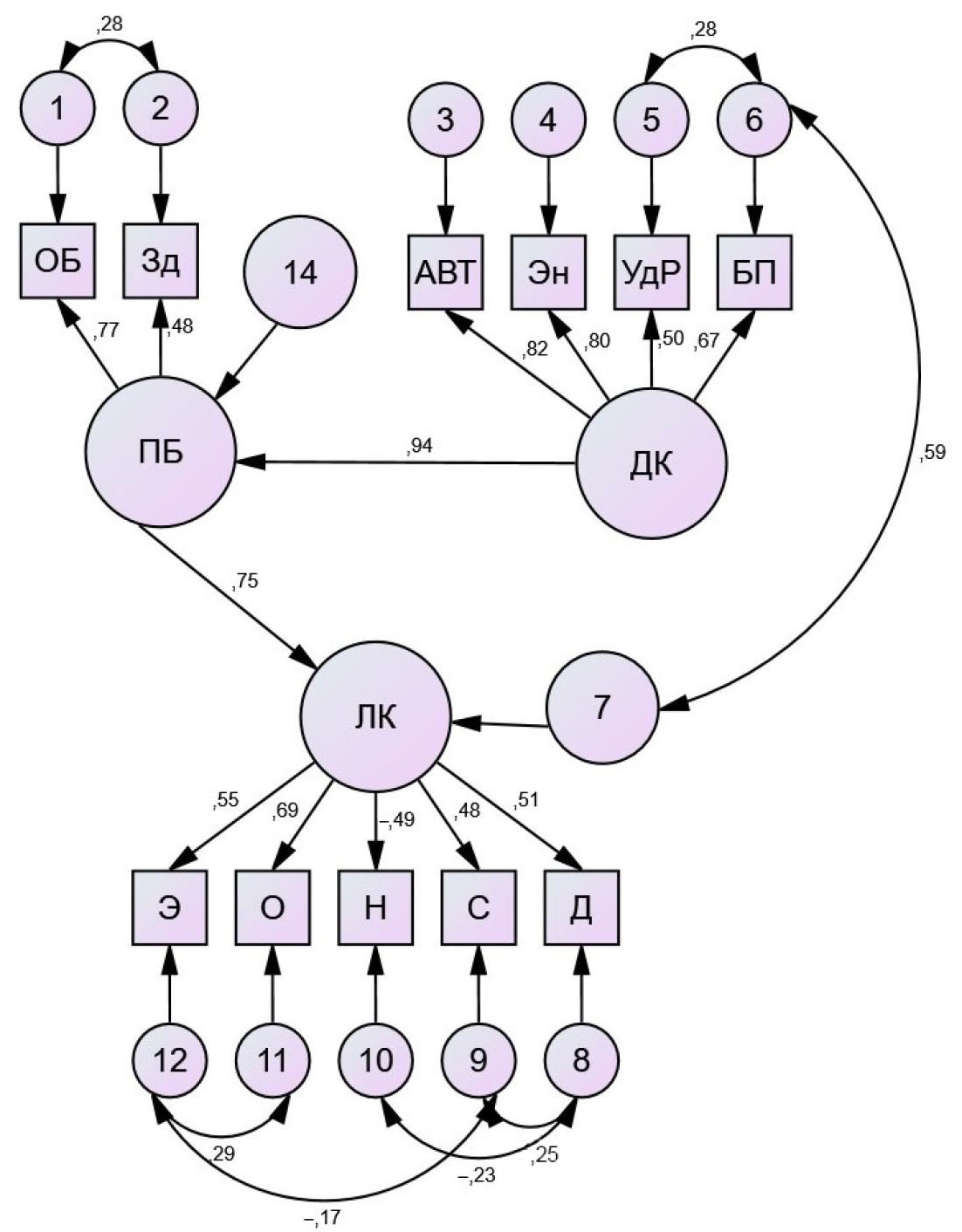
Анализ значений выделенных характеристик в исследуемой профессиональной группе, сравнительный анализ значений и их композиций показал, что трехкомпонентная модель, включающая в себя компонент психологического благополучия, деятельностный и личностный компоненты (χ2 = 94,842; df = 34; CFI = 0,980; RMSEA = 0,047), является лучшей эмпирической моделью профессионального благополучия педагогов дошкольных образовательных учреждений (рисунок).
Характеристики моделей в зависимости от стратификационных переменных, имеющих непосредственное отношение к профессиональной деятельности, представлены в таблице 3.
Т а б л и ц а 2. Взаимосвязь показателей благополучия, характеристик деятельности и личностных особенностей педагогов ДОУ
T a b l e 2. Relationship between indicators of well-being, characteristics of activities and personal characteristics of preschool teachers
| 1 | 2 | 3 | 4 | 5 | 6 | 7 | 8 | 9 | 10 | 11 | 12 | 13 | 14 | 15 | 16 | 17 | 18 | 19 |
Интегральный показатель психологического благополучия / Overall well-being | 1.000 |
|
|
|
|
|
|
|
|
|
|
|
|
|
|
|
|
|
|
Здоровье / Physical health | ,515** | 1,000 |
|
|
|
|
|
|
|
|
|
|
|
|
|
|
|
|
|
Потребность в автономии / Need for autonomy | ,454** | ,283** | 1,000 |
|
|
|
|
|
|
|
|
|
|
|
|
|
|
|
|
Потребность в компетентности / Need for competence | ,506** | ,252** | ,646** | 1,000 |
|
|
|
|
|
|
|
|
|
|
|
|
|
|
|
Потребность в связанности / Need for connectedness | ,425** | ,211** | ,664** | ,562** | 1,000 |
|
|
|
|
|
|
|
|
|
|
|
|
|
|
Автономная мотивация / Autonomous motivation | ,580** | ,332** | ,504** | ,518** | ,403** | 1,000 |
|
|
|
|
|
|
|
|
|
|
|
|
|
Контролируемая мотивация / Controlled motivation | -,326** | -,206** | -,339** | -,363** | -,330** | -,288** | 1,000 |
|
|
|
|
|
|
|
|
|
|
|
|
Индекс относительной автономии / Relative Autonomy Index | ,538** | ,316** | ,506** | ,535** | ,449** | ,742** | -,835** | 1.000 |
|
|
|
|
|
|
|
|
|
|
|
Энергичность / Vigor | ,600** | ,341** | ,505** | ,496** | ,371** | ,686** | -,219** | ,507** | 1,000 |
|
|
|
|
|
|
|
|
|
|
Энтузиазм / Dedication | ,613** | ,335** | ,525** | ,547** | ,430** | ,770** | -,305** | ,615** | ,859** | 1,000 |
|
|
|
|
|
|
|
|
|
Погруженность в деятельность / Absorption | ,506** | ,275** | ,391** | ,421** | ,291** | ,626** | -,157** | ,435** | ,859** | ,806** | 1,000 |
|
|
|
|
|
|
|
|
Интегральный показатель удовлетворенности работой / Overall job satisfaction | ,443** | ,276** | ,461** | ,350** | ,513** | ,395** | -,160** | ,321** | ,382** | ,401** | ,307** | 1,000 |
|
|
|
|
|
|
|
Понимание эмоций / Emotion understanding | ,267** | ,109** | ,174** | ,196** | ,165** | ,236** | ,003 | 111** | ,335** | ,328** | ,337** | ,148** | 1,000 |
|
|
|
|
|
|
Управление эмоциями / Emotion regulation | -,158** | -,087* | -,232** | -,323** | -,245** | -,311** | ,235** | -,234** | -,056 | -,094** | -,014 | -,034 | ,027 | 1,000 |
|
|
|
|
|
Экстраверсия / Extraversion | ,372** | ,200** | ,384** | ,383** | ,356** | ,346** | -,278** | ,380** | ,306** | ,350** | ,226** | ,244** | ,110** | -,181** | 1,000 |
|
|
|
|
Доброжелательность / Benevolence | ,304** | ,156** | ,313** | ,373** | ,462** | ,271** | -,226** | ,306** | ,236** | ,298** | ,192** | ,243** | ,220** | -,245** | ,217** | 1,000 |
|
|
|
Сознательность / Conscientiousness | ,294** | ,153** | ,322** | ,406** | ,328** | ,251** | -,177** | ,262** | ,288** | ,277** | ,278** | ,191** | ,194** | -,187** | ,132** | ,445** | 1,000 |
|
|
Нейротизм / Neuroticism | -.340** | -,239** | -,321** | -,388** | -,328** | -,282** | ,292** | -,350** | -,226** | -,257** | -,132** | -,259** | -,113** | ,224** | -,239** | -,430** | -,280** | 1,000 |
|
Открытость опыту / Openness | ,389** | ,226** | ,482** | ,539** | ,397** | ,438** | -,344** | ,474** | ,396** | ,453** | ,334** | ,230** | ,189** | -,260** | ,539** | ,378** | ,379** | -,328** | 1,000 |
Примечание / Note. * — p < 0,05; ** p < 0,01.
Р и с у н о к. Эмпирическая модель профессионального благополучия педагогов ДОУ
F i g u r e. The empirical model of preschool teachers’ professional well-being
Примечание: ПБ ‒ психологическое благополучие; ДК ‒ деятельностный компонент благополучия; ЛК ‒ личностный компонент; ОБ ‒ интегральный показатель психологического благополучия; Зд ‒ субъективная оценка здоровья; АВТ ‒ автономная мотивация; Эн ‒ энергичность; УдР ‒ удовлетворенность работой; БП – базовые потребности в автономии, компетентности, связанности; Д ‒ доброжелательность; С ‒ сознательность; Н ‒ нейротизм; О ‒ открытость опыту; Э ‒ экстраверсия.
Note: ПБ ‒ psychological well-being; ДК ‒ professional component of well-being; ЛК ‒ personal component; ОБ ‒ overall psychological well-being; Зд ‒ subjective assessment of health; АВТ ‒ autonomous motivation; Эн ‒ vigor; УдР ‒ job satisfaction; БП – basic needs for autonomy, competence, connectedness; Д ‒ agreeableness; C ‒ conscientiousness; Н ‒ neuroticism; O ‒ openness; Э ‒ extraversion.
Источник: составлено авторами.
Source: Compiled by the authors.
Т а б л и ц а 3. Характеристики эмпирических моделей для групп педагогов
T a b l e 3. Characteristics of the empirical models for teachers’ groups
Стратификационная переменная / Stratification variable | Характеристики модели / Model characteristics | |||
| CMIN | DF | CFI | RMSEA |
1 | 2 | 3 | 4 | 5 |
Возраст педагога / Teacher’s age | ||||
18‒35 | 48,211 | 45 | 0,995 | 0,023 |
36‒45 | 60,856 | 45 | 0,984 | 0,037 |
46‒55 | 64,264 | 45 | 0,981 | 0,038 |
старше 55 / over 55 | 56,015 | 45 | 0,975 | 0,043 |
Стаж работы / Work experience | ||||
до 1 года / up to 1 year | 75,073 | 45 | 0,834 | 0,128 |
1‒3 / 1‒3 | 58,986 | 45 | 0,971 | 0,056 |
3‒10 / 3‒10 | 62,611 | 45 | 0,983 | 0,039 |
более 10 лет / more than 10 years | 88,888 | 45 | 0,971 | 0,048 |
Квалификационная категория / Qualification category | ||||
Высшая / Higher | 59,178 | 45 | 0,988 | 0,031 |
Первая / First | 72,047 | 45 | 0,973 | 0,049 |
Нет / No | 71,210 | 45 | 0,972 | 0,052 |
Примечание: CMIN – χ 2 для заданного числа степеней свободы; DF ‒ число степеней свободы; CFI – сравнительный критерий согласия; RMSEA – квадратный корень среднеквадратической ошибки аппроксимации.
Note: CMIN – χ 2 for a given number of degrees of freedom; DF ‒ number of degrees of freedom; CFI ‒ comparative fit index; RMSEA ‒ square root of the mean square error of approximation.
Таким образом, лучшая модель профессионального благополучия дошкольных педагогов включает в себя компонент психологического благополучия (с характеристиками интегрального показателя психологического благополучия и субъективной оценки здоровья), деятельностный (с характеристиками автономной мотивации, энергичности, удовлетворенности работой, реализации потребностей в автономии, компетентности, связанности) и личностный (с характеристиками доброжелательности, сознательности, нейротизма, открытость опыту, экстраверсии) компоненты.
Модель описывает профессиональное благополучие педагогов дошкольных образовательных учреждений разного возраста, первой и высшей квалификационной категории со стажем работы не менее трех лет.
Обсуждение и заключение
На основании полученных результатов была предложена трехкомпонентная модель профессионального благополучия педагогов дошкольных образовательных учреждений, включающая в себя компонент общего психологического благополучия, деятельностный и личностный компоненты.
Компонент психологического благополучия выступил в данной модели как совокупность двух показателей – интегрального показателя психологического благополучия, обобщающего значения по шкалам «Позитивные эмоции», «Вовлеченность в деятельность», «Взаимодействие и взаимоотношения с людьми», «Смысл деятельности», «Достижения в деятельности», «Ощущение счастья», и показателя «Здоровье», отражающего значение субъективной репрезентации собственного здоровья у педагогов ДОУ. Предыдущие исследования психологического благополучия рассматриваемой категории показали согласованное изменение показателей основных компонентов модели PERMA, что позволяет включить их в модель в качестве обобщенного параметра, суммирующего значения по отдельным шкалам [39]. Показатель субъективных репрезентаций здоровья представлен в модели общим показателем здоровья, который объединяет значения когнитивного компонента самооценки здоровья, удовлетворенности им, социального сравнения собственного здоровья респондента с другими людьми [42]. Таким образом, компонент психологического благополучия раскрывает содержание основных компонентов благополучия модели PERMA и компонента «Здоровье» как характеристику удовлетворенности жизнью и признания у себя основных механизмов позитивного функционирования в представлениях педагогов дошкольного образования.
Характеристики деятельности, раскрывающие виды мотивации воспитателей, удовлетворенность базовых потребностей, удовлетворенность и увлеченность работой, представляли деятельностный компонент профессионального благополучия. В него вошла характеристика автономных видов мотивации, суммирующая показатели выраженности внутренней, интегрированной и идентифицированной мотивации. Включение в модель каждого из этих видов по отдельности не меняло ее качества. Для профессионального благополучия дошкольных педагогов наиболее важным оказалось удовлетворение потребностей в автономии: замена в структуре модели интегрального показателя удовлетворенности базовых потребностей на показатель удовлетворенности потребности в автономии меняла характеристики модели незначительно (χ2 = 97,614; df = 34; CFI = 0,980; RMSEA = 0,048). Однако показатели удовлетворенности потребности в компетентности и связанности не обнаружили схожей тенденции. Удовлетворенность базовых потребностей коррелирует с личностными чертами педагога. Деятельностный компонент профессионального благополучия включал и интегральный показатель удовлетворенности работой как обобщенную оценку представлений педагога ДОУ о соответствии выбранной профессии, приверженности конкретной образовательной организации, удовлетворенности взаимодействием с коллегами и родителями воспитанников. Интегральный показатель удовлетворенности работой был связан с удовлетворением базовых потребностей. Увлеченность работой представлена характеристикой энергичности, которая отличается высоким уровнем когнитивной гибкости в процессе работы, а также готовностью решать возникающие проблемы. Включение в модель других характеристик увлеченности работой – энтузиазма и поглощенности деятельностью, а также интегрального показателя увлеченности ‒ ухудшало качество модели.
Личностный компонент модели профессионального благополучия в нашем исследовании включал в себя показатели шкал «Большой пятерки», причем связи между этими шкалами позволили предположить наличие у дошкольных педагогов двух возможных личностных профилей, несколько отличающихся от описанных в литературе личностных профилей педагогов школ [43; 44] и дошкольных учреждений [45]. В структуре одного из них доминируют характеристики доброжелательности, сознательности (ответственности) и низкого нейротизма, в структуре другого – экстраверсии и открытости новому опыту, что содержательно отвечает когнитивному компоненту Многомерной модели профессионального благополучия [13]. Эмоциональный интеллект как целостная характеристика не нашел своего представления в данной модели и не включен в личностный компонент. Несмотря на то, что в исследованиях эмоциональный интеллект педагогов [30] выступает как целостная общность и выявляются его специфические профили, в нашей работе как включение общего показателя эмоционального интеллекта, так и показателей отдельных шкал ухудшало характеристики модели.
Полученная модель обладает различной пригодностью для оценки профессионального благополучия педагогов разного возраста, стажа работы и уровня квалификации.
Удовлетворительные характеристики модели обнаружены для всех возрастных групп педагогов ДОУ со стажем работы более трех лет и имеющих высшую и первую квалификационную категории, что позволяет рассматривать модель как релевантную для оценки профессионального благополучия педагога, имеющего опыт профессиональной деятельности и подтвердившего уровень своей квалификации.
Настоящая модель содержательно коррелирует со многими компонентами модели профессионального благополучия педагогов Дж. В. Хорна [13], имеет свою специфику, отражающую особенности деятельности педагогов изучаемой профессиональной группы. Результаты исследования показывают, что профессиональное благополучие воспитателей отличается своеобразным содержанием трех основных компонентов – психологического благополучия, деятельностного и личностного компонентов. Для профессионального благополучия важным является высокий уровень позитивных эмоций, вовлеченности в деятельность, взаимодействий и взаимоотношений с людьми, понимание смысла деятельности, оценка своих достижений, а также субъективное ощущение хорошего здоровья; удовлетворение базовых потребностей в автономии, компетентности, связанности; автономные виды мотивации – внутренняя, интегрированная и идентифицированная; удовлетворенность работой как совокупное представление педагога о соответствии выбранной профессии, приверженности конкретной образовательной организации, удовлетворенности взаимодействием с коллегами и родителями детей; энергичность и работоспособность педагога, готовность к трудностям; высокий уровень развития доброжелательности, сознательности (ответственности), открытость новому опыту, экстраверсия и низкий уровень нейротизма.
Модель профессионального благополучия педагога ДОУ, представленная как композиция определенных характеристик психологического благополучия, профессиональной деятельности и личностных черт, получила свое подтверждение в результате эмпирической проверки. Она может быть использована в работе психологических служб системы образования, особенно в деятельности психологов, работающих с педагогическими коллективами дошкольных образовательных учреждений. В частности, для психологов актуальные направления работы с педагогами дошкольных образовательных учреждений будут связаны с развитием представлений о психологическом благополучии, субъективном восприятии здоровья, базовых потребностях и видах мотивации деятельности, вовлеченности и удовлетворенности работой, личностных чертах профессионала. Развитие у педагогов соответствующих личностных ресурсов может служить целевым ориентиром в организации взаимодействия психолога и педагога. Для руководителей дошкольных образовательных учреждений актуальной задачей может считаться поддержание автономных видов мотивации деятельности педагогов, а также задача оптимизации организационных факторов деятельности, направленных на повышение удовлетворенности ею и развитие лояльности и приверженности педагога своей образовательной организации. В целом оценка выраженности компонентов профессионального благополучия педагога может составлять основу разработки и проектирования программ психологического сопровождения и профессионального роста педагога дошкольного образования.
Модель профессионального благополучия может использоваться в системе управления дошкольными образовательными учреждениями при разработке и реализации программ карьерного развития педагога, а также для решения вопросов об удержании педагога в профессии.
Представленная модель не претендует на всеобщность описания. Границы ее применимости определяются следующими обстоятельствами.
- Модель продемонстрировала удовлетворительные характеристики для педагогов ДОУ со стажем работы более трех лет, с высшей и первой квалификационной категориями, их вхождение в профессию можно считать состоявшимся. Для педагогов, начинающих свой путь в профессии, данная модель имеет ограничения.
- Результаты исследования отражают особенности профессиональной группы педагогов дошкольных образовательных учреждений и не могут быть перенесены непосредственно на представителей других профессиональных педагогических групп и в целом педагогического сообщества.
Модель не учитывает все возможные параметры профессиональной деятельности педагога ДОУ, в частности, содержание его профессиональных ценностей и смыслов, стиль педагогической деятельности, особенности профессиональных ситуаций, социокультурную специфику жизни и деятельности респондентов. Эти аспекты могут потребовать дополнительных исследований для более полного понимания феномена профессионального благополучия педагогов.
1 Deci E. L., Ryan R. M. Self-Determination Theory: Basic Psychological Needs in Motivation, Development, and Wellness. Guilford Publishing, 2018. 756 p.; Seligman M. E. Flourish: A Visionary New Understanding of Happiness and Well-Being. New York ; Toronto : Free Press, 2012. 349 p.
2 Там же.
3 Там же.
4 Seligman M. E. Flourish: A Visionary New Understanding of Happiness and Well-Being; Bradburn N. The Structure of Psychological Well-Being. Aldine Publishing Company, 1969. 318 р.
5 Bakker A. B., Oerlemans W. G. M. Subjective Well-Being in Organizations // Handbook of Positive Organizational Scholarship. New York : Oxford University Press, 2011. P. 178–189.
6 Judge T. A., Klinger R. Job Satisfaction and Subjective Well-Being at Work // The Science of Subjective Well-Being ; ed by M. Eid, R. Larsen. New York : Guilford Publications, 2008. P. 393–413.
7 Maslach C., Leiter M. P. The Truth about Burnout: How Organization Cause Personal Stress and What to Do about it. Jossey-Bass, 1997. 200 p.
8 Schaufeli W., Bakker A. Utrecht Work Engagement Scale: Preliminary Manual. Utrecht : Occupational Health Psychology Unit. Utrecht University, 2004. 60 p.
9 Csikzentmihalyi M., Csikzentmihalyi I. S. Experience: Psychological Studies of Flow in Consciousness. Cambridge University Press, 1992. 432 p.
10 Deci E. L., Ryan R. M. Self-Determination Theory: Basic Psychological Needs in Motivation, Development, and Wellness.
11 Иванова Т. Ю. Функциональная роль личностных ресурсов в обеспечении психологического благополучия : дис. … канд. психол. наук. М., 2016. 206 с.
12 Deci E. L., Ryan R. M. Intrinsic Motivation and Self-Determination in Human Behavior. New York : Plenum, 1985. 371 p.
13 Schaufeli W., Bakker A. Utrecht Work Engagement Scale: Preliminary Manual. Utrecht : Occupational Health Psychology Unit. Utrecht University, 2003; Кутузова Д. А. Организация деятельности и стиль саморегуляции как факторы профессионального выгорания педагога-психолога : дис. ... канд. психол. наук. М., 2006. 213 с.
14 Kline R. B. Principles and Practice of Structural Equation Modeling. 4th ed. New York, NY : The Guilford Press, 2016. 554 p.
Об авторах
Елена Николаевна Волкова
Психологический институт Российской академии образования
Автор, ответственный за переписку.
Email: envolkova@yandex.ru
ORCID iD: 0000-0001-9667-4752
Scopus Author ID: 35486087600
ResearcherId: G-8595-2015
доктор психологических наук, профессор, ведущий научный сотрудник лаборатории психологии детства и цифровой социализации
Россия, 125009, г. Москва, ул. Моховая, д. 9, стр. 4Оксана Михайловна Исаева
НИУ ВШЭ – Нижний Новгород
Email: oisaeva@hse.ru
ORCID iD: 0000-0002-0926-5182
Scopus Author ID: 57214320419
ResearcherId: E-8096-2018
кандидат психологических наук, доцент кафедры организационной психологии
Россия, 603155, г. Нижний Новгород, ул. Большая Печерская, д. 25/12Юлия Эдуардовна Макаревская
Сочинский государственный университет
Email: yuliya-sochi@mail.ru
ORCID iD: 0000-0001-6937-6784
Scopus Author ID: 57224937203
кандидат психологических наук, доцент, доцент кафедры психологии и дефектологии
Россия, 354000, г. Сочи, ул. Пластунская, д. 94Арина Вячеславовна Кисель
Международная педагогическая академия дошкольного образования
Email: kisel@mpado.ru
ORCID iD: 0000-0001-9301-5815
сотрудник кафедры ЮНЕСКО по образованию и развитию детей младшего возраста
Россия, 123308, г. Москва, ул. Мневники, д. 7, корп. 1Список литературы
- Diener E., Oishi S., Tay L. Advances in Subjective Well-Being Research // Nature Human Behaviour. 2018. Vol. 2. P. 253‒260. https://doi.org/10.1038/s41562-018-0307-6
- Kornienko D. S., Rudnova N. A. Exploring the Associations between Happiness, Life-Satisfaction, Anxiety, and Emotional Regulation among Adults during the Early Stage of the COVID-19 Pandemic in Russia // Psychology in Russia: State of the Art. 2023. Vol. 16, issue 1. P. 98–112. https://doi.org/10.11621/pir.2023.0106
- Ушакова О. С. Становление отечественной системы дошкольного воспитания // Современное дошкольное образование. 2023. № 1 (115). С. 26–34. https://doi.org/10.24412/2782-4519-2023-1115-26-34
- Ryff C. D., Keyes C. L. M. The Structure of Psychological Well-Being Revisited // Journal of Personality and Social Psychology. 1995. Vol. 69, issue 4. P. 719–727. https://doi.org/10.1037/0022-3514.69.4.719
- Дехтяренко А. А., Савченко Н. Л., Шлягина Е. И. О различном вкладе личностных характеристик в компоненты субъективного благополучия // Вестник Московского университета. Сер. 14: Психология. 2023. Т. 46, № 3. С. 120–142. https://doi.org/10.11621/LPJ-23-30
- Минюрова С. А., Заусенко И. В. Личностные детерминанты психологического благополучия педагога // Педагогическое образование в России. 2013. № 1. С. 94‒101. URL: https://pedobrazovanie.ru/images/JOURNAL/archive2013/2013-1-tx1c/16.pdf (дата обращения: 20.12.2023).
- An Approach to Teacher Training Based on the “Technological” Content of Primary Science Education / E. V. Vysotskaya [et al.] // New Ideas in Child and Educational Psychology. 2022. Vol. 2, issue 1‒2. P. 30‒48. https://doi.org/10.11621/nicep.2022.0202
- Professional Values and Educational Needs in Mental Health Professionals: Survey Results / A. A. Kibitov [et al.] // Consortium Psychiatricum. 2022. Vol. 3, issue 3. P. 36‒45. https://doi.org/10.17816/CP184
- Березовская Р. А. Профессиональное благополучие: проблемы и перспективы психологических исследований // Психологические исследования. 2016. Т. 9, № 45. https://doi.org/10.54359/ps.v9i45.489
- Cotton P., Hart P. M. Occupational Wellbeing and Performance. A Review of Organizational Health Research // Australian Psychologist. 2003. Vol. 38, issue 2. P. 118‒127. https://doi.org/10.1080/00050060310001707117
- Емелин В. А., Рассказова Е. И., Иванова Т. Ю. Профессиональная идентичность и удовлетворенность профессиональной деятельностью как факторы благополучия на рабочем месте // Вестник Московского университета. Сер. 14: Психология. 2022. № 4. C. 115–135. https://doi.org/10.11621/vsp.2022.04.05
- Nikitin I. V., Lavrenyuk E. N. Exploring Educatorsʼ Views on Professional Deficiencies in Education Quality Assessment // New Ideas in Child and Educational Psychology. 2022. Vol. 2, issue 1‒2. P. 30‒48. https://doi.org/10.11621/nicep.2022.0203
- The Structure of Occupational Well-Being: A Study Among Dutch Teachers / V. J. E. Horn [et al.] // Journal of Occupational and Organizational Psychology. 2004. Vol. 77, issue 3. P. 365‒375. https://doi.org/10.1348/0963179041752718
- Baldschun A. The Six Dimensions of Child Welfare Employees’ Occupational Well-Being // Nordic Journal of Working Life Studies. 2014. Vol. 4, issue 4. P. 69‒87. https://doi.org/10.19154/njwls.v4i4.4708
- Kahn W. A. Psychological Conditions of Personal Engagement and Disengagement at Work // Academy of Management Journal. 1990. Vol. 33, issue 4. P. 692–724. URL: https://journals.aom.org/doi/abs/10.5465/256287 (дата обращения: 20.12.2023).
- Абдулаева Е. А. От отзывчивости к самоорганизации: сопоставление подходов к ребенку в вальдорфской и «директивной» педагогике // Национальный психологический журнал. 2022. № 3. P. 77–88. https://doi.org/10.11621/npj.2022.0310
- Psychological and Pedagogical Problems of Distance Learning in the Views of Teachers and Parents / M. M. Dalgatov [et al.] // Russian Psychological Journal. 2022. Vol. 19, issue 2. P. 75–88. https://doi.org/10.21702/rpj.2022.2.6
- Granziera H., Perera H. Relations among Teachers’ Self-Efficacy Beliefs, Engagement and Work Satisfaction: A Social Cognitive View // Contemporary Educational Psychology. 2019. Vol. 58. P. 75–84. https://doi.org/10.1016/j.cedpsych.2019.02.003
- Pourtousi Z., Ghanizadeh A. Teachers’ Motivation and Its Association with Job Commitment and Work Engagement // Psychological Studies. 2020. Vol. 65. P. 455–466. https://doi.org/10.1007/s12646-020-00571-x
- Линч М. Базовые потребности и субъективное благополучие с точки зрения теории самодетерминации // Психология. Журнал Высшей школы экономики. 2004. № 3. С. 137–142. URL: https://psy-journal.hse.ru/data/2011/04/28/1210639599/137-142.pdf (дата обращения: 20.12.2023).
- Гордеева Т. О., Сычев О. А., Осин Е. Н. Внутренняя и внешняя учебная мотивация студентов: их источники и влияние на психологическое благополучие // Вопросы психологии. 2013. № 1. С. 35‒45. URL: https://publications.hse.ru/pubs/share/folder/2qgr5z65t0/76388979.pdf (дата обращения: 20.12.2023).
- Chirkov V. I., Ryan R. M. Parent and Teacher Autonomy-Support in Russian and U.S. Adolescents: Common Effects on Well-Being and Academic Motivation // Journal of Cross-Cultural Psychology. 2001. Vol. 32, issue 5. P. 618–635. https://doi.org/10.1177/0022022101032005006
- Fuller B., Waite A., Torres I. D. Explaining Teacher Turnover: School Cohesion and Intrinsic Motivation in Los Angeles // American Journal of Education. 2016. Vol. 122, issue 4. P. 537–567. https://doi.org/10.1086/687272
- Klaeijsen A., Vermeulen M., Martens R. Teachers’ Innovative Behaviour: The Importance of Basic Psychological Need Satisfaction, Intrinsic Motivation, and Occupational Self-Efficacy // Scandinavian Journal of Educational Research. 2018. Vol. 62, issue 5. P. 769‒782. https://doi.org/10.1080/00313831.2017.1306803
- Töre E. Effects of Intrinsic Motivation on Teacher Emotional Labor: Mediating Role of Affective Commitment // International Journal of Progressive Education. 2020. Vol. 16, issue 5. P. 390–403. https://doi.org/10.29329/ijpe.2020.277.24
- Kell H. J. Do Teachers’ Personality Traits Predict Their Performance? A Comprehensive Review of the Empirical Literature from 1990 to 2018 // ETS Research Report Series. 2019. Vol. 2019, issue 1. P. 1–27. https://doi.org/10.1002/ets2.12241
- Kim L. E., Jörg V., Klassen R. M. A Meta-Analysis of the Effects of Teacher Personality on Teacher Effectiveness and Burnout // Educational Psychology Review. 2019. Vol. 31. P. 163–195. https://doi.org/10.1007/s10648-018-9458-2
- Yilmaz K. The Relationship between the Teachers’ Personality Characteristics and Burnout Levels // The Anthropologist. 2014. Vol. 18, issue 3. P. 783–792. https://doi.org/10.1080/09720073.2014.11891610
- Alavinia P., Ahmadzadeh T. Toward a Reappraisal of the Bonds between Emotional Intelligence and Burnout // English Language Teaching. 2012. Vol. 5, issue 4. P. 37–50. https://doi.org/10.5539/elt.v5n4p37
- Trait Emotional Intelligence Profiles, Burnout, Anxiety, Depression, And Stress in Secondary Education Teachers / M. C. Monteagudo [et al.] // Personality and Individual Differences. 2019. Vol. 142. P. 53–61. https://doi.org/10.1016/j.paid.2019.01.036
- Abiodullah M., Dur-e-Sameen M. A. Emotional Intelligence as a Predictor of Teacher Engagement in Classroom // Bulletin of Education and Research. 2020. Vol. 42, issue 1. P. 127–140. URL: https://files.eric.ed.gov/fulltext/EJ1258049.pdf (дата обращения: 20.12.2023).
- Pervaiz S., Ali A., Asif M. Emotional Intelligence, Emotional Labor Strategies and Satisfaction of Secondary Teachers in Pakistan // International Journal of Educational Management. 2019. Vol. 33, issue 4. P. 721–733. https://doi.org/10.1108/IJEM-12-2017-0350
- Butler J., Kern M. L. The PERMA-Profiler: A Brief Multidimensional Measure of Flourishing // International Journal of Wellbeing. 2016. Vol. 6, issue 3. P. 1‒48. https://doi.org/10.5502/ijw.v6i3.526
- Исаева О. М., Акимова А. Ю., Волкова Е. Н. Опросник благополучия PERMA-Profiler: апробация русскоязычной версии // Социальная психология и общество. 2022. Т. 13, № 3. C. 116‒133. https://doi.org/10.17759/sps.2022130308
- Удовлетворение базовой психологической потребности как источник мотивации труда и субъективного благополучия российских работников / Е. Н. Осин [и др.] // Психология. Журнал Высшей школы экономики. 2015. Т. 12, № 4. С. 103‒121. URL: https://psy-journal.hse.ru/data/2016/03/17/1127416937/PJHSE_4_2015_103_121.pdf (дата обращения: 20.12.2023).
- Профессиональная мотивация сотрудников российских предприятий: диагностика и связи с благополучием и успешностью деятельности / Е. Н. Осин [и др.] // Организационная психология. 2017. Т. 7, № 4. С. 21‒49. URL: https://orgpsyjournal.hse.ru/data/2017/12/30/1160730115/OrgPsy_2017_4(2)_Osin_et_ al(21-49).pdf (дата обращения: 20.12.2023).
- Панкратова А. А., Корниенко Д. С., Люсин Д. В. Апробация краткой версии Опросника ЭМИН // Психология. Журнал Высшей школы экономики. 2022. Т. 19, № 4. С. 822–834. https://doi.org/10.17323/18138918-2022-4-822-834
- Егорова М. С., Паршикова О. В. Психометрические характеристики Короткого портретного опросника Большой пятерки (Б5-10) // Психологические исследования. 2016. Т. 9, № 45. https://doi.org/10.54359/ ps.v9i45.492
- Психологическое благополучие воспитателей дошкольных образовательных учреждений России / Е. Н. Волкова [и др.] // Психологическая наука и образование. 2023. Т. 28, № 3. C. 85‒100. https://doi.org/10.17759/pse.2023280307
- Руднова Н. А., Волкова Е. Н., Корниенко Д. С. Особенности профессиональной мотивации педагогов дошкольных образовательных учреждений в связи с увлеченностью работой // Вестник Российского университета дружбы народов. Сер.: Психология и педагогика. 2023. Т. 20, № 3. С. 650–668. https://doi.org/10.22363/2313-1683-2023-20-3-650-668
- Schermelleh-Engel K., Moosbrugger H., Muller H. Evaluating the Fit of Structural Equation Models: Tests of Significance and Descriptive Goodness-Of-Fit Measures // MPR Online. 2003. Vol. 8, issue 2. P. 23–74. URL: https://doi.org/10.23668/psycharchives.12784 (дата обращения: 20.12.2023).
- Волкова Е. Н., Руднова Н. А., Калимуллин А. М. Субъективные репрезентации здоровья воспитателей дошкольных образовательных учреждений // Социальная психология и общество. 2023. Т. 14, № 2. C. 103‒115. https://doi.org/10.17759/sps.2023140207
- Perera H. N., Granziera H., McIlveen P. Profiles of Teacher Personality and Relations with Teacher Self-Efficacy, Work Engagement and Job Satisfaction // Personality and Individual Differences. 2018. Vol. 120. P. 171–178. https://doi.org/10.1016/j.paid.2017.08.034
- Sharafi Z., Mokarar M. H. Study the Relationship between Teachers, Personality Traits, Job Stress and Self-Efficiency in Zabol at 2015–2016 // The Social Sciences. 2016. Vol. 11, issue 13. P. 3201–3208. URL: https://docsdrive.com/pdfs/medwelljournals/sscience/2016/3201-3208.pdf (дата обращения: 20.12.2023).
- Smidt W., Kammermeyer G., Roux S. Relations between the Big Five Personality Traits of Prospective Early Childhood Pedagogues and Their Beliefs about the Education of Preschool Children: Evidence from a German Study // Learning and Individual Differences. 2015. Vol. 37. P. 96–106. https://doi.org/10.1016/j.lindif.2014.11.002
Дополнительные файлы




