Спектральные и фотохимические свойства супрамолекулярной диады с пиренилэтенилхинолином в качестве фотохрома: влияние структуры мостиковой группы
- Authors: Будыка М.Ф.1, Ли В.М.1, Гавришова Т.Н.1
-
Affiliations:
- Федеральный исследовательский центр проблем химической физики и медицинской химии Российской академии наук
- Issue: Vol 58, No 1 (2024)
- Pages: 19-29
- Section: ФОТОХИМИЯ
- URL: https://journals.rcsi.science/0023-1193/article/view/258140
- DOI: https://doi.org/10.31857/S0023119324010021
- EDN: https://elibrary.ru/KCOSOL
- ID: 258140
Cite item
Full Text
Abstract
Исследованы спектральные и фотохимические свойства бифотохромной диады, в которой два фотохрома – 2-[2-(пирен-1-ил)этенил]-хинолина (PEQ) – соединены между собой орто-ксилиленовой связывающей группой. По батохромному сдвигу спектра флуоресценции в диаде зафиксирован эксимер. Под действием света в диаде происходят реакции фотоизомеризации PEQ фотохромов и внутримолекулярного [2+2]-фотоциклоприсоединения (ФЦП) с образованием дипиренил-замещенного циклобутана. Предположено, что склонность PEQ-фотохромов к p-стэкинг взаимодействию оказывает положительное влияние на первом этапе реакции ФЦП, способствуя образованию предорганизованных димерных структур в основном S0 состоянии, которые дают эксимер в возбужденном S1 состоянии, но отрицательное влияние на втором этапе реакции, препятствуя перемещению фотохромов относительно друг друга, которое необходимо для достижения конформаций, благоприятствующих реакции ФЦП.
Full Text
Основным свойством фотохромов, давшим название этому классу соединений, является способность изменять цвет под действием света. Кроме цвета, т.е. спектра поглощения, под действием света изменяются и другие физико-химические характеристики, такие как объем молекулы, дипольный момент, электрохимический потенциал, спиновое состояние, гидрофобность и т.п., в связи с этим, фотохромы активно исследуются и используются как фотопереключатели, способные под действием света изменять свойства материалов [1–5]. В зависимости от области применения, возникают дополнительные требования к свойствам фотохрома, например, флуоресцирующие фотохромы необходимы для флуоресцентных сенсоров [6], микроскопии сверхвысокого разрешения [7], молекулярных логических вентилей и средств записи информации [8, 9]; для применения в биоматериалах и фотофармакологии необходимы фотохромы, чувствительные к видимому свету [10–13].
Один из способов сдвига спектра поглощения в видимую область состоит в уменьшении энергетической щели между занятыми и вакантными молекулярными орбиталями, что достигается увеличением размера сопряженной p-системы фотохрома. Однако фотохром с большой p-системой часто теряет фотохимическую активность, что не позволяет использовать его в качестве фотопереключателя, несмотря на наличие необходимого спектра поглощения [14].
Недавно было показано, что 2-[2-(пирен-1-ил)этенил]-хинолин (PEQ), диарилэтилен с пиреном в качестве одного из арильных заместителей, обладает длинноволновой полосой поглощения (ДВПП) в УФ и видимой области 350–450 нм, имеет квантовый выход флуоресценции jfl = 0.28 (транс-изомер) и подвергается обратимой фотоизомеризации с довольно высокими квантовыми выходами 0.23–0.52 [15]. Была синтезирована и исследована бифотохромная диада D10, в которой PEQ фотохромы соединены между собой (диокси)декаметиленовой «мостиковой» группой, схема [16]. В диаде наблюдалась реакция транс-цис фотоизомеризации PEQ фотохромов и реакция межфотохромного [2+2]-фотоциклоприсоединения (ФЦП) с квантовым выходом jpca = 0.06 [17]. Более высокие значения jpca до 0.21 получены для бис-стирилбензохинолиновых диад, в которых два фотохрома связаны орто-ксилиленовой группой [18]. Предполагается, что ориентирующее действие жесткой орто-ксилиленовой группы способствует образованию конформеров диады со сближенными фотохромами, в которых облегчается протекание реакции ФЦП.
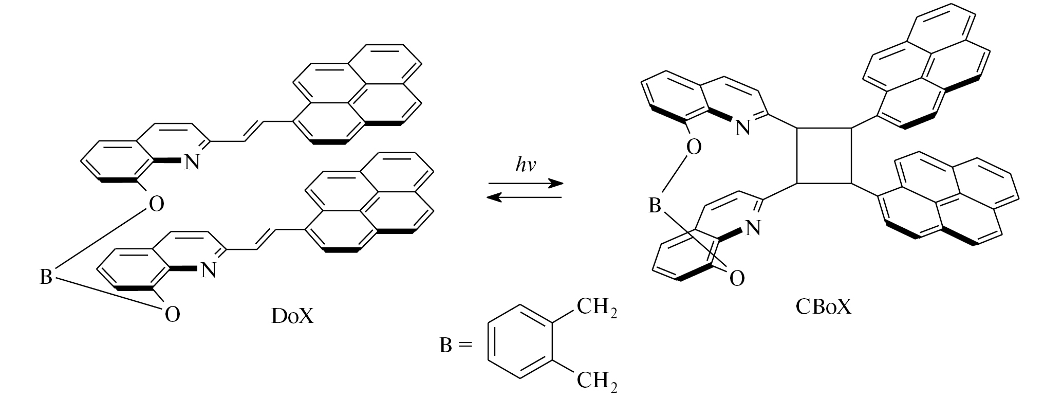
В связи с этим представляло интерес исследовать, как скажется на свойствах PEQ-диады замена гибкой и длинной декаметиленовой группы на более жесткую и короткую орто-ксилиленовую группу. С этой целью в настоящей работе исследована бифотохромная диада DoX, в которой два PEQ фотохрома соединены между собой мостиковой орто-ксилиленовой группой, схема 1. Фотохромы связаны с мостиковой группой через атомы кислорода в 8-положении хинолинового ядра. Свойства диады исследованы в сравнении с модельным «монохромофорным» соединением – (E)-8-октилокси-2-[2-(пирен-1-ил)этенил]-хинолином (M1), структура которого также показана на схеме 1.
Схема 1. Структура диад D10 и DoX и модельного (E)-8-октилокси-2-[(2-(пирен-1-ил)этенил]-хинолина (M1), показаны s-транс конформеры.
Как показали исследования, в диаде DoX, как и в диаде D10, протекает реакция транс-цис-фотоизомеризации PEQ фотохромов и реакция межфотохромного ФЦП. По батофлорному сдвигу спектра флуоресценции диады DoX относительно спектра модельного фотохрома зарегистрирован эксимер, предполагаемый интермедиат реакции ФЦП. Исследование кинетики реакций показало, что в диаде DoX сохраняются невысокие квантовые выходы ФЦП jpca, найденные ранее для диады D10. Сделано предположение, что величина jpca определяется не структурой мостиковой группы, а сильным p-стэкинг взаимодействием PEQ-фотохромов, препятствующим перемещению фотохромов относительно друг друга в S1 состоянии, которое необходимое для завершения реакции ФЦП.
ЭКСПЕРИМЕНТАЛЬНАЯ ЧАСТЬ
Модельный фотохром M1 и диада DoX были синтезированы по реакции конденсации соответствующих 2-метилхинолинов (2-метил-8-октилоксихинолина [19] и 1,10-бис[2-метил(хинолин-8-ил)окси]декана [20]) с 1-пиренкарбальдегидом в присутствии 4-нитрофенола, подробная методика синтеза будет опубликована отдельно. Электронные спектры поглощения записаны на спектрофотометре «Specord M-400». Флуоресцентные исследования проведены в Аналитическом центре коллективного пользования ФИЦ ПХФ и МХ РАН: спектры эмиссии сняты на спектрофлуориметре фирмы «Perkin Elmer» «LS-55».
Все исследования выполнены при комнатной температуре, при красном свете, в воздушно-насыщенных растворах хлористого метилена в кварцевых кюветах с длиной оптического пути l = 1 см. Квантовые выходы флуоресценции измеряли, используя в качестве эталона разбавленный спиртовой раствор антрацена, квантовый выход флуоресценции которого составляет 0.3 [21], точность измерения 15%. В качестве источника УФ-света использовали светодиоды LED-316 (lmax = 316 нм, FWHM = 11 нм) и LED-442 (lmax = 442 нм, FWHM = 18 нм). Ошибка измерения квантовых выходов фотоизомеризации 20%.
Квантовохимические расчеты соединений в основном (S0) состоянии проводили методом функционала плотности (DFT) с использованием гибридного функционала M06-2X, учитывающего дисперсионные взаимодействия, с базисом 6-31G*, пакет программ GAUSSIAN-09 [22]. Структуры соединений рассчитаны с полной оптимизацией геометрии в приближении изолированной молекулы. Оптимизированные структуры соответствовали минимумам на поверхности потенциальной энергии, поскольку в колебательных спектрах отсутствовали мнимые частоты. Спектры поглощения рассчитаны методом TDDFT с тем же функционалом.
ОБСУЖДЕНИЕ РЕЗУЛЬТАТОВ
Спектральные свойства
На рис. 1 показаны экспериментальные спектры поглощения диады DoX (EE изомер, спектр 1) и транс-(E-) изомера M1 (спектр 2), а также спектр цис-(Z-) изомера M1 (спектр 3), рассчитанный по методу Фишера (см. ниже). По сравнению с незамещенным PEQ (lmax = 387 нм) [15], длинноволновая полоса поглощения (ДВПП) модельного хромофора M1 сдвинута батохромно на 4 нм (lmax = 391 нм, молярный показатель поглощения (МПП) å = = 37 700 М-1 · см-1). По положению трех полос поглощения спектр диады (рис. 1, спектр 1) совпадает с модельным спектром, рассчитанным как удвоенный спектр E-M1 (рис. 1, спектр 4), однако экспериментальный спектр занижен и имеет затянутое поглощение на длинноволновом спаде ДВПП, что свидетельствует о наличии взаимодействия двух хромофоров в диаде в основном S0 состоянии.
Рис. 1. Спектры поглощения в хлористом метилене: 1 — диада DoX (EE изомер), 2 — E-M1, 3 — Z-M1 (см. текст), 4 – удвоенный спектр E-M1; нормированные спектры флуоресценции: 5 — диада 1 (возбуждение при 392 нм), 6 — E-M1 (возбуждение при 391 нм). Вставка: нормированные спектры возбуждения флуоресценции: 7 — диада DoX (наблюдение на 471 нм), 8 — E-M1 (наблюдение на 460 нм).
На рис. 1 показаны также спектры люминесценции диады DoX (спектр 5) и E-M1 (спектр 6). Полоса излучения диады (максимум lfl = 472 нм) сдвинута батофлорно на 13 нм относительно полосы модельного E-M1 (lfl = 459 нм), при этом спектры возбуждения флуоресценции практически совпадают, рис. 1 вставка. Такое сочетание свойств – батофлорный сдвиг спектра флуоресценции относительно модельного соединения при совпадении спектров возбуждения флуоресценции свидетельствует об образовании эксимера в S1 состоянии диады DoX.
Квантовый выход флуоресценции диады (jfl = 0.24) ниже, чем для модельного E-M1 (jfl = 0.40), что свидетельствует о процессах тушения возбужденных хромофоров в диаде. Одним из таких процессов может быть образование эксимеров.
Для диады D10 наблюдался в два раза меньший (на 6 нм) батофлорный сдвиг полосы флуоресценции (lfl = 465 нм) и более слабое тушение (jfl = 0.30) [17]. Очевидно, более длинная мостиковая группа приводит к менее выраженному взаимодействию PEQ хромофоров в диаде D10.
Таким образом, результаты спектрально-люминесцентных исследований свидетельствуют о взаимодействии двух PEQ фотохромных групп в диаде DoX как в основном, так и в возбужденном состоянии.
Фотохимические свойства
При облучении растворов модельного фотохрома M1 наблюдались спектральные изменения, характерные для реакции фотоизомеризации: уменьшение поглощения транс-изомера E-M1 в области 400 нм и рост поглощения цис-изомера Z-M1 в области 250 нм. Спектральные изменения прекращались по достижении фотостационарного состояния (ФСl), состав которого зависел о длины волны l действующего света. На основании спектров транс-изомера и двух разных ФС, полученных при облучении транс-изомера светом с разной длиной волны, по методу Фишера [23] был рассчитан спектр цис-изомера, показанный на рис. 1 (спектр 3); этот спектр был использован для моделирования спектров поглощения изомеров диады, см. ниже.
Квантовые выходы транс-цис jtc и цис-транс jct фотоизомеризации рассчитывались путем численного решения стандартного дифференциального уравнения для обратимой реакции [24], получены значения jtc = 0.16 и jct = 0.42. Эти значения сравнимы с полученными ранее для незамещенного PEQ, jtc = 0.23 и jct = 0.52 (в этаноле) [15], и свидетельствуют о незначительном влиянии заместителя в положении 8 хинолинового ядра на фотохимические свойства PEQ-фотохрома.
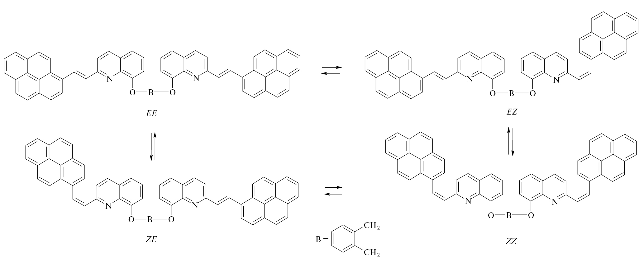
Как и в других бифотохромных диадах, в диаде DoX, вследствие наличия двух фотохромных групп, могут протекать четыре обратимые реакции фотоизомеризации с участием четырех изомеров EE, EZ, ZE и ZZ; вследствие равенства фотохромных групп несимметричные EZ и ZE изомеры неразличимы, схема 2.
Схема 2. Цикл реакций фотоизомеризации бифотохромной диады DoX (с фрагментами PEQ в форме s-транс конформеров).
На рис. 2 показаны спектральные изменения при фотолизе диады DoX светом с длиной волны 442 нм, на вставке дана кинетика изменения поглощения на длине волны облучения. Эти спектральные изменения аналогичны наблюдавшимся ранее для диады D10 [17] и свидетельствуют о протекании двух реакций – фотоизомеризации (схема 2) и ФЦП с образованием соответствующего циклобутана CBoX (схема 3). ДВПП циклобутана представляет собой систему колебательно-разрешенных полос поглощения с максимумами 321, 334 и 351 нм (рис. 2, спектр 11), характерных для несопряженного пиренового ядра. Поскольку циклобутан CBoX не поглощает свет с длиной волны 442 нм, при облучении диады этим светом не происходила обратная реакция ретро-ФЦП. В то же время свет 442 нм поглощают оба изомера PEQ-фотохрома, и вследствие обратимости реакции, в конце концов, все изомеры диады (через EE изомер) подвергались реакции ФЦП и наблюдалась полная конверсия диады в циклобутан CBoX.
Рис. 2. Спектральные изменения при облучении воздушно-насыщенного раствора диады DoX (1.26 · 10-5 М) светом с длиной волны 442 нм, интенсивность 1.77 · 10-8 эйнштейн см-2 · с-1, время фотолиза 0 (1) – 9000 с (11); вставка: кинетика изменения оптической плотности на длине волны 442 нм, экспериментальные точки и аппроксимирующая кривая при jET = 0.43 (см. текст).
Для осуществления обратной реакции раскрытия четырехчленного цикла (ретро-ФЦП) раствор циклобутана CBoX облучали светом c l = 316 нм в области поглощения пиренильных заместителей, происходящие при этом спектральные изменения показаны на рис. 3. Наблюдалось уменьшение полос поглощения циклобутана в области ~ 340 нм и рост ДВПП диады в области ~ 400 нм. Как показывает сравнение относительных интенсивностей ДВПП в спектрах диады и циклобутана, спектры 1 и 11 на рис. 2, спектры 7 и 1 на рис. 3 соответственно, происходила неполная регенерация исходной диады: при совпадении спектров циклобутана на обоих рисунках, ДВПП диады на рис. 3 ниже, чем на рис. 2. Поскольку обе реакции, происходящие в системе — фотоизомеризация и ФЦП — являются обратимыми, спектральные изменения прекращались по достижении ФС316 по обеим реакциям. Спектр поглощения циклобутана во всем диапазоне перекрывается со спектром поглощения диады, поэтому под действием света циклобутан невозможно полностью превратить в диаду.
Схема 3. Реакции [2+2]-фотоциклоприсоединения в EE изомере диады DoX с образованием тетразамещенного циклобутана CBoX.
Рис. 3. Спектральные изменения при облучении воздушно-насыщенного раствора циклобутана CBoX (1.26 · 10-5 М) светом с длиной волны 316 нм, интенсивность 1.71 · 10-10 эйнштейн см-2 · с-1, время фотолиза 0 (1) – 5300 с (11); вставка: кинетика изменения оптической плотности на длине волны 316 нм, экспериментальные точки и аппроксимирующая кривая при jET= 0.43 (см. текст).
Обработка наблюдаемых спектральных изменений с помощью метода главных компонент (МГК, principal component analysis) позволяет выявить число независимых хромофоров (имеющих разные спектры поглощения) в реакционной смеси и пути превращений между ними [25]. На рис. 4 показан график счетов, на котором экспериментальные спектры, полученные при облучении диады и циклобутана светом с разной длиной волны, представлены в базисе первых двух сингулярных векторов. Каждая точка на графике соответствует конкретному спектру реакционной смеси при фотолизе, при анализе учитывался спектральный диапазон 260–480 нм с шагом 1 нм, т.е. исходная матрица включала 221 значение оптической плотности для каждого спектра. На график также нанесены экспериментальный спектр EE изомера и модельные спектры ZE и ZZ изомеров диады. Спектры ZE и ZZ изомеров получены как сумма спектров соответствующих изомеров PEQ-фотохрома, при этом спектр E-PEQ в диаде рассчитан как половина спектра EE изомера, а в качестве спектра Z-PEQ использовался спектр Z-M1, рассчитанный по методу Фишера (см. выше).
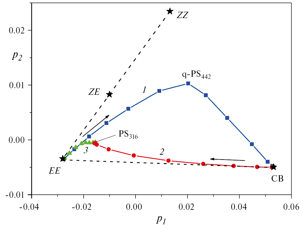
Рис. 4. График счетов – обработка методом главных компонент (principal component analysis) спектральных изменений, происходящих при фотолизе диады светом с длиной волны 442 нм (1) и 316 нм (3) и циклобутана светом с длиной волны 316 нм (2); спектры представлены в общем базисе двух первых сингулярных векторов p1 и p2. Отмечены точки, соответствующие экспериментальным спектрам EE изомера диады DoX, циклобутана CBoX (CB), ФС PS316 и квази-ФС q-PS442, а также модельным спектрам ZE и ZZ изомеров диады (см. текст), стрелки показывают направление спектральных изменений при фотолизе.
В четырех изомерах диады имеется только два независимых хромофора – это транс- и цис-изомеры PEQ-фотохрома; третий независимый хромофор в системе – это циклобутан. Прямые EE-ZZ и EE-CB на рис. 4 характеризуют виртуальные спектральные изменения, которые могли бы наблюдаться в системе, если бы в диаде протекала или только реакция фотоизомеризации, или только ФЦП соответственно. Реальные графики фотолиза диады DoX (рис. 4, графики 1 и 3) лежат между этими прямыми и представляют собой плавно изогнутые кривые. Можно сделать вывод, что под действием света в диаде протекают одновременно обе реакции, но основные спектральные изменения в системе, которые характеризует первая главная компонента (вектор p1), обусловлены реакцией ФЦП, приводящей к циклобутану CBoX, спектру которого соответствует конечная точка на графике 1. Как отмечено выше, при облучении диады светом 442 нм спектральные изменения прекращаются в результате полного превращения диады в циклобутан, поскольку реакция раскрытия цикла в этих условиях не протекает.
При облучении диады DoX светом 316 нм в реакционной смеси протекают обе обратимые реакции, поэтому спектральные изменения прекращаются по достижении ФС316 (рис. 4, график 3). То же самое ФС316 достигается при облучении циклобутана CBoX светом 316 нм — рис. 4, график 2. Отметим, что начальный участок графика 2 направлен по прямой EE-CB, что свидетельствует о раскрытии циклобутана именно в EE изомер диады, из которого он получается. По мере накопления в реакционной смеси этого изомера начинает спектрально проявляться реакция транс-цис-фотоизомеризации PEQ-фотохромов, и кривая отклоняется в сторону ZE изомера, останавливаясь в точке ФС316 (рис. 4, график 2).
Определенные выводы можно сделать также из формы графика 1 на рис. 4. Начальный участок кривой направлен вдоль прямой EE-ZZ, т.е. спектральные изменения в начале облучения диады обусловлены, главным образом, реакцией транс-цис-фотоизомеризации PEQ-фотохромов. Затем график фотолиза отклоняется в сторону циклобутана, причем конечная ветвь графика 1 почти ортогональна прямой EE-ZZ. Очевидно, что точка поворота на графике 1 соответствует установлению квази-ФС442 в реакции фотоизомеризации. Далее состав ФС по изомерам диады почти не меняется до полного превращения диады в циклобутан, из чего можно сделать вывод, что скорость образования циклобутана меньше скорости установления ФС в реакции фотоизомеризации, поэтому ФС фотоизомеризации не нарушается при протекании реакции ФЦП.
На графике МГК (рис. 4) отсутствует шкала времени, однако сопоставление с кинетической кривой (рис. 2, вставка) показывает, что квази-ФС442 достигается через 130 с после начала фотолиза, а для полного превращения диады в циклобутан требуется 9000 с. Это сопоставление подтверждает вывод о преобладании скорости реакции фотоизомеризации над ФЦП.
Как показано ранее [17, 26], кинетику фотопревращений бифотохромной диады, в которой одновременно протекают 4 реакции фотоизомеризации (схема 2) и реакция ФЦП (схема 3) можно описать системой из пяти дифференциальных уравнений (1)–(5), содержащих искомые параметры – квантовые выходы реакций транс-цис (jtc) и цис-транс (jct) фотоизомеризации, ФЦП (jPCA) и раскрытия четырехчленного цикла (jRO):
dcEE /dt = (jctec(cZE + cEZ) – 2jtcetcEE – – 2jPCAetcEE + jROåCBcCB)I0F, (1)
dcZE /dt = (jtcetcEE – (jctec + jtcet)cZE + + jcteccZZ)I0F, (2)
dcEZ /dt = (jtcetcEE – (jtcet + jctec)cEZ + + jcteccZZ)I0F, (3)
dcZZ/dt = (jtcet(cZE + cEZ) – 2jcteccZZ)I0F, (4)
dcCB/dt = (2jPCAetcEE – jROåCBcCB)I0F, (5)
где ei — МПП соответствующего хромофора (транс- или цис-изомера PEQ-фотохрома, или циклобутана) на длине волны облучения; ci — концентрация изомера диады или циклобутана, I0 — интенсивность света, F = (1–10–A)/A– фотокинетический фактор, а оптическая плотность A определяется как
A = ACB+ AEE + AZE + AEZ+ AZZ.
При выводе этой кинетической схемы использовалось упрощение, согласно которому реакции транс-цис и цис-транс-фотоизомеризации PEQ-фотохромов во всех изомерах диады протекают с одинаковыми квантовыми выходами jtc и jct, соответственно (схема 3). Систему уравнений (1)–(5) решали численно, при этом минимизировали среднеквадратичную ошибку оптической плотности где Acalc – оптическая плотность, рассчитанная численным интегрированием, Aexp – измеренная оптическая плотность реакционной смеси, m — число экспериментальных точек на кинетической кривой. Аппроксимация считалась приемлемой, если ошибка не превышала точность измерения оптической плотности (0.001).
Аппроксимация кинетической кривой фотолиза диады светом 442 нм дала значения квантовых выходов: jtc = 0.055, jct = 0.91, jPCA = 0.041 при DA = 0.0041; в этом эксперименте невозможно определить jRO, так как циклобутан не поглощает на длине волны 442 нм. Обращает на себя внимание большая ошибка ∆A и высокие значения jct. Как было показано, в бифотохромных диадах это связано с наличием процесса переноса энергии (ПЭ) от транс-изомера фотохрома к цис-изомеру в несимметричных ZE и EZ изомерах диады, который не учитывается в системе уравнений (1)–(5) и который приводит к тушению активности транс-изомера и сенсибилизации цис-изомера [27].
Согласно теории диполь-дипольного индуктивно-резонансного ПЭ (FRET), предложенной Фёрстером [28], эффективность (квантовый выход) ПЭ (jET) определяется рядом параметров, среди которых – интеграл перекрывания (J) спектра излучения донора и спектра поглощения акцептора и ориентационный фактор (k2), который может варьироваться в пределах от 0 до 4 в зависимости от взаимной ориентации дипольных моментов переходов в доноре и акцепторе. Эти параметры позволяют рассчитать радиус Фёрстера R0, соответствующий расстоянию между донором и акцептором энергии, при котором донор потушен наполовину, т.е. jET = 0.5. [28].
Для донорно-акцепторной пары, где E-M1 является донором энергии, а Z-M1 – акцептором, интеграл перекрывания, рассчитанный по модели Фёрстера, равен J = 5.23 · 1012 · М-1 · см-1 · нм4. Используя для оценки радиуса Фёрстера значение ориентационного фактора k2 = 2/3 для свободно ориентированных доноров и акцепторов [28], получаем R0 = 1.76 нм.
Как оценку возможного расстояния между фотохромами в ZE изомере можно использовать результаты квантовохимических расчетов для EE изомера, для которого расстояние между этиленовыми группами в разных конформерах изменяется в пределах 3.5–13 Å, см. ниже. На основании этих данных, можно ожидать эффективного ПЭ в ZE (EZ) изомере, однако следует учитывать, что в разных конформерах, при разных ориентациях донора и акцептора, радиус Фёрстера может быть как меньше, так и больше рассчитанного на основании усредненного значения ориентационного фактора k2, поскольку последний может принимать значения от 0 до 4 [28].
Для учета ПЭ необходимо модифицировать уравнения, содержащие члены, относящиеся к несимметричным EZ и ZE изомерам диады: учесть, что часть энергии (jET), поглощенной E-PEQ изомером, переносится на Z-PEQ изомер, приводя к его сенсибилизации; оставшаяся на E-PEQ изомере часть энергии (1 – jET) приводит к его изомеризации. Например, для уравнения (2) получаем модифицированную форму (2)›:
dcZE /dt = (φtcetcEE – (φct(ec + φETet) + + φtcet(1 – φET))cZE + φcteccZZ)I0F. (2)′
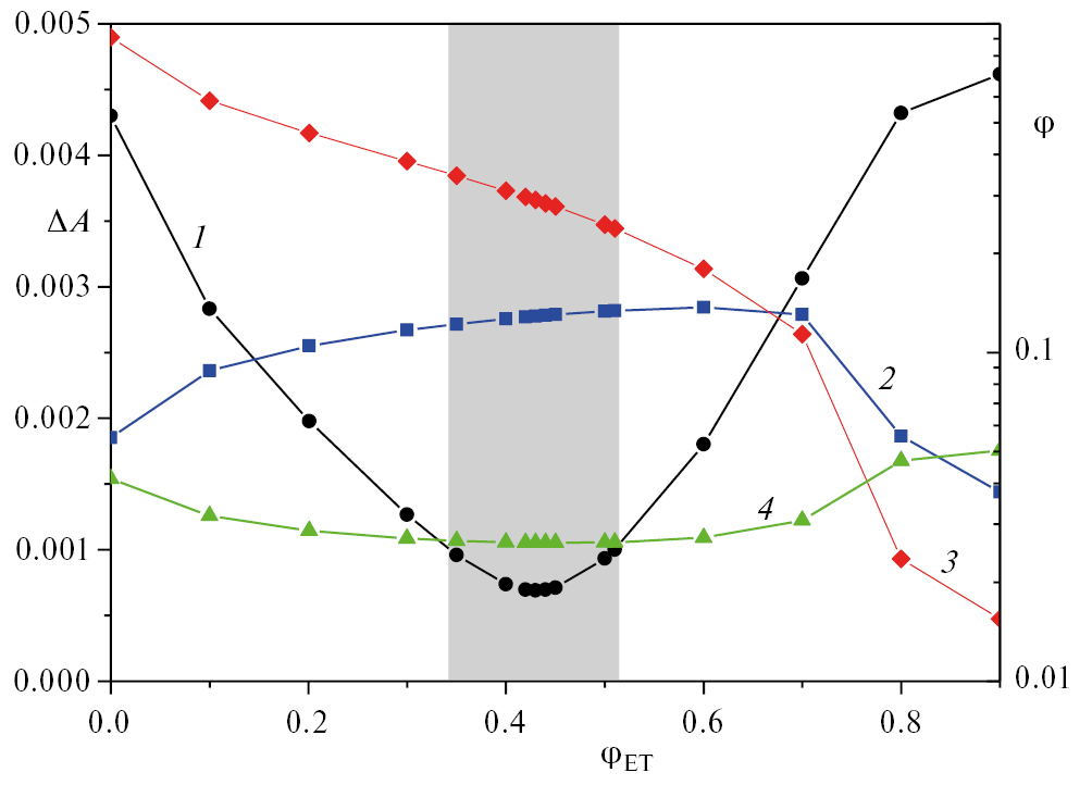
Поскольку точное значение jET неизвестно, было изучено влияние этого параметра на ошибку аппроксимации и квантовые выходы реакций, полученные зависимости показаны на рис. 5.
Рис. 5. Зависимость ошибки аппроксимации D A (левая ось, 1) и значений квантовых выходов реакций (правая ось) jtc (2), jct (3), jPCA (4) от эффективности переноса энергии jET в ZE и ZE изомерах диады; выделена область значений D A < 0.001.
Минимальная ошибка ∆ A наблюдается при jET = 0.43, при этом значения квантовых выходов реакций равны jtc = 0.13, jct = 0.29, jPCA = 0.026; аппроксимирующая кинетическая кривая показана на вставке на рис. 2. В пределах ошибки ∆ A < 0.001 стандартное отклонение равно 3% для jtc, 12% для jct и 0.4% для jPCA. Фактически ПЭ не оказывает влияния на реакцию ФЦП, что согласуется с тем фактом, что ФЦП происходит в EE изомере диады, поэтому соотношение jtc и jct влияет на относительное содержание разных изомеров диады в реакционной смеси, но не на содержание (квантовый выход образования) циклобутана.
При аппроксимации кинетики фотолиза циклобутана светом 316 нм получено значение квантового выхода реакции раскрытия циклобутана jRO = 0.091, аппроксимирующая кривая показана на вставке на рис. 3.
Как показывает сравнение с данными для диады D10 (jPCA = 0.06), в диаде DoX значение jPCA в два раза меньше, из чего можно заключить, что сравнительно малоэффективная реакция ФЦП в обеих диадах не связана с гибкостью или жесткостью мостиковой группы, а определяется другим структурным фрагментом. Можно предположить, что таким фрагментом является пиреновое ядро, которое имеется в обеих диадах. Для немногих известных примеров диарилэтиленов, содержащих в качестве одной из арильных групп пиреновое ядро, jPCA имеет небольшие значения. Например, для гомоароматического аналога PEQ, 1-(нафтил-1)-2-(пиренил-1)этилена, и для стирилпирена определена сумма квантовых выходов (jtc + jPCA) = 0.04 – 0.05, причем эти значения получены для свободных (ковалентно несвязанных) фотохромов [29, 30]. Обратная реакция ретро-ФЦП для этих соединений протекала с одинаковым квантовым выходом jRO = 0.8. Для стирилпирена с полиэтиленгликолевым заместителем в бензольном ядре jRO = 0.00089, для обратной реакции получено значение jRO = 0.0067 [31].
Предположительно свойством пирена, определяющим небольшие значения jPCA, является его склонность образовывать димерные структуры с p-стэкингом как в основном, так и в возбужденном состояниях (эксимеры). В таких структурах может быть затруднено перемещение фотохромов относительно друг друга, необходимое для достижения конфигураций, в которых протекает реакция ФЦП. В таком случае склонность пирена к p-стэкинг взаимодействию оказывает положительное влияние на первом этапе реакции ФЦП, благоприятствуя образованию предорганизованных димерных структур в основном состоянии, но отрицательное влияние на втором этапе реакции, препятствуя достижению конфигурации переходного состояния реакции в возбужденном состоянии.
Как показывает сравнение приведенных данных для разных пиренил-содержащих фотохромов, квантовый выход реакции ретро-ФЦП jRO, в отличие от jPCA, может достигать довольно высоких значений до 0.8. В отличие от реакции ФЦП, для реакции ретро-ФЦП отсутствует необходимость предварительной организации фотохромов в структуры с p-стэкингом, поэтому отсутствует корреляция jRO с наличием мостиковой группы и ее структурой. Из анализа данных для других замещенных циклобутанов следует, что существенное влияние на jRO оказывает относительное положение арильных заместителей в циклобутане [32].
КВАНТОВОХИМИЧЕСКИЕ РАСЧЕТЫ
Вследствие квазисвободного вращения вокруг псевдоодинарных связей в этиленовой группе, диарилэтилены могут существовать в виде s-конформеров (ротамеров) [33]. Ранее для модельного PEQ-фотохрома с метильной группой вместо октильной было показано, что s-цис-конформер стабильнее s-транс-конформера на 1.26 ккал/моль[16]. С учетом этого факта, структуры конформеров диад были рассчитаны с PEQ-фотохромом в форме s-цис-конформера, оптимизированные структуры двух конформеров показаны на рис. 6. В развернутом конформере DoX-A оксиметиленовые группы в орто-ксилиленовом мостике развернуты в разные стороны, поэтому PEQ-фотохромы максимально удалены друг от друга, расстояние между этиленовыми группами двух фотохромов равно 13.03 Å. В свернутом конформере DoX-B оксиметиленовые группы повернуты в одну сторону, в результате PEQ-фотохромы сближаются и образуют структуру с p-стэкинг взаимодействием, в которой расстояние между этиленовыми группами двух фотохромов равно 3.53 Å. Это меньше, чем критическое расстояние 4.2 Å, необходимое для протекания реакции ФЦП диарилэтиленов в кристалле [34].
Характерной особенностью PEQ-фотохрома является неплоское строение: пиреновое ядро вывернуто из плоскости фотохрома на 31.9°, вследствие стерического взаимодействия с атомами водорода этиленовой группы [16]. Эта особенность сохраняется в конформерах диады DoX, рис. 6.
Рис. 6. Структуры конформеров диады DoX, оптимизированные на уровне M06-2X/6-31G* (вид сверху и спереди).
Разность полных энергий развернутого и свернутого конформеров можно использовать как оценку энергии p-стэкинг взаимодействия фотохромов в диадах [16]. Для конформеров DoX-A и DoX-B эта разность равна 18.43 ккал/моль, что сравнимо с аналогичным параметром для диады D10 (20.69 ккал/моль), рассчитанном на том же уровне DFT [16]. Очевидно, большая сопряженная p-система PEQ-фотохрома, составляющая 28 p-электронов, способствует довольно сильному взаимодействию двух фотохромов в диадах DoX и D10.
Структура граничных молекулярных орбиталей (МО) – высшей занятой МО (ВЗМО) и низшей вакантной МО (НВМО) PEQ-фотохрома характерна для диарилэтиленов: ВЗМО является связывающей, НВМО – разрыхляющей по центральной двойной связи [15, 16]. Переход электрона с ВЗМО на НВМО в возбужденном состоянии фотохрома создает условия для реакции фотоизомеризации.
Структура ВЗМО, НВМО и ближайших к ним орбиталей в свернутом конформере DoX-B показана на рис. 7. Взаимодействие МО приводит к их делокализации по обоим фотохромам с преимущественной локализацией на том или ином фрагменте. При этом сохраняется связывающий для ВЗМО и разрыхляющий для НВМО характер по центральной двойной связи.
Рис. 7. Структура граничных МО, высшей занятой (ВЗМО, HOMO, H) и низшей вакантной (НВМО, LUMO, L) и соседних МО для конформера диады DoX-B, рассчитанная на уровне M06-2X/6-31G*.
В табл. 1 приведены параметры спектров поглощения, рассчитанные для модельного фотохрома и конформера диады DoX-B: вертикальная энергия возбуждения, максимум полосы поглощения, сила осциллятора и состав перехода. В обоих случаях ДВПП, обусловленная S0 → S1 возбуждением, связана с переходом ВЗМО → НВМО. Сравнение с экспериментальными данными показывает, что для модельного фотохрома расчет завышает энергию ДВПП на 0.3 эВ. Расчет корректно предсказывает батохромный сдвиг ДВПП в диаде по сравнению с модельным фотохромом.
Таблица 1. Вертикальные энергии возбуждения (Eex), максимумы поглощения (lmax), силы осцилляторов ( f ) и состав переходов (вклад >10%) в низшие синглетные возбужденные состояния модельного фотохрома М1 и конформера диады DoX-B, рассчитанные методом TDM06-2X/6-31G*
Соединение | Сост.а | Состав б | % | Eex (эВ) | lmax (нм) | f |
М1в | S1 | H → L | 93 | 3.47 | 356.9 | 1.0338 |
S2 | H → L+2 H-2 → L | 31 30 | 3.92 | 316.0 | 0.0056 | |
S3 | H-1 → L H → L+1 | 59 18 | 4.16 | 298.2 | 0.1879 | |
S4 | H-5 → L H-5 → L+1 | 36 24 | 4.24 | 292.2 | 0.0130 | |
DoX-B | S1 | H → L | 75 | 3.17 | 391.2 | 0.0097 |
S2 | H-1 → L | 83 | 3.43 | 361.0 | 1.0204 | |
S3 | H → L+1 | 82 | 3.52 | 352.0 | 0.3685 | |
S4 | H-1 → L+1 H → L | 73 16 | 3.55 | 349.0 | 0.0232 |
а Даны четыре низших синглетно-возбужденных состояний; обозначения МО: H (highest occupied) – ВЗМО, L (lowest unoccupied) – НВМО. б Приведены одноэлектронные переходы с вкладом более 15%. в В расчете вместо октильной использовалась метильная группа.
Таким образом, квантовохимические расчеты подтверждают склонность PEQ-фотохромов к p-стэкинг взаимодействию и образованию свернутых конформеров с батохромно сдвинутым спектром поглощения, что соответствует экспериментальным данным.
ЗАКЛЮЧЕНИЕ
Исследование бифотохромной диады DoX, содержащей PEQ-фотохромы, связанные между собой сравнительно жесткой орто-ксилиленовой группой, показало, что под действием света в диаде протекают две конкурентные реакции, реакция транс-цис-фотоизомеризации PEQ-фотохромов и реакция межфотохромного [2+2]-фотоциклоприсоединения (ФЦП). По батофлорному сдвигу спектра флуоресценции диады DoX относительно спектра модельного фотохрома M1 зарегистрирован эксимер, который является интермедиатом реакции ФЦП.
Сравнение свойств диады DoX со свойствами диады D10, содержащей такие же PEQ-фотохромы, связанные между собой более гибкой декаметиленовой группой, позволило сделать вывод, что эффективность реакции ФЦП (величина jPCA) в этих диадах определяется не структурой связывающей (мостиковой) группы, а сильным p-стэкинг взаимодействием PEQ-фотохромов. Такое взаимодействию оказывает положительное влияние на первом этапе реакции ФЦП, способствуя образованию предорганизованных димерных структур в основном S0 состоянии, дающих эксимер в возбужденном S1 состоянии, но отрицательное влияние на втором этапе реакции, поскольку препятствует перемещению фотохромов относительно друг друга, которое необходимо для достижения конформаций, благоприятствующих реакции ФЦП.
В заключение отметим, что диарилэтиленовые диады можно рассматривать как новый класс фотохромов, действующих по механизму реакции [2+2]-фотоциклоприсоединения [35]. Переключение между открытой (DoX) и закрытой (CBoX) формами нового фотохрома достигается за счет выбора длины волны облучения. Дополнительным преимуществом диады DoX является наличие флуоресценции и чувствительность к видимому свету.
ИСТОЧНИК ФИНАНСИРОВАНИЯ
Работа выполнена при поддержке Российского научного фонда (грант 22-23-00482) с использованием оборудования Аналитического центра коллективного пользования ФИЦ ПХФ и МХ РАН.
About the authors
М. Ф. Будыка
Федеральный исследовательский центр проблем химической физики и медицинской химии Российской академии наук
Author for correspondence.
Email: budyka@icp.ac.ru
Russian Federation, пр. Академика Семенова, 1, Черноголовка, Московская обл., 142432
В. М. Ли
Федеральный исследовательский центр проблем химической физики и медицинской химии Российской академии наук
Email: budyka@icp.ac.ru
Russian Federation, пр. Академика Семенова, 1, Черноголовка, Московская обл., 142432
Т. Н. Гавришова
Федеральный исследовательский центр проблем химической физики и медицинской химии Российской академии наук
Email: budyka@icp.ac.ru
Russian Federation, пр. Академика Семенова, 1, Черноголовка, Московская обл., 142432
References
- Gonzalez A., Kengmana E.S., Fonseca M.V., Han G.G.D. // Materials Today Advances. 2020. V. 6. P. 100058.
- Steen J.D., Duijnstee D.R., Brown W.R. // Surface Science Reports. 2023. V. 78. P. 100596.
- Zhao J.-L., Li M.-H., Cheng Y.-M., Zhao X.-W., Xu Y., Cao Z.-Y., You M.-H., Lin M.-J. // Coord. Chem. Rev. 2023. V. 475. P. 214918.
- Di Martino M., Sessa L., Diana R., Piotto S., Concilio S. // Molecules. 2023. V. 28. P. 3712.
- Wang Z., Holzel H., Moth-Poulsen K. // Chem. Soc. Rev. 2022. V. 51. P. 7313.
- Mandal M., Banik D., Karak A., Manna S.K., Mahapatra A.K. // ACS Omega. 2022. V. 7. P. 36988.
- Kim D., Park S.Y. // Adv. Opt. Mat. 2018. V. 6. P. 1800678.
- Будыка М.Ф. // Успехи химии. 2017. Т. 86. С. 181.
- Ширинян В.З., Лоншаков Д.В., Львов А.Г., Краюшкин М.М. // Успехи химии. 2013. Т. 82. С. 511.
- Leistner A.-L., Pianowski Z.L. // Eur. J. Org. Chem. 2022. e202101271.
- Gao M., Kwaria D., Norikane Y., Yue Y. // Nat Sci. 2023. V. 3. e220020.
- Kobauri P., Dekker F.J., Szymanski W., Feringa B.L. // Angew. Chem. 2023. e202300681.
- Wang H., Bisoyi H.K., Zhang X., Hassan F., Li Q. // Chem. Eur. J. 2022. V. 28. e202103906.
- Будыка М.Ф. // Успехи химии. 2012. Т. 81. С. 477
- Budyka M.F., Li V.M. // Photochem. Photobiol. Sci. 2018. V. 17. P. 213.
- Будыка М.Ф., Гавришова Т.Н., Ли В.М., Дозморов С.А. // Изв. АН. Сер. хим. 2023. Т. 72. С. 2013.
- Будыка М.Ф., Поташова Н.И., Гавришова Т.Н., Ли В.М., Гак В.Ю., Гринева И.А. // Химия высоких энергий. 2018. Т. 52. С. 204.
- Будыка М.Ф., Поташова Н.И., Гавришова Т.Н., Ли В.М. // Химия высоких энергий. 2017. Т. 51. С. 216.
- Bera S., Bera A., Banerjee D. // Org. Lett. 2020. V. 22. P. 6458.
- Sahu K.B., Ghosh S., Banerjee M., Maity A., Mondal S., Paira R., Saha P., Naskar S., Hazra A., Banerjee S., Samanta A., Mondal N.B. // Med. Chem. Res. 2013. V. 22. P. 94.
- Becker H.D. // Chem. Rev. 1993. V. 93. P. 145.
- Gaussian 09, Revision D.01 // M.J. Frisch, G.W. Trucks, H.B. Schlegel, et al. Gaussian, Inc., Wallingford CT, 2013.
- Fischer E. // J. Phys. Chem. 1967. V. 71. P. 3704.
- Будыка М.Ф., Поташова Н.И., Гавришова Т.Н., Ли В.М. // Химия высоких энергий. 2008. Т. 42. С. 497.
- Pomerantsev A.L. Chemometrics in Excel, John Wiley & Sons, Inc., Hoboken, 2014.
- Будыка М.Ф., Поташова Н.И., Гавришова Т.Н., Ли В.М. // Химия высоких энергий. 2012. Т. 46. С. 369.
- Budyka M.F., Gavrishova T.N., Li V.M., Potashova N.I., Fedulova J.A. // Spectrochim. Acta Part A. 2022. V. 267. 120565.
- Braslavsky S.E., Fron E., Rodriguez H.B., Roman E.S., Scholes G.D., Schweitzer G., Valeur B., Wirz J. Photochem. Photobiol. Sci. 2008. V. 7. P. 1444.
- Kovalenko N.P., Abdukadirov A., Gerko V.I., Alfimov M.V. // J. Appl. Spectrosc. 1980. V. 32. P. 607.
- KovalenkoN.P., AbdukadirovA., Gerko V.I., Alfimov M.V. // J. Photochem. 1980. V. 12. P. 59.
- Truong V.X., Li F., Ercole F., Forsythe J.S. // ACS Macro Lett. 2018. V. 7. P. 464.
- Tomotaka N., Katsuhiko T., Yasuhiko S. // Bull. Chem. Soc. Jpn. 1998. V. 71. P. 419.
- Mazzucato U., Momicchioli F. // Chem. Rev. 1991. V. 91. P. 1679.
- Chung J.W., You Y., Huh H.S., An B.K., Yoon S.J., Kim S.H., Lee S.W., Park S.Y. // J. Am. Chem. Soc. 2009. V.131. P. 8163.
- Budyka M.F., Fedulova J.A., Gavrishova T.N., Li V.M., Potashova N.I., Tovstun S.A. // Phys. Chem. Chem. Phys. 2022. V. 24. P. 24137.
Supplementary files












