Влияние механических напряжений на спектр сигнала намагничивания в аморфных микропроводах из сплавов на основе кобальта
- Авторы: Евстигнеева С.А.1,2, Луценко О.1,2, Ганьжина Т.Ю.1, Мирошкина В.В.3, Юданов Н.А.1, Немирович М.А.4, Панина Л.В.1,5
-
Учреждения:
- НИТУ МИСиС
- QLU, Российский квантовый центр
- Санкт-Петербургский государственный электротехнический университет “ЛЭТИ”
- Лаборатория интеллектуальных сенсорных систем, НИТУ МИСиС
- Балтийский Федеральный Университет им. И. Канта
- Выпуск: Том 125, № 2 (2024)
- Страницы: 123-130
- Раздел: ЭЛЕКТРИЧЕСКИЕ И МАГНИТНЫЕ СВОЙСТВА
- URL: https://journals.rcsi.science/0015-3230/article/view/264394
- DOI: https://doi.org/10.31857/S0015323024020019
- EDN: https://elibrary.ru/YPWFQI
- ID: 264394
Цитировать
Полный текст
Аннотация
Mагнитомягкие материалы с высокой магнитной восприимчивостью в ответ на воздействие переменных магнитных полей генерируют в приемной катушке индукционное электрическое напряжение, спектр которого содержит высшие гармоники. Это обусловлено нелинейной зависимостью намагниченности от магнитного поля, и амплитуды высших гармоник дают значительный вклад в общий сигнал, если внешнее поле приводит к магнитному насыщению. В аморфных ферромагнетиках магнитная восприимчивость и поле насыщения в значительной степени определяются магнитоупругими взаимодействиями, соответственно, амплитуды высших гармоник должны зависеть от внешних механических напряжений. В данной работе исследуются процессы перемагничивания в аморфных микропроводах двух составов: Co71Fe5B11Si10Cr3 и Co66.6Fe4.28B11.51Si14.48Ni1.44Mo1.69 при воздействии внешних растягивающих напряжений. Для первого состава механические напряжения, превышающие некоторый предел (более 350 МПа), приводят к трансформации магнитного гистерезиса с бистабильного типа в наклонный. При этом наблюдается резкое изменение гармонического спектра. В микропроводах второго состава с изначально наклонной петлей, внешние напряжения вызывают монотонное увеличение угла наклона петли гистерезиса, т. е. уменьшение восприимчивости. В этом случае амплитуды высших гармоник претерпевают значительные изменения при небольших напряжениях, меньше 100 МПа. Результаты получены при перемагничивании образцов микропровода с помощью системы плоских катушек, что демонстрирует потенциал применения этих материалов в качестве беспроводных датчиков механических напряжений с дистанционным считыванием.
Полный текст
ВВЕДЕНИЕ
В последнее время большое внимание уделяется созданию миниатюрных магнитных материалов для использования в качестве меток, датчиков механических напряжений и температуры с дистанционным считыванием [1]. Особенно перспективным является разработка сенсорных элементов на основе нелинейных магнитных динамических свойств [2]. Сильная нелинейность поведения намагниченности наблюдается в аморфных ферромагнитных микропроводах, которые обладают эффектом магнитной бистабильности [3–8]. В таких материалах реализуются только два магнитных состояния с намагниченностью ± Ms, причем переход между этими состояниями происходит скачком при определенном значении внешнего магнитного поля (известного как поле переключения HSW). Это обусловлено доменной структурой с одним центральным доменом с осевой намагниченностью и поверхностными доменами с радиальной или циркулярной намагниченностью. Значение HSW зависит от условий возбуждения, температуры, механических напряжений, и других внешних факторов. Однако если основной механизм переключения намагниченности связан с зарождением домена c противоположной намагниченностью и его быстрого распространения вдоль микропровода, то HSW определяется балансом энергии доменной стенки и магнитостатической энергии [9–12]. Поэтому значение HSW зависит от энергии доменной стенки и пропорционально √K, где K – константа магнитной анизотропии. В аморфных материалах значительный вклад в магнитную анизотропию дает магнитоупругое взаимодействие, т. е. константа анизотропии определяется значением магнитострикции и механическими напряжениями σ. В ряде работ было предложено использовать изменение поля переключения для дистанционного измерения внутренних напряжений на поверхности или внутри материалов [3–6]. Поскольку при перемагничивании генерируется узкий сигнал напряжения, значение HSW определяется по положению максимума относительно сигнала возбуждения. Дистанционный метод измерения поля переключения также было предложено использовать для локального измерения температуры вблизи имплантатов [7, 8]. Для этого используются микропровода из сплавов с низкой температурой Кюри, поскольку все магнитные параметры претерпевают резкое изменение вблизи этой температуры.
С другой стороны, магнитомягкие материалы с высокой магнитной восприимчивостью при намагничивании переменным магнитным полем могут генерировать в системе приемных катушек сигналы напряжения с большим вкладом от высших гармоник. Это обусловлено наличием сильной нелинейности в области выхода намагниченности на насыщение, когда восприимчивость резко уменьшается до нуля. Следует отметить, что спектральные методы исследования являются универсальными для нелинейных систем. В случае магнитных систем специфика определяется методом контроля нелинейных свойств с помощью внешних факторов, например, магнитного поля.
Детектирование высших гармоник возможно с высокой точностью с использованием селективных усилителей (lock-in techniques). Недавно этот принцип был предложен для детектирования магнитных наночастиц, используемых в магнитной томографии, и в качестве биомаркеров [13, 14]. Амплитуды гармонического спектра в данном случае также определяются значением магнитной анизотропии, и могут в значительной степени зависеть от внешних факторов.
В данной работе исследуются процессы перемагничивания в аморфных микропроводах из сплавов на основе Со при воздействии внешних растягивающих напряжений, которые могут вызывать трансформацию магнитного гистерезиса с бистабильного типа в наклонный, что обусловлено зависимостью константы магнитострикции от напряжений. При этом наблюдается значительное изменение гармонического спектра. Для сравнения исследуются также спектральные характеристики намагниченности в микропроводах с изначально наклонной петлей, в которых внешние напряжения приводят только к увеличению циркулярной анизотропии.
ЭКСПЕРИМЕНТАЛЬНЫЕ МЕТОДЫ
Проведены исследования аморфных микропроводов в стеклянной оболочке двух составов: Co71Fe5B11Si10Cr3 (отношение общего диаметра к диаметру металлического сердечника: D/d = 29/25 мкм, образец № 1) и Co66.6Fe4.28B11.51Si14.48Ni1.44Mo1.69 (D/d = 35/25 мкм, образец № 2). Микропровода получены методом Улитовского–Тейлора [15]. Для этих сплавов характерна небольшая и отрицательная константа магнитострикции порядка 10–7 [16–18].
Петли гистерезиса под нагрузкой были определены из индукционных измерений. В установке использованы две дифференциальные катушки с внутренним диаметром 3 мм. Поле намагничивания имело частоту 500 Гц и амплитуду 1000 А/м. Полученный сигнал электрического напряжения оцифровывали и выполняли численное интегрирование для восстановления петель гистерезиса.
Для образцов с аксиальной намагниченностью проведено исследование динамики доменной границы (ДГ). Для этого измеряли скорость движения ДГ вдоль оси микропровода, а также исследовали сигнал электрического напряжения, индуцируемый в детектирующей катушке при движении ДГ. Исследования проводили по методу Сикстуса–Тонкса [19]. Микропровод длиной 10 см помещали в соленоид, создающий однородное магнитное поле амплитудой до 2000 А/м и частотой до 1 кГц. Использовали 4 детектирующие катушки, с помощью которых регистрировали индуцированный сигнал при прохождении доменной границы.
При всех измерениях растягивающие напряжения прикладывали к одному концу микропровода путем подвешивания груза. Внутренние механические напряжения в микропроводе определяли с учетом разных значений модулей Юнга для металла и стекла [20].
Для исследования возможности практического применения микропроводов в качестве сенсорных элементов с бесконтактным опросом была разработана система плоских катушек (рис. 1), с помощью которых можно было дистанционно перемагничивать провод и регистрировать индуцированный сигнал электрического напряжения. Система плоских катушек состоит из двух пар последовательно соединенных катушек. Катушки намагничивания включены в одном направлении, что позволяет получить максимальное магнитное поле при заданном токе. Детектирующие катушки включены встречно друг другу для компенсации ЭДС, наведенной намагничивающими катушками, поскольку их расположение симметрично. Поскольку расположение образца асимметрично относительно системы катушек, наведенное ЭДС в приемных катушках будет различным, и их разница регистрируется измерительным прибором. Схемы включения представлены на рис. 1б, в. Плоская катушка представляет собой плату из текстолита (100×100×2 мм) с нанесенными на нее круговыми проводящими микрополосками. Характеристики намагничивающей (внешней) катушки (индуктивность 120 мкГн): 17 витков, диаметр внешнего витка 100 мм. Характеристики детектирующей (внутренней) катушки: 21 виток, диаметр последнего витка 60 мм. При изготовлении печатных плат с катушками использовали классический метод промышленного изготовления по 4-му классу точности с толщиной фольги 18 мкм. Изготовление плоских катушек по технологии печатных плат позволяет получить минимальную непосредственно наведенную ЭДС за счёт высокой точности расположения витков друг относительно друга (погрешность менее 0.08 мм).
Рис. 1. Фотография плоской катушки (а); схемы включения намагничивающих и детектирующих катушек соответственно (б, в).
С помощью датчиков Холла (магнитометр АТЕ-8702, размер чувствительной области измерительного щупа порядка 1 мм, разрешение по полю 0.01мТ) было измерено магнитное поле, генерируемое внешней катушкой с шагом 2 мм. На рис. 2 представлено распределение z-компоненты поля (перпендикулярно плоскости катушки) в плоскости x–z для тока 1 А. В центре катушки наблюдается незначительное изменение поля на уровне 330 A/м с увеличением расстояния от плоскости до 7 мм.
Рис. 2. Распределение z-компоненты магнитного поля, создаваемого намагничивающими катушками при величине тока в 1 А. Ось x – в плоскости катушки, ось z – перпендикулярно плоскости.
При дальнейшем удалении от плоскости катушки магнитное поле уменьшается с градиентом порядка 55 А/м/мм. Микропровод длиной 30 мм располагали перпендикулярно плоскости катушки приблизительно в центре, один конец закрепляли на поверхности платы, к другому подвешивали груз. Сигнал с детектирующих катушек поступал на синхронный усилитель (lock-in amplifier SR830). Для дополнительной визуализации считываемого сигнала использовали осциллограф, подключенный к выходу “Monitor” синхронного усилителя. В качестве источника опорного сигнала использовали внешний генератор переменного сигнала, при помощи которого генерировали магнитное поле. Регистрацию амплитуд гармоник и фазы сигнала производили в режиме автоматического сдвига фазы опорного сигнала так, чтобы измеряемая фаза сигнала была равна 0°. Это делается путем вычитания текущего измеренного значения из фазы опорного сигнала.
ПОЛУЧЕННЫЕ РЕЗУЛЬТАТЫ И АНАЛИЗ
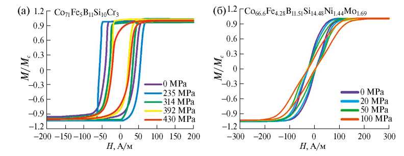
Петли магнитного гистерезиса. На рис. 3 представлены петли гистерезиса для исследуемых образцов и их изменение под действием растягивающих напряжений. В отсутствие механических напряжений образец № 1 (рис. 3a) имеет прямоугольную петлю гистерезиса c низкой коэрцитивной силой Нс = 35 А/м, т. е. легкая ось намагничивания направлена вдоль оси провода. Под воздействием механических напряжений σex < 390 МПа прямоугольная форма сохраняется с небольшими вариациями в значениях Нс. При более высоких напряжениях петля начинает наклоняться, что свидетельствует об изменении оси легкого намагничивания. Образец № 2 (рис. 3б) имеет наклонную петлю гистерезиса, характерную для микропроводов из сплавов на основе Со с отрицательной магнитострикцией и циркулярным направлением легкого намагничивания. Внешние напряжения увеличивают угол наклона, т. е. происходит увеличение циркулярной анизотропии. Из наклонной петли гистерезиса можно оценить эффективное поле анизотропии НК, значение которого увеличивается от 70 А/м до 200 А/м при σex = 100 МПа.
Рис. 3. Петли магнитного гистерезиса микропроводов составов Co71Fe5B11Si10Cr3 (образец № 1 – a) и Co66.6Fe4.28B11.51Si14.48Ni1.44Mo1.69 (образец № 2 – б) для различных внешних напряжений.
Особенности поведения намагниченности при воздействии механических напряжений обусловлены изменением энергии анизотропии Em:
(1)
(2)
В уравнении (2) Kcr и nk соответствуют величине и направлению усредненной магнитокристаллической анизотропии, – нормированный вектор намагниченности, λs – константа магнитострикции насыщения, ó – тензор механических напряжений, который включает внутренние óin и внешние óex напряжения. Для сплавов на основе Со характерна отрицательная магнитострикция, поэтому при наличии растягивающих напряжений имеет минимум при циркулярном направлении намагниченности. Это объясняет поведение намагниченности в микропроводе второго состава. Для первого образца бистабильный тип петли гистерезиса возможно связан с влиянием . Однако по мере увеличения растягивающего напряжения óex увеличивается вклад , что приводит к наклону петли. Усиление влияния внешнего напряжения также связано с зависимостью λs от óex [21]:
(3)
В уравнении (3) параметр B > 0, что также усиливает циркулярную анизотропию.
Движение доменной границы. В образце с магнитной бистабильностью возможно наблюдение движения уединенной доменной границы.
Скорость V ДГ линейно зависит от внешнего поля, как видно из рис. 4, и может быть представлена в виде:
(4)
Рис. 4. Скорость распространения ДГ вдоль оси микропровода состава Co71Fe5B11Si10Cr3 (образец № 1) как функция магнитного поля для различных значений приложенных напряжений. Данные приведены для нескольких частот магнитного поля (340, 500, 1000 Гц). Вставка показывает форму индуцированного сигнала в одной из детектирующих катушек при поле 750 A/м и частоте 500 Гц.
В уравнении (4) S – мобильность ДГ. Ее величина слабо зависит от частоты изменения магнитного поля, но резко возрастает под действием растягивающих напряжений. Однако при напряжениях порядка 350 МПа индуктивный сигнал в детектирующих катушках становится нерегулярным и плохо различимым на фоне шумов. Т. е. при больших напряжениях доменная граница не формируется, что согласуется с изменением петли гистерезиса. Увеличение скорости обусловлено уменьшением эффективной анизотропии в осевом направлении
(5)
Действительно, мобильность определяется процессами релаксации, которые включают потери на токи Фуко и спиновую релаксацию [22, 23]. Оба фактора зависят от энергии ДГ , где – константа неоднородного обмена. Т. е. энергия ДГ уменьшается с уменьшением параметра анизотропии. При этом мобильность для нормальной компоненты скорости, ограниченная спиновой релаксацией, увеличивается обратно пропорционально ò [23]:
(6)
В уравнении (6) γ – гиромагнитное отношение, α – спин-релаксационный параметр. Был исследован также спектр сигнала, генерируемого в детектирующих катушках движущейся ДГ. Форма сигнала показана на вставке к рис. 4. Видно, что при увеличении напряжений сигнал уширяется, а амплитуда падает. Это может быть обусловлено уменьшением области, где существует домен с осевой намагниченностью. Соответственно, амплитуды высших гармоник такого сигнала уменьшаются при воздействии механических напряжений, как показано на рис. 5. Между тем форма петли гистерезиса при таких напряжениях практически не меняется.
Рис. 5. Зависимость амплитуды высших гармоник (№ 21, 23) от механических напряжений для сигнала, индуцированного движущейся ДГ в поле 385 А/м (частота – 500 Гц).
Спектральные характеристики при намагничивании плоской катушкой. Для практических применений интересно проанализировать, как меняется спектр сигнала под действием механических напряжений при намагничивании образцов микропровода с помощью плоской катушки. Спектральные характеристики зависят от амплитуды поля намагничивания, как показано на рис. 6 для образца № 1.
Рис. 6. Спектральные характеристики микропровода состава Co71Fe5B11Si10Cr3 (образец № 1) при намагничивании плоской катушкой, создающей различную величину магнитного поля в центре катушки: (а), (б) – 325 А/м, (в), (г) – 560 А/м для различных величин приложенных напряжений. На рисунках (б) и (г) представлены зависимости от механических напряжений для конкретных гармоник № 17 и 23. Частота поля 500 Гц. Представлены нормализованные амплитуды на величину 3-й гармоники (A/A3).
Видно, что амплитуды гармоник изменяются немонотонно с увеличением их номера, что характерно для наклонной петли гистерезиса с выходом на насыщение.
При увеличении амплитуды поля значительные изменения в спектре при воздействии механических напряжений возникают для более высоких гармоник. Однако при любых условиях не наблюдается изменений амплитуд гармоник при напряжениях меньше 250 МПа, т. е. когда форма петель гистерезиса не изменяется. При более высоких напряжениях можно добиться изменения амплитуд некоторых гармоник более 100 % (рис. 6б, г). Следует отметить, что такие зависимости амплитуд гармоник от механических напряжений наблюдаются даже для нормированных амплитуд, в частности, на амплитуду 3-ей гармоники. Для практических приложений это позволит избежать влияния различных конструкционных факторов.
Для образца № 2 (рис. 7) наблюдается резкое уменьшение амплитуд высших гармоник при воздействии небольших механических напряжений до 50 МПа. При дальнейшем увеличении механических напряжений эти изменения становятся незначительными. Это объясняется тем, что эффективное поле магнитной анизотропии увеличивается, что приводит к уменьшению магнитной проницаемости.
Рис. 7. Зависимость амплитуды гармоники № 11 от механических напряжений для микропровода состава Co66.6Fe4.28B11.51Si14.48Ni1.44Mo1.69 при намагничивании плоской катушкой, создающей величину поля в центре катушки 325 А/м, частота 500 Гц. Представлены нормализованные амплитуды на величину 3-й гармоники (A/A3).
ЗАКЛЮЧЕНИЕ
Миниатюрные магнитомягкие материалы с определенным типом магнитной нелинейности интересны для использования в качестве беспроводных датчиков с дистанционным опросом. Одними из таких материалов являются аморфные ферромагнитные микропровода, которые обладают эффектом магнитной бистабильности или высокой магнитной восприимчивостью. При воздействии переменных магнитных полей частотой f0 намагниченность изменяется таким образом, что индуцированный сигнал электрического напряжения содержит высшие гармоники nf0, амплитуды которых могут изменяться под воздействием механических напряжений. В аморфных ферромагнетиках это обусловлено определяющим вкладом магнитоупругих взаимодействий в магнитную анизотропию.
В данной работе были исследованы процессы перемагничивания при воздействии внешних растягивающих напряжений в аморфных микропроводах двух составов: Co71Fe5B11Si10Cr3 и Co66.6Fe4.28B11.51Si14.48Ni1.44Mo1.69, которые имели различный тип легкого намагничивания: осевой и циркулярный, соответственно.
Для первого состава механические напряжения, превышающие некоторый предел (порядка 350 МПа), приводят к трансформации магнитной анизотропии, что обусловлено зависимостью константы магнитострикции от напряжений. При этом наблюдается резкое изменение гармонического спектра.
В микропроводах второго состава с изначально наклонной петлей гистерезиса, внешние напряжения вызывают монотонное увеличение циркулярной анизотропии и угла наклона петли гистерезиса. В этом случае амплитуды высших гармоник претерпевают значительные изменения при воздействии относительно небольших напряжений (меньше 100 МПа).
Спектральные зависимости были получены при намагничивании микропровода и детектировании индукционного сигнала с помощью системы плоских катушек, что демонстрирует возможность дистанционных измерений. Однако в практических применениях расположение микропровода по отношению к плоскости катушки может быть другим, например, параллельным. Это потребует как изменения конфигурации системы катушек, так и улучшения соотношения сигнал/шум. Одним из решений может быть размещение прецизионного предусилителя сигнала непосредственно на печатной плате плоских катушек.
Исследования были поддержаны НИТУ МИСиС в рамках программы “Приоритет 2030” (проект K6–2022–043).
Авторы данной работы заявляют, что у них нет конфликта интересов.
Об авторах
С. А. Евстигнеева
НИТУ МИСиС; QLU, Российский квантовый центр
Автор, ответственный за переписку.
Email: svetlana_evstigneeva95@mail.ru
кафедра технологии материалов электроники
Россия, Ленинский пр-т, 4, Москва, 119049; Большой бульвар, 50, стр. 1, Москва, 121205О. Луценко
НИТУ МИСиС; QLU, Российский квантовый центр
Email: svetlana_evstigneeva95@mail.ru
кафедра технологии материалов электроники
Россия, Ленинский пр-т, 4, Москва, 119049; Большой бульвар, 50, стр. 1, Москва, 121205Т. Ю. Ганьжина
НИТУ МИСиС
Email: svetlana_evstigneeva95@mail.ru
кафедра технологии материалов электроники
Россия, Ленинский пр-т, 4, Москва, 119049В. В. Мирошкина
Санкт-Петербургский государственный электротехнический университет “ЛЭТИ”
Email: svetlana_evstigneeva95@mail.ru
Россия, ул. Проф. Попова, 5, Санкт-Петербург, 197022
Н. А. Юданов
НИТУ МИСиС
Email: svetlana_evstigneeva95@mail.ru
кафедра технологии материалов электроники
Россия, Ленинский пр-т, 4, Москва, 119049М. А. Немирович
Лаборатория интеллектуальных сенсорных систем, НИТУ МИСиС
Email: svetlana_evstigneeva95@mail.ru
кафедра технологии материалов электроники
Россия, Ленинский пр-т, 4, Москва, 119049Л. В. Панина
НИТУ МИСиС; Балтийский Федеральный Университет им. И. Канта
Email: svetlana_evstigneeva95@mail.ru
кафедра технологии материалов электроники
Россия, Ленинский пр-т, 4, Москва, 119049; ул. Александра Невского, 14, Калининград, 236041Список литературы
- Keat G. Ong, Maggie Paulose Craig A. Grime. A Wireless, Passive, Magnetically-soft Harmonic Sensor for Monitoring Sodium Hypochlorite Concentrations in Water // Sensors. 2003. V. 3. P. 11–18.
- Baglio S., Member S., Bulsara A.R., Andò B., La Malfa S., Marletta V., Trigona C., Longhini P., Kho A., In V., Neff J.D., Anderson G.W., Obra C.C., Meadows B.K., Palacios A. Exploiting Nonlinear Dynamics in Novel Measurement Strategies and Devices: From Theory to Experiments and Applications // IEEE Trans. Inst. Measurement. 2011. V. 60. No. 3. P. 667–695.
- Praslicka D., Blazek J., Smelko M., Hudak Jozef Cverha A., Mikita I., Varga R., Zhukov A. Possibilities of measuring stress and health monitoring in materials using contact-less sensor based on magnetic microwires // IEEE Trans. Magn. 2013. V. 49. P. 128–131.
- Churyukanova M., Kaloshkin S., Shuvaeva E., Stepashkin A., Zhdanova M., Aronin A., Aksenov O., Arakelov P., Zhukova V., Zhukov А. Non-contact method for stress monitoring based on stress dependence of magnetic properties of Fe-based microwires // J. Alloys Compounds. 2018. V. 748. P. 199–205.
- Zhukov A., Corte-Leon P., Gonzalez-Legarreta L., Ipatov M., Blanco J.M., Gonzalez A., Zhukova V. Advanced functional magnetic microwires for technological applications // J. Phys. D: Appl. Phys. 2022. V. 55. P. 253003.
- Kozejova D., Varga R. Bistable magnetic microwire for contactless sensor of intracranial pressure // J. Magn. Magn. Mater. 2023. V. 569. No. 170473.
- Hudák R., Varga R., Živčák J., Hudák J., Blažek J., Praslička D. Application of magnetic microwires in titanium implants–Conception of intelligent sensoric implant / Aspects of Computational Intelligence: Theory and Applications. Springer-Verlag, 2013. V. 2. P. 413–434.
- Hudak R., Polacek I., Klein P., Sabol R., Varga R., Zivcak J., Vazquez M. Nanocrystalline magnetic glass-coated microwires using the effect of superparamagnetism are usable as temperature sensors in biomedical applications // IEEE Trans. Magn. 2017. V. 53. P. 1–4.
- Sabol R., Varga R., Hudak J., Blazek J., Praslicka D., Vojtanik P., Badini G., Vazquez M. Stress dependence of the switching field in glass-coated microwires with positive magnetostriction // J. Magn. Magn. Mater. 2013. V. 325. P. 141–143.
- Sabol R., Rovnak M., Klein P., Vazquez M., Varga R. Mechanical Stress Dependence of the Switching Field in Amorphous Microwires // IEEE Trans. Magn. 2015. V. 51. P. 1–4.
- Vazquez M., Gomez-Polo C., Chen C.D.-X. Switching mechanism and domain structure of bistable amorphous wires // IEEE Trans. Magn. 1992 P. 3147–3149.
- Aragoneses P., Blanco J.M., Dominguez L., González J., Zhukov A., Vázquez M. The stress dependence of the switching field in glass-coated amorphous microwires // J. Phys. D Appl. Phys. 1998. V. 31. P. 3040–3045.
- Gleich B., Weizenecker J. Tomographic imaging using the nonlinear response of magnetic particles // Nature. 2005. V. 435. P. 1214–1217.
- Wu L.C., Zhang Y., Steinberg G., Qu H., Huang S., Cheng M., Bliss T., Du F., Rao J., Song G., Pisani L., Doyle T., Conolly S., Krishnan K., Grant G., Wintermark M.A. A Review of Magnetic Particle Imaging and Perspectives on Neuroimaging // Am. J. Neuroradiol. 2019. V. 40. P. 206–212.
- Chiriac H., Óvári T.A. Amorphous glass-covered magnetic wires: preparation, properties, applications // Prog. Mater. Sci. 1996. V. 40. P. 333–407.
- Zhukov A., Chichay K., Talaat A., Rodionova V., Blanco J.M., Ipatov M., Zhukova V. Manipulation of magnetic properties of glass-coated microwires by annealing // J. Magn. Magn. Mater. 2015. V. 383. P. 232–236.
- Zhukov A., Churyukanova M., Kaloshkin S., Sudarchikova V., Gudoshnikov S., Ipatov M., Talaat A., Blanco J.M., and Zhukova V. Magnetostriction of Co–Fe-based amorphous soft magnetic microwires // J. Electron. Mater. 2016. V. 45. P. 226–234.
- Nematov M.G., Baraban I., Yudanov N.A., Rodionova V., Qin F.X., Peng H.X., Panina L.V. Evolution of the magnetic anisotropy and magnetostriction in Co-based amorphous alloys microwires due to current annealing and stress-sensory applications // J. Alloys Compounds. 2020. V. 837. P. 155584.
- Hudak J., Blazek J., Cverha A., Gonda P., Varga R. Improved Sixtus–Tonks method for sensing the domain wall propagation direction // Sensors and Actuators A: Physical. 2009. V. 156(2). P. 292–295.
- Antonov A.S., Borisov V.T., Borisov O.V., Prokoshin A.F., Usov N.A. Residual quenching stresses in glass-coated amorphous ferromagnetic microwires. // J. Phys. D: Appl. Phys. 2000. V. 33. P. 1161–1168.
- Barandiarán J.M., Hernando A., Madurga V., Nielsen O.V., Vázquez M., Vázquez-López M. Temperature, stress, and structural-relaxation dependence of the magnetostriction in (Co0.94/BFe0.06)75/BSi15 B10 glasses // Phys. Rev. B. 1987. V. 35. P. 5066.
- Zhukova V., Blanco J.M., Rodionova V., Ipatov M., Zhukov A. Domain wall propagation in micrometric wires: limits of single domain wall regime // J. Appl. Phys. 2012. V. 111. P. 07E311.
- Panina L.V., Ipatov M., Zhukova V., Zhukov A. Domain wall propagation in Fe-rich amorphous microwires // Physica B. 2012. V. 407. P. 1442–1445.
- Hubert A., Schafer R. Magnetic Domains. Berlin: Springer-Verlag, 1998.
Дополнительные файлы










