Properties of percolation channels in planar memristive structures base on epitaxial films of oxide perovskite compounds YBa2Cu3O7 – δ and La1 – xSrxMnO3 – δ
- Authors: Rossolenko A.N.1, Tulina N.A.1, Shmytko I.M.1, Ivanov А.А.2, Zotov A.V.3, Borisenko I.Y.3, Sirotkin V.V.3, Tulin V.A.3
-
Affiliations:
- Osipyan Institute of Solid-State Physics of the Russian Academy of Sciences
- National Research Nuclear University Moscow Engineering Physics Institute (MEPhI)
- Institute of Microelectronics Technology and High Purity Materials of the Russian Academy of Sciences
- Issue: Vol 87, No 4 (2023)
- Pages: 541-545
- Section: Articles
- URL: https://journals.rcsi.science/0367-6765/article/view/135359
- DOI: https://doi.org/10.31857/S036767652270096X
- EDN: https://elibrary.ru/NOXZNR
- ID: 135359
Cite item
Full Text
Abstract
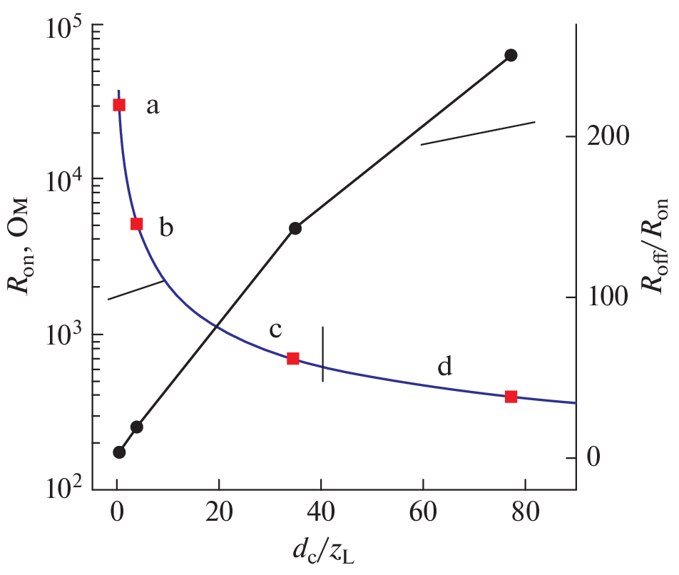
The choice of base materials and the use of their functional properties in the development of the structure and elucidation of the mechanism of resistive switching has been analyzed. Mesoscopic heterostructures based on epitaxial oriented 〈001〉 films of high-temperature superconductor YBa2Cu3O7 – δ and doped manganite La1 – xSrxMnO3 – δ, were obtained, and the properties of percolation channels of structures based on these compounds were studied. The effects of “self-adapting electroforming” in microcontact heterostructures based on epitaxial films of manganite are observed. Numerical calculations using the critical electric field model have shown that “self-electroforming” occurs in strong electric fields and a gap structure is formed in the contact zone. This structure provides reproducibility of resistive switching.
About the authors
A. N. Rossolenko
Osipyan Institute of Solid-State Physics of the Russian Academy of Sciences
Email: tulina@issp.ac.ru
Russia, 142432, Chernogolovka
N. A. Tulina
Osipyan Institute of Solid-State Physics of the Russian Academy of Sciences
Author for correspondence.
Email: tulina@issp.ac.ru
Russia, 142432, Chernogolovka
I. M. Shmytko
Osipyan Institute of Solid-State Physics of the Russian Academy of Sciences
Email: tulina@issp.ac.ru
Russia, 142432, Chernogolovka
А. А. Ivanov
National Research Nuclear University Moscow Engineering Physics Institute (MEPhI)
Email: tulina@issp.ac.ru
Russia, 115409, Moscow
A. V. Zotov
Institute of Microelectronics Technology and High Purity Materials of the Russian Academy of Sciences
Email: tulina@issp.ac.ru
Russia, 142432, Chernogolovka
I. Y. Borisenko
Institute of Microelectronics Technology and High Purity Materials of the Russian Academy of Sciences
Email: tulina@issp.ac.ru
Russia, 142432, Chernogolovka
V. V. Sirotkin
Institute of Microelectronics Technology and High Purity Materials of the Russian Academy of Sciences
Email: tulina@issp.ac.ru
Russia, 142432, Chernogolovka
V. A. Tulin
Institute of Microelectronics Technology and High Purity Materials of the Russian Academy of Sciences
Email: tulina@issp.ac.ru
Russia, 142432, Chernogolovka
References
- Li Y., Wang Z., Midya R. et al. // J. Phys. D. 2018. V. 51. Art. No. 503002.
- Wang C., Wu H., Gao B., Zhang et al. // Microelectron. Engin. 2018. V. 187–188. P. 121.
- Perez-Tomas A. // Adv. Mater. Interfaces. 2019. V. 6. Art. No. 1970096.
- Tulina N.A., Ivanov A.A. // J. Supercond. Nov. Magn. 2020. V. 33. P. 2279.
- Тулина Н.А., Сироткин В.В., Борисенко И.Ю., Иванов А.А. // Изв. РАН. Сер. физ. 2013. Т. 77. № 3. С. 297; Tulina N.A., Sirotkin V.V., Borisenko I.Yu., Ivanov A.A. // Bull. Russ. Acad. Sci. Phys. 2013. V. 77. No. 3. P. 265.
- Tulina N.A., Rossolenko A.N., Shmytko I.M. et al. // J. Supercond. Sci. Technol. 2019. V. 32. P. 5003.
- Тулина Н.А., Россоленко А.Н., Шмытько И.М. и др. // Наноиндустрия. 2019. Т. 89. С. 237.
- Tulina N.A., Borisenko I.Yu., Shmytko I.M. et al. // J. Supercond. Nov. Magn. 2020. V. 33. P. 3695.
- Pickett W. E., Singh D.J., Krakauer H., Cohen R.E. // Science. 1992. V. 255. No. 5040. P. 46.
- Dagotto E., Hotta N., Moreo A. // Phys. Reports. 2001. V. 344. P. 1.
- Байков Ю.М., Никулин Е.И., Мелех Б.Т., Егоров В.М. // ФТТ. 2004. Т. 46. № 11. С. 2018.
- Chaika A.N., Ionov A.M., Tulina N.A. et al. // J. Electron Spectrosc. Relat. Phenom. 2005. V. 148. P. 101.
- Yanson I.K. // Low Temp. Phys. 1983. V. 6. P. 676.
- Sano Y. // J. Appl. Phys. 1985. V. 58. P. 2651.
- Jorgensen J. // Phys. Rev. B. 1990. V. 41. P. 1863.
- Dagotto E. // Rev. Mod. Phys. 1994. V. 66. P. 763.
- Hudgins J. // J. Electron. Mater. 2003. V. 33. P. 471.
Supplementary files







