Электрическая стимуляция спинного мозга как метод регуляции кинематики ходьбы у постинсультных пациентов
- Авторы: Богачева И.Н.1, Щербакова Н.А.1, Мошонкина Т.Р.1, Гришин А.А.1, Скворцов Д.В.2,3, Кауркин С.Н.2,3, Герасименко Ю.П.1
- 
							Учреждения: 
							- Институт физиологии им. И.П. Павлова РАН
- Федеральный научный клинический центр ФМБА России
- Федеральный центр мозга и нейротехнологий ФМБА России
 
- Выпуск: Том 109, № 4 (2023)
- Страницы: 424-437
- Раздел: ЭКСПЕРИМЕНТАЛЬНЫЕ СТАТЬИ
- URL: https://journals.rcsi.science/0869-8139/article/view/137920
- DOI: https://doi.org/10.31857/S0869813923040040
- EDN: https://elibrary.ru/VIYDMZ
- ID: 137920
Цитировать
Полный текст
Аннотация
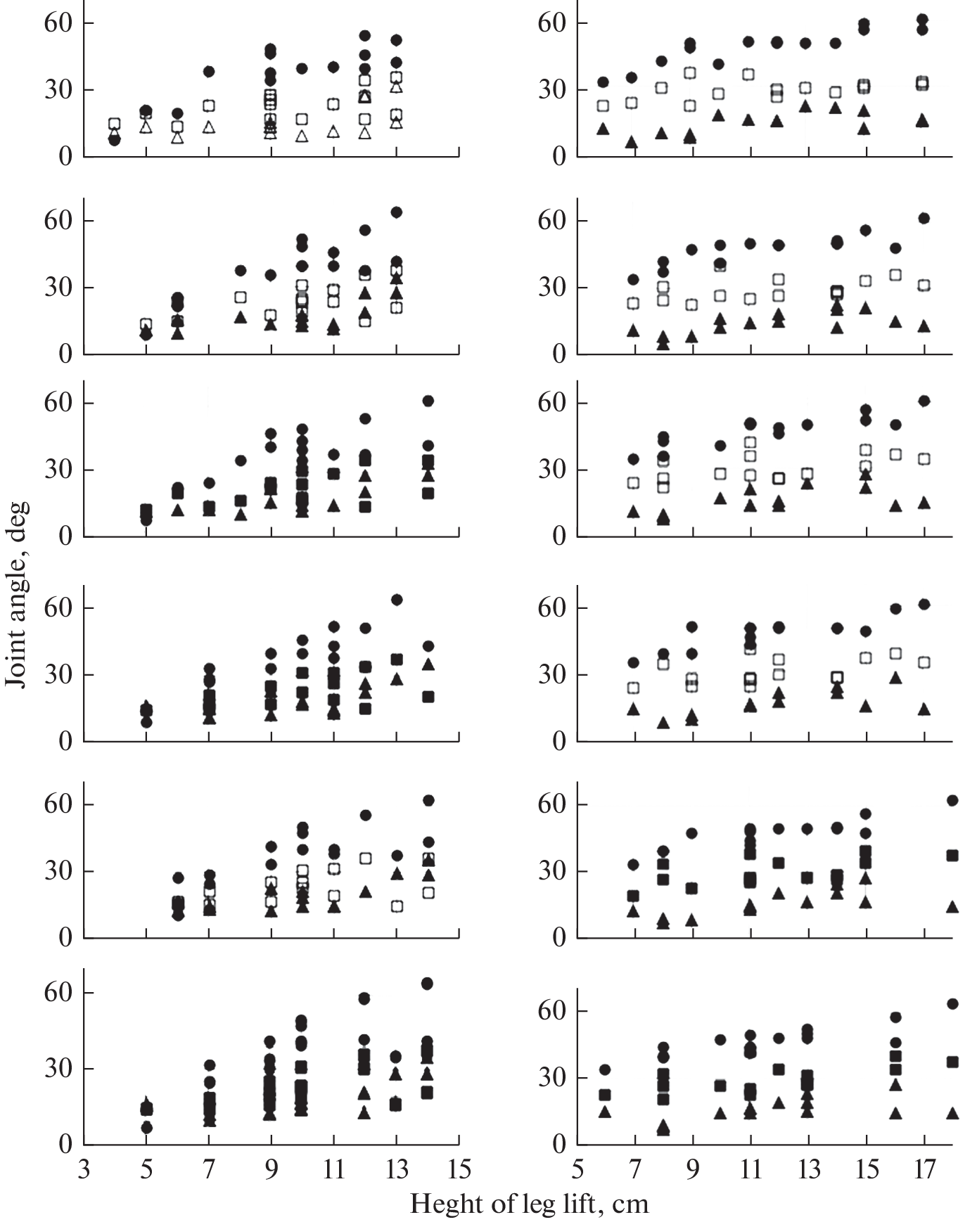
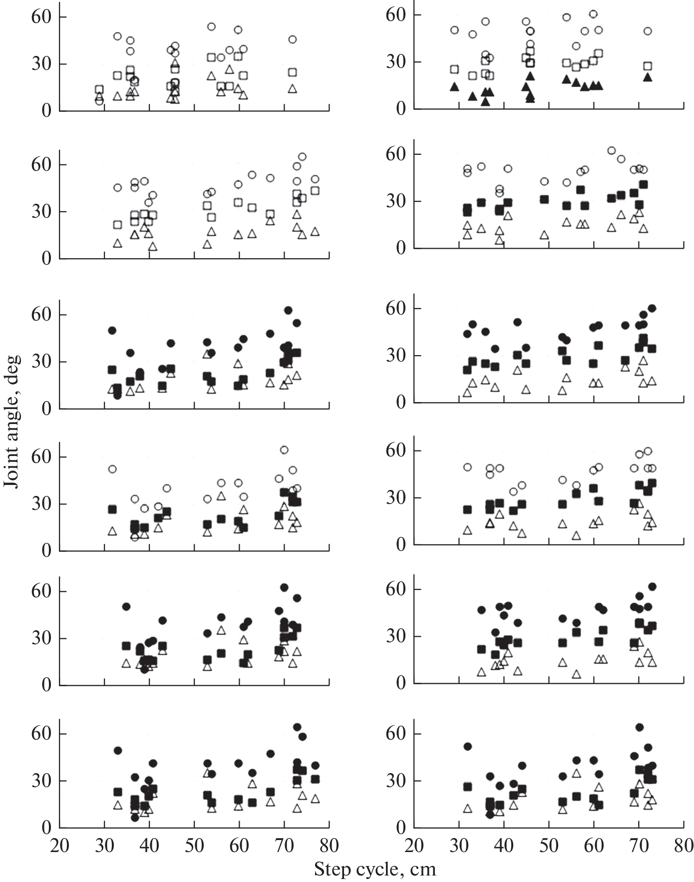
Мультисегментарная чрескожная электрическая стимуляция спинного мозга (ЧЭССМ), воздействующая на спинальные нейронные сети и моторные пулы мышц ног, применялась для коррекции ходьбы по беговой дорожке у пациентов, перенесших инсульт. В исследовании принимали участие 15 пациентов в восстановительном периоде после острого нарушения мозгового кровообращения. Неинвазивный спинальный нейропротез с многоканальным стимулятором для ЧЭССМ и системой детектирования фаз шагательного цикла (“Косима”, Россия) использовался для активации моторных пулов мышц-сгибателей ноги в фазе переноса, активации моторных пулов мышц-разгибателей в фазе опоры в сочетании с непрерывной активацией спинальных локомоторных сетей. Применение ЧЭССМ при ходьбе по беговой дорожке вызывало увеличение амплитуды движений в голеностопном суставе и длины цикла шага на стороне пареза, а также уменьшение асимметрии в фазах шага обеих ног. У 80% пациентов возрастал подъем паретичной ноги над опорой. При сочетании непрерывной и фазозависимой стимуляций увеличение размаха движения в суставах было максимальным по сравнению с только фазозависимой или только постоянной стимуляцией. Полученные данные демонстрируют, что предложенный алгоритм ЧЭССМ модулирует параметры шагательных движений у пациентов с последствиями нарушения мозгового кровообращения и может рассматриваться как перспективный метод двигательной реабилитации.
Ключевые слова
Об авторах
И. Н. Богачева
Институт физиологии им. И.П. Павлова РАН
							Автор, ответственный за переписку.
							Email: bogacheva@infran.ru
				                					                																			                												                								Россия, Санкт-Петербург						
Н. А. Щербакова
Институт физиологии им. И.П. Павлова РАН
														Email: bogacheva@infran.ru
				                					                																			                												                								Россия, Санкт-Петербург						
Т. Р. Мошонкина
Институт физиологии им. И.П. Павлова РАН
														Email: bogacheva@infran.ru
				                					                																			                												                								Россия, Санкт-Петербург						
А. А. Гришин
Институт физиологии им. И.П. Павлова РАН
														Email: bogacheva@infran.ru
				                					                																			                												                								Россия, Санкт-Петербург						
Д. В. Скворцов
Федеральный научный клинический центр ФМБА России; Федеральный центр мозга и нейротехнологий ФМБА России
														Email: bogacheva@infran.ru
				                					                																			                												                								Россия, Москва; Россия, Москва						
С. Н. Кауркин
Федеральный научный клинический центр ФМБА России; Федеральный центр мозга и нейротехнологий ФМБА России
														Email: bogacheva@infran.ru
				                					                																			                												                								Россия, Москва; Россия, Москва						
Ю. П. Герасименко
Институт физиологии им. И.П. Павлова РАН
														Email: bogacheva@infran.ru
				                					                																			                												                								Россия, Санкт-Петербург						
Список литературы
- Feigin V, Norrving B, Mensah G (2017) Global burden of stroke. Circ Res 120: 439–448. https://doi.org/10.1161/CIRCRESAHA.116.308413
- Хатькова СЕ, Костенко ЕВ, Акулов МА, Дягилева ВП, Николаев ЕА, Орлова АС (2019) Современные аспекты патофизиологии нарушений ходьбы у пациентов после инсульта и особенности их реабилитации. Журн неврол психиатр им СС Корсакова 119: 43–50. [Khatkova SE, Kostenko EV, Akulov MA, Diaghileva VP, Nikolaev EA, Orlova AS (2019) Modern aspects of the pathophysiology of walking disorders in patients after stroke and features of their rehabilitation. J Neurol Psychiatry named after SS Korsakov 119: 43–50. (In Russ)]. https://doi.org/10.17116/jnevro20191191214
- Angeli CA, Boakye M, Morton RA,Vogt J, Benton K, Chen Y, Ferreira CK, Harkema SJ (2018) Recovery of over-ground walking after chronic motor complete spinal cord injury. N Engl J Med 379: 1244–1250. https://doi.org/10.1056/NEJMoa1803588
- Darrow D, Balser D, Netoff Th, Krassioukov A, Phillips A, Parr A, Samadani U (2019) Epidural Spinal Cord Stimulation Facilitates Immediate Restoration of Dormant Motor and Autonomic Supraspinal Pathways after Chronic Neurologically Complete Spinal Cord Injury. J Neurotrauma 36: 2325–2336. https://doi.org/10/1089/neu.2018.6006
- Gerasimenko Y, Gorodnichev R, Moshonkina T, Sayenko D, Gad P, Edgerton VR (2015) Transcutaneous electrical spinal-cord stimulation in humans. An Phys Rehabil Med 58: 225–231. https://doi.org/10.1016/j.rehab.2015.05.003
- Hofstoetter U, Freundl B, Binder H, Minassian K (2018) Common neural structures activated by epidural and transcutaneous lumbar spinal cord stimulation: elicitation of posterior root-muscle reflexes. PLoS One13: 1–22. https://doi.org/10.1371/journal.pone.0192013
- Danner S, Hofstoetter U, Ladenbauer J, Rattay F, Minassian K (2011) Can the human lumbar posterior columns be stimulated by transcutaneous spinal cord stimulation? A modeling study. J Artific Organs 35: 257–282. https://doi.org/10.1111/j.1525-1594.2011.01213.x
- Minassian K, Perret I, Hofstoetter U (2021) Epidural and Transcutaneous Spinal Cord Stimulation Strategies for Motor Recovery After Spinal Cord Injur. In: Neuroprosthetics and Brain-Computer Interfaces in Spinal Cord Injury 167–190.
- Rath M, Vette AH, Ramasubramaniam S, Li K, Burdick J, Edgerton VR, Gerasimenko YP, Sayenko DG (2018) Trunk Stability Enabled by Noninvasive Spinal Electrical Stimulation after Spinal Cord Injury. J Neurotrauma 21: 2540–2553. https://doi.org/10.1089/neu.2017.5584
- Gad P, Gerasimenko Y, Zdunowski S, Turner A, Sayenko D, Lu DC, Edgerton VR (2017) Weight bearing over-ground stepping in an exoskeleton with non-invasive spinal cord neuromodulation after motor complete paraplegia. Front Neurosci 11: 1–8. https://doi.org/10.3389/fnins.2017.00333
- Seáñez I, Capogrosso M (2021) Motor improvements enabled by spinal cord stimulation combined with physical training after spinal cord injury: review of experimental evidence in animals and humans. Bioelectron Med 7: 16 https://doi.org/10.1186/s42234-021-00077-5
- Балыкин МВ, Якупов РН, Машин ВВ, Котова ЕЮ, Балыкин ЮМ, Герасименко ЮП (2017) Влияние неинвазивной электрической стимуляции спинного мозга на локомоторные функции пациентов с двигательными нарушениями центрального генеза. Вопр курортол физиотер и лечебн физкульт 4: 4–9. [Balykin MV, Yakupov RN, Mashin VV, Kotova EY, Balykin YuM, Gerasimenko UP (2017) The effect of non-invasive electrical spinal cord stimulation on locomotor functions of patients with movement disorders of central origin. Qurortol physiotherap and therap physical education 4: 4–9. (In Russ)].https://doi.org/10.17116/kurort20179444-9
- Gorodnichev RM, Pukhov AM, Moiseev SA, Ivanov SM, Markevich VV, Bogacheva IN, Grishin AA, Moshonkina TR, Gerasimenko YP (2021) Regulation of Stepping Phases During Noninvasive Electrical Spinal Cord Stimulation. Human Physiol 47: 60–69. https://doi.org/10.31857/S0131164621010057
- Keller A, Singh G, Sommerfeld JH, King M, Parikh P, Ugiliweneza B, D’Amico J, Gerasimenko Y, Behrman AL (2021) Noninvasive spinal stimulation safely enables upright posture in children with spinal cord injury. Nat Commun 12: 5850. https://doi.org/10.1038/s41467-021-26026-z
- Siu R, Brown EH, Mesbah S, Gonnelli F, Pisolkar T, Edgerton VR, Ovechkin AV, Gerasimenko YP (2022) Novel Noninvasive Spinal Neuromodulation Strategy Facilitates Recovery of Stepping after Motor Complete Paraplegia. J Clin Med 11: 3670. https://doi.org/10.3390/jcm11133670
- Grishin AA, Bobrova EV, Reshetnikova VV, Moshonkina TR (2021) A System for Detecting Stepping Cycle Phases and Spinal Cord Stimulation as a Tool for Controlling Human Locomotion. Biomed Eng 54: 312–316.
- Скворцов ДВ (2007) Диагностика двигательной патологии инструментальными методами: анализ походки, стабилометрия. Науч-мед фирма МБН/M 617. [Skvortsov DV (2007) Diagnosis of motor pathology by instrumental methods mi: gait analysis, stabilometry. Scient med firm MBN/M 617. (In Russ)].
- Simonsen EB (2014) Contributions to the understanding of gait control. Dan Med J 61: B4823.
- Duncan PW, Zorowitz R, Bates B, Choi JY, Glasberg JJ, Graham GD, Katz RC, Lamberty K, Reker D (2005) Management of Adult Stroke Rehabilitation Care: a clinical practice guideline. Stroke 36: 100–143. https://doi.org/10.1161/01.str.0000180861.54180.ff
- Гурьянова ЕА, Ковальчук ВВ, Тихоплав ОА, Литвак ФГ (2020) Функциональная электростимуляция при восстановлении ходьбы после инсульта. Физ реабилитац мед, мед реабилит 2: 244–262. [Guryanova EA, Kovalchuk VV, Tikhoplav OA, Litvak FG (2020) Functional electrical stimulation during recovery of walking after stroke. Phys rehabilit med, med rehabilitat 2: 244–262. (In Russ)]. https://doi.org/10.36425/rehab34831
- Баскакова НВ, Витензон АС (1975) Влияние темпа и длины шага на основные параметры ходьбы человека. Биомеханика 13: 242–247. [Baskakova NV, Vitenzon AS (1975) The influence of pace and step length on the basic parameters of human walking. Biomechanics 13: 242–247. (In Russ)].
- Скворцов ДВ, Королева СВ (2019) Динамика параметров ходьбы в процессе реабилитации после эндопротезирования коленного сустава. Научно-практ ревматол 57: 704–707. [Skvortsov DV, Koroleva SV (2019) Changes in gait parameters during rehabilitation after total knee arthroplasty. Scient Pract Rheumatol 57: 704–707. (In Russ)]. https://doi.org/10.14412/1995-4484-2019-704-707
- Gervasoni E, Parelli R, Uszynski M, Crippa A, Marzegan A, Montesano A, Cattaneo D (2017) Effects offunctional electrical stimulation on reducing falls and improving gait parameters in multiple sclerosis and stroke. PMR 4: 339−347.e1.https://doi.org/10.1016/j.pmrj.2016.10.019
- Витензон АС, Петрушанская КА (2010) Физиологические обоснования метода искусственной коррекции движений посредством программируемой электростимуляции мышц при ходьбе. Рос журн биомехан 14: 7–27. [Vitenzon AS, Petrushanskaya KA (2010) Physiological substantiations of the method of artificial correction of movements by means of programmable electrical stimulation of muscles during walking. Rus J Biomechan 14: 7–27. (In Russ)].
Дополнительные файлы
 
				
			 
						 
						 
						 
					 
						 
									
 
  
  
  Отправить статью по E-mail
			Отправить статью по E-mail 






