Influence of Fe3O4 on Physicochemical and Photocatalytic Properties of Nanosized Barium Titanate
- Authors: Ivanov K.V.1, Plotvina A.V.2, Agafonov A.V.3
 - 
							Affiliations: 
							
- Krestov Institute of Solution Chemistry, Russian Academy of Sciencesy
 - Ivanovo State University of Chemical Technology
 - Krestov Institute of Solution Chemistry, Russian Academy of Sciences
 
 - Issue: Vol 68, No 1 (2023)
 - Pages: 133-144
 - Section: НЕОРГАНИЧЕСКИЕ МАТЕРИАЛЫ И НАНОМАТЕРИАЛЫ
 - URL: https://journals.rcsi.science/0044-457X/article/view/136314
 - DOI: https://doi.org/10.31857/S0044457X22601134
 - EDN: https://elibrary.ru/GVLHHB
 - ID: 136314
 
Cite item
Full Text
Abstract
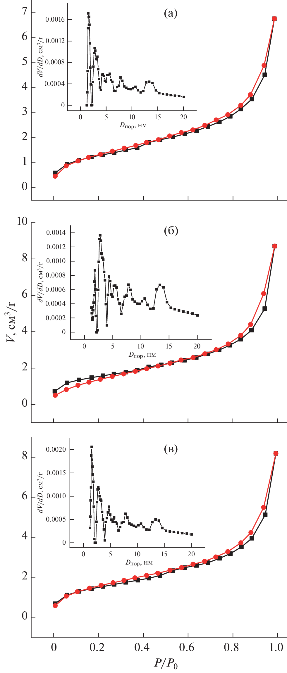
A procedure has been proposed for the synthesis of a nanocomposite based on barium titanate modified by adding nanodispersed magnetite using the sol–gel method in an acetic acid medium followed by annealing at 800°C. The physicochemical analysis of the products has shown that the matrix phase after annealing is barium titanate with an admixture of barium carbonate, and, in addition to magnetite, there are minor inclusions of hematite and wustite. The elemental composition of nanosized samples has been determined using energy-dispersive X-ray spectroscopy. It has been demonstrated that the concentration of introduced Fe3O4 affects the morphological and phase composition of the composites. The specific surface area and type of porosity of calcined samples have been determined by the low-temperature nitrogen adsorption/desorption method. The effect of BaTiO3, BaTiO3/Fe3O4-1%, and BaTiO3/Fe3O4-10% powders on the adsorption capacity and photocatalytic activity in the process of decolorization of the dye rhodamine B from an aqueous solution in the dark and under the action of ultraviolet light has been studied. The kinetics of adsorption in the dark and photocatalytic decomposition of rhodamine B under the action of ultraviolet radiation in an aqueous suspension of the obtained composites have been analyzed using pseudo-first and pseudo-second order kinetic models.
About the authors
K. V. Ivanov
Krestov Institute of Solution Chemistry, Russian Academy of Sciencesy
														Email: ivk@isc-ras.ru
				                					                																			                												                								153045, Ivanovo, Russia						
A. V. Plotvina
Ivanovo State University of Chemical Technology
														Email: ivk@isc-ras.ru
				                					                																			                												                								153000, Ivanovo, Russia						
A. V. Agafonov
Krestov Institute of Solution Chemistry, Russian Academy of Sciences
							Author for correspondence.
							Email: ivk@isc-ras.ru
				                					                																			                												                								153045, Ivanovo, Russia						
References
- Drdlik D., Marak V., Maca K. et al. // Ceram. Int. 2022. V. 48. Issue 17. P. 24599. https://doi.org/10.1016/j.ceramint.2022.05.105
 - Sasikumar S., Saravanakumar S., Asath Bahadur S. et al. // Optik (Stuttg). 2020. V. 206. P. 163752. https://doi.org/10.1016/j.ijleo.2019.163752
 - Solís R.R., Bedia J., Rodríguez J.J. et al. // Chem. Eng. J. 2021. V. 409. P. 128110. https://doi.org/10.1016/j.cej.2020.128110
 - Su Y.P., Sim L.N., Coster H.G.L. et al. // J. Memb. Sci. 2021. V. 640. P. 119861. https://doi.org/10.1016/j.memsci.2021.119861
 - Ravanamma R., Muralidhara Reddy K., Venkata Krishnaiah K. et al. // Mater. Today Proc. 2021. V. 46. P. 259. https://doi.org/10.1016/j.matpr.2020.07.646
 - Sandi D., Supriyanto A., Anif et al. // IOP Conf. Ser. Mater. Sci. Eng. 2016. V. 107. P. 012069. https://doi.org/10.1088/1757-899X/107/1/012069
 - Dang N.V., Dung N.T., Phong P.T. et al. // Phys. B: Condens. Matter. 2015. V. 457. P. 103. https://doi.org/10.1016/j.physb.2014.09.046
 - Lal M., Sharma P., Ram C. // Optik (Stuttg). 2021. V. 241. P. 166934. https://doi.org/10.1016/j.ijleo.2021.166934
 - Senthilkumar P., Jency D.A., Kavinkumar T. et al. // ACS Sustain. Chem. Eng. 2019. P. Acssuschemeng.9b00679. https://doi.org/10.1021/acssuschemeng.9b00679
 - Phoon B.L., Lai C.W., Juan J.C. et al. // Int. J. Hydrogen Energy. 2019. V. 44. № 28. P. 14316. https://doi.org/10.1016/j.ijhydene.2019.01.166
 - Wang W.P., Yang H., Xian T. et al. // Adv. Sci. Eng. Med. 2012. V. 4. № 6. P. 479. https://doi.org/10.1166/asem.2012.1215
 - Thamima M., Andou Y., Karuppuchamy S. // Ceram. Int. 2017. V. 43. № 1. P. 556. https://doi.org/10.1016/j.ceramint.2016.09.194
 - Lee W.W., Chung W.-H., Huang W.-S. et al. // J. Taiwan Inst. Chem. Eng. 2013. V. 44. № 4. P. 660. https://doi.org/10.1016/j.jtice.2013.01.005
 - Jiang X., Wang H., Wang X. et al. // Sol. Energy. 2021. V. 224. P. 455. https://doi.org/10.1016/j.solener.2021.06.032
 - Tomar R., Prajapati R., Verma S. et al. // Mater. Today Proc. 2021. V. 34. P. 608. https://doi.org/10.1016/j.matpr.2020.01.543
 - Liu K., Mi L., Wang H. et al. // Ceram. Int. 2021. V. 47. № 15. P. 22055. https://doi.org/10.1016/j.ceramint.2021.04.226
 - Mohan H., Ramasamy M., Ramalingam V. et al. // J. Hazard. Mater. 2021. V. 412. P. 125330. https://doi.org/10.1016/j.jhazmat.2021.125330
 - Rocha V.M. da S., Pereira M. de G., Teles L.R. et al. // Mater. Sci. Eng. B. 2014. V. 185. P. 13. https://doi.org/10.1016/j.mseb.2014.02.004
 - Niculescu A.-G., Chircov C., Grumezescu A.M. // Methods. 2022. V. 199. P. 16. https://doi.org/10.1016/j.ymeth.2021.04.018
 - Landfester K., Ramrez L.P. // J. Phys. Condens. Matter. 2003. V. 15. № 15. P. S1345. https://doi.org/10.1088/0953-8984/15/15/304
 - Mishra P., Patnaik S., Parida K. // Catal. Sci. Technol. 2019. V. 9. № 4. P. 916. https://doi.org/10.1039/c8cy02462f
 - Evdokimova O.L., Fedulova (Savicheva) A.D., Evdokimova A.V. et al. // Inorg. Mater. Appl. Res. 2020. V. 11. № 2. P. 371. https://doi.org/10.1134/S2075113320020100
 - Agafonov A.V., Ivanov K.V., Davydova O.I. et al. // Russ. J. Inorg. Chem. 2011. V. 56. № 7. P. 1025. [Агафо-нов А.В., Иванов К.В., Давыдова О.И. и др. // Журн. неорган. химии. 2011. Т. 56. № 7. С. 1087.]https://doi.org/10.1134/S0036023611070035
 - Shendy S.A., Shahverdizadeh G.H., Babazadeh M. et al. // Silicon. 2020. V. 12. № 7. P. 1735. https://doi.org/10.1007/s12633-019-00252-z
 - Bennett J.A., Parlett C.M.A., Isaacs M.A. et al. // ChemCatChem. 2017. V. 9. № 9. P. 1648. https://doi.org/10.1002/cctc.201601269
 - Иванов К.В., Алексеева О.В., Агафонов А.В. // Неорган. материалы. 2020. Т. 56. № 5. С. 519. [Ivanov K.V., Alekseeva O.V., Agafonov A.V. // Inorg. Mater. 2020. V. 56. № 5. P. 494. https://doi.org/10.1134/S0020168520040068]https://doi.org/10.31857/S0002337X20040065
 - Sardarian P., Naffakh-Moosavy H., Afghahi S.S.S. // J. Magn. Magn. Mater. 2017. V. 441. P. 257. https://doi.org/10.1016/j.jmmm.2017.05.074
 - Alfredo Reyes Villegas V., Isaías De León Ramírez J., Hernandez Guevara E. et al. // J. Saudi Chem. Soc. 2020. V. 24. № 2. P. 223. https://doi.org/10.1016/j.jscs.2019.12.004
 - Bell J.L.S., Palmer D.A., Barnes H.L. et al. // Geochim. Cosmochim. Acta. 1994. V. 58. № 19. P. 4155. https://doi.org/10.1016/0016-7037(94)90271-2
 - Cui Y., Sun H., Briscoe J. et al. // Nanotechnology. 2019. V. 30. № 25. P. 255702. https://doi.org/10.1088/1361-6528/ab0b00
 - Kim D.H., Lee S.J., Theerthagiri J. et al. // Chemosphere. 2021. V. 283. № June. P. 131218. https://doi.org/10.1016/j.chemosphere.2021.131218
 - More S., Khedkar M.V., Kulkarni G.D. et al. // Optik (Stuttg). 2021. V. 247. P. 167913. https://doi.org/10.1016/j.ijleo.2021.167913
 - Khalameida S., Sydorchuk V., Skubiszewska-Zięba J. et al. // J. Therm. Anal. Calorim. 2010. V. 101. № 2. P. 779. https://doi.org/10.1007/s10973-010-0755-3
 - Mullens J., Van Werde K., Vanhoyland G. et al. // Thermochim. Acta. 2002. V. 392–393. P. 29. https://doi.org/10.1016/s0040-6031(02)00067-9
 - Khirade P.P., Birajdar S.D., Raut A.V. et al. // Ceram. Int. 2016. V. 42. № 10. P. 12441. https://doi.org/10.1016/j.ceramint.2016.05.021
 - Agafonov A.V., Ivanov K.V., Davydova O.I. et al. // Russ. J. Inorg. Chem. 2011. V. 56. № 7. P. 1025. [Агафонов А.В., Иванов К.В., Давыдова О.И. и др. // Журн. неорган. химии. 2011. Т. 56. № 7. С. 1087.]https://doi.org/10.1134/S0036023611070035
 - Sing K.S.W., Everett D.H., Haul R.A.W. et al. // Pure Appl. Chem. 1985. V. 57. P. 603. https://doi.org/https://doi.org/10.1515/iupac.57.0007
 - Ivanov K.V., Noskov A.V., Alekseeva O.V. et al. // Russ. J. Inorg. Chem. 2021. V. 66. № 4. P. 490. [Иванов К.В., Носков А.В., Алексеева О.В. и др. // Журн. неорган. химии. 2021. Т. 66. № 4. С. 464. https://doi.org/10.31857/S0044457X21040139]https://doi.org/10.1134/S0036023621040136
 - Panthi G., Park M. // J. Energy Chem. 2022. V. 73. P. 160. https://doi.org/10.1016/j.jechem.2022.06.023
 - Mohammed N., Grishkewich N., Berry R.M. et al. // Cellulose. 2015. V. 22. № 6. P. 3725. https://doi.org/10.1007/s10570-015-0747-3
 - Alekseeva O.V., Noskov A.V., Agafonov A.V. // Cellulose. 2022. V. 29. P. 3947. https://doi.org/10.1007/s10570-022-04546-1
 
Supplementary files
				
			
					
						
						
						
						
				











