Relationship between Respiration Rate and Body Weight in Arctic Copepods at Subzero Temperature
- Authors: Arashkevich E.G.1, Drits A.V.1, Pasternak A.F.1, Frenkel S.E.2, Karmanov V.A.1
-
Affiliations:
- Shirshov Institute of Oceanology, Russian Academy of Sciences
- Russian Federal Research Institute of Fisheries and Oceanography
- Issue: Vol 64, No 2 (2024)
- Pages: 308-319
- Section: Морская биология
- URL: https://journals.rcsi.science/0030-1574/article/view/264588
- DOI: https://doi.org/10.31857/S0030157424020079
- EDN: https://elibrary.ru/RVKMIO
- ID: 264588
Cite item
Full Text
Abstract
Dependence of the respiration rate (R) on the animal’s weight (W) is described by the equation R = a Wb, where the exponential coefficient b is usually taken equal to ¾. However, several authors indicate that the value of the coefficient b may vary with temperature changes as well as during ontogeny. In the Arctic seas, copepods spend most of their lives at temperature below or close to zero. Meanwhile, there are very few measurements of respiration rate at temperatures ≤ 0°C, which does not allow us to estimate the overall R(W) dependence at these temperatures. The work was carried out in three cruises of the R/V “Akademik Mstislav Keldysh” in the Siberian Arctic seas in 2018–2020. Copepods caught from the sea were adapted to experimental temperature and placed in tightly capped vials filled with filtered sea water for 24 h. The oxygen concentration was measured with a fiber-optic oxygen probe. The results of 120 measurements of respiration rate and 111 measurements of body carbon in five species of copepods at a temperature of -1.5°C are presented. The obtained relationship between body carbon content (W) and the prosome length (L) was described by the equation W = 6.982 L3.221, and the dependence of respiration on body weight was described by the equation R = 0.077 W0.753. No effect of a subzero temperature on the coefficient b was found. The regression parameters of R(W) did not change with the ontogenetic development of Calanus glacialis.
Full Text
ВВЕДЕНИЕ
Дыхание — одна из важнейших физиологических функций организма, необходимая для обеспечения всех процессов жизнедеятельности. Скорость дыхания (R) связана с весом животных (W) уравнением: R = aWb, где а — эмпирический коэффициент, численно равный R при W = 1; b — степенной коэффициент, определяющий наклон данной зависимости. Величина степенного коэффициента (b) вызывает многочисленные дебаты исследователей. В начале прошлого века Руднером был предложен коэффициент ⅔ на основании того, что отношение объема к поверхности тела имеет такую же степень, и в течение долгого времени экспериментальные данные подтверждали эту закономерность (см. обзор [13]).
В 1960 г. на основании сравнения скорости метаболизма у разных видов в широком размерном диапазоне А. Хеммингсен установил [28], что степенной коэффициент равен примерно ¾ как у экзотермических, так и у эндотермических животных. Теоретическое обоснование аллометрической зависимости со степенным коэффициентом ¾ было дано авторами Метаболической теории экологии (the Metabolic Theory of Ecology), принявших “степенной закон ¾” как универсальный для широкого ранга организмов от бактерий до слонов и как предиктор большинства биологических процессов от молекулярного уровня до экосистемного [14, 24, 42]. Универсальность степенного закона ¾ была неоднозначно принята другими авторами, многие из которых подвергли ее суровой критике [напр., 7, 16, 20, 26, 36]. Хотя большинство экспериментальных результатов, по крайней мере, для многоклеточных организмов, согласуется с аллометрической зависимостью ¾ [19, 38], есть и многочисленные исключения, где степенной коэффициент, b, варьирует от ⅔ до 1 и выше (см. обзоры [25, 26]).
Для зависимости скорости дыхания от веса тела у водных ракообразных, в большинстве случаев наблюдается согласованность в отношении величины степенного коэффициента, который равен или близок к ¾ как у морских, так и у пресноводных животных [2, 4, 8, 31].
Однако есть указания на то, что величина степенного коэффициента зависимости R(W) у копепод может варьировать при изменении температуры [17, 33], а также в течение онтогенеза, снижаясь по мере взросления животного [22].
В арктических морях большую часть жизни копеподы проводят при отрицательной или близкой к нулю температуре [18]. Однако измерения скорости дыхания арктических копепод при температуре ≤ 0°С крайне немногочисленны [11, 12, 27, 29, 32, 39], а общая межвидовая зависимость R(W) при отрицательной температуре не выявлена.
В Карском море и море Лаптевых доминируют три вида копепод рода Calanus (C. glacialis, C. hyperboreus и C. finmarchicus) a также Metridia longa и Oithona similis [1, 21, 30, 34, 35, 37]. Их доля в суммарной биомассе зоопланктона составляет до 80–85%.
Целью данной работы было выявление общей зависимости скорости дыхания от веса тела (R = a Wb) массовых видов копепод морей Сибирской Арктики при отрицательной температуре (–1.5°С).
Были поставлены следующие задачи:
- измерение скорости дыхания массовых видов копепод;
- сравнение параметров зависимости R(W) у копепод при отрицательной температуре и полученных другими авторами при положительных значениях температуры;
- сопоставление зависимости R(W) на межвидовом уровне и на внутривидовом уровне.
МАТЕРИАЛЫ И МЕТОДЫ
Работы проводились в трех рейсах НИС “Академик Мстислав Келдыш” в сибирских арктических морях в 2018–2020 гг. Районы отбора проб для экспериментов по дыханию находились в северной части моря Лаптевых в сентябре 2018 г., в западной части Карского моря у кромки льда в июле 2019 г. и в открытых водах западной части Карского моря в сентябре 2020 г. (табл. 1).
Таблица 1. Дата, время и координаты станций
Дата | Номер станции | Местное время | GMT | Широта, N | Долгота, E | Глубина, м |
Море Лаптевых, 2018 г. | ||||||
23.08.2018 | 5944 | 21:15 | 14:15 | 77°59.8′ | 105º19.6′ | 207 |
27.08.2018 | 5952 | 15:45 | 07:45 | 77°10.9′ | 125°48.9′ | 789 |
29.08.2018 | 5957 | 18:55 | 10:55 | 78°30.0′ | 125°48.0′ | 2787 |
03.09.2018 | 5968 | 18:40 | 10:40 | 78°05.0′ | 112°34.0′ | 348 |
Карское море, 2019 г. | ||||||
08.07.2019 | 6223 | 7:30 | 3:30 | 74°52.52′ | 62°50.26′ | 375 |
09.07.2019 | 6226 | 10:00 | 05:00 | 75°44.71′ | 68°18.29′ | 312 |
12.07.2019 | 6229/2 | 02:30 | 21:30 | 75°44.53′ | 72°01.96′ | 167 |
18.07.2019 | 6226/2 | 14:30 | 09:30 | 75°44.53′ | 68°17.82′ | 306 |
21.07.2019 | 6222/2 | 8:45 | 4:45 | 73°06.21′ | 61°18.22′ | 90 |
31.07.2019 | 6223/2 | 23:30 | 19:30 | 74°52.52′ | 62°49.84′ | 370 |
Карское море, 2020 г. | ||||||
01.09.2020 | 6877 | 04:56 | 00:56 | 73°06.13′ | 61°18.89′ | 98 |
04.09.2020 | 6886 | 09:27 | 04:27 | 76°45.98′ | 70°52.53′ | 401 |
11.09.2020 | 6913 | 09:24 | 05:24 | 74°46.87′ | 62°21.60′ | 377 |
12.09.2020 | 6877/2 | 01:59 | 21:59 | 73°06.06′ | 61°20.30′ | 97 |
Зоопланктон для экспериментов собирали сетью Джеди (площадь входного отверстия 0.1 м2, размер ячеи 180 мкм) из слоя 50–20(10) м, то есть ниже термоклина, определенного предварительным CTD-зондированием. По нашим наблюдениям концентрация зоопланктона в этом слое была максимальной. Сеть была оборудована стаканом с нефильтрующими стенками, чтобы свести к минимуму повреждение животных.
Сразу после взятия пробу переливали в 2-х литровый стакан с фильтрованной холодной водой, установленный на льду, и неповрежденные экземпляры копепод сортировали по видам/стадиям под стереомикроскопом с холодным освещением. Для отлова и пересадки животных использовали широкие стеклянные пипетки.
Близко родственные виды копепод Calanus glacialis и Calanus finmarchicus были разделены на основании длины просомы в соответствии с [40].
Разобранных по видам и возрастным стадиям копепод помещали в стаканы с фильтрованной морской водой и помещали в терморегулируемые инкубаторы (ТВЛ-К50, Россия) для акклиматизации к экспериментальной температуре –1.5°С. Воду для опытов брали батометрами Нискина с глубины 30–50 м, фильтровали через стекловолокнистые фильтры GF/F и помещали в термостат при той же температуре. После 1–2-дневной акклиматизации копепод еще раз проверяли под стереомикроскопом, промывали в охлажденной до –1.5°С фильтрованной воде, пересаживали в экспериментальные склянки объемом 24.5 мл и инкубировали в течение 20–28 ч при температуре –1.5°С. Все процедуры с животными проводились на льду.
Для каждого вида/стадии делали от трех до шести повторностей и три контроля (склянки без животных). Количество животных в каждой склянке зависело от их размера/массы: от двух самок Calanus hyperboreus до 200 особей Oithona similis. В ходе экспериментов концентрация кислорода уменьшалась менее чем на 30% от исходной.
Перед экспериментами сенсорные споты PSt3 были прикреплены силикатным клеем к внутренней стенке склянок и концентрацию кислорода измеряли оптоволоконным кислородным зондом (Fibox 4 PreSens Precision sensing GmbH Регенсбург). Концентрацию кислорода измеряли в мг O2 л–1 и затем переводили в мл O2 л–1 с использованием коэффициента пересчета 1 мг O2 = 0.7 мл О2. Калибровка датчиков проведена при 0% и 100% насыщении кислородом дистиллированной воды, как описано в [41].
В течение эксперимента концентрацию кислорода в опытных и контрольных склянках регистрировали от четырех до шести раз. Как показали пилотные эксперименты, непропорционально сильное снижение концентрации кислорода в склянках с животными происходит в первые 1–2 часа, что, возможно, объясняется их стрессом после пересадки. Поэтому первые измерения концентрации кислорода начинали через два часа после начала эксперимента, чтобы дать возможность животным адаптироваться к новым условиям. В оценку потребления кислорода был включен отрезок времени, когда снижение концентрации было линейным (рис. 1). В большинстве контрольных опытов без животных концентрация кислорода в течение эксперимента варьировала в пределах 1–1.5%.
Рис. 1. Пример изменения концентрации кислорода со временем в опытах с Calanus hyperboreus CV и CIV и в трех контрольных склянках (среднее ± SD)
Отрезок времени, для которого производился расчет скорости потребления кислорода копеподами, указан линией внизу графика.
После окончания эксперимента состояние животных проверяли под стереомикроскопом и помещали в лоток из алюминиевой фольги (0.5 см3) для измерения массы углерода. Измерения проводились с помощью анализатора общего органического углерода Shimadzu TOC-VCPH. В некоторых случаях для измерения содержания органического углерода копепод собирали из того же слоя, что и для опытов по дыханию (см. ниже табл. 2).
Таблица 2. Содержание органического углерода (С, мкг/экз) в теле копепод в разные сезоны исследований. Указаны средние значения ± стандартное отклонение, n — число измерений
Станция | Дата | Вид/стадия | C, мкг/экз | n |
Море Лаптевых. Август-сентябрь 2018 г. | ||||
5944 | 23.08.18 | Metridia longa, fem | 144.83 ± 14.58 | 3 |
5944 | 23.08.18 | M. longa, CV | 38.58 ± 12.89 | 3 |
5952 | 27.08.18 | Calanus glacialis, fem | 499.93 ± 8.95 | 3 |
5952 | 27.08.18 | C. glacialis, CV | 202.33 ± 13.43 | 3 |
5952 | 27.08.18 | C. hyperboreus, fem | 1875.0 | 1 |
5952 | 27.08.18 | C. hyperboreus, CV | 824.2 ± 65.8 | 3 |
5957 | 29.08.18 | C. hyperboreus, fem | 1514.67 ± 189.48 | 3 |
5957 | 29.08.18 | C. glacialis, CV | 178.13 ± 9.15 | 3 |
5968 | 03.09.18 | C. glacialis, CV | 144.13 ± 23.42 | 3 |
Карское море. Июль 2019 г. | ||||
6223 | 08.07.19 | C. hyperboreus, CV | 895.2 ± 246.7 | 3 |
6223 | 08.07.19 | C. hyperboreus, CIV | 263.73 ± 72.15 | 7 |
6226 | 09.07.19 | C. finmarchicus, fem | 105.08 ± 34.53 | 4 |
6226 | 09.07.19 | C. finmarchicus, CV | 119.13 ± 10.12 | 4 |
2229/2 | 12.07.19 | C. glacialis, CV | 303.77 ± 63.36 | 3 |
2229/2 | 12.07.19 | C. glacialis, CIV | 132.28 ± 5.44 | 4 |
2229/2 | 12.07.19 | C. glacialis, CIII | 19.62 ± 5.44 | 4 |
2229/2 | 12.07.19 | C. glacialis, CII | 6.09 ± 1.39 | 4 |
2229/2 | 12.07.19 | Oithona similis, CV-fem | 1.15 ± 0.06 | 4 |
6226/2 | 18.07.19 | C. glacialis, CV | 632.08 ± 105.38 | 6 |
6226/2 | 18.07.19 | C. glacialis, CII | 10.51 ± 0.22 | 4 |
6226/2 | 18.07.19 | C. glacialis, CI | 3.55 ± 1.214 | 7 |
6226/2 | 18.07.19 | C. glacialis, nauplii | 2.05 ± 0.46 | 6 |
6222/2 | 21.07.19 | C. glacialis, CIV | 167.56 ± 37.69 | 3 |
6222/2 | 21.07.19 | C. glacialis, CIII | 59.80 ± 8.23 | 3 |
6223/2 | 31.07.19 | C. glacialis, CIV | 270.8 ± 35.65 | 3 |
Карское море. Сентябрь 2020 г. | ||||
6877 | 01.09.20 | C. glacialis, CV | 324.65 ± 83.26 | 3 |
6877 | 01.09.20 | C. glacialis, CV | 477.17 ± 116.26 | 4 |
6877 | 01.09.20 | C. glacialis, CV | 318.41 ± 54.48 | 4 |
6877 | 01.09.20 | C. glacialis, CV | 268.51 ± 56.12 | 4 |
6886 | 04.09.20 | M. longa, fem | 153.34 ± 25.58 | 3 |
6886 | 04.09.20 | M. longa, CV | 79.77 ± 9.936 | 3 |
6913 | 11.09.20 | C. hyperboreus, fem | 3246.7 ± 1061.4 | 4 |
6913 | 11.09.20 | C. hyperboreus, CV | 2322.0 ± 477.5 | 3 |
6877/2 | 12.09.20 | C. glacialis, CV | 290.25 ± 32.12 | 4 |
6877/2 | 12.09.20 | C. glacialis, CIV | 105.25 ± 21.04 | 4 |
Скорость дыхания (R, мкл O2 экз–1 сут–1) рассчитывали по формуле:
,
где B1 и B2 — начальная и конечная концентрации кислорода (мл O2 л–1), V — объем экспериментального флакона (мл), t — продолжительность эксперимента (ч), N — число животных.
Зависимость между скоростью дыхания и массой тела в единицах органического углерода (W, мкг С экз–1) описывали экспоненциальным уравнением:
,
где R0 — эмпирический коэффициент, выраженный в тех же единицах, что R; b —показатель степени, соотносящий скорость дыхания с массой тела (W).
РЕЗУЛЬТАТЫ
Характеристика района исследования. Детальное описание гидрофизических особенностей районов работ приведено в [5, 6].
В августе-сентябре 2018 г. в море Лаптевых температура и соленость верхнего перемешанного слоя (ВПС, толщина слоя 15–21 м) составляла 1.3–3.7°С и 29–31.8 psu. Ниже слоя скачка и до глубины 100 м температура была –1.8…–1.5°С, а соленость 33.8–34.3. Концентрация хлорофилла в 50-м слое варьировала в пределах 0.15–0.7 мг Chl м–3.
В июле 2019 г. работы проводились у ледовой кромки вдоль архипелага Новая земля (Карское море). Температура и соленость ВПС изменялась от 0.3 до 5°С и от 31 до 32.5 psu соответственно. Толщина ВПС менялась от 5 до 15 м, увеличиваясь по мере прогрева воды. Ниже температура варьировала в диапазоне 0… –1.7°С, при солености 33.8–34.3 psu. Распределение хлорофилла характеризовалось образованием глубинных (от 20 до 50 м) максимумов с концентрацией в них 2–5 мг/м3.
В сентябре 2020 г. в западной части Карского моря температура ВПС менялась от 8.2 до 5.5°С, а соленость от 32.6 до 34.3 psu. На глубине около 20 м располагался выраженный термоклин, ниже которого температура варьировала от –0.5 до –1.5°С. Концентрация хлорофилла в верхнем 50-м слое не превышала 0.2–0.4 мг/м3.
Содержание органического углерода в теле копепод. Содержание углерода у одного и того же вида/стадии менялось в зависимости от района и сезона исследований (табл. 2). Так, например, содержание углерода в теле Calanus glacialis CV возрастало от 144–202 мкг С/экз осенью 2018 г. (море Лаптевых) до 304–686 мкг С/экз в июле 2019 г. (Карское море). У Calanus hyperboreus CV осенью 2018 и летом 2019 (Карское море) содержание углерода было примерно равным (824 и 894 мкг С/экз) и возрастало до 2322 мкг С/экз в сентябре 2020 г. (Карское море).
Зависимость содержания углерода (C, мкг/экз) от длины просомы (L, мм) была описана уравнением:
,
где a — эмпирический коэффициент; b — показатель степени, соотносящий количество углерода в теле рачков с их длиной. В таблице 3 приведены параметры уравнений C (L) для разных групп копепод. Группа C. glacialis (Calanus glacialis) представлена возрастными стадиями от науплиусов до самок. В группу "Другие виды" включены старшие возрастные стадии (CIV — CVI) копепод Calanus hyperboreus, C. finmarchicus, Metridia longa и Oithona similis.
Таблица 3. Параметры зависимости содержания углерода (C) от длины просомы (L) копепод. (R2 – коэффициент детерминации, n — число измерений, SE — стандартная ошибка, CL — 95% доверительный интервал. Уровень значимости для всех параметров p < 0.001.)
Вид | n | R2 | Коэффициент a | Коэффициент b | ||
a | CL | b ± SE | CL | |||
C. glacialis | 67 | 0.974 | 6.424 | 5.737–7.194 | 3.331 ± 0.067 | 3.197–3.465 |
Другие виды | 44 | 0.979 | 8.653 | 7.307–10.247 | 3.019 ± 0.068 | 2.881–3.157 |
Все виды | 111 | 0.978 | 6.982 | 6.361–7.663 | 3.221 ± 0.047 | 3.129–3.314 |
Тест Чоу (Chow) [15], проведенный между зависимостями C(L) для C. glacialis и другими видами, показал, что статистическое различие между этими двумя зависимостями (внутривидовой и межвидовой) отсутствует: F = 2.744 <Fcrit. = 3.081. Таким образом, целесообразнее использовать единую модель регрессии для всех видов (рис. 2).
Рис. 2. Содержание углерода (C) в теле копепод в зависимости от длины просомы (L). Параметры и статистика регрессии даны в табл. 3
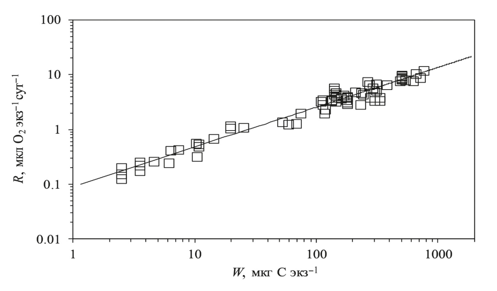
Скорость дыхания копепод в зависимости от веса тела. Из 120 измерений скорости дыхания у арктических копепод при температуре –1.5°С 73 измерения были проведены для Calanus glacialis (все копеподитные стадии и старшие науплии), 20 измерений для C. hyperboreus (CIV-CVI), 12 – для C. finmarchicus (CV-CVI), 12 – для Metridia longa (CV-CVI) и 3 – для Oithona similis (CV-CVI). Вес, выраженный в единицах органического углерода (W), изменялся более чем на три порядка величин, от 1.15 мкг С/экз у Oithona similis до 1875 мкг С/экз у самок Calanus hyperboreus (рис. 3). Межвидовая аллометрическая зависимость скорости дыхания от веса описывается уравнением R = 0.077 W 0.753.
Рис. 3. Скорость дыхания массовых арктических копепод (R) в зависимости от веса тела (W) при температуре –1.5°С
Зависимость скорости дыхания от веса на внутривидовом (онтогенетическом) уровне, исследованная у разных возрастных стадий от науплиев до взрослых самок Calanus glacialis, описывается уравнением регрессии R = 0.090 W 0.726 (рис. 4). Вес копепод изменялся от 2.48 мкг С/экз до 768 мкг С/экз.
Рис. 4. Скорость дыхания Calanus glacialis (R) в зависимости от веса тела (W) при температуре –1.5°С
Детальная регрессионная статистика приведена в табл. 4. Перекрытие 95% доверительных интервалов для коэффициентов a и b для межвидовой и внутривидовой регрессий предполагает, что эти две зависимости различаются незначительно. Другими словами, для всех данных можно использовать единую модель регрессии (Тест Chow, F = 2.806 < Fcrit. = 3.076).
Таблица 4. Регрессионная статистика скорости дыхания от веса тела для всех копепод (межвидовая зависимость) и разных возрастных стадий Calanus glacialis (внутривидовая зависимость). (n — число измерений; R2 – коэффициент детерминации; CL –доверительный интервал; SE — стандартная ошибка. Уровень значимости для всех параметров p < 0.001.)
Регрессия | n | R2 | Коэффициент a | Коэффициент b | ||
a | 95% CL | b ± SE | 95% CL | |||
Межвидовая | 120 | 0.963 | 0.077 | 0.067–0.088 | 0.753 ± 0.014 | 0.727–0.780 |
Внутривидовая | 73 | 0.960 | 0.090 | 0.076–0.107 | 0.726 ± 0.018 | 0.691–0.761 |
ОБСУЖДЕНИЕ РЕЗУЛЬТАТОВ
Содержание углерода в теле копепод. Полученные данные по содержанию органического углерода в теле арктических копепод из морей Карского и Лаптевых вполне укладываются в диапазон значений, известных для этих видов в других районах Арктики [10, 23, 32, 39]. Наиболее детально зависимость количества углерода от размера копепод C(L) в разные сезоны была исследована в западной части Арктического океана между 75° и 80° с.ш. [10] и в заливе Амундсена между 70° и 72° с.ш. [23]. В табл. 5 приведены параметры степенных уравнений C(L), рассчитанных этими авторами для отдельных видов и полученных нами для пяти видов: C. hyperboreus (CH), C. glacialis (CG), C. finmarchicus (CF), M. longa (ML) и O. similis (OS).
Различие между значениями углеродного веса, рассчитанного для разных стадий C. hyperboreus (CII–CVI) по уравнению, полученному нами (табл. 5) и [23], составило 10–25%, а рассчитанного по уравнению [10] для копеподитных стадий CIII–CVI было в два раза ниже наших. Сравнение было проведено только для тех стадий, веса которых были включены в уравнения [10, 23]. Значения веса для C. glacialis (CIII–CVI), рассчитанные по [23], отличались от наших на ±10%, а рассчитанные по [10] для CIV–CVI — на 1–25%. Значения веса старших стадий M. longa (CIV–CVI), рассчитанные по [23] и нашему уравнению, практически не отличались: разница составляла 3–4%. Содержание углерода (1.15 ± 0.06 мкг С/экз, табл. 2) в теле O. similis (CV–CVI) вполне соответствует значениям для самок этого вида (1.30 ± 0.13), приведенному в [10].
Таблица 5. Параметры степенного уравнения C = a Lb (C — углеродный вес, мкг С/экз; L — длина просомы копепод, мм) для копепод в различных районах Арктики. Римскими цифрами обозначены сезоны: I — весна; II — лето; III — осень; IV — зима. НД — наши данные
Виды | a | b | R2 | Район | Сезон | Источник |
C. hyperboreus | 7.258 | 3.074 | 0.734 | Залив Амундсена | II, IV | [23] |
C. glacialis | 5.167 | 3.510 | 0.851 | Залив Амундсена | I–II | [23] |
M. longa | 7.168 | 3.236 | 0.743 | Залив Амундсена | I–III | [23] |
C. hyperboreus | 1.986 | 3.717 | 0.948 | Западная Арктика | I–IV | [10] |
C. glacialis | 4.664 | 3.671 | 0.927 | Западная Арктика | I–IV | [10] |
CH, CG, CF, ML, OS | 6.982 | 3.222 | 0.978 | Сибирская Арктика | II–III | НД |
В целом, сравнение углеродных весов арктических видов из различных районов Арктики, рассчитанные с использованием приведенных в табл. 5 уравнений, не выявили существенных различий. За исключением старших стадий C. hyperboreus по данным [10], различия между весами не превышали 25%, что укладывается в 95% доверительный интервал для измерений такого типа. Низкие веса C. hyperboreus сами авторы объясняют большим количеством недавно перелинявших особей, не успевших накопить органическое вещество.
Отмеченное нами значительное увеличение содержания углерода в теле C. glacialis CV и C. hyperboreus CV в середине лета — начале осени хорошо согласуется с наблюдениями [24], согласно которым сезонный максимум углеродного веса у старших стадий этих видов приходится на июль. И, напротив, у Metridia longa не наблюдалось значительных сезонных изменений углеродного веса [23].
Арктические виды хорошо адаптированы к жизни в суровых условиях продолжительной зимы с отсутствием растительной пищи и короткого вегетационного периода. Виды рода Calanus включают в жизненный цикл стадию покоя (диапаузу). За короткий период цветения фитопланктона они должны накопить достаточное количество резервных веществ (главным образом в виде липидов), чтобы, опустившись на глубину, пережить зимний период отсутствия корма. Поэтому к концу вегетационного сезона содержание углерода в их теле максимально. Другая жизненная стратегия характерна для Metridia longa и Oithona similis. Эти виды активны в течение всего года, и в отсутствие растительной пищи находят альтернативные источники питания.
Скорость дыхания копепод в зависимости от веса тела при отрицательной температуре. Хотя арктические копеподы большую часть жизни проводят при температуре ниже нуля [18, 23], данные по скорости их дыхания при отрицательной температуре весьма малочисленны, и в основном касаются старших копеподитных стадий. В табл. 6 приведены литературные и собственные данные по дыханию арктических копепод при температуре ≤ 0°C.
Таблица 6. Сравнение литературных и собственных данных (НД) по скорости дыхания (мл О2/г DW ч-1) копепод Calanus spP. и Metridia longa при экспериментальной температуре ≤ 0°С. Углеродный вес (C) для наших данных был преобразован в сухой вес (DW) с использованием отношения C: DW = 0.5 [3, 32]. SD — стандартное отклонение
Вид | Стадия | Район работы / сезон | Т, °C | мл О2 г-1 DW ч-1 | SD / диапазон | Источник |
C. hyperboreus | Female | Пролив Фрама / август | 0 ± 1 | 0.43 | 0.16 | [11] |
Пролив Джонса / август | –1 | 0.345* | 0.023 | [27] | ||
Северная Водная полынья / апрель | 0 | 0.276 | 0.083–0.668 | [39] | ||
Северная Водная полынья / май | 0 | 0.251 | 0.144–0.444 | [39] | ||
Пролив Фрама / июль | –0.8 | 0.300 | 0.092 | [29] | ||
Море Лаптевых / август | –1.5 | 0.298 | 0.064 | [НД] | ||
C. hyperboreus | CV | Пролив Фрама / август | 0 ± 1 | 0.49 | 0.21 | [11] |
Пролив Джонса / август | –1 | 0.449* | 0.021 | [27] | ||
Пролив Фрама / июль | –0.5 | 0.308 | 0.038 | [29] | ||
Баренцево море / май-июнь | –0.3 | 0.394 | 0.026 | [32] | ||
Море Лаптевых / август | –1.5 | 0.433 | 0.074 | [НД] | ||
Карское море / июль | –1.5 | 0.319 | 0.062 | [НД] | ||
C. glacialis | Female | Баренцево море/ май-июнь | –1.8 | 0.6 | 0.3–1.0 | [12] |
Баренцево море/ май-июнь | –0.5 | 0.932 | 0.053 | [32] | ||
Море Лаптевых / август | –1.5 | 0.372 | 0.028 | [НД] | ||
C. glacialis | CV | Пролив Фрама / июль | 0 | 0.329 | 0.075 | [29] |
Баренцево море / май-июнь | –1.8 | 0.57 | 0.2–0.8 | [12] | ||
Карское море / июль | –1.5 | 0.347 | 0.113 | [НД] | ||
Карское море / сентябрь | –1.5 | 0.321 | 0.088 | [НД] | ||
Море Лаптевых / август-сентябрь | –1.5 | 0.490 | 0.105 | [НД] | ||
C. glacialis | CIV | Баренцево море / май-июнь | –1.8 | 0.73 | 0.5–1.1 | [12] |
Карское море / июль | –1.5 | 0.410 | 0.133 | [НД] | ||
Карское море / сентябрь | –1.5 | 0.465 | 0.099 | [НД] | ||
C. glacialis | CIII | Баренцево море / май-июнь | –1.8 | 0.95 | 0.7–1.5 | [12] |
Карское море/июль | –1.5 | 0.762 | 0.304 | [НД] | ||
C. finmarchicus | Female | Баренцево море / май-июнь | 0 | 0.847 | 0.149 | [32] |
Пролив Фрама / июль | 0 | 0.454 | 0.150 | [29] | ||
Карское море / июль | -1.5 | 0.746 | 0.095 | [НД] | ||
M. longa | Female | Пролив Фрама / июль | -1.6 | 0.807 | 0.035 | [29] |
Море Лаптевых / август | –1.5 | 0.488 | 0.024 | [НД] | ||
Карское море / сентябрь | –1.5 | 0.419 | 0.059 | [НД] |
* Cухой вес взят из [11].
Как видно из таблицы 6, значения скорости дыхания копепод одного и того же вида и стадии в подавляющем числе случаев отличаются незначительно, несмотря на то что они получены с использованием различных методов и в различные сезоны.
Полученная нами аллометрическая зависимость скорости дыхания от содержания углерода в теле копепод для диапазона веса, составляющего три порядка, описана уравнением R = 0.077 W 0.753, то есть значение степени b соответствует так называемому “закону степени ¾” (“3/4-power law”) [14, 24, 42]. Дебаты по поводу универсальности этого закона продолжаются в течение долгого времени, и вопрос о том, чему равно значение b (2/3, ¾ или больше) остается до сих пор открытым [16, 20, 25, 26]. Величина степенного показателя b имеет принципиальное значение при расчетах энергетического баланса животных. Например, расчетная скорость метаболизма копепод весом 1000 мкг С/экз при b = 0.7 будет в два раза ниже, чем при b = 0.8.
Ряд исследователей указывали, что температура может значительно изменять значение этого коэффициента, причем у разных пойкилотермных организмов увеличение температуры может приводить как к уменьшению, так и к увеличению b [25, fig. 3]. Для морских ракообразных тенденция к уменьшению степенного показателя с увеличением температуры приведена в работе [33]. В пределах температурного диапазона от 0 до 30°C значения b уменьшались от 0.79 до 0.63 [33]. Напротив, в работе [17] показано, что значение степенного показателя у морских копепод возрастает по мере роста температуры [17]. Это заключение было подтверждено экспериментами с Artemia salina при температуре 5 и 13°C. В первом случае регрессионный коэффициент был равен 0.67, а во втором равнялся 0.93 [17].
Большинство зависимостей скорости дыхания от веса тела для водных Crustacea было получено в диапазоне температуры от 10 до 30°C [2, 4, 8, 31], при этом степенной коэффициент b близок к значению ¾. Поскольку степенной коэффициент зависимости R(W) для арктических копепод при температуре –1.5°C также равен ¾, можно с уверенностью утверждать, что изменение температуры не влияет на величину степенного коэффициента этой группы животных.
Еще одним фактором, влияющим на величину степенного показателя зависимости R(W), ряд исследователей считают изменение типа метаболизма при онтогенезе [25]. В работе [22] приведены данные о значительном снижении степенного коэффициента у копеподитных стадий трех пресноводных копепод по сравнению с науплиальными стадиями. Например, коэффициент b зависимости дыхания от веса науплиусов Mesocyclops brasilianus равен 1.08, а для копеподитов того же вида 0.56 [22]. Эти результаты противоречат данным [9], полученным для науплиусов морских копепод Oithona davisae при температуре 20°C. Согласно этим данным, зависимость скорости дыхания от веса науплиусов соответствует “степенному закону ¾” [9, fig. 3a].
В нашей работе существование онтогенетической (внутривидовой) изменчивости степенного коэффициента было проверено на примере Calanus glacialis. Полученная зависимость R(W) для диапазона веса более двух порядков и включающая стадии развития от старших науплиусов до самок, имеет линейный характер, что предполагает отсутствие влияния онтогенетических изменений на регрессионный показатель.
Следует подчеркнуть, что для достоверного определения степенного показателя зависимости между весом и скоростью метаболизма необходимо выполнение ряда условий, главные из которых: широкий диапазон значений веса (более двух порядков величин), достаточное число экспериментальных данных (более 30) и точное определение веса экспериментальных животных [20, 25, 33]. В наших экспериментах все три условия были выполнены. Можно предположить, что в ряде случаев отклонение степенного коэффициента зависимости R(W) от значения 0.75 вызвано несоблюдением этих условий.
ВЫВОДЫ
Зависимость содержания углерода (мкг C/экз) от длины просомы (L) у пяти видов арктических копепод в диапазоне размеров от 0.55 мм (Oithona similis) до 6.9 мм (самки Calanus hyperboreus) описана уравнением C = 6.98 L3.221, что хорошо согласуется с данными, полученными для отдельных видов из других районов Арктики.
Полученная нами аллометрическая зависимость скорости дыхания (R) от содержания углерода в теле копепод (W) в диапазоне веса, составляющего три порядка величин, описывается уравнением R = 0.077 W0.753, то есть, значение степени b соответствует “степенному закону ¾” (“3/4-power law”).
Сравнение наших результатов, полученных при температуре −1.5°C, с литературными данными, полученными при температуре выше 10°C, показало отсутствие влияния температуры на регрессионный коэффициент зависимости скорости дыхания от веса тела планктонных ракообразных.
Линейный характер регрессии R(W), полученной нами для разных возрастных стадий от науплиусов до самок Calanus glacialis, свидетельствует об отсутствии изменения параметров зависимости R(W) в течение онтогенеза.
Благодарности. Авторы благодарят экипаж НИС “Академик Мстислав Келдыш”.
Источники финансирования. Работа выполнена в рамках Государственного задания Министерства науки и высшего образования Российской Федерации (тема № FMWE-2021–0007).
About the authors
E. G. Arashkevich
Shirshov Institute of Oceanology, Russian Academy of Sciences
Author for correspondence.
Email: aelena@ocean.ru
Russian Federation, Moscow
A. V. Drits
Shirshov Institute of Oceanology, Russian Academy of Sciences
Email: aelena@ocean.ru
Russian Federation, Moscow
A. F. Pasternak
Shirshov Institute of Oceanology, Russian Academy of Sciences
Email: aelena@ocean.ru
Russian Federation, Moscow
S. E. Frenkel
Russian Federal Research Institute of Fisheries and Oceanography
Email: aelena@ocean.ru
Russian Federation, Moscow
V. A. Karmanov
Shirshov Institute of Oceanology, Russian Academy of Sciences
Email: aelena@ocean.ru
Russian Federation, Moscow
References
- Арашкевич Е.Г., Дриц А.В., Пастернак А.Ф. и др. Распределение и питание растительноядного зоопланктона в море Лаптевых // Океанология. 2018. Т. 58. № 3. С. 404–419.
- Винберг Г.Г. Энергетический обмен как функция массы тела у водных пойкилотермных животных // Журн. общ. биол. 1976. Т. 37. № 1. С. 56–70.
- Лобус Н.В., Флинт М.В., Флёрова Е.А., Щеглова Я.В. Биохимический состав и содержание энергии в зоопланктоне Карского моря // Океанология. 2020. Т. 60. № 6. С. 889–899.
- Cущеня Л.М. Интенсивность дыхания ракообразных. Киев: Наукова Думка, 1972. 195 с.
- Флинт М.В., Анисимов И.М., Арашкевич Е.Г. и др. Экосистемы Карского моря и моря Лаптевых. Материалы экспедиционных исследований 2016 и 2018 гг. М.: Издатель Ерохова И.М., 2021. 368 с.
- Флинт М.В., Арашкевич Е.Г., Артемьев В.А. и др. Экосистемы морей Сибирской Арктики. Материалы экспедиционных исследований 2015 и 2017 гг. М.: АПР, 2018. 232 с.
- Alcaraz M. Marine zooplankton and the Metabolic Theory of Ecology: is it a predictive tool? // Journal of Plankton Research. 2016. V. 38. № 3. P. 762–770. https://doi.org/10.1093/plankt/fbw012
- Alekseeva T.A., Zotin A.I. Standard metabolism and macrotaxonomy of Crustaceans // Biology Bulletin. 2001. V. 28. P. 157–162. https://doi.org/10.1023/A:1009415032315
- Almeda R., Alcaraz M., Calbet A., Saiz E. Metabolic rates and carbon budget of early developmental stages of the marine cyclopoid copepod Oithona davisae // Limnol. Oceanogr. 2011. V. 56. № 1. P. 403–414.
- Ashjian C.J., Campbell R.G., Welch H.E. et al. Annual cycle in abundance, distribution, and size in relation to hydrography of important copepod species in the western Arctic Ocean // Deep Sea Res. Part I. 2003. V. 50. P. 1235–1261. https://doi.org/10.1016/S0967- 0637(03)00129-8.
- Auel H., Klages M., Werner I. Respiration and lipid content of the Arctic copepod Calanus hyperboreus overwintering 1 m above the seafloor at 2,300 m water depth in the Fram Strait // Mar. Biol. 2003. V. 143. P. 275–282.
- Båmstedt U., Tande K.S. Respiration and excretion rates of Calanus glacialis in arctic waters of the Barents Sea // Mar. Biol. 1985. V. 87. P. 259–266.
- von Bertalanffy L. Quantitative Laws in Metabolism and Growth // Q. Rev. Biol. 1957. V. 32. № 3. P. 217–231. https://doi.org/10.1086/401873
- Brown J.H., Gillooly J.F., Allen A.P. et al. Toward a metabolic theory of ecology // Ecology. 2004. V. 85. P. 1771–1789.
- Chow G.C. Tests of equality between sets of coefficients in two linear regressions // Econometrica. 1960. V. 28. P. 591–605.
- Clarke A., Fraser K.P.P. Why does metabolism scale with temperature? // Funct. Ecol. 2004. V. 18. P. 243–251.
- Conover R.J. The feeding behaviour and respiration of some marine plank tonic Crustacea // Biol. Bull. Mar. Biol. Lab. Woods Hole. 1960. V. 119. № 3. P. 399–415.
- Darnis G., Fortier L. Temperature, food and the seasonal vertical migration of key arctic copepods in the thermally stratified Amundsen Gulf (Beaufort Sea, Arctic Ocean) // J. Plankton Res. 2014. P. 36. № 4. P. 1092–1108. https://doi.org/10.1093/plankt/fbu035
- DeLong J.P., Okie J.G., Moses M.E. et al. Shifts in metabolic scaling, production, and efficiency across major evolutionary transitions of life // PNAS. 2010. V. 107. № 29. P. 12941–12945. https://doi.org/10.1073/pnas.1007783107
- Duncan R.P., Forsyth D.M., Hone J. Testing the metabolic theory of ecology: allometric scaling exponents in mammals // Ecology. 2007. V. 88. P. 324–333.
- Dvoretsky V.G., Dvoretsky A.G. Regional differences of mesozooplankton communities in the Kara Sea // Cont. Shelf Res. 2015. V. 105. P. 26–41.
- Epp R.W., Lewis Jr. W.M. The nature and ecological significance of metabolic changes during the life history of copepods // Ecology. 1980. V. 61. № 2. P. 259–264. https://doi.org/10.2307/1935183
- Forest A., Galindo V., Darni, G. et al. Carbon biomass, elemental ratios (C : N) and stable isotopic composition (δ13C, δ15N) of dominant calanoid copepods during the winter-to-summer transition in the Amundsen Gulf (Arctic Ocean) // J. Plankton Res. 2010. V. 33. № 1. P. 161–178. https://doi.org/10.1093/plankt/fbq103
- Gillooly J.F., Brown J.H., West G.B. et al. Effects of size and temperature on metabolic rate // Science. 2001. V. 293. P. 2248–2251.
- Glazier D.S. Beyond the “3/4-power law”: Variation in the intra- and interspecific scaling of metabolic rate in animals // Biol. Rev. 2005. V. 80. P. 611–662. https://doi.org/10.1017/S1464793105006834
- Glazier D.S. Is metabolic rate a universal “pacemaker” for biological processes? // Biol. Rev. 2014. V. 90. № 2. P. 377–407. https://doi.org/10.1111/brv.12115
- Head E.J.H., Harris L.R. Physiological and biochemical changes in Calanus hyperboreus from Jones Sound NWT during the transition from summer feeding to overwintering condition // Polar. Biol. 1985. V. 4. P. 99–106.
- Hemmingsen A.M. Energy metabolism as related to body size and respiratory surfaces, and its evolution // Report of Steno Memorial Hospital (Copenhagen). 1960. V. 9. № 2. P. 1–110.
- Hirche H.-J. Temperature and plankton. II. Effect on respiration and swimming activity in copepods from the Greenland Sea // Mar. Biol. 1997. V. 94. № 3. P. 347–356.
- Hirche, H.-J., Kosobokova, K.N., Gaye-Haake, B. et al. Structure and function of contemporary food webs on Arctic shelves: a panarctic comparison. The pelagic system of the Kara Sea — communities and components of carbon flow // Prog. Oceanogr. 2006. V. 71. P. 288–313.
- Ikeda T., Kanno Y., Ozaki K., Shinada A. Metabolic rates of epipelagic marine copepods as a function of body mass and temperature // Mar. Biol. 2001. V. 139. P. 587–596.
- Ikeda T., Skjoldal H.R. Metabolism and elemental composition of zooplankton from the Barents Sea during early Arctic summer // Mar. Biol. 1989. V. 100. P. 173–183.
- Ivleva I.V. The dependence of crustaceans respiration rate on body mass and habitat temperature // Int. ReV. Hydrobiol. 1980. V. 65. № 1. P. 1–47.
- Kosobokova K., Hirche H.-J. Biomass of zooplankton in the eastern Arctic Ocean — A base line study // Prog. Oceanogr. 2009. V. 82. № 4. P. 265–280.
- Kosobokova K.N., Hanssen H., Hirche H.-J., Knickmeier K. Composition and distribution of zooplankton in the Laptev Sea and adjacent Nansen Basin during summer, 1993 // Polar Biol. 1998. V. 19. P. 63–76.
- Makarieva A.M., GorshkovV.G., Li B.-L. et al. Mean mass-specific metabolic rates are strikingly similar across life’s major domains: Evidence for life’s metabolic optimum // PNAS. 2008. V. 105. No. 44. P. 16994–16999. https://doi.org/10.1073/pnas.0802148105
- Pasternak A., Drits A., Arashkevich E., Flint M. Differential impact of the Khatanga and Lena (Laptev Sea) runoff on the distribution and grazing of zooplankton // Front. Mar. Sci. 2022. 9:881383. https://doi.org/10.3389/fmars.2022.881383
- Savage V.M., Gillooly J.F., Woodruff W.H. et al. The predominance of quarter-power scaling in biology // Funct. Ecol. V. 18. P. 257–282.
- Takahashi K., Nagao N, Taguchi S. Respiration of adult female Calanus hyperboreus (Copepoda) during spring in the North Water Polynya // Polar Biosci. 2002. V. 15. P. 45–51.
- Tande K.S., Hassel A., Slagstad D. Gonad maturation and possible life cycle strategies in Calanus finmarchicus and Calanus glacialis in the northwestern part of the Barents Sea // Marine biology of polar regions and effects of stress on marine organisms / Eds. Gray F.S., Christiansen M.E. Chichester: Wiley, 1985. P. 141–155.
- WarkentinM., Freese H.M., Karsten U., Schumann R. New and fast method to quantify respiration rates of bacterial and plankton communities in freshwater ecosystems by using optical oxygen sensor spots // Appl. Environ. Microbiol. 2007. V. 73. No. 21. P. 6722–6729. https://doi.org/10.1128/AEM.00405-07
- West G.B., Brown J.H., Enquist B.J. A general model for the origin of allometric scaling laws in biology. // Science. 1997. V. 276. P. 122–126. https://doi.org/10.1242/ jeb.01589
Supplementary files






