НЕЛИНЕЙНАЯ ДИНАМИКА МИКРОМЕХАНИЧЕСКОГО НЕКОНТАКТНОГО ИНДУКЦИОННОГО ПОДВЕСА
- Authors: 1,2, 2, 1, 1, 1, 3
-
Affiliations:
- Санкт-Петербургский политехнический университет Петра Великого
- Институт проблем машиноведения Российской академии наук
- Institute of Microstructure Technology, Karlsruhe Institute of Technology
- Issue: No 6 (2023)
- Pages: 98-112
- Section: Articles
- URL: https://journals.rcsi.science/1026-3519/article/view/231725
- DOI: https://doi.org/10.31857/S0572329922600864
- EDN: https://elibrary.ru/RTQSUR
- ID: 231725
Cite item
Full Text
Abstract
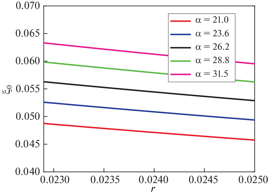
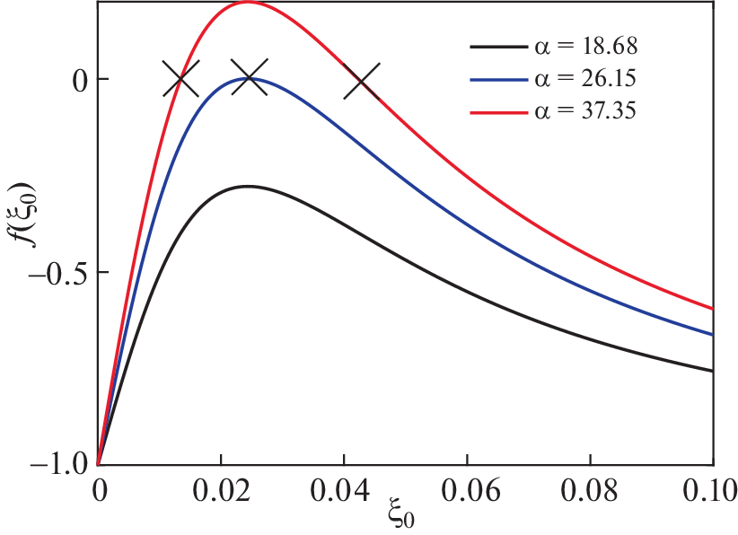
В работе выполняется построение и исследование нелинейной электромеханической модели движения микромасштабного проводящего недеформируемого кольца в неконтактном электромагнитном индукционном подвесе. Аналитически найдены положения равновесия кольца, исследована их устойчивость, построены соответствующие бифуркационные диаграммы. С применением асимптотических методов нелинейной механики исследована нелинейная динамика системы вблизи ее положения равновесия. Проведена линеаризация системы вблизи ее положения равновесия, получено выражение для магнитной жесткости подвеса. Рассмотрена возможность использования электростатических полей для управления величиной суммарной линейной жесткости левитирующего подвеса.
About the authors
Санкт-Петербургский политехнический университет Петра Великого; Институт проблем машиноведения Российской академии наук
Author for correspondence.
Email: skubov.dsk@yandex.ru
Россия, Санкт-Петербург; Россия, Санкт-Петербург
Институт проблем машиноведения Российской академии наук
Email: k.poletkin@gmail.com
Россия, Санкт-Петербург
Санкт-Петербургский политехнический университет Петра Великого
Author for correspondence.
Email: pp_udalov@mail.ru
Россия, Санкт-Петербург
Санкт-Петербургский политехнический университет Петра Великого
Author for correspondence.
Email: popov_ia@spbstu.ru
Россия, Санкт-Петербург
Санкт-Петербургский политехнический университет Петра Великого
Author for correspondence.
Email: lukin_av@spbstu.ru
Россия, Санкт-Петербург
Institute of Microstructure Technology, Karlsruhe Institute of Technology
Author for correspondence.
Email: k.poletkin@gmail.com
Germany, Karlsruhe
References
- Post R.F., Ryutov D.D. The Inductrack: A simpler approach to magnetic levitation // IEEE Trans. Appl. Supercond. 2000. V. 10. № 1. P. 901–904. https://doi.org/10.1109/77.828377
- Kordyuk A.A. Magnetic levitation for hard superconductors // J. Appl. Phys. 1998. V. 83. № 1. P. 610–612. https://doi.org/10.1063/1.366648
- Крюков О.В. Преимущества электромагнитного подвеса приводных электродвигателей газоперекачивающих агрегатов // Главный энергетик. 2015. Т. 5–6. № 9. С. 16–23.
- Han H., Kim D. Magnetic levitation. Springer. 2016. https://doi.org/10.1007/978-94-017-7524-3
- Maxwell J. Electricity and magnetism. Dover New York. 1954. V. 2.
- Poletkin K.V., Chernomorsky A.I., Shearwood C. Proposal for micromachined accelerometer, based on a contactless suspension with zero spring constant // IEEE Sens. J. 2012. V. 12. № 7. P. 2407–2413. https://doi.org/10.1109/JSEN.2012.2188831
- Poletkin K.V., Asadollahbaik A., Kampmann R., Korvink J. Levitating micro-actuators: A review // Actuators. 2018. V. 7. № 2. P. 17. https://doi.org/10.3390/act7020017
- Lu Z., Poletkin K., den Hartogh B. et al. 3D micro-machined inductive contactless suspension: Testing and modeling // Sens. Actuator A Phys. 2014. V. 220. P. 134–143. https://doi.org/10.1016/j.sna.2014.09.017
- Poletkin K., Lu Z., Wallrabe U., Badilita V. A new hybrid micromachined contactless suspension with linear and angular positioning and adjustable dynamics // J. Microelectromechanical Syst. 2015. V. 24. № 5. P. 1248–1250. https://doi.org/10.1109/JMEMS.2015.2469211
- Poletkin K., Lu Z., Wallrabe U. et al. Stable dynamics of micro-machined inductive contactless suspensions // Int. J. Mech. Sci. 2017. V. 131–132. P. 753–766. https://doi.org/10.1016/j.ijmecsci.2017.08.016
- Poletkin K. On the static pull-in of tilting actuation in electromagnetically levitating hybrid micro-actuator: Theory and experiment // Actuators. 2021. V. 10. № 10. P. 256. https://doi.org/10.3390/act10100256
- Poletkin K.V. Static pull-In behavior of hybrid levitation microactuators: Simulation, modeling, and experimental study // IEEE/ASME Trans. Mechatron. 2021. V. 26. № 2. P. 753–764. https://doi.org/10.1109/TMECH.2020.2999516
- van de Vegte J. Feedback control systems // Automatica. 1996. V. 6. № 32. P. 945–946.
- Poletkin K.V., Shalati R., Korvink J.G., Badilita V. Pull-in actuation in hybrid micromachined contactless suspension // J. Phys.: Conf. Ser. 2018. V. 1052. P. 012035. https://doi.org/10.1088/1742-6596/1052/1/012035
- Poletkin K.V., Lu Z., Wallrabe U. et al. A qualitative technique to study stability and dynamics of micro-machined inductive contactless suspensions // 2017 19th International Conference on Solid-State Sensors, Actuators and Microsystems (TRANSDUCERS). 2017. P. 528–531. https://doi.org/10.1109/TRANSDUCERS.2017.7994102.
- Poletkin K.V. Calculation of magnetic force and torque between two arbitrarily oriented circular – laments using Kalantarov–Zeitlin’s method // Int. J. Mech. Sci. 2022. V. 220. P. 107159. https://doi.org/10.1016/j.ijmecsci.2022.107159
- Poletkin K. Levitation micro-systems: Applications to sensors and actuators. Springer Nature. 2020. https://doi.org/10.1007/978-3-030-58908-0
- Rosa E., Grover F. Formulas and tables for the calculation of mutual and self-inductance. No. 169. US Government Printing Office. 1948.
- Poletkin K.V., Korvink J.G. Modeling a pull-in instability in micro-machined hybrid contactless suspension // Actuators. 2018. V. 7. № 1. P. 11. https://doi.org/10.3390/act7010011
- Lu Z., Poletkin K., Wallrabe U., Badilita V. Performance characterization of micromachined inductive suspensions based on 3D wire-bonded microcoils // Micromachines. 2014. V. 5. № 4. P. 1469–1484. https://doi.org/10.3390/mi5041469
- Тамм И.Е. Основы теории электричества. М.: Физматлит. 2003.
- Калантаров П.Л., Цейтлин Л.А. Расчет индуктивностей. Справочная книга. Л.: Энергоатомиздат. 1986.
- Nayfeh A.H. Perturbation methods. John Wiley & Sons. 2008. https://doi.org/10.1002/9783527617609
- Kuznetsov Yu. A. Elements of applied bifurcation theory. Springer-Verlag. 1998. https://doi.org/10.1007/978-1-4757-3978-7
- Dhooge A., Govaerts W., Kuznetsov Yu.A. MATCONT: A MATLAB Package for numerical bifurcation analysis of ODEs // ACM Trans. Math. Softw. 2003. V. 29. № 2. P. 141–164. https://doi.org/10.1145/779359.779362
- Higham D., Higham N. MATLAB Guide. Third edition. Society for Industrial and Applied Mathematics. 2017. P. 500. ISBN: 978-1-61197-465-2.
- Williams C.B., Shearwood C., Mellor P.H., Yates R.B. Modelling and testing of a frictionless levitated micromotor // Sens. Actuator A Phys. 1997. V. 61. № 1. P. 469–473. https://doi.org/10.1016/S0924-4247(97)80307-X
Supplementary files












