Synthesis of bifunctional lipophilic constructs
- Authors: Anisimova D.O.1, Savchenko M.S.1, Tuzikov A.B.1, Paramonov A.S.1, Chizhov A.O.2, Bovin N.V.1, Ryzhov I.M.1
-
Affiliations:
- Shemyakin–Ovchinnikov Institute of Bioorganic Chemistry of the Russian Academy of Sciences
- N. D. Zelinsky Institute of Organic Chemistry of the Russian Academy of Sciences
- Issue: Vol 50, No 3 (2024)
- Pages: 256-268
- Section: Articles
- URL: https://journals.rcsi.science/0132-3423/article/view/261464
- DOI: https://doi.org/10.31857/S0132342324030046
- EDN: https://elibrary.ru/OABYOT
- ID: 261464
Cite item
Full Text
Abstract
An ability of glycolipids to embed membrane of living cells opens an opportunity to modify cellular surface via insertion of synthetic lipophilic constructs carrying given glycan (or any other molecular fragment). Detection of thus inserted glycans by fluorescent microscopy requires treatment with corresponding fluorescently labeled antibodies. Di- (IgG) and decavalent (IgM) antibodies can significantly affect the distribution of glycolipids in the membrane, therefore direct visualization of embedded lipophilic constructs is required. To achieve this, fluorescent tag must be included in the composition of the lipophilic constructs and at the same time be located at a sufficient distance from glycan part. Here we propose two approaches to the synthesis of these compounds and describe obtaining of two constructs carrying A (type 2) tetrasaccharide and either fluorescein or sulfo-cyanine-3.
Full Text
Сокращения: ГЛ – гликолипид; нГЛ – неогликолипид; СЛК – синтетический липофильный конструкт; Ad – адипиноил; Asc – аскорбат; Atetra – тетрасахарид А; CMG – N-карбоксиметилглицин; DOPE – диолеоилфосфатидилэтаноламин; TBTU – 2-(1H-бензотриазол-1-ил)-1,1,3,3-тетраметиламиния тетрафторборат; THPTA – трис-гидроксипропилтриазолилметиламин; SuCy-3 – сульфоцианин-3.
ВВЕДЕНИЕ
Способность гликолипидов (ГЛ) самопроизвольно встраиваться в клеточную мембрану из межклеточной среды [1] открыла широкие возможности для модификации клеточной поверхности [2]. Использование для этого природных ГЛ затруднено тем, что их сложно выделять из природных источников (ввиду низкого содержания и значительного структурного разнообразия), а полный химический синтез таких соединений неоправданно долог. Значительно более перспективным оказался подход, основанный на применении синтетических аналогов ГЛ – неогликолипидов [3], которые содержат сам гликан (функциональную часть), липидный фрагмент, необходимый для встраивания в мембрану, а также спейсер, соединяющий их. Одно из основных преимуществ неогликолипидов – простота синтеза, т.к. входящие в их состав блоки могут быть соединены при помощи эффективных и надежных методов конъюгации. Дальнейшим развитием этого подхода стало введение в практику так называемых активных спейсеров, т.е. групп, которые не только соединяют гликан и липид, но и придают молекуле необходимые характеристики. Так, применение полярных и заряженных N-карбоксиметилглициновых (CMG) спейсеров позволяет регулировать баланс гидрофильности/гидрофобности молекулы и придавать растворимость в водных средах (свойство, крайне важное для работы с живыми клетками) и даже молекулам с гидрофобной функциональной частью [4, 5]. Это открыло возможность значительно расширить репертуар функциональных фрагментов и помимо гликанов вводить в состав липидных производных пептиды [6], флуоресцентные метки [7], лиганды для селективной ковалентной и нековалентной [4] конъюгации и т.д. Наиболее корректное общее наименование для таких соединений – синтетические липофильные конструкты (СЛК), в англоязычной литературе также используют аббревиатуру FSL (Function–Spacer–Lipid).
Возможность модифицировать гликаном клеточную мембрану без нарушения ее жизнедеятельности открывает практически неограниченные перспективы для исследования роли гликанов в функционировании клетки и ее взаимодействии с окружающей средой. Более того, модифицированные таким образом клетки и сами являются инструментом для изучения процессов взаимодействия клеточных гликанов с углевод-узнающими белками [8–10].
Ранее были синтезированы СЛК, несущие в качестве функциональной части различные флуоресцентные метки. Ими окрашивают как отдельные клетки, так и органы, и целые живые организмы, т.е. проводят окрашивание in vivo [7]. Такие конструкты позволяют детально исследовать механизмы и кинетику транспорта липидных молекул в клетку и из нее: их проникновение через гликокаликс, распределение в мембране, интернализацию в клетку и выход из нее – при помощи флуоресцентной микроскопии [1].
Применение конфокальной микроскопии для исследований с участием углеводсодержащих СЛК предполагает визуализацию флуоресцентно-меченными антигликановыми антителами. Антитела способны к мультивалентному взаимодействию с гликанами, а это, в свою очередь, может приводить к кластеризации нескольких (до десяти в случае декавалентных IgM) гликанов одной молекулой антитела и существенно искажать естественное распределение гликолипидов в мембране. Применение флуоресцентно-меченных антигликановых антител также не позволяет изучать взаимодействие гликанов, введенных в состав мембраны при помощи СЛК, с углевод-связывающими белками (например, галектинами), т.к. в такой ситуации будет наблюдаться конкуренция между флуоресцентно-меченными антителами и рецепторами за связывание с гликаном.
Для снятия таких ограничений необходимы конструкты, которые содержат как исследуемый гликан, так и флуоресцентную метку. Некоторые подходы к получению флуоресцентно-меченных гликолипидов известны. Так, возможно нерегиоселективное введение метки в уже полученный углеводсодержащий СЛК. Таким образом был синтезирован BODIPY-меченный конструкт на основе олигомеров гиалуроновой кислоты [1]. Недостаток подхода – статистическое распределение флуоресцентной метки: образуется смесь исходного конструкта и продуктов с различным количеством BODIPY-меток в молекуле, т.е. требование к однозначности структуры полученного СЛК не соблюдается. Также описаны методы введения флуоресцентной метки в природные ганглиозиды [11]. Введение осуществляется путем дезацетилирования NAc-группы нейраминовой кислоты щелочным гидролизом и последующего ацилирования полученного амина соответствующим производным BODIPY. При этом наблюдалось и частичное дезацилирование аминогруппы сфингозина, т.е. потеря остатка жирной кислоты. Возможен синтез олигосахарида, модифицированного флуоресцентной меткой, и дальнейшее введение его в состав неогликолипида. Так, в работе Yamaguchi et al. [12] описан полный химический синтез ганглиозида GD2, в котором к атому С6 остатка GalNAcβ присоединена флуоресцентная метка ATTO594. Крайне высокая трудоемкость получения модифицированного гликана и необходимость разрабатывать для каждого нового соединения свою схему синтеза не позволяет использовать такой подход как универсальный для получения бифункциональных СЛК. Но самый крупный недостаток введения флуоресцентной метки в состав гликановой части СЛК (если гликан – олигосахарид, а не полисахарид) – это безусловное искажение свойств гликана, как физико-химических, так и биологических.
Введение флуоресцентной метки в спейсерную группу углеводсодержащих липофильных конструктов позволит получить СЛК, лишенные описанных выше недостатков. Целью данного исследования был синтез таких бифункциональных СЛК, содержащих одинаковые углеводные и спейсер-липидные блоки, но отличающихся друг от друга флуоресцентной меткой, с использованием двух различных подходов.
РЕЗУЛЬТАТЫ И ОБСУЖДЕНИЕ
Данная работа посвящена получению двух бифункциональных СЛК. Оба конструкта содержат следующие структурные фрагменты (рис. 1): тетрасахарид А (тип 2) (Atetra (тип 2), гликан) и блок CMG–DOPE, где CMG – это N-карбоксиметилглициновый спейсер, а DOPE – это диолеоилфосфатидилэтаноламин (липид).
Рис. 1. Общие структурные фрагменты полученных СЛК: тетрасахарид А (тип 2) и блок CMG–DOPE.
Тетрасахарид А (тип 2) [13] был выбран нами в качестве углеводной составляющей получаемых СЛК по нескольким причинам. Во-первых, это “модельный” гликан для различных типов синтезируемых конструктов. Нами уже был синтезирован ряд СЛК с Аtetra (тип 2), отличающихся строением спейсера и липида [14]. Наличие такой серии соединений позволяет оценить влияние архитектуры конструктов на аффинность взаимодействия их углеводной части с соответствующими антителами. Во-вторых, одна из целей получения бифункциональных флуоресцентно-меченных СЛК заключается в исследовании взаимодействия галектинов с их лигандами в составе клеточной мембраны, а АВ0-антигены являются лигандами некоторых галектинов [10, 15].
На сегодняшний день CMG – наиболее часто используемый в синтезе СЛК спейсер. Он позволяет вводить в состав СЛК функциональные группы различной природы (даже гидрофобные), а его вытянутая за счет распределенных по длине отрицательно заряженных групп структура отдаляет функциональную часть от мембраны, увеличивая доступность функциональной группы для взаимодействия извне [3].
DOPE – также основной липид, применяемый в составе СЛК, т.к. он позволяет добиться надежного и равномерного встраивания конструктов в мембрану клетки [16].
Один из синтезированных нами конструктов в качестве флуоресцентной метки содержит флуоресцеин, а второй – сульфоцианин-3. В работе опробованы два разных синтетических подхода, отличающиеся друг от друга последовательностью введения гликана, флуоресцентной метки и спейсер-липидного блока. В первом случае был получен гликан-содержащий СЛК, в структуре которого присутствовал сайт для присоединения флуоресцентной группы. Во втором случае была получена сложная функциональная часть, включающая гликан и флуоресцентную метку. Ее конъюгацией со спейсер-липидным блоком был получен целевой СЛК.
Структуру целевых конструктов и промежуточных соединений подтверждали методами 1Н- и 13С-ЯМР-спектроскопии и масс-спектрометрии высокого разрешения.
Получение бифункционального СЛК введением флуоресцентной метки на последней стадии. Для получения бифункциональных СЛК необходим центральный фрагмент, позволяющий проводить ортогональную конъюгацию трех структурных элементов: гликана, метки, а также спейсер-липида. Для реализации первого синтетического подхода в качестве такого звена мы выбрали производное α-азидолизина (2) (cхема 1) с Boc-защищенной ε-аминогруппой. На первой стадии вводили углеводную часть, для чего карбоксильную группу в производном (2) активировали при помощи TBTU [17] и конъюгировали с аминопропилгликозидом тетрасахарида А (тип 2) (1). Выход продукта (3) составил 75%. Далее Boc-защитную группу в производном (3) удаляли быстрой (5 мин) обработкой 95%-ной трифторуксусной кислотой при охлаждении (такие мягкие условия были необходимы, чтобы не затронуть лабильный в кислых условиях остаток α-L-фукозы в тетрасахаридном фрагменте). Амин (4), полученный таким образом с количественным выходом, далее превращали в активированный эфир (5) обработкой значительным (10 экв.) избытком дисукцинимидного эфира адипиновой кислоты (избыток необходим для минимизации образования продукта присоединения (4) по обеим карбоксильным группам адипиновой кислоты [18]). Конъюгацией активированного эфира (5) со спейсер-липидным блоком H2N–CMG–DOPE (6) получали СЛК (7), который был выделен с выходом 87% методом гель-хроматографии. В структуре СЛК (7) присутствует азидная группа, позволяющая вводить дополнительные молекулярные фрагменты при помощи азид-алкиновой клик-реакции (CuAAC) [19]. Такие реакции протекают в нейтральных условиях, катализируются катионами Cu+, поэтому не затрагивают большинство компонентов, используемых для конструирования СЛК (гликаны, флуоресцентные метки, липиды). Более того, существуют биоортогональные варианты клик-реакций с участием напряженных циклических алкинов, не требующие катализа катионами меди(I), что позволяет конъюгировать молекулы in vivo [20]. Для введения флуоресцентной метки в СЛК (7) была использована клик-реакция. Конъюгацию СЛК (7) с производным флуоресцеина (8), содержащим алкиновый фрагмент, проводили в условиях, описанных Ростовцевым [21]: в качестве растворителя использовали смесь DMSO–вода, в качестве источника ионов меди – CuSO4, восстановление Cu2+→Cu+ проводили под действием аскорбата натрия. Для стабилизации ионов Cu+ использовали лиганд THPTA [22, 23]. Целевой продукт (9) выделяли методом гель-хроматографии с выходом 77%.
Схема 1. Получение СЛК (9). Реагенты и условия: i – TBTU, DIPEA/DMF, 75%; ii – 95%-ная CF3COOH, 4°С, 5 мин, выход количественный; iii – Ad(ONSu)2 (10 экв.), DMSO, iv – NaHCO3 (водн.) (50 мМ)–i-PrOH (2 : 1), 87% (на две стадии); v – CuSO4, NaAsc, THPTA/DMSO–вода (1 : 1), 77%.
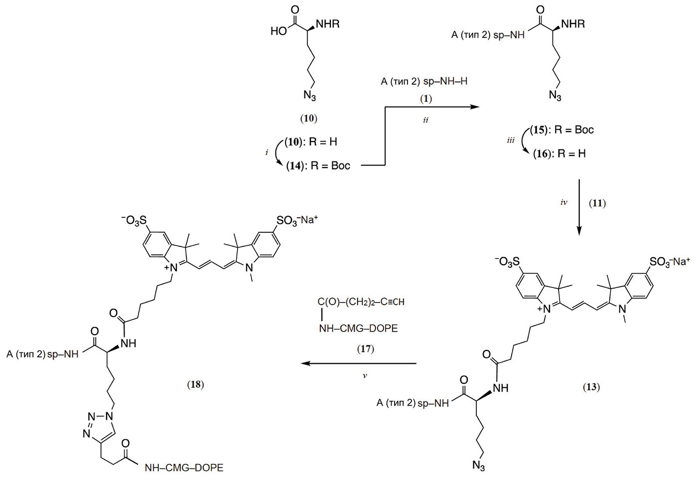
Конъюгация гликана и флуоресцентной метки с последующим введением спейсер-липида. Для второго пути получения бифункциональных СЛК в качестве центрального звена, к которому присоединяются все блоки, был выбран ε-азидолизин (10) (схема 2). В данном случае мы планировали сначала получить составную функциональную часть введением флуоресцентной метки и гликана по амино- и карбоксильной группам производного (10) соответственно, которую затем нужно было конъюгировать со спейсер-липидным блоком. В качестве флуоресцентной метки в данном случае был выбран сульфоцианин-3. Конъюгация активированного эфира сульфоцианина-3 (11) с ε-азидолизином (10) приводила к получению производного (12) с выходом 85%. Следующий шаг – введение углеводного фрагмента, для чего карбоксильную группу в соединении (12) активировали TBTU и вводили в реакцию с аминопропилгликозидом тетрасахарида А (тип 2) (1). Было обнаружено, что в ходе этой конъюгации происходил побочный процесс – рацемизация остатка лизина, поэтому полученный таким путем продукт (72%) представлял собой смесь L- и D-изомеров с соотношением 1 : 1 (13L/D). Об этом свидетельствовали данные 1H-ЯМР-спектроскопии: в спектре (13L/D) протон в α-положении лизина, а также некоторые сигналы тетрасахаридного фрагмента (Н1 и ацетильная группа звена GlcNAc, CH3-группа α-L-фукозы) проявлялись в виде пар идентичных сигналов с соотношением интегральных интенсивностей 1 : 1. Рацемизация аминокислот при активации их карбоксильных групп действием как TBTU, так и других реагентов, описана в литературе [24]. Предполагается, что она протекает через образование циклического азлактона (12a) (схема 2), в котором α-протон обладает повышенной кислотностью, что и способствует образованию смеси изомеров (12аL/D) и далее диастереомеров (13L/D).
Схема 2. Рацемизация при конъюгации с тетрасахаридом (1). Реагенты и условия: i – DIPEA/DMSO, 85%; ii – TBTU, DIPEA/DMF, затем соединение (1), 72%, L/D = 1 : 1.
Sturabotti et al. [24] также показали, что замена N-ацильной группы на N-карбамоильную в производном аминокислоты полностью подавляет рацемизацию при активировании карбоксила. Поэтому мы решили изменить план синтеза (схема 3). Сначала аминогруппу в соединении (10) защищали Boc-группой: обрабатывали соединение (10) Boc2O в присутствии Et3N, что приводило к получению карбамоильного N-Boc-производного (14) с выходом 81%. Далее соединение (14) конъюгировали с аминопропилгликозидом (1) в присутствии TBTU в условиях, аналогичных получению соединения (3). Обработкой продукта (15) 95%ной трифторуксусной кислотой при охлаждении (как было описано выше для получения производного (4)) был получен амин (16) с выходом 72% на две стадии. 1Н-ЯМР-спектр амина (16) соответствовал только одному изомеру, т.е. рацемизации при конъюгации (1) и (14) не наблюдалось.
Схема 3. Получение СЛК (18). Реагенты и условия: i – Boc2O, Et3N/MeOH, 81%; ii – TBTU, DIPEA/DMF, затем соединение (1); iii – 95%-ная CF3COOH, 4°C, 5 мин, 72% (на две стадии); iv – DIPEA/DMSO, 89%; v – CuSO4, NaAsc, THPTA/DMSO–вода (1 : 1), 86%.
Ацилирование амина (16) активированным эфиром сульфоцианина-3 (11) приводило к получению производного (13), которое было выделено методом колоночной хроматографии на силикагеле с выходом 89% (схема 3). Для завершения синтеза целевого СЛК производное (13), включающее углеводную часть и флуоресцентную метку, необходимо было конъюгировать со спейсер-липидным блоком. Это было целесообразно осуществить также при помощи клик-реакции, т.к. в соединении (13) присутствует азидная группа. В качестве алкиновой компоненты использовали производное (17) – продукт ацилирования амина H2N–CMG–DOPE (6) 4-пентиновой кислотой. Клик-конъюгацию соединений (13) и (17) осуществляли в условиях, аналогичных получению СЛК (9). Целевой СЛК (18) выделяли методом гель-хроматографии с выходом 86%.
ЭКСПЕРИМЕНТАЛЬНАЯ ЧАСТЬ
Тетрасахарид А (тип 2) (1) [25] и амин H2N–CMG–DOPE (6) [3] получали в лаборатории углеводов Института биоорганической химии им. академиков М.М. Шемякина и Ю.А. Овчинникова РАН по известным методикам. Производное (17) получали там же конъюгацией 4-пентиновой кислоты и амина (6) при помощи TBTU [17] и выделяли методом гель-фильтрации (описание синтеза будет опубликовано). Использовали коммерчески доступные производные лизина (2) и (10) (IRIS Biotech GmbH, Германия), флуоресцеина (8) и сульфоцианина-3 (11) (ООО “Люмипроб РУС”, Россия). Остальные реагенты также были коммерчески доступны (Acros Organics, США; SigmaAldrich, США). Растворители (Химмед, Реахим, Экос, Россия) перед использованием очищали стандартными методами.
Тонкослойную хроматографию проводили на алюминиевых пластинках Silica gel 60 (1.05554.0001, Merck, Германия), вещества обнаруживали обработкой пластинок 7%-ным водным раствором ортофосфорной кислоты и прогревом до 150°С (обугливание) или раствором нингидрина (для аминов, 3 г/л в смеси бутанол/уксусная кислота, 30 : 1). Колоночную хроматографию проводили на Silica gel 60 0.040–0.063 мм (Merck, Германия), гель-хроматографию – на Sephadex LH-20 (GE Healthcare, Швеция). Растворители упаривали на роторном испарителе в вакууме при 40–45°С.
1Н-ЯМР-спектры регистрировали на приборах AVANCE (700 МГц) и Avance III (800 МГц) (Bruker, Германия) при 30°С. Значения химических сдвигов в 1Н-ЯМР-спектрах (δ, м.д.) приведены с использованием для калибровки сигналов остаточных протонов растворителей HOD (δ = 4.750), СD2HOD (δ = 3.306 в CD3OD, δ = 3.341 в D2O– CD3OD 2 : 1), константы спин-спинового взаимодействия измерены в герцах.
13С-ЯМР-спектры регистрировали на приборах AVANCE (700 МГц) и Avance III (800 МГц) (Bruker, Германия) при 30°С. Значения химических сдвигов в 13С-ЯМР-спектрах (δ, м.д.) приведены с использованием для калибровки сигналов растворителей CD3OD (δ = 49.00) и DMSO-d6 (δ = 39.52).
Отнесение сигналов в ЯМР-спектрах осуществляли сопоставлением зарегистрированных спектров со спектрами охарактеризованных исходных и промежуточных соединений. Дополнительная информация о взаимном расположении сигналов в спектрах тетрасахарида А (тип 2) взята из работы Meloncelli et al. [26].
Масс-спектры высокого разрешения (МСВР) регистрировали на масс-спектрометре maXis (Bruker, Германия) с использованием ионизации электрораспылением (ИЭР), шприцевой ввод растворов в смеси ацетонитрил–вода 50 : 50 (об. %) со скоростью 3 мкл/мин, полярность наблюдаемых ионов выбирали в зависимости от функциональных групп исследуемых веществ. Использовали программное обеспечение ESI Compass 1.3 (Bruker, Германия), параметры настройки прибора устанавливали в соответствии со стандартными методами, предоставляемыми в пакете программного обеспечения производителем. Обработку спектров проводили с использованием пакета программ Data Analysis Version 4.0 SP1 (Bruker, Германия).
Получение СЛК (7). К раствору производного лизина (2) (4.1 мг, 0.015 ммоль) в 0.5 мл DMF добавляли TBTU (4.9 мг, 0.015 ммоль) и DIPEA (2.6 мкл, 0.015 ммоль), а через 10 мин – аминопропилгликозид (1) (10 мг, 0.013 ммоль). Через 1 ч реакционную смесь подвергали гель-хроматографии (CH3CN–H2O, 1 : 1). Фракции, содержащие продукт, объединяли и концентрировали. Полученный остаток дополнительно очищали колоночной хроматографией на силикагеле (элюция смесью CH2Cl2–EtOH–H2O, 6 : 5 : 0.5). Фракции, содержащие чистый продукт, объединяли, концентрировали и подвергали лиофильной сушке из воды, получили 9.9 мг (75%) производного (3) в виде белой пены, Rf 0.42 (CH2Cl2–EtOH–H2O, 6 : 5 : 0.5), 1H-ЯМР (CD3OD, 700 MГц): 5.34 (д, J1,2 4.0, 1H, H1 Fucα), 5.16 (д, J1,2 3.8, 1H, H1 GalNAcα), 4.53 (д, J1,2 7.7, 1H, H1 Galβ), 4.39 (д, J1,2 8.4, 1H, H1 GlcNAcβ), 4.35–4.29 (м, 2H, H2 GalNAcα, H5 Fucα), 4.17 (ддд, J 7.4, 4.3, 1.3, 1H, H5 GalNAcα), 4.11 (д, 1H, J3,4 3.0, H4 Galβ), 4.00 (дд, J2,3 9.9, J1,2 7.7, 1H, H2 Galβ), 3.94–3.88 (м, 4H, 3H (Atetra), OCHHCH2CH2N), 3.86–3.81 (м, 2Н, H3 GalNAcα, CH(N3)), 3.80–3.63 (м, 10H (Atetra)), 3.59 (дд, J3,4 10.5, J4,5 8.8, H4 GlcNAcβ), 3.57–3.52 (м, 2H, H5 Galβ, OCHHCH2CH2N), 3.41–3.34 (м, 1H, CHHNHBoc), 3.31–3.28 (м, 1Н, H5 GlcNAcβ), 3.25–3.18 (м, 1H, CHHNHBoc), 3.04 (т, J 6.9, 2H, OCH2CH2CH2N), 2.00 (c, 3H, NC(O)CH3), 1.99 (c, 3H, NC(O)CH3), 1.85–1.72 (м, 4H, OCH2CH2CH2N, CH2), 1.53–1.48 (м, 2H, CH2), 1.47–1.37 (м, 11H, С(СH3)3, CH2), 1.22 (д, J 6.6, 3H, H6 Fucα); 13C-ЯМР (CD3OD, 176 MГц, DEPT): 101.51 (С1 GlcNAcβ), 100.83 (C1 Galβ), 98.91 (C1 Fucα), 92.24 (C1 GalNAcα), 77.15, 76.59, 75.80, 75.54, 72.75, 72.21, 72.17, 71.36, 70.50, 69.15, 68.70, 68.53, 67.06 (OCH2CH2CH2N), 66.31, 63.57, 62.90 (–CH(N3)–), 61.99, 61.17, 60.38, 55.51, 49.91, 39.70 (OCH2CH2CH2N), 36.52 (CH2NHBoc), 31.13 (CH2), 29.13 (CH2), 29.05 (OCH2CH2CH2N), 27.42 (C(CH3)3), 22.61 (CH2), 21.50 (NC(O)CH3), 21.19 (NC(O)CH3), 15.19 (C6 Fucα); ИЭР МСВР: найдено m/z 1044.4831, рассчитано для C42H74N7O23+, [M + H]+ 1044.4816; найдено m/z 1061.5096, рассчитано для C42H77N8O23+, [M + NH4]+ 1061.5081; найдено m/z 1066.4650, рассчитано для C42H73N7O23Na+, [M + Na]+ 1066.4634; найдено m/z 1082.4389, рассчитано для C42H73N7O23K+, [M + K]+ 1082.4373.
Колбу с производным (3) (9.0 мг, 0.0086 ммоль) охлаждали до 4°С и добавляли в нее 95% CF3COOH (1 мл), также охлажденную до 4°С. Через 5 мин в смесь добавляли 2 мл Et2O, что приводило к выпадению продукта в виде тонкой пленки на стенки колбы. Супернатант удаляли, пленку промывали 3 раза по 2 мл Et2O, после чего высушивали в вакууме масляного насоса. Остаток подвергали ионообменной хроматографии (Dowex 50 (H+), элюция 5% водным NH3). Лиофильной сушкой из воды получали 7.9 мг (97%) производного (4), белая пена, Rf 0.63 (MeOH–1 M Py ∙ HOAc (водн.), 5 : 1), 1H-ЯМР (D2O + эквивалентное к соединению (4) количество CF3COOH, 700 MГц): 5.36 (д, J1,2 4.1, 1H, H1 Fucα), 5.19 (д, J1,2 3.8, 1H, H1 GalNAcα), 4.61 (д, J1,2 7.7, 1H, H1 Galβ), 4.52 (д, J1,2 8.4, 1H, H1 GlcNAcβ), 4.33 (кв, 1H, J5,6 6, H5 Fucα), 4.27–4.20 (м, 3H, Atetra), 4.11 (дд, J 7.5, 5.5, 1H, CH(N3)), 4.03–3.98 (м, 3H, Atetra), 3.96–3.89 (м, 3H, 2H (Atetra), OCHHCH2CH2N), 3.86–3.71 (м, 10H, Atetra), 3.70–3.62 (м, 3H, 2H (Atetra), OCHHCH2CH2N), 3.46 (ддд, J 9.9, 6.0, 2.1, 1H, H-5 GlcNAcβ), 3.35–3.24 (м, 2H, CH2NHBoc), 3.02 (т, J 7.7, 2H, OCH2CH2CH2N), 2.06 (c, 3H, NC(O)CH3), 2.05 (c, 3H, NC(O)CH3), 1.91–1.78 (м, 4H, OCH2CH2CH2N, CH2), 1.77–1.67 (м, 2H, CH2), 1.52–1.43 (м, 2H, CH2), 1.26 (д, J 6.7, 3H, H6 Fucα); 13C-ЯМР (D2O + эквивалентное к соединению (4) количество CF3COOH, 176 MГц, DEPT): 101.21 (С1 GlcNAcβ), 100.15 (C1 Galβ), 98.68 (C1 Fucα), 91.41 (C1 GalNAcα), 76.36, 75.76, 75.41, 75.23, 72.43, 71.77, 71.15, 70.03, 68.55, 68.02 (OCH2CH2CH2N), 67.86, 67.72, 66.90, 63.26 (–CH(N3)–), 63.11, 61.37, 61.12, 60.25, 55.44, 49.56, 39.23 (OCH2CH2CH2N), 36.55 (CH2NHBoc), 30.78 (CH2), 28.40 (OCH2CH2CH2N), 26.38 (CH2), 22.04 (NC(O)CH3), 21.99 (NC(O)CH3), 21.75 (CH2), 15.20 (C6 Fucα); ИЭР МСВР: найдено m/z 944.4306, рассчитано для C37H66N7O21+, [M + H]+ 944.4295.
Раствор производного (4) (6.7 мг, 0.0071 ммоль) в 400 мкл DMSO четырьмя равными порциями через каждые 10 мин добавляли к раствору Ad(ONSu)2 (24.1 мг, 0.071 ммоль). Через 30 мин после добавления последней порции смесь подвергали гель-хроматографии (CH3CN–H2O, 1 : 1, 0.3% АсОН). Фракции, содержащие активированный эфир (5) (Rf 0.50 (CHCl3–EtOH–H2O, 6 : 9 : 2)), объединяли, концентрировали и подвергали лиофильной сушке из 0.1% АсОН. Полученный остаток растворяли в 300 мкл DMF и добавляли тремя равными порциями через каждый 1 ч к раствору амина (6) (9.8 мг, 0.0053 ммоль) в смеси 0.5 мл 50 мМ NaHCO3 (водн.) и 0.25 мл i-PrOH (pH 8.5) при перемешивании. Через 12 ч смесь нейтрализовали АсОН (2 мкл) до рН 7.0 и подвергали гель-хроматографии (i-PrOH–H2O, 1 : 2, 0.25% AcOH, 0.5% пиридина). Фракции, содержащие чистый продукт, объединяли, концентрировали и дважды подвергали лиофильной сушке из воды. Полученный остаток растворяли в воде и титровали 50 мМ NaHCO3 (водн.) до рН 6.5, после чего снова подвергали лиофильной сушке из воды. Таким образом было получено 14 мг (87% при расчете на амин (6)) СЛК (7) в виде белой пены, Rf 0.28 (i-PrOH–MeOH–CH3CN–H2O, 4 : 3 : 8 : 4), 1H-ЯМР (D2O–CD3OD, 2 : 1, 700 MГц): 5.38 (д, J1,2 4.2, 1H, H1 Fucα), 5.37–5.32 (м, 4H, 2 HC=CH), 5.31–5.28 (м, 1H, м, 1Н, C(2)H глицерина), 5.20 (д, J1,2 3.9, 1H, H1 GalNAcα), 4.62 (д, J1,2 7.6, 1H, H1 Galβ), 4.51 (д, J1,2 8.5, 1H, H1 GlcNAcβ), 4.46 (д, J 12.1, 1H, C(1)H глицерина), 4.34 (кв, J 6.6, 1H, H5 Fucα), 4.31–3.89, 3.84–3.71, 3.69–3.65 (3м, 48H, 10H, 2H, 21H Atetra, 12 C(O)CH2N (CMG), 4 NCH2C(O)O (CMG), NCH2CH2OP, C(1)H’ и C(3)H2 глицерина, CH(N3), OCHHCH2CH2N), 3.64–3.60 (м, 1H, OCHHCH2CH2N), 3.46–3.32 (м, 7H, H5 GlcNAcβ, NCH2CH2OP, NCH2CH2N), 3.28–3.18 (м, 4H, OCH2CH2CH2N, CH2NC(O)), 2.44–2.21 (м, 12H, 6 C(O)CH2), 2.09–2.00 (м, 14H, 2 NC(O)CH3, 2 CH2C=CCH2), 1.88–1.77 (м, 4H, OCH2CH2CH2N, CH2), 1.69–1.53 (м, 14H, 6 C(O)CH2CH2, CH2), 1.45–1.25 (м, 45H, 21 CH2, H6 Fucα), 0.91 (т, J 7.0, 6H, 2 CH3; 13C-ЯМР (D2O–CD3OD, 2 : 1, 201 MГц): 176.66 (C=O), 176.05 (C=O), 175.93 (C=O), 175.05–174.90 (C=O), 174.51 (C=O), 174.02 (C=O), 172.06 (C=O), 171.79 (C=O), 171.59–171.06 (C=O), 170.80–170.51 (C=O), 129.59 (НC=C), 129.56(НC=C), 129.52 (НC=C), 129.50(НC=C), 101.19 (С1 GlcNAcβ), 100.20 (C1 Galβ), 98.65 (C1 Fucα), 91.46 (C1 GalNAcα), 76.46, 75.78, 75.39, 75.22, 72.39, 72.30, 71.79, 71.11, 70.65, 70.61, 70.02, 68.64, 67.90, 67.80, 67.64, 66.80, 64.01, 63.98, 63.44, 63.42, 63.41, 63.12, 63.08, 62.95, 62.93, 61.40, 61.11, 60.16, 55.41, 54.32, 53.03–51.95, 49.56, 42.46, 42.22, 40.72, 39.92, 39.88, 38.85, 38.41, 38.41, 36.31, 35.45, 35.35, 35.35, 35.14, 35.13, 35.06, 33.94, 33.83, 31.81, 30.89, 29.70–28.80, 28.55, 28.03, 27.01, 25.01, 24.91, 24.69, 24.64, 24.59, 24.57, 22.53, 22.22, 22.11, 21.88, 15.20 (C6 Fucα), 13.73 (2 СH3); ИЭР МСВР: найдено m/z 1441.19012–, рассчитано для C124H205N22O53P, [M – 2H]2– 1441.1910; найдено m/z 960.4576, рассчитано для C124H204N22O53P3–, [M – 3H]3– 960.4576; найдено m/z 720.0914, рассчитано для C124H203N22O53P4–, [M – 4H]4- 720.0934; найдено m/z 575.8717, рассчитано для C124H202N22O53P5–, [M – 5H]5– 575.8744.
Получение СЛК (9). Раствор СЛК (7) (7.0 мг, 0.0023 ммоль) и алкина (8) (1.9 мг, 0.0046 ммоль) растворяли в смеси DMSO–Н2О, 1 : 1 (0.5 мл) и замораживали жидким азотом. Колбу заполняли аргоном и давали смеси оттаять, после чего в противотоке аргоном добавляли растворы CuSO4 ∙ 5H2O (0.29 мг, 0.0012 ммоль в 50 мкл H2O), NaAsc (0.23 мг, 0.0012 ммоль в 50 мкл H2O), THPTA (0.50 мг, 0.0012 ммоль в 50 мкл H2O). Через 1 ч реакционную смесь подвергали гель-хроматографии (CH3CN–H2O, 1 : 1). Фракции, содержащие чистый продукт, объединяли, концентрировали и подвергали лиофильной сушке из воды, получили 6.0 мг (77%) СЛК (9) в виде желтой пены, Rf 0.60 (CHCl3–MeOH–H2O, 2 : 6 : 0.5), 1H-ЯМР (D2O–CD3OD, 2 : 1, 700 MГц): 8.45 (c, 1H, триазол), 8.18–8.13 (м, 2Н, флуоресцеин), 7.35 (д, J 8.3, 1Н, флуоресцеин), 7.04–6.95 (м, 2Н, флуоресцеин), 6.84 (c, 2Н, флуоресцеин), 6.73 (д, J 9.0, 2Н, флуоресцеин), 5.38 (д, J1,2 4.1, 1H, H1 Fucα), 5.35–5.24 (м, 6H, 2 HC=CH, C(2)H глицерина, C(O)CHCH2 (лизин)), 5.19 (д, J1,2 3.9, 1H, H1 GalNAcα), 4.61 (д, J1,2 7.6, 1H, H1 Galβ), 4.49 (д, J1,2 8.4, 1H, H1 GlcNAcβ), 4.45 (дд, J 12.2, 2.5, 1H, C(1)H глицерина), 4.34 (кв, J 6.8, 1H, H5 Fucα), 4.29–3.88, 3.84–3.70, 3.69–3.64 (3м, 48H, 10H, 2H, 20H Atetra, 12 C(O)CH2N (CMG), 4 NCH2C(O)O (CMG), NCH2CH2OP, C(1)H’ и C(3)H2 глицерина, OCHHCH2CH2N, C(O)NHCH2N (флуоресцеин)), 3.60–3.55 (м, 1H, OCHHCH2CH2N), 3.46–3.28 (м, 8H, H5 GlcNAcβ, NCH2CH2OP, NCH2CH2N, CHHNC(O) (лизин)), 3.27–3.21 (м, 1Н, CHHNC(O)), 3.19–3.12 (м, 2H, OCH2CH2CH2N), 2.41–2.17 (м, 12H, 6 C(O)CH2), 2.06 (с, 3H, NC(O)CH3), 2.02 (с, 3H, NC(O)CH3), 2.00–1.92 (м, 8H, 2 CH2C=CCH2), 1.81–1.75 (м, 2H, OCH2CH2CH2N), 1.67–1.53 (м, 16H, 6 C(O)CH2CH2, 2 CH2), 1.39–1.19 (м, 45H, 21 CH2, H6 Fucα), 0.86 (т, J 7.0, 6H, 2 CH3); 13C-ЯМР (D2O–CD3OD, 2 : 1, 201 MГц): 183.09 (C=O), 174.56–172.80 (C=O), 171.89 (C=O), 170.05–169.85 (C=O), 169.38 (C=O), 168.50 (C=O), 160.94, 144.80, 136.08, 130.11 (C=C), 130.02 (C=C), 129.75(C=C), 128.34 (C=C), 122.60 (CH триазол), 115.22, 109.96, 102.83, 101.27 (С1 GlcNAcβ), 100.90 (C1 Galβ), 99.06 (C1 Fucα), 92.17 (C1 GalNAcα), 78.02, 76.18, 75.65, 75.43, 72.41, 71.99, 71.87, 71.42, 70.85, 70.10, 68.84, 68.18, 67.93, 66.94, 66.33, 63.39–62.99, 62.78, 61.62, 60.61, 60.20, 55.33, 53.97, 53.49–52.11, 49.67, 44.70, 42.29, 42.21, 40.61, 38.48, 38.36, 36.43, 35.53, 35.46, 35.28, 35.18, 34.04, 33.88, 31.60, 30.90, 29.46–28.69, 28.51, 26.92, 26.88, 25.31, 25.23, 25.11, 24.99, 24.81, 24.76, 22.93, 22.44, 16.49 (C6 Fucα), 14.25 (2 СH3); ИЭР МСВР: найдено m/z 1098.1543, рассчитано для C148H219N23O59P3–, [M – 3H]3– 1098.1557; найдено m/z 823.3639, рассчитано для C148H218N23O59P4–, [M – 4H]4– 823.3655; найдено m/z 658.4897, рассчитано для C148H217N23O59P5–, [M – 5H]5– 658.4915; найдено m/z 548.5735, рассчитано для C148H216N23O59P6–, [M – 6H]6– 548.5757.
Смесь эпимеров (13L/D). К раствору производного (10) (1.8 мг, 0.010 ммоль) в 100 мкл DMSO добавляли раствор активированного эфира (11) (6.8 мг, 0.0092 ммоль) в 200 мкл DMSO и 0.5 мкл (0.0028 ммоль) Et3N. Через 2 ч реакционную смесь подвергали гель-хроматографии (CH3CN–H2O, 1 : 1). Фракции, содержащие продукт, объединяли, концентрировали и подвергали колоночной хроматографии на силикагеле (CH2Cl2–EtOH–H2O, 6 : 5 : 0.5); фракции содержащие чистый продукт объединяли, концентрировали и подвергали лиофильной сушке из воды, получили 6.2 мг (85%) производного (12) в виде розовой пены, Rf 0.45 (CH2Cl2–EtOH–H2O, 6 : 5 : 0.5), 1H-ЯМР (D2O, 700 MГц): 8.53 (т, J 13.4, 1H, С=СH), 7.91 (т, J 1.6, 2H, ArH), 7.86 (т, J 2.0, 1H, С=СH), 7.85 (т, J 1.9, 1H, С=СH), 7.36 (дд, J 8.4, 6.6, 2H, ArH), 6.38 (дд, J 13.5, 10.2, 2H, ArH), 4.16 (дд, J 8.9, 4.7, 1H, C(O)CHN), 4.13–4.06 (м, 2H, CH2), 3.62 (c, 3H, N(CH3)), 3.25 (тд, J 6.7, 3.0, 2H, CH2), 2.31 (тд, J 7.1, 2.7, 2H, CH2), 1.87–1.82 (м, 2H, CH2), 1.75 (с, 12H, 2 C(CH3)2), 1.74–1.60 (м, 4H, 2 CH2), 1.57–1.49 (м, 2H, CH2), 1.47–1.24 (м, 4H, 2 CH2); 13C-ЯМР (D2O, 176 MГц, DEPT): 151.95 (C=CH), 126.66 (2 C=CH), 119.83 (C-Ar), 119.70 (C-Ar), 111.45 (C-Ar), 111.29 (C-Ar), 103.57 (C-Ar), 103.48 (C-Ar), 54.41 (C(O)CHN), 50.91, 44.09, 35.44, 30.91, 27.61, 26.51, 25.46, 25.03, 22.56; ИЭР МСВР: найдено m/z 769.2695, рассчитано для C36H45N6O9S2–, [M – H]– 769.2692; найдено m/z 384.1311, рассчитано для C36H44N6O9S22–, [M – 2H]2– 384.1305.
К раствору производного (12) (6.0 мг, 0.0076 ммоль) в 0.5 мл DMF добавляли раствор TBTU (2.4 мг, 0.0076 ммоль) в 100 мкл DMF и DIPEA (1.3 мкл, 0.0076 ммоль), а через 10 мин – аминопропилгликозид (1) (5.4 мг, 0.0068 ммоль). Через 4 ч реакционную смесь подвергали гель-хроматографии (CH3CN–H2O, 1 : 1). Фракции, содержащие продукт, объединяли, концентрировали и полученный остаток дополнительно очищали колоночной хроматографией на силикагеле (CHCl3–MeOH, 2 : 3). Фракции, содержащие чистый продукт, объединяли, концентрировали и подвергали лиофильной сушке из воды, в результате получили 7.4 мг (72%) смеси (13L/D) (по данным 1H-ЯМР соотношение изомеров 1 : 1) в виде розовой пены, Rf 0.32 (CH2Cl2–EtOH–H2O, 6 : 5 : 1), 1H-ЯМР (CD3OD, 700 MГц): характеристические сигналы 8.60–8.53 (м, 1H, С=СH), 7.95 (дд, J 3.4, 1.7, 2H, ArH), 7.93 (д, J 1.8, 1H, С=СH), 7.92 (д, J 1.8, 1H, С=СH), 7.43–7.39 (м, 2H, ArH), 6.53–6.46 (м, 2H, ArH), 5.34 (д, J1,2 4.1, 1H, H1 Fucα), 5.15 (д, J1,2 3.7, 1H, H1 GalNAcα), 4.53 (д, J1,2 7.6, 1H, H1 Galβ), 4.40 (д, J1,2 8.4, 0.5 H, H1 GlcNAcβ (L)), 4.39 (д, J1,2 8.4, 0.5 H, H1 GlcNAcβ (D)), 4.27–4.20 (м, 1H, C(O)CHN (L + D)), 2.00 (с, 3H, NC(O)CH3), 1.97 (c, 1.5 H, NC(O)CH3 (L)), 1.96 (c, 1.5 H, NC(O)CH3 (D)), 1.22 (м, 3H, H6 Fucα (L + D)).
Получение СЛК (18). Производное (10) (10 мг, 0.029 ммоль) растворяли в MeOH (400 мкл), добавляли Boc2O (28 мкл, 0.058 ммоль) и Et3N (8 мкл, 0.03 ммоль). Через 24 ч смесь концентрировали и подвергали колоночной хроматографии на силикагеле, получили 12.2 мг (81%) производного (14), бесцветное стекло, Rf 0.24 (CHCl3–MeOH, 9 : 1), 1H-ЯМР (DMSO-d6, 800 MГц): 3.40 (кв, J 7.4, 1H, C(O)CHN), 3.31 (т, J 6.8, 2H, CH2N3), 1.71–1.63 (м, 1Н, СHH), 1.59–1.46 (м, 3Н, СHH, CH2), 1.38 (c, 9H, C(CH3)3), 1.37–1.32 (м, 2Н, CH2); 13C-ЯМР (DMSO-d6, 201 MГц): 174.88 (C(O)OH), 155.87 (C(O)NH), 78.25 (C(CH3)3), 54.17 (C(O)CHN), 51.08 (CH2N3), 31.31 (CH2), 28.69 (C(CH3)3), 28.45 (CH2), 23.24 (CH2); ИЭР МСВР: найдено m/z 273.1557, рассчитано для C11H21N4O4, [M + H]+ 273.1556; найдено m/z 290.1823, рассчитано для C11H24N5O4+, [M + NH4]+ 290.1821; найдено m/z 295.1375, рассчитано для C11H20N4O4Na+, [M + Na]+ 295.1382; найдено m/z 311.1116, рассчитано для C11H20N4O4K+, [M + K]+ 311.1114.
К раствору производного (14) (3.0 мг, 0.011 ммоль) в 0.75 мл DMF добавляли раствор TBTU (3.5 мг, 0.011 ммоль) в 100 мкл DMF и DIPEA (1.9 мкл, 0.011 ммоль), а через 10 мин – аминопропилгликозид (1) (7.8 мг, 0.0099 ммоль). Через 30 мин реакционную смесь подвергали гель-хроматографии (CH3CN–H2O, 1 : 1). Фракции, содержащие продукт, объединяли и концентрировали, полученный остаток дополнительно очищали колоночной хроматографией на силикагеле (CH2Cl2–EtOH–H2O, 6 : 5 : 1). Фракции, содержащие чистый продукт, объединяли и концентрировали. Полученный остаток, содержащий продукт (15) (Rf 0.44, CH2Cl2–EtOH–H2O, 6 : 5 : 1), охлаждали до 4°С и добавляли к нему 95%-ную CF3COOH (1 мл), также охлажденную до 4°С. Через 5 мин в смесь добавляли 2 мл Et2O, что приводило к выпадению продукта в виде тонкой пленки на стенки колбы. Супернатант удаляли, пленку промывали 3 раза по 2 мл Et2O, после чего высушивали в вакууме масляного насоса. Остаток подвергали ионообменной хроматографии (Dowex 50 (H+), элюция 5%-ным водным NH3). Лиофильной сушкой из воды получали 6.7 мг (72%) производного (16), белая пена, Rf 0.20 (CHCl3–MeOH–H2O, 2 : 6 : 1), 1H-ЯМР (D2O + эквивалентное к соединению (16) количество CF3COOH, 800 MГц): 5.36 (д, J1,2 4.2, 1H, H1 Fucα), 5.19 (д, J1,2 3.9, 1H, H1 GalNAcα), 4.60 (д, J1,2 7.7, 1H, H1 Galβ), 4.50 (д, J1,2 8.5, 1H, H1 GlcNAcβ), 4.32 (кв, J5,6 6.6, 1H, H5 Fucα), 4.27– 4.20 (м, 3H, H2 GalNAcα, H5 Galβ, H4 Galβ), 4.03–3.88 (м, 7H, 6H Atetra, OCHHCH2CH2N), 3.86–3.70 (м, 10H, 9H Atetra, C(O)CHNH2), 3.70–3.66 (м, 2H, Atetra), 3.65–3.61 (м, 1H, OCHHCH2CH2N), 3.45 (ддд, J 10.0, 6.0, 2.1, 1H, H5 GlcNAcβ), 3.42–3.34 (м, 3H, OCH2CH2CHHN, CH2N3), 3.26–3.21 (м, 1H, OCH2CH2CHHN), 2.06 (с, 3H, NC(O)CH3), 2.05 (с, 3H, NC(O)CH3), 1.93–1.88 (м, 2H, OCH2CH2CH2N), 1.81 (п, J 6.5, 2H, CH2), 1.66 (п, J 6.9, 2H, CH2), 1.49–1.42 (м, 2H, CH2), 1.26 (д, J5,6 6.6, 3H, H6 Fucα); 13C-ЯМР (D2O + эквивалентное к соединению (16) количество CF3COOH, 201 MГц): 174.88 (NC(O)C), 174.68 (NC(O)C), 169.50 (NC(O)C), 101.26 (С1 GlcNAcβ), 100.15 (C1 Galβ), 98.68 (C1 Fucα), 91.4 (C1 GalNAcα), 76.37, 75.75, 75.39, 75.22, 72.44, 72.31, 71.77, 71.15, 70.03, 68.55, 68.02, 67.85, 67.72, 66.89, 63.10, 61.36, 61.20, 60.23, 55.43, 53.25, 50.69, 49.56, 36.73 (OCH2CH2CH2N), 30.38 (OCH2CH2CH2N), 28.30 (CH2), 27.60 (C(CH3)3), 22.24 (CH2), 21.99 (NC(O)CH3), 21.55 (NC(O)CH3), 15.20 (C6 Fucα); ИЭР МСВР: найдено m/z 944.4306, рассчитано для C37H66N7O21+, [M + H]+ 944.4295.
К раствору производного (16) (5.0 мг, 0.0053 ммоль) в DMSO (0.5 мл) добавляли раствор активированного эфира (11) (4.3 мг, 0.0055 ммоль) в DMSO (0.5 мл) и DIPEA (0.28 мкл, 0.0017 ммоль). Через 1 ч реакционную смесь подвергали гель-хроматографии (CH3CN–H2O, 1 : 1). Фракции, содержащие чистый продукт, объединяли и концентрировали; фракции, содержащие чистый продукт с примесями, объединяли, концентрировали и подвергали дополнительной очистке колоночной хроматографией на силикагеле (CH2Cl2–EtOH–H2O, 6 : 5 : 1). Все фракции с чистым продуктом объединяли, концентрировали и подвергали лиофильной сушке из воды, в результате получили 7.4 мг (89%) продукта (13) в виде розовой пены, Rf 0.32 (CH2Cl2–EtOH–H2O, 6 : 5 : 1), 1H-ЯМР (CD3OD, 800 MГц): 8.57 (т, J 13.4, 1H, С=СH), 7.95 (дд, J 2.9, 1.7, 2H, ArH), 7.92 (д, J 1.8, 1H, С=СH), 7.91 (д, J 2.0, 1H, С=СH), 7.41 (дд, J 9.8, 8.3, 2H, ArH), 6.50 (дд, J 15.0, 13.4, 2H, ArH), 5.34 (д, J1,2 4.0, 1H, H1 Fucα), 5.15 (д, J1,2 3.9, 1H, H1 GalNAcα), 4.53 (д, J1,2 7.7, 1H, H1 Galβ), 4.39 (д, J1,2 8.6, 1H, H1 GlcNAcβ), 4.34–4.29 (м, 2H, Atetra), 4.25 (дд, J 8.9, 5.5, 1H, C(O)CHN), 4.23–4.14 (м, 2H, 1H Atetra, CH2), 4.10 (д, 1H, J3,4 3.1, H4 Galβ), 4.00 (дд, J2,3 9.9, J1,2 7.7, 1H, H2 Galβ), 3.93–3.88 (м, 4H, 3H Atetra, OCHHCH2CH2N), 3.82 (дд, J2,3 11.0, J3,4 3.2, 1H, H3 GalNAcα), 3.80–3.63 (м, 15H, 12 Atetra, N(CH3)), 3.61–3.49 (м, 4H, 1H Atetra, CH2, OCHHCH2CH2N), 3.34–3.27 (м, 4H, H5 GlcNAcβ, OCH2CH2CH2N, CHH), 3.22–3.17 (м, 1H, CHH), 2.35–2.25 (м, 2H, CH2), 2.00 (с, 3H, NC(O)CH3), 1.97 (с, 3H, NC(O)CH3), 1.90–1.84 (м, 2H, OCH2CH2CH2N), 1.79 (c, 12H, 2 C(CH3)2) 1.78–1.70 (м, 4H, 2 CH2), 1.67– 1.55 (м, 4H, 2 CH2), 1.35–1.26 (м, 2H, CH2), 1.21 (д, J5,6 6.7, 3H, H6 Fucα); 13C-ЯМР (CD3OD, 201 MГц): 176.21, 175.40, 174.49, 173.08, 173.01, 172.20, 143.97, 143.32, 142.76, 142.70, 140.79, 140.74, 126.94, 126.83, 120.11, 120.00, 110.84, 110.62, 103.50, 103.24, 101.55 (С1 GlcNAcβ), 100.82 (C1 Galβ), 98.90 (C1 Fucα), 92.23 (C1 GalNAcα), 77.15, 76.57, 75.75, 75.56, 72.88, 72.47, 72.19, 72.14, 71.34, 70.47, 69.17, 68.68, 68.55, 67.31, 66.32, 66.19, 63.56, 63.04, 61.98, 61.18, 60.35, 55.41, 53.47, 50.89, 49.89, 49.35, 49,33, 43.99, 36.47, 35.04, 31.66, 31.27, 29.49–28.78, 28.09, 26.86, 26.84, 26.73, 26.69, 25.85, 24.97, 22.91, 22.31, 21.68, 21.34, 19.30, 15.21 (C6 Fucα); ИЭР МСВР: найдено m/z 771.8093, рассчитано для C67H101N9O28S22+, [M + 2H]2+ 771.8093.
Алкин (17) (5.6 мг, 0.0023 ммоль) и азид (13) (4.0 мг, 0.0026 ммоль) растворяли в смеси DMSO– Н2О, 1 : 1 (0.5 мл) и замораживали жидким азотом. Колбу заполняли аргоном и давали смеси оттаять, после чего в противотоке аргоном добавляли растворы CuSO4 ∙ 5H2O (0.29 мг, 0.0012 ммоль в 50 мкл H2O), NaAsc (0.23 мг, 0.0012 ммоль в 50 мкл H2O), THPTA (0.50 мг, 0.0012 ммоль в 50 мкл H2O). Через 1 ч реакционную смесь подвергали гель-хроматографии (CH3CN–H2O, 1 : 1); фракции, содержащие чистый продукт объединяли, концентрировали и подвергали лиофильной сушке из воды, получили 6.9 мг (86%) СЛК (18) в виде розовой пены, Rf 0.22 (i-PrOH–MeOH–CH3CN–H2O, 4 : 3 : 8 : 4), 1H-ЯМР (D2O–CD3OD, 2 : 1, 800 MГц): 8.59 (т, J 13.3, 1H, C=CH SuCy-3), 7.94 (c, 2H, ArH), 7.91 (т, J 8.8, 2H, 2 C=CH SuCy-3), 7.82 (c, 1H, триазольный цикл), 7.45 (т, J 9.1 2H, ArH), 6.47 (дд, J 13.5, 8.0, 2H, ArH), 5.37 (д, J1,2 4.8, 1H, H1 Fucα), 5.37–5.33 (м, 4H, 2 HC=CH), 5.30–5.26 (м, 1H, C(2)H глицерина), 5.19 (д, J1,2 3.9, 1H, H1 GalNAcα), 4.61 (д, J1,2 7.6, 1H, H1 Galβ), 4.50 (д, J1,2 8.4, 1H, H1 GlcNAcβ), 4.45 (дд, J 12.3, 2.1, 1H, C(1)H глицерина), 4.39 (м, 1H, H5 Galβ), 4.34 (кв, J 6.5, 1H, H5 Fucα), 4.30 –4.26 (м, 2H, H2 GalNAcα, H-4 Galβ) 4.34–3.86, 3.83–3.64 (2м, 49H, 12H, 17H Atetra, 12 C(O)CH2N (CMG), 4 NCH2C(O)O (CMG), NCH2CH2OP, C(1)H’ и C(3)H2 глицерина, OCHHCH2CH2N, CH2N SuCy3, C(O)CHN лизин, NCH3), 3.58–3.54 (м, 1H, OCHHCH2CH2N), 3.46–3.22 (м, 8H, H5 GlcNAcβ, NCH2CH2OP, NCH2CH2N, OCH2CH2CHHN), 3.17–3.12 (м, 1Н, OCH2CH2CHHN), 3.02 (т, J 7.4, 1H, CH2), 2.70 (т, J 7.4, 1H, CH2), 2.40 – 2.26 (м, 12H, 6 C(O)CH2), 2.06 (с, 3H, NC(O)CH3), 2.03 (с, 3H, NC(O)CH3), 2.00–1.92 (м, 8H, 2 CH2C=CCH2), 1.92–1.84 (м, 4H, OCH2CH2CH2N, CH2), 1.81 (c, 12H, 2 C(CH3)2), 1.80–1.55 (м, 20H, 6 C(O)CH2CH2, 4 CH2), 1.39–1.19 (м, 45H, 21 CH2, H6 Fucα), 0.87 (т, J 7.1, 6H, 2 CH3); 13C-ЯМР (D2O–CD3OD, 2 : 1, 201 MГц, DEPT): 153.33 (C=CH SuCy-3), 129.62 (C=C олеоил), 127.05 (С=СH SuCy-3), 123.12 (CH триазол), 119.73 (С(Ar)H SuCy-3), 111.44 (С(Ar)H SuCy-3), 103.73 (С(Ar)H SuCy-3), 101.16 (С1 GlcNAcβ), 100.19 (C1 Galβ), 98.97 (C1 Fucα), 91.65 (C1 GalNAcα), 76.41, 75.78, 75.42, 75.22, 72.51, 72.11, 71.76, 71.32, 70.64, 70.61, 70.02, 68.45, 67.99, 67.81, 67.78, 66.77, 64.16, 63.98, 63.44, 63.19, 61.98, 61.94, 61.89, 61.55, 62.43, 61.40, 61.11, 60.62, 55.41, 54.32, 52.91–51.85, 51.60, 50.84, 49.56, 44.13–43.90, 40.50–40.01, 39.98, 39.83, 38.84, 38.75, 38.52, 36.10, 35.26, 35.19, 34.81, 34.30–33.63, 31.90, 30.76, 30.52, 30.60–29.48, 29.28, 28.64, 27.12–26.55, 25.53, 25.45–24.59, 22.74, 22.42, 22.10, 21.92, 15.45 (C6 Fucα), 13.90 (2 СH3); ИЭР МСВР: найдено m/z 1725.2752, рассчитано для C153H237N24O59PS22–, [M – 2H]2– 1725.2738; найдено m/z 1149.8477, рассчитано для C153H236N24O59PS23–, [M – 3H]3– 1149.8492; найдено m/z 862.1339, рассчитано для C153H235N24O59PS24–, [M – 4H]4– 862.1357; найдено m/z 689.5057, рассчитано для C153H234N24O59PS25–, [M – 5H]5– 689.5077; найдено m/z 754.42026–, рассчитано для C153H233N24O59PS2, [M – 6H]6– 574.4225.
ЗАКЛЮЧЕНИЕ
Синтезированы два бифункциональных липофильных конструкта, содержащих тетрасахарид А (тип 2) (гликан), CMG–DOPE (спейсер-липид) и отличающиеся флуоресцентной меткой (флуоресцеин или сульфоцианин-3). Опробованы две синтетические стратегии, отличающиеся порядком конъюгирования составных блоков; обе стратегии позволяют получать СЛК, содержащие другие гликаны и флуоресцентные метки.
Синтезированные липофильные конструкты предназначены для прямой флуоресцентной визуализации гликанов, встроенных в клеточную мембрану в составе СЛК. Независимый характер введения гликана и флуоресцентной метки в конструкт (они не связаны ковалентно и разнесены пространственно) исключает влияние флуорофора на узнавание углеводной части СЛК гликан-специфическими белками, что позволит исследовать взаимодействие последних с гликанами непосредственно в составе гликокаликса клетки.
ФОНДОВАЯ ПОДДЕРЖКА
Работа выполнена при финансовой поддержке гранта Российского научного фонда № 22-23-00756 “Синтетические гликолипидные биоконъюгаты как инструменты исследования эукариотической клетки”.
СОБЛЮДЕНИЕ ЭТИЧЕСКИХ СТАНДАРТОВ
Настоящая статья не содержит описания исследований с участием людей или использованием животных в качестве объектов исследования.
КОНФЛИКТ ИНТЕРЕСОВ
Авторы заявляют об отсутствии конфликта интересов.
About the authors
D. O. Anisimova
Shemyakin–Ovchinnikov Institute of Bioorganic Chemistry of the Russian Academy of Sciences
Email: imryzhov@gmail.com
Russian Federation, ul. Miklukho-Maklaya 16/10, Moscow, 117997
M. S. Savchenko
Shemyakin–Ovchinnikov Institute of Bioorganic Chemistry of the Russian Academy of Sciences
Email: imryzhov@gmail.com
Russian Federation, ul. Miklukho-Maklaya 16/10, Moscow, 117997
A. B. Tuzikov
Shemyakin–Ovchinnikov Institute of Bioorganic Chemistry of the Russian Academy of Sciences
Email: imryzhov@gmail.com
Russian Federation, ul. Miklukho-Maklaya 16/10, Moscow, 117997
A. S. Paramonov
Shemyakin–Ovchinnikov Institute of Bioorganic Chemistry of the Russian Academy of Sciences
Email: imryzhov@gmail.com
Russian Federation, ul. Miklukho-Maklaya 16/10, Moscow, 117997
A. O. Chizhov
N. D. Zelinsky Institute of Organic Chemistry of the Russian Academy of Sciences
Email: imryzhov@gmail.com
Russian Federation, Leninskiy prosp. 47, Moscow, 119991
N. V. Bovin
Shemyakin–Ovchinnikov Institute of Bioorganic Chemistry of the Russian Academy of Sciences
Email: imryzhov@gmail.com
Russian Federation, ul. Miklukho-Maklaya 16/10, Moscow, 117997
I. M. Ryzhov
Shemyakin–Ovchinnikov Institute of Bioorganic Chemistry of the Russian Academy of Sciences
Author for correspondence.
Email: imryzhov@gmail.com
Russian Federation, ul. Miklukho-Maklaya 16/10, Moscow, 117997
References
- Rapoport E.M., Khasbiullina N.R., Komarova V.A., Ryzhov I.M., Gorbatch M.M., Tuzikov A.B., Khaidukov S.V., Popova I.S., Korchagina E.Y, Henry S.M., Bovin N.V. // Biochim. Biophys. Acta Biomembr. 2021. V. 1863. P. 183645. https://doi.org/10.1016/j.bbamem.2021.183645
- Frame T., Carroll T., Korchagina E., Bovin N., Henry S. // Transfusion. 2007. V. 47. P. 876–882. https://doi.org/10.1111/j.1537-2995.2007.01204.x
- Korchagina E., Tuzikov A., Formanovsky A., Popova I., Henry S., Bovin N. // Carbohydr. Res. 2012. V. 356. P. 238–246. https://doi.org/10.1016/j.carres.2012.03.044
- Henry S., Williams E., Barr K., Korchagina E., Tuzikov A., Ilyushina N., Abayzeed S.A, Webb K.F., Bovin N. // Sci. Rep. 2018. V. 8. P. 2845. https://doi.org/10.1038/s41598-018-21186-3
- Zalygin A., Solovyeva D., Vaskan I., Henry S., Schaefer M., Volynsky P., Tuzikov A., Korchagina E., Ryzhov I., Nizovtsev A., Mochalov K., Efremov R., Shtykova E., Oleinikov V., Bovin N. // ChemistryOpen. 2020. V. 9. P. 641–648. https://doi.org/10.1002/open.201900276
- Ryzhov I.M., Tuzikov A.B., Nizovtsev A.V., Baidakova L.K., Galanina O.E., Shilova N.V., Ziganshina M.M., Dolgushina N.V., Bayramova G.R., Sukhikh G.T., Williams E.C., Nagappan R., Henry S.M., Bovin N.V. // Bioconjug. Chem. 2021. V. 32. P. 1606– 1616. https://doi.org/10.1021/acs.bioconjchem.1c00186
- Lan C.-C., Blake D., Henry S., Love D.R. // J. Fluoresc. 2012. V. 22. P. 1055–1063. https://doi.org/10.1007/s10895-012-1043-3
- Barr K., Korchagina E., Ryzhov I., Bovin N., Henry S. // Transfusion. 2014. V. 54. P. 2477–2484. https://doi.org/10.1111/trf.12661
- Williams E., Korchagina E., Frame T., Ryzhov I., Bovin N., Henry S. // Transfusion. 2016. V. 56. P. 325– 333. https://doi.org/10.1111/trf.13384
- Rapoport E.M., Ryzhov I.M., Slivka E.V., Korchagina E.Y., Popova I.S., Khaidukov S.V., André S., Kaltner H., Gabius H.J., Henry S., Bovin N.V. // Biomolecules. 2023. V. 13. P. 1–12. https://doi.org/10.3390/biom13081166
- Mikhalyov I.I., Molotkovsky Jul.G. // Russ. J. Bioorg. Chem. 2003. V. 29. P. 168–174. https://doi.org/10.1023/A:1023264516818
- Yamaguchi E., Komura N., Tanaka H.N., Imamura A., Ishida H., Groux-Degroote S., Mühlenhoff M., Suzuki K.G.N., Ando H. // Glycoconj. J. 2023. V. 40. P. 247–257. https://doi.org/10.1007/s10719-023-10102-1
- Ryzhov I.M., Korchagina E.Y., Popova I.S., Tyrtysh T.V., Paramonov A.S., Bovin N.V. // Carbohydr. Res. 2016. V. 430. P. 59–71. https://doi.org/10.1016/j.carres.2016.04.029
- Petrakova D.O., Savchenko M.S., Popova I.S., Tuzikov A.B., Paramonov A.S., Chizhov A.O., Bovin N.V., Ryzhov I.M. // Russ. J. Bioorg. Chem. 2023. V. 49. P. 785–796. https://doi.org/10.1134/S1068162023040143
- Vokhmyanina O.A., Rapoport E.M., André S., Severov V.V., Ryzhov I., Pazynina G.V., Korchagina E., Gabius H.-J., Bovin N.V. // Glycobiology. 2012. V. 22. P. 1207–1217. https://doi.org/10.1093/glycob/cws079
- Henry S.M., Bovin N.V. // J. R. Soc. New Zeal. 2019. V. 49. P. 100–113. https://doi.org/10.1080/03036758.2018.1546195
- Twibanire J.D.A.K., Grindley T.B. // Org. Lett. 2011. V. 13. P. 2988–2991. https://doi.org/10.1021/ol201005s
- Ryzhov I.M., Tuzikov A.B., Perry H., Korchagina E.Y., Bovin N.V. // ChemBioChem. 2019. V. 20. P. 131–133. https://doi.org/10.1002/cbic.201800289
- Meldal M., Tornøe C.W. // Chem. Rev. 2008. P. 108. P. 2952–3015. https://doi.org/10.1021/cr0783479
- Baskin J.M., Prescher J.A., Laughlin S.T., Agard N.J., Chang P.V., Miller I.A., Lo A., Codelli J.A., Bertozzi C.R. // Proc. Natl. Acad. Sci. USA. 2007. V. 104. P. 16793–16797. https://doi.org/10.1073/pnas.0707090104
- Rostovtsev V.V., Green L.G., Fokin V.V., Sharpless K.B. // Angew. Chemie Int. Ed. Engl. 2002. V. 41. P. 2596– 2599. https://doi.org/10.1002/1521-3773(20020715)41: 14<2596::AID-ANIE2596>3.0.CO,2-4
- Hong V., Presolski S.I., Ma C., Finn M.G. // Angew. Chemie Int. Ed. Engl. 2009. V. 48. P. 9879–9883. https://doi.org/10.1002/anie.200905087
- Chan T.R., Hilgraf R., Sharpless K.B., Fokin V.V. // Org. Lett. 2004. V. 6. P. 2853–2855. https://doi.org/10.1021/ol0493094
- Sturabotti E., Vetica F., Toscano G., Calcaterra A., Martinelli A., Migneco L.M., Leonelli F. // Molecules. 2023. V. 28. P. 581. https://doi.org/10.3390/molecules28020581
- Tyrtysh T.V., Korchagina E.Y., Ryzhov I.M., Bovin N.V. // Carbohydr. Res. 2017. V. 449. P. 65–84. https://doi.org/10.1016/j.carres.2017.06.014
- Meloncelli P.J., Lowary T.L. // Carbohydr. Res. 2010. V. 345. P. 2305–2322. https://doi.org/10.1016/j.carres.2010.08.012
Supplementary files






