Исследование быстрой переменности карликовой новой SS Cyg при разных уровнях блеска
- Авторы: Хрузина Т.С.1, Волошина И.Б.1, Метлов В.Г.1,2
-
Учреждения:
- Московский государственный университет им. М. В. Ломоносова, Государственный астрономический институт им. П. К. Штернберга (ГАИШ)
- Крымская астрономическая станция ГАИШ МГУ
- Выпуск: Том 101, № 2 (2024)
- Страницы: 111-136
- Раздел: СТАТЬИ
- URL: https://journals.rcsi.science/0004-6299/article/view/263965
- DOI: https://doi.org/10.31857/S0004629924020057
- EDN: https://elibrary.ru/KTBKTF
- ID: 263965
Цитировать
Полный текст
Аннотация
Выполнены наблюдения карликовой новой SS Cyg в период 2019–2021 гг. при разных значениях блеска (V ~ 10–12m) как на стадии падения потока излучения после максимума вспышки, так и в спокойном состоянии между вспышками в фильтрах Rc (~8650 наблюдений, 3 сета), и V (~50 000 точек, 22 сета). Значение орбитального периода системы в современную эпоху (Porb = 0.27408(2)d), использованное в данном исследовании, меньше на 0.4% по сравнению с тем значением, что было получено более четверти века назад (1983–1996 гг.). Временно́е разрешение между двумя последовательными измерениями составило 6–14 с в зависимости от используемой аппаратуры. Обширная база новых наблюдательных данных позволила провести количественный анализ наблюдений и сделать выводы относительно характеристик аккреционных структур в различные моменты вспышечного цикла системы. Анализ данных после учета орбитальной переменности и иных трендов, связанных с изменением потока излучения системы за ночь, показал присутствие циклических колебаний блеска, обычно 4–10 событий за орбитальный цикл — мерцания блеска или фликкеринг. Для большинства рядов наблюдений методом Лафлера-Кинмана определено такое значение периода колебаний, при котором свертка наблюдений с ним показывала одиночную волну. Полученные значения характерных времен фликкеринга и их амплитуд показывают зависимость от среднего уровня блеска системы: с ростом светимости обе эти величины уменьшались. Из соотношений размеров компонентов SS Cyg было показано, что источник фликкеринга расположен в районе взаимодействия газового потока с околодисковым гало: только эта область в системе SS Cyg с параметрами (q, i, Rd), определенными авторами ранее, может затмеваться при больших радиусах диска и хорошо видна во всех остальных орбитальных фазах системы.
Ключевые слова
Полный текст
1. Введение
Взрывная переменная SS Cyg является ярчайшей системой среди классических карликовых новых звезд (КН) — так называют взрывные переменные с орбитальными периодами порядка нескольких часов. Это маломассивные взаимодействующие двойные системы, состоящие из двух компонентов: звезды позднего спектрального класса К или М (как правило, главной последовательности), заполняющей свою полость Роша, вещество которой перетекает на соседнюю звезду через внутреннюю точку Лагранжа, и компактного объекта — белого карлика. Магнитное поле белого карлика в таких системах довольно слабое, не превышает 1–2 MГ (у SS Cyg — 1.9 МГ [1, 2]), поэтому движение вещества в системе определяется в основном гравитационными, а не магнитными силами: при своем движении к поверхности белого карлика аккрецирующее вещество, двигаясь по баллистической траектории, гравитационно захватывается белым карликом и образует аккреционный диск, гало и межкомпонентную оболочку. Карликовые новые подвержены иррегулярным вспышкам с амплитудой от 2m до 4.5m, которые повторяются c характерными временами от недели до нескольких месяцев. Длительность вспышки различна, она меняется от нескольких дней до нескольких недель. Наблюдать КН на небольших телескопах сложно: даже во время вспышки их абсолютная звездная величина слабее 3m, что в случае SS Cyg соответствует светимости 1034 эрг/с; в спокойном состоянии, т. е. в период между вспышками, абсолютная звездная величина обычно не превышает ~7.5m. Чем больше амплитуда вспышки, тем длиннее интервал между двумя последующими вспышками. Вспышки карликовых новых обычно связывают либо с нестабильностью красного карлика [3], либо с нестабильностью аккреционного диска [4, 5, 6, 7, 8].
На кривых блеска карликовых новых, как и в большинстве типов аккрецирующих компактных объектов [9], наблюдаются быстрые и иррегулярные флуктуации оптического блеска — фликкеринг (фликкер-шум, мерцания, апериодическое мерцание). Амплитуда фликкеринга часто бывает сравнима с амплитудой регулярной орбитальной переменности. Все эти аномалии связаны с наличием излучения от незвездных компонентов в суммарном излучении двойной системы.
Фликкеринг наблюдается у большинства катаклизмических переменных. В статье [10] проведен сравнительный анализ различных параметров фликкеринга для более 100 катаклизмических переменных, что представляет большой интерес для исследователей, занимающихся статистическими свойствами этого явления. Оценки характерного времени фликкеринга [11] дают сходные значения порядка десятков минут. Изучению фликкеринга были посвящены также работы [13, 12, 14]. В статье [15] дан обзор по исследованию фликкеринга у КН. В работах [16, 17] были исследованы характеристики индивидуальных вспышек.
Физическая природа фликкеринга до конца не изучена. В настоящий момент для его объяснения предложено несколько различных физических механизмов. Наиболее исследованными являются магнитогидродинамические процессы в области взаимодействия струи и диска и неустойчивости в процессах аккреции вещества в диске [18, 13]. Предполагается, что причиной его возникновения могут служить вспышки, носящие случайный характер. В работе [19] показано, что во время затмения белого карлика в КН фликкеринг практически исчезает, что подтверждает его связь с компактным объектом или диском вокруг него.
В предлагаемой работе изучаются характеристики фликкеринга в оптическом и ближнем инфракрасном излучении карликовой новой SS Cyg на ниспадающих ветвях кривой блеска в периоды после вспышек. В разделе 2 представлены краткие сведения о системе SS Cyg. В разделе 3 описаны наши наблюдения, полученные в 2019–2021 гг.; в разделах 4 и 5 приведены результаты определения орбитального периода в эпоху наших наблюдений и исследовано вспышечное поведение системы. В разделах 6 и 7 приведена схема поиска характерного времени пульсаций и представлены результаты такого поиска. Обсуждение полученных результатов дано в разделе 8. В заключении подведены итоги работы.
2. Краткие сведения о системе SS Cyg
Яркая (MV ~ 3–7m) карликовая новая SS Cyg была открыта в прошлом веке и является одной из наиболее хорошо изученных систем этого типа. Примерно раз в 50 дней [20] у SS Cyg происходят вспышки, во время которых блеск звезды возрастает от 12m до 8.5m. В спокойном состоянии система может находиться от 4 до 10 недель. В оптическом спектре SS Cyg в спокойной стадии преобладают широкие интенсивные линии аккреционного диска, эмиссионные линии водорода серии Бальмера и более слабые линии Не I. На этот типичный для взрывных переменных спектр налагаются абсорбционные линии красного компонента — звезды спектрального класса К5 V [21, 22]. Во время вспышки оптический спектр системы напоминает спектр горячей звезды спектрального класса А или В, но с более узкими бальмеровскими линиями, часто с эмиссионным компонентом в центре. Исследования SS Cyg в инфракрасном диапазоне спектра были проведены в работах [20, 23, 24]. В ракетных наблюдениях в спектре SS Cyg была обнаружена эмиссия в ультрафиолетовой области спектра [25]. SS Cyg является первой карликовой новой, у которой было обнаружено рентгеновское излучение [26]. Наиболее известные статистические исследования этой системы [27, 28, 29, 30] касались анализа частоты и амплитуды вспышек за период с 1896 по 1975 г. [27], статистических исследований длительности вспышек, интервалов затишья и времени цикла по 705 вспышкам, произошедшим за 80 лет [29], которые показали обратную зависимость между временем цикла и яркостью системы. В работе [28] статистический анализ вспышек звезды позволил получить среднюю ширину вспышек, показал избыток очень узких вспышек, корреляцию ширины вспышек с их визуальной величиной. Подробные расчеты модели предельного цикла для вспышек SS Cyg [30] на основе наблюдений с 1896 по 1975 г. показали, что на относительную частоту длинных и коротких вспышек косвенно могут влиять изменения вязкости аккреционного диска и скорости массопереноса.
Первое систематическое исследование лучевых скоростей SS Cyg в период минимума блеска было выполнено Джоем [31]. Он показал, что SS Cyg — спектральная двойная система с орбитальным периодом P ≈ 6.6h. Полуамплитуды кривой лучевых скоростей этой системы, полученные в разные эпохи, заметно отличаются. Детальный анализ спектральных наблюдений при разных уровнях блеска системы приведен в работах [32, 33]. Фотометрические наблюдения Хани и др. [34] совместно со своими спектральными данными позволило Кипленгеру [35] оценить наклон орбиты SS Cyg как i ~ 35–40°. Отсутствие затмений в этой системе и низкая амплитуда орбитальной модуляции как в оптической области спектра (< 0.2m) [36, 37, 38], так и в ближнем ультрафиолете (UV < 0.4m) [39] дали ограничение на наклон орбиты i < 50°.
Несмотря на почти вековую историю наблюдений SS Cyg, на временно́й шкале орбитального периода фотометрические наблюдения были проведены лишь несколькими авторами. Первые исследования, выполненные Грантом [40], а также наблюдения Цуккермана [41] и Хани и др. [34] не выявили наличие у нее какой-либо переменности, связанной с орбитальным движением, в то время как длительные фотометрические наблюдения системы в спокойном состоянии, выполненные Волошиной и др. [37, 42], показали присутствие у SS Сyg модуляции блеска с орбитальным периодом и амплитудой до 0.2m. Присутствие орбитальных модуляций блеска у SS Cyg позднее было подтверждено Брухом [38]. Наблюдаемые разногласия спектроскопических и фотометрических результатов большинство исследователей связывают с тем, что эти наблюдения проводились в разных фазах активности системы.
В нашей работе [43] выполнен анализ UBV наблюдений SS Cyg в спокойном состоянии, данные были получены в 1983–1996 гг. Показано, что орбитальную переменность в наблюдениях искажают быстрые флуктуации блеска длительностью в несколько минут. Средние кривые блеска SS Cyg представляют собой двойную волну за орбитальный период с максимумами разной высоты и минимумами, расстояние между которыми составляет половину периода. Амплитуда орбитальной переменности, оцененная по средним кривым блеска, достигает ~0.14m в фильтрах V и B и ~0.13m в фильтре U. Из решения обратной задачи определения параметров системы из анализа ее сpедних фотометрических кpивых блеска в фильтрах U, B, V в рамках классической модели с учетом спектральной информации определены массы и радиусы компонентов системы. Классическая модель полуразделенной двойной системы предполагает, что горячее пятно, возникающее в результате взаимодействия газового потока с аккреционным диском, расположено на внешней границе диска. В случае сложной модели диска с толстым внешним краем — на его боковой поверхности (подробнее см. [44]). Показано, что масса белого карлика в SS Cyg в полтора раза больше массы красного карлика, q = Mwd/Mrd ~ 1.45, Mrd ~ 0.46M, Mwd ~ 0.66M. Наклонение орбиты системы i ; 51°–54°. Параметры SS Cyg [45], полученные по кривым лучевых скоростей, показывают в пределах ошибок близкие значения к тем, что были приведены в работе [43]. Белый карлик окружен геометрически толстым аккреционным диском радиусом Rd ~ (0.42–0.64)ξ, где ξ — расстояние между центром масс БК и внутренней точкой Лагранжа L1. В единицах расстояния между центрами масс компонентов a это составляет Rd ~ (0.23–0.35)a = (2.8–4.6)×1010 см. Вклад излучения аккреционного диска в суммарный поток от системы в спокойном состоянии достигает 47–49% от полного потока в фильтрах V и U и около 54% в фильтре B. Вклад горячего пятна в суммарный поток в оптическом диапазоне не превышает 3%.
3. Наблюдения
Наблюдения карликовой новой SS Cyg проводились в Крымской обсерватории ГАИШ: в 2019 г. (в июне и октябре), в 2020 г. (в мае и сентябре-ноябре) и в 2021 г. (в январе и сентябре). Наблюдения SS Cyg были выполнены в фильтрах V и Rc при разных значениях блеска (V ~ 10–12m) как на стадии падения блеска после максимума вспышки, так и в спокойном состоянии между вспышками. Использовались два телескопа Крымской астрономической станции МГУ: Цейсс-2 (60 см) и менисковый телескоп Максутова АЗТ-5 (50 см) с разными ПЗС матрицами. Поскольку максимальная чувствительность всех матриц приходится на красную область спектра, для наблюдений были выбраны фильтры V и Rc. Характеристики используемых матриц приведены в табл. 1.
Таблица 1. Аппаратура, использованная для наблюдений SS Cyg
№ | Тип матрицы | Размер поля матрицы | Масштаб на 1 пиксель |
1 | Apogee Aspen Sensor E2V42-40 | 13′×13′ | 0.38″ |
2 | FLIPL4022 | 7′×7′ | 0.20″ |
3 | FLI PL16803 | 17′×17′ | 0.25″ |
4 | Apogee Aspen U8300 | 22′×30′ | 0.54″ |
Точность полученных наблюдений зависит от погодных условий и составляет в среднем 0.01m–0.03m для наблюдений на Цейсс-2 и 0.02m–0.035m для наблюдений на АЗТ-5, т.е. она была примерно одинакова для обоих фильтров. Временно́й интервал между двумя последовательными измерениями выбирался в зависимости от того, на каком телескопе и с каким детектором проводились наблюдения. Для телескопа АЗТ-5 он составлял ~9 с, но различался для наблюдений на телескопе Цейсс-2 (так как во время наших наблюдений по независящим от нас причинам на телескопе использовались разные матрицы): ~6.7 с в июне 2019 и сентябре 2021 г., 8 с в ноябре 2019 г. и около 14 с в октябре 2020 г. Длительность индивидуальных pядов наблюдений (сетов) в течение ночи в основном сравнима с орбитальным периодом системы и в большинстве случаев составляет 6–7 часов. Всего за период с 2019 по 2021 гг. было получено 8647 наблюдений в фильтре Rc (3 сета) и 49 639 (22 сета) в фильтре V. Таким образом была создана база новых наблюдательных данных, относящихся к различным стадиям вспышечного цикла этой карликовой новой, что позволило нам провести количественный анализ наблюдений и сделать выводы относительно характеристик аккреционной структуры системы на различных этапах ее вспышечного цикла.
Наблюдения проводились по стандартной методике дифференциальных наблюдений. В качестве звезды сpавнения для калибровки V, Rc-потоков SS Cyg использовалась звезда BD+42 4186 (GSC 03196–00785), блеск которой составляет: V = 9.80m, B – V = 0.38m, U – B = 0.27m, Rc = 9.60m. Поскольку исследуемая звезда и звезда сравнения находятся очень близко друг к другу, поправка за разность воздушных масс не вводилась.
Дневник наблюдений приведен в табл. 2. Данные, полученные на телескопе АЗТ-5, в фильтре V были приведены к инструментальной системе телескопа Цейсс-2 согласно формуле, определенной нами ранее [46, 47, 48]:
(1)
где наблюдения АЗТ-5 обозначены V(50), а данные Цейсс-2 соответственно V(60). Описание полученных наблюдений в зависимости от сезона приведены в последующих разделах вместе с результатами их обработки.
Таблица 2. Дневник наблюдений SS Cyg
N | Дата | JD 245 0000+ | Фильтр, телескоп, аппаратура | φ1–φ2 | n | |
1 | 20.06.2019 | 8655.303–.542 | Rc, Цейсс-2, №1 | 0.479–1.376 | 3076 | 9.665 |
2 | 21.06.2019 | 8656.308–.498 | Rc, Цейсс-2, №1 | 0.247–0.958 | 2370 | 9.983 |
3 | 23.06.2019 | 8658.306–.557 | Rc, Цейсс-2, №1 | 0.739–1.681 | 3201 | 10.276 |
4 | 25.06.2019 | 8660.341–.541 | V, Цейсс-2, №1 | 0.372–1.122 | 2417 | 10.849 |
5 | 26.06.2019 | 8661.329–.543 | V, Цейсс-2, №1 | 0.077–0.878 | 2744 | 11.179 |
6 | 27.06.2019 | 8662.342–.537 | V, Цейсс-2, №1 | 0.874–1.609 | 2517 | 11.359 |
7 | 08.11.2019 | 8796.193–.347 | V, Цейсс-2, №2 | 0.855–1.430 | 3331 | 10.954 |
8 | 10.11.2019 | 8798.215–.456 | V, Цейсс-2, №2 | 0.436–1.341 | 2237 | 11.528 |
9 | 12.11.2019 | 8800.288–.457 | V, Цейсс-2, №2 | 0.212–0.843 | 1506 | 11.692 |
10 | 18.05.2020 | 8988.452–.552 | V, АЗТ-5, №4 | 0.150–0.518 | 843 | 9.795 |
11 | 23.05.2020 | 8993.430–.524 | V, АЗТ-5, №4 | 0.315–0.657 | 914 | 10.594 |
12 | 31.05.2020 | 9001.292–.423 | V, АЗТ-5, №4 | 0.001–0.478 | 934 | 11.355 |
13 | 01.09.2020 | 9094.232–.508 | V, AЗТ-5, №4 | 0.542–1.580 | 2066 | 10.361 |
14 | 02.09.2020 | 9095.236–.514 | V, АЗТ-5, №4 | 0.347–1.389 | 2204 | 10.594 |
15 | 02.10.2020 | 9125.293–.458 | V, AЗТ-5, №4 | 0.068–0.686 | 1812 | 10.402 |
16 | 27.10.2020 | 9150.389–.507 | V, Цейсс-2, №2 | 0.185–0.626 | 714 | 10.600 |
17 | 11.11.2020 | 9165.134–.302 | V, АЗТ-5, №4 | 0.484–1.113 | 1540 | 11.113 |
18 | 19.11.2020 | 9173.182–.462 | V, AЗТ-5, №4 | 0.151–0.174 | 2850 | 11.180 |
19 | 02.01.2021 | 9217.237–.269 | V, AЗТ-5, №4 | 0.891–1.008 | 382 | 9.045 |
20 | 06.09.2021 | 9464.289–.557 | V, Цейсс-2, №3 | 0.276–1.254 | 3354 | 11.298 |
21 | 07.09.2021 | 9465.255–.589 | V, Цейсс-2, №3 | 0.799–2.018 | 4369 | 10.937 |
22 | 20.10.2021 | 9508.211–.474 | V, Цейсс-2, №4 | 0.530–1.489 | 3351 | 10.920 |
23 | 21.10.2021 | 9509.179–.445 | V, Цейсс-2, №4 | 0.062–1.033 | 3404 | 10.937 |
24 | 22.10.2021 | 9510.202–.408 | V, Цейсс-2, №4 | 0.793–1.545 | 2661 | 11.065 |
25 | 26.10.2021 | 9514.221–.491 | V, Цейсс-2, №4 | 0.455–1.442 | 3489 | 10.925 |
Примечание. Приведены: номер сета N; дата наблюдения; юлианская дата начала и конца сета; аппаратура наблюдения, номер (№) типа используемой аппаратуры соответствует данным табл. 1; φ1,φ2 — начальная и конечная орбитальные фазы наблюдений согласно эфемеридам (2); n — количество наблюдений в сете; — средний уровень блеска в инструментальной системе телескопа Цейсс-2.
4. Орбитальная переменность
Для удаления орбитальной переменности из наблюдений мы провели поиск орбитального периода SS Cyg по наблюдениям 2019–2021 гг.
С момента определения эфемерид SS Cyg в 1983–1996 гг.,
где Min I соответствует верхнему соединению белого карлика (заметим, что момент минимума, приведенный в работе [42], соответствует нижнему соединению белого карлика), прошло более 25 лет. Поэтому предварительно мы уточнили эфемериды системы.
Поскольку средний уровень блеска системы меняется со временем (до 2m по нашим наблюдениям, см. табл. 2), на первом этапе для каждого из 22 сетов наблюдений в фильтре V и 3 сетов в фильтре Rc мы определили средний уровень блеска. Его значение приведено в 7-м столбце табл. 2.
Как уже отмечалось в предыдущем разделе, наблюдения в фильтре V были получены на двух разных телескопах (Цейсс-2 и AЗТ-5). Поэтому, чтобы наша база данных была однородной, все измерения, полученные на телескопе АЗТ-5, были переведены в инструментальную систему телескопа Цейсс-2. Для этого использовалось выражение (1), неоднократно проверенное по наблюдениям других систем [46, 47, 48].
Далее были найдены отклонения блеска в каждом сете от полученного за ночь среднего уровня , Δ = m – , где m — блеск системы в звездных величинах в фильтрах Rc или V. Для полученных отклонений Δ, объединенных в единый файл (для каждого фильтра), был выполнен поиск орбитального периода по методу Лафлера-Кинмана. Программа для поиска периода была предоставлена В. П. Горанским.
На рис. 1 приведены спектры мощности, полученные для двух массивов наблюдений, вверху — по наблюдениям в фильтре Rc, внизу — в фильтре V соответственно. Поиск орбитального периода выполнялся в диапазоне частот 3.45–4.0 сут–1, что соответствует пробным периодам 0.25–0.29d, сдвиг по фазе составил 0.0005.
Рис. 1. Периодограммы наблюдений в фильтре Rc (верхняя панель) и V (нижняя панель). Стрелкой показана частота ранее определенного орбитального периода (P = 0.2751302d), ν = 3.6346 сут–1 [42]. F — параметр в методе Лафлер-Кинмана, аналогичный мощности спектра Фурье.
На обеих приведенных периодограммах присутствует общий пик на частотах νR = 3.6484 и νV = 3.6488 сут–1 (соответствующие значения периодов составляют PR = 0.274097d и PV = 0.274066d). Это на ~0.4% меньше значения, полученного в работе [42]. Различие в значениях периодов составляет ~0.01%, поэтому в дальнейшем для расчетов использовалось среднее значение
(2)
На рис. 2 приведены кривые отклонений блеска SS Cyg (Δ = mi – ) в фильтрах Rc (вверху) и V (внизу) от среднего за ночь уровня, свернутые с этими эфемеридами. Cредние кривые отклонений ΔRc и ΔV с шагом 0.01 по фазе орбитального периода, построенные по соответствующим объединенным данным, приведены в табл. 3. В дальнейшем они будут использованы для учета орбитальной переменности (т.е. ее удаления из наблюдений в данную конкретную ночь — сете).
Рис. 2. Свертка отклонений блеска SS Cyg от среднего значения за ночь ΔRc и ΔV в наблюдательных сетах с эфемеридами (2) в фильтрах Rc (верхняя панель) (JD 245 8655 — красные, JD 245 8656 — синие, JD 245 8658 — зеленые точки) и V (нижняя панель), здесь цветовые обозначения не использовались из-за большого количества наблюдений, n ~ 50 000). Черная кривая (на верхнем рисунке) и желтая (на нижнем) представляют собой средние кривые отклонений, построенные по соответствующим объединенным данным с шагом 0.01 по орбитальной фазе (табл. 3).
Таблица 3. Средние кривые отклонений блеска SS Cyg от среднего за ночь в фильтрах Rc и V (рис. 2)
φ | ΔRc | σ | n | φ | ΔV | σ | n |
0.00 | 0.0562 | 0.0043 | 72 | 0.00 | 0.1120 | 0.0046 | 544 |
0.01 | 0.0572 | 0.0040 | 71 | 0.01 | 0.1093 | 0.0049 | 544 |
0.02 | 0.0570 | 0.0032 | 70 | 0.02 | 0.1019 | 0.0057 | 508 |
0.03 | 0.0567 | 0.0025 | 72 | 0.03 | 0.0946 | 0.0055 | 508 |
0.04 | 0.0559 | 0.0041 | 71 | 0.04 | 0.0880 | 0.0052 | 480 |
0.05 | 0.0551 | 0.0058 | 71 | 0.05 | 0.0814 | 0.0057 | 481 |
0.06 | 0.0550 | 0.0046 | 64 | 0.06 | 0.0733 | 0.0055 | 502 |
0.07 | 0.0549 | 0.0035 | 65 | 0.07 | 0.0653 | 0.0054 | 503 |
0.08 | 0.0526 | 0.0040 | 71 | 0.08 | 0.0538 | 0.0057 | 521 |
0.09 | 0.0498 | 0.0045 | 71 | 0.09 | 0.0423 | 0.0056 | 522 |
0.10 | 0.0427 | 0.0039 | 70 | 0.10 | 0.0345 | 0.0058 | 531 |
0.11 | 0.0356 | 0.0033 | 72 | 0.11 | 0.0267 | 0.0060 | 531 |
0.12 | 0.0300 | 0.0036 | 71 | 0.12 | 0.0188 | 0.0054 | 518 |
0.13 | 0.0243 | 0.0038 | 71 | 0.13 | 0.0109 | 0.0047 | 519 |
0.14 | 0.0128 | 0.0037 | 71 | 0.14 | –0.0023 | 0.0044 | 520 |
0.15 | 0.0012 | 0.0036 | 71 | 0.15 | –0.0155 | 0.0042 | 520 |
0.16 | –0.0073 | 0.0032 | 65 | 0.16 | –0.0276 | 0.0053 | 530 |
0.17 | –0.0157 | 0.0028 | 69 | 0.17 | –0.0398 | 0.0065 | 531 |
0.18 | –0.0205 | 0.0021 | 71 | 0.18 | –0.0494 | 0.0063 | 532 |
0.19 | –0.0252 | 0.0014 | 71 | 0.19 | –0.0590 | 0.0062 | 532 |
0.20 | –0.0299 | 0.0017 | 67 | 0.20 | –0.0646 | 0.0061 | 531 |
0.21 | –0.0346 | 0.0020 | 68 | 0.21 | –0.0701 | 0.0060 | 530 |
0.22 | –0.0354 | 0.0017 | 70 | 0.22 | –0.0713 | 0.0051 | 521 |
0.23 | –0.0362 | 0.0014 | 72 | 0.23 | –0.0725 | 0.0041 | 521 |
0.24 | –0.0370 | 0.0017 | 71 | 0.24 | –0.0754 | 0.0044 | 426 |
0.25 | –0.0377 | 0.0019 | 72 | 0.25 | –0.0784 | 0.0047 | 427 |
0.26 | –0.0370 | 0.0020 | 70 | 0.26 | –0.0802 | 0.0051 | 416 |
0.27 | –0.0362 | 0.0021 | 71 | 0.27 | –0.0820 | 0.0055 | 417 |
0.28 | –0.0354 | 0.0026 | 71 | 0.26 | –0.0831 | 0.0061 | 412 |
0.29 | –0.0346 | 0.0031 | 71 | 0.29 | –0.0842 | 0.0067 | 412 |
0.30 | –0.0326 | 0.0030 | 105 | 0.30 | –0.0850 | 0.0060 | 414 |
0.31 | –0.0305 | 0.0029 | 105 | 0.31 | –0.0858 | 0.0053 | 415 |
0.32 | –0.0289 | 0.0023 | 106 | 0.32 | –0.0858 | 0.0059 | 457 |
0.33 | –0.0273 | 0.0018 | 106 | 0.33 | –0.0858 | 0.0066 | 457 |
0.34 | –0.0228 | 0.0017 | 107 | 0.34 | –0.0858 | 0.0068 | 459 |
0.35 | –0.0182 | 0.0015 | 106 | 0.35 | –0.0858 | 0.0069 | 460 |
0.36 | –0.0143 | 0.0018 | 105 | 0.36 | –0.0825 | 0.0061 | 462 |
0.37 | –0.0103 | 0.0020 | 105 | 0.37 | –0.0792 | 0.0053 | 463 |
0.38 | –0.0056 | 0.0021 | 106 | 0.38 | –0.0767 | 0.0049 | 477 |
0.39 | –0.0009 | 0.0022 | 107 | 0.39 | –0.0742 | 0.0044 | 477 |
0.40 | 0.0047 | 0.0024 | 106 | 0.40 | –0.0659 | 0.0038 | 422 |
0.41 | 0.0103 | 0.0026 | 107 | 0.41 | –0.0576 | 0.0031 | 423 |
0.42 | 0.0171 | 0.0030 | 106 | 0.42 | –0.0503 | 0.0044 | 424 |
0.43 | 0.0238 | 0.0033 | 106 | 0.43 | –0.0430 | 0.0057 | 425 |
0.44 | 0.0322 | 0.0034 | 102 | 0.44 | –0.0342 | 0.0073 | 434 |
0.45 | 0.0405 | 0.0035 | 102 | 0.45 | –0.0255 | 0.0089 | 434 |
0.46 | 0.0505 | 0.0030 | 106 | 0.46 | –0.0133 | 0.0084 | 434 |
0.47 | 0.0605 | 0.0024 | 106 | 0.47 | –0.0012 | 0.0079 | 435 |
0.48 | 0.0703 | 0.0031 | 105 | 0.48 | 0.0121 | 0.0082 | 432 |
0.49 | 0.0801 | 0.0039 | 106 | 0.49 | 0.0254 | 0.0084 | 432 |
0.50 | 0.0715 | 0.0044 | 63 | 0.50 | 0.0372 | 0.0086 | 433 |
0.51 | 0.0629 | 0.0050 | 63 | 0.51 | 0.0490 | 0.0089 | 433 |
φ | ΔRc | σ | n | φ | ΔV | σ | n |
0.52 | 0.0403 | 0.0041 | 35 | 0.52 | 0.0687 | 0.0086 | 430 |
0.53 | 0.0337 | 0.0033 | 36 | 0.53 | 0.0883 | 0.0083 | 430 |
0.54 | 0.0231 | 0.0034 | 35 | 0.54 | 0.0897 | 0.0073 | 436 |
0.55 | 0.0125 | 0.0036 | 36 | 0.55 | 0.0911 | 0.0063 | 437 |
0.56 | 0.0075 | 0.0034 | 35 | 0.56 | 0.0794 | 0.0054 | 438 |
0.57 | 0.0025 | 0.0033 | 36 | 0.57 | 0.0677 | 0.0045 | 438 |
0.58 | –0.0030 | 0.0038 | 45 | 0.58 | 0.0570 | 0.0045 | 414 |
0.59 | –0.0085 | 0.0043 | 46 | 0.59 | 0.0464 | 0.0045 | 414 |
0.60 | –0.0109 | 0.0033 | 71 | 0.60 | 0.0300 | 0.0052 | 424 |
0.61 | –0.0133 | 0.0023 | 71 | 0.61 | 0.0135 | 0.0060 | 424 |
0.62 | –0.0181 | 0.0024 | 79 | 0.62 | –0.0034 | 0.0060 | 497 |
0.63 | –0.0228 | 0.0024 | 80 | 0.63 | –0.0142 | 0.0059 | 498 |
0.64 | –0.0243 | 0.0027 | 105 | 0.64 | –0.0255 | 0.0058 | 505 |
0.65 | –0.0257 | 0.0030 | 106 | 0.65 | –0.0368 | 0.0057 | 505 |
0.66 | –0.0282 | 0.0029 | 106 | 0.66 | –0.0532 | 0.0061 | 505 |
0.67 | –0.0306 | 0.0027 | 106 | 0.67 | –0.0695 | 0.0065 | 506 |
0.68 | –0.0318 | 0.0025 | 106 | 0.68 | –0.0785 | 0.0052 | 557 |
0.69 | –0.0330 | 0.0022 | 106 | 0.69 | –0.0874 | 0.0040 | 558 |
0.70 | –0.0346 | 0.0019 | 105 | 0.70 | –0.0901 | 0.0045 | 552 |
0.71 | –0.0361 | 0.0016 | 106 | 0.71 | –0.0927 | 0.0051 | 553 |
0.72 | –0.0369 | 0.0017 | 106 | 0.72 | –0.0925 | 0.0052 | 550 |
0.73 | –0.0377 | 0.0018 | 105 | 0.73 | –0.0923 | 0.0053 | 550 |
0.74 | –0.0380 | 0.0017 | 106 | 0.74 | –0.0865 | 0.0041 | 523 |
0.75 | –0.0383 | 0.0016 | 106 | 0.75 | –0.0808 | 0.0029 | 524 |
0.76 | –0.0387 | 0.0021 | 105 | 0.76 | –0.0673 | 0.0036 | 531 |
0.77 | –0.0391 | 0.0026 | 106 | 0.77 | –0.0538 | 0.0043 | 532 |
0.78 | –0.0394 | 0.0033 | 106 | 0.78 | –0.0424 | 0.0046 | 497 |
0.79 | –0.0396 | 0.0039 | 106 | 0.79 | –0.0309 | 0.0049 | 498 |
0.80 | –0.0383 | 0.0036 | 107 | 0.80 | –0.0212 | 0.0049 | 492 |
0.81 | –0.0369 | 0.0033 | 106 | 0.81 | –0.0114 | 0.0049 | 493 |
0.82 | –0.0356 | 0.0039 | 106 | 0.82 | –0.0015 | 0.0057 | 523 |
0.83 | –0.0343 | 0.0044 | 106 | 0.83 | 0.0084 | 0.0065 | 523 |
0.84 | –0.0298 | 0.0045 | 106 | 0.84 | 0.0177 | 0.0060 | 524 |
0.85 | –0.0252 | 0.0047 | 106 | 0.85 | 0.0270 | 0.0056 | 524 |
0.86 | –0.0166 | 0.0041 | 90 | 0.86 | 0.0363 | 0.0053 | 519 |
0.87 | –0.0080 | 0.0034 | 91 | 0.87 | 0.0456 | 0.0049 | 519 |
0.88 | 0.0046 | 0.0033 | 105 | 0.88 | 0.0536 | 0.0044 | 516 |
0.89 | 0.0172 | 0.0031 | 106 | 0.89 | 0.0617 | 0.0038 | 517 |
0.90 | 0.0252 | 0.0027 | 103 | 0.90 | 0.0691 | 0.0039 | 544 |
0.91 | 0.0331 | 0.0022 | 104 | 0.91 | 0.0765 | 0.0040 | 544 |
0.92 | 0.0397 | 0.0020 | 106 | 0.92 | 0.0828 | 0.0053 | 547 |
0.93 | 0.0462 | 0.0017 | 106 | 0.93 | 0.0892 | 0.0066 | 547 |
0.94 | 0.0484 | 0.0019 | 107 | 0.94 | 0.0959 | 0.0056 | 505 |
0.95 | 0.0505 | 0.0021 | 107 | 0.95 | 0.1026 | 0.0046 | 506 |
0.96 | 0.0527 | 0.0030 | 91 | 0.96 | 0.1060 | 0.0042 | 456 |
0.97 | 0.0548 | 0.0039 | 92 | 0.97 | 0.1095 | 0.0039 | 456 |
0.98 | 0.0550 | 0.0043 | 83 | 0.98 | 0.1122 | 0.0041 | 506 |
0.99 | 0.0552 | 0.0046 | 83 | 0.99 | 0.1148 | 0.0043 | 507 |
Примечание. φ — орбитальная фаза средней точки; ΔRc и ΔV — отклонение блеска системы от среднего за ночь уровня в звездных величинах, усредненное по n наблюдениям, с дисперсией σ.
5. Долговременная переменность системы
На рис. 3 представлено распределение наших наблюдений по времени. На рис. 3а показаны наблюдения, полученные в фильтре Rc, а на рис. 3б — в фильтре V. Отчетливо выделяются наблюдения во время вспышек, когда блеск системы достигает ~9m, при этом в минимуме блеск не превышает 11.5–12m. Полная амплитуда орбитальной переменности составляет 1.4–1.7m в состоянии покоя, и падает до ~0.5m во время вспышки. Три сета в фильтре Rc показывают плавное падение среднего уровня, которое сопровождается ростом амплитуды переменности. На рис. 3в для сравнения приведены наблюдения SS Cyg, полученные на Space Telescope (MAST) c временны́м разрешением 2 мин [49, 50]. Эти данные были получены в период1 JD 8711–8763 и попали в интервал между нашими наблюдениями (рис. 3б). Они представлены нами для демонстрации вспышечных кривых SS Cyg, полученных с более высокой точностью, чем данные AAVSO.
Рис. 3. Распределение наблюдений SS Cyg по времени: (а) в фильтре Rc; (б) в фильтре V, цветной прямоугольник показывает область наблюдения системы обсерваторией TESS, представленные на рисунке (в), потоки излучения здесь даны в произвольных единицах.
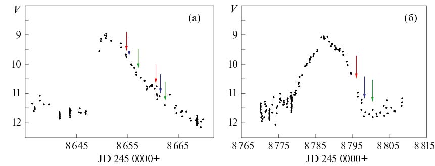
Июньские наблюдения 2019 г., представленные тремя сетами в фильтре Rc (рис. 3a) и тремя сетами в V (рис. 3б) попали на ниспадающую ветвь кривой блеска после максимума вспышки в системе. На рис. 4 показаны вспышечные кривые блеска SS Cyg по данным AAVSO в фильтре V, слева — вспышка в июне 2019 г., справа — в ноябре 2019 г. Стрелками на кривых указаны моменты наших наблюдений. Наблюдения в фильтре Rc в июньской вспышке здесь не приведены, в целом, они повторяют ход V-наблюдений, но ярче на 0.2–0.5m. На рис. 5 представлены соответствующие кривые блеска системы, свернутые с эфемеридами (2).
Рис. 4. Вспышечные V-кривые блеска карликовой новой SS Cyg по данным AAVSO в июне 2019 г. (a) и ноябре 2019 г. (б). Стрелками отмечены моменты наших наблюдений.
Рис. 5. Наблюдаемые кривые блеска SS Cyg, свернутые с эфемеридами (2) в июньском (а) и ноябрьском (б) сезонах 2019 г. Цифрами возле кривых указаны номера сетов согласно табл. 2: 1 — 20.06.2019 (JD 8655), 2 — 21.06.2019 (JD 8656), 3 — 23.06.2019 (JD 8658), 4 — 25.06.2019 (JD 8660), 5 — 26.06.2019 (JD 8661), 6 — 27.06.2019 (JD 8662), 7 — 08.11.2019 (JD 8796), 8 — 10.11.2019 (JD 8798), 9 — 12.11.2019 (JD 8800).
Рентгеновские вспышки в период 2020–2021 гг. в карликовой новой SS Cyg были зафиксированы с 27 апреля по 6 мая 2020 г. [51] и затем на следующий год в апреле 2021 г. [52]. К сожалению, плохие погодные условия в Крыму в апреле не позволили начать фотометрические наблюдения сразу же после сообщения о вспышке в системе. Они были выполнены несколько позже, 18, 23 и 31 мая 2020 г. (рис. 6) во время последующей оптической вспышки SS Cyg.
Рис. 6. Вспышечные кривые блеска карликовой новой SS Cyg по данным AAVSO в мае 2020 г. (a). Стрелками отмечены моменты наших наблюдений. Штриховой линией со стрелкой показан момент майской рентгеновской вспышки, наблюдавшейся в системе с 27 апреля по 6 мая 2020 г. (JD 8967– 8976). Справа (б) — кривые блеска SS Cyg в мае 2020 г., свернутые с эфемеридами (2). Цифрами возле кривых указаны номера сетов согласно табл. 2: 10 — 18.05.2020 (JD 8988), 11 — 23.05.2020 (JD 8993), 12 — 31.05.2020 (JD 9001).
Наблюдения SS Cyg были продолжены осенью 2020 г. и в 2021 г. Кривые блеска системы по данным AAVSO показаны на рис. 7, 8. Лишь один из сетов наших наблюдений (02.01.2021, JD 9217), весьма короткий по времени, попадает в верхнюю часть вспышки (рис. 7а). Во всех остальных сетах блеск системы V ~ 10.4–11m.
Рис. 7. Вспышечные кривые блеска SS Cyg по данным AAVSO в сентябре-ноябре 2020 г. (a). Стрелками отмечены моменты наших наблюдений. На нижней панели (б) приведены кривые блеска системы в этот период времени, свернутые с эфемеридами (2). Цифрами возле кривых указаны номера сетов согласно табл. 2: 13 — 01.09.2020 (JD 9094), 14 — 02.09.2020 (JD 9095), 15 — 02.10.2020 (JD 9125), 16 — 27.10.2020 (JD 9150), 17 — 11.11.2020 (JD 9165), 18 — 19.11.2020 (JD 9173), 19 — 02.01.2021 (JD 9217).
Рис. 8. Вспышечные кривые блеска SS Cyg по данным AAVSO в сентябре-октябре 2021 г. (вверху). Стрелками отмечены моменты наших наблюдений. Внизу — кривые блеска системы в этот период времени, свернутые с эфемеридами (2). Цифрами возле кривых указаны номера сетов согласно табл. 2: 20 — 06.09.2021 (JD 9464), 21 — 07.09.2021 (JD 9465), 22 — 20.10.2021 (JD 9508), 23 — 21.10.2021 (JD 9509), 24 — 22.10.2021 (JD 9510), 25 — 26.10.2021 (JD 9514).
Все наблюдения осени 2021 г. попали на стадию между вспышками, в целом V ~ 11.0 ± 0.2m. Однако амплитуды фликкеринга в каждом сете значительно превышают те, что наблюдались в предыдущие эпохи (рис. 7б). На свертках наблюдений с орбитальным периодом (рис. 5a, б, 6б, 7б и 8б) хорошо видны флуктуации блеска разной амплитуды с характерными временами, в разы меньше орбитального периода. Причем рост блеска даже на ~0.1m сопровождается как уменьшением амплитуды флуктуаций в целом, так и уменьшением характерного времени фликкеринга. Следующий раздел посвящен проверке справедливости этого утверждения (наблюдения) для каждого из полученных нами рядов наблюдений.
6. Схема поиска характерного времени фликкеринга
Поиск характерного времени фликкеринга проводился отдельно для каждого сета, поскольку предварительный анализ наблюдений показывает его зависимость от уровня блеска системы. Чтобы определить характерное время фликкеринга, нужно максимально полно очистить кривую блеска от орбитальной модуляции, суточных трендов и пр. В качестве первого этапа из наблюдений была удалена орбитальная переменность следующим образом (в качестве примера мы использовали наблюдения, полученные JD 8655 в фильтре Rc):
- Сначала был вычислен средний уровень наблюдений в исследуемом сете , где m— звездная величина наблюдения в фильтре Rcили V соответственно. Значения приведены в 7-м столбце табл. 2.
- Затем из каждого наблюдения сета m(t) вычиталось значение для данного сета, в результате было получено распределение по времени величин Δm(t) — отклонения от среднего за ночь. Заметим, что если наблюдения покрывают орбитальный период полностью и немного более, то близка к среднему уровню ⟨m⟩ за орбитальный период. Если длина сета Δt меньше орбитального периода, то значения и ⟨m⟩ будут заметно отличаться, и тем больше, чем меньше отношение Δt/Porb. Сетов, продолжительностью более орбитального периода, всего два, их длина 1.022 и 1.218Porb (табл. 2).
- Средние орбитальные кривые блеска mmean(φ), представленные в табл. 3, имеют шаг Δφ= 0.01. Поэтому при определении согласно эфемеридам (2) орбитальной фазы наблюдения Δm(t) в рассматриваемом сете полученное значение φокруглялось до 2-го знака после запятой.
- Далее из каждого Δm(φ) вычиталось значение средней кривой mmean(φ) в данной фазе согласно табл. 3. Вторичные отклонения обозначены δm(φ) или δm(t). На рис. 9а показана полученная от времени кривая блеска δRc(t) в звездных величинах. Хорошо видна вторичная волна, возникающая вследствие изменений текущих параметров компонентов SS Cyg (размера и температуры аккреционного диска, газовой струи, горячего пятна и, возможно, температуры вторичной) даже за один орбитальный цикл. Похожие вторичные волны видны и в других сетах. Сплошной (оранжевой) линией показана сглаженная вторичная волна mdef (t).
- Затем из каждого значения δm(t) вычиталась соответствующая рассматриваемому моменту времени величина mdef (t), и на выходе получается кривая остаточных отклонений δ′m(t). Вид полученной кривой для сета JD 8655 показан на рис. 9б. В результате мы получаем вариации блеска относительно уровня 0.0m.
- На следующем этапе вычислялся спектр мощности для приведенных на рис. 9б остаточных отклонений согласно методу Лафлера–Кинмана. Соответствующая зависимость спектра мощности от частоты (в единицах сут –1) показана на рис. 9в. Максимум для данного сета расположен на значении периода (соответствующая частота ). На периодограмме также виден пик двойной волны ( ). На рис. 9г показана свертка остаточных отклонений δ′Rc в сете JD 8655 c периодом 0.03353d, начальная эпоха произвольна.
Рис. 9. а) Зависимость от времени отклонений данных δRc, полученных в сете JD 8655, от средней орбитальной кривой блеска (табл. 3), сплошной (оранжевой) линией показана вторичная волна mdef(t). Результат ее вычитания из наблюдений δRc — остаточные отклонения, δ′Rc(t), приведен на панели (б); на верхней оси панелей (a) и (б) указаны орбитальные фазы наблюдений согласно (2); в) спектр мощности для приведенных на (б) остаточных отклонений, полученный по методу Лафлера-Кинмана; г) свертка остаточных отклонений δ′Rc c периодом P = 0.0335301d (ν = 29.8239 сут–1), начальная эпоха произвольна.
На рис. 10 и 11 приведены аналогичные зависимости для сетов JD 8656 и 8658 в фильтре Rc.
Рис. 10. То же, что на рис. 9, для наблюдений в сете JD 8656. Свертка остаточных отклонений на панели (г) выполнена c периодом 0.037137d (ν = 26.9273 сут–1), начальная эпоха произвольна.
Рис. 11. То же, что на рис. 9, для наблюдений в сете JD 8658. Свертка остаточных отклонений на панели (г) выполнена c периодом 0.040656d (ν = 24.5966 сут–1), начальная эпоха произвольна.
По приведенной выше схеме был выполнен поиск характерных времен фликкеринга для наблюдений в фильтре V. Использовался диапазон частот 13–40 сут–1 (что соответствует пробным периодам 0.025–0.077d), сдвиг по фазе 0.0005d. Полученные в результате значения характерных времен фликкеринга и их амплитуды приведены в табл. 4. Кривые остаточных отклонений, свернутые с полученными в соответствующих сетах значениями периодов, приведены в разделе 7.
Таблица 4. Характеристики фликкеринга в системе SS Cyg в 2019–2021 гг.
JD2450000+ | Фильтр | m | Pδ′, сут | Aδ′, mag | Примечание | |
8655 | Rc | 9.66 | 0.034(2) | 0.10(3) | * | |
8656 | Rc | 9.98 | 0.037(2) | 0.12(4) | ||
8658 | Rc | 10.28 | 0.040(2) | 0.24(6) | Ниспадающая ветвь вспышки | |
8660 | V | 10.85 | 0.062(3) | 0.28(9) | *: | в июне 2019 г. |
8661 | V | 11.18 | 0.055(3) | 0.23(7) | * | |
8662 | V | 11.36 | 0.056(3) | 0.38(7) | ||
8796 | V | 10.95 | 0.051(5) | 0.24(6) | * | Нижняя часть ниспадающей |
8798 | V | 11.53 | 0.031(3) | 0.45(20) | * | ветви вспышки в ноябре |
8800 | V | 11.69 | 0.052(4) | 0.40(10) | 2019 г. | |
8988 | V | 9.80 | 0.027(2) | 0.12(3) | * | Ниспадающая ветвь вспышки |
8993 | V | 10.59 | 0.034(3) | 0.35(7) | в мае 2020 г. | |
9001 | V | 11.36 | 0.064(3) | 0.47(5) | * | |
9094 | V | 10.36 | 0.043(2) | 0.50(1) | Минимум между вспышками | |
9095 | V | 10.60 | 0.037(3) | 0.47(1) | max JD 9083 и max 9115 | |
9125 | V | 10.40 | 0.035(3) | 0.22(6) | * | Минимум между вспышками |
9150 | V | 10.58 | 0.037(3) | 0.30(5) | * | max JD 9115 и max 9153 |
9165 | V | 11.11 | 0.037(3) | 0.55(15) | Минимум между вспышками | |
9173 | V | 11.18 | 0.057(3) | 0.45(12) | max JD 9153 и max 9181 | |
9217 | V | 9.05 (~8.95) | 0.0097(7) | 0.08(2) | Плато перед вспышкой max JD 9220, φ ~ 0.9–1.1 | |
9464 | V | 11.30 | 0.061(4) | 0.3(1) | *: | Минимум перед вспышкой |
9465 | V | 10.94 | 0.062(4) | 0.5(1) | max JD 9477 в области локального роста блеска на ~ 0.5m | |
9508 | V | 10.92 | 0.057(5) | 0.35(10) | Минимум перед вспышкой | |
9509 | V | 10.94 | 0.067(4) | 0.55(10) | max JD 9518 | |
9510 | V | 11.07 | 0.043(5) | 0.3(1) | ||
9514 | V | 10.93 | 0.048(4) | 0.4(1) | ||
Примечание. Звездочкой (*) в таблице обозначены сеты, в которых в период нижнего соединения красного карлика (область φ ~ 0.9–1.2) амплитуда мерцаний снижалась в несколько раз по сравнению с остальными участками орбитальной кривой блеска. Запись вида «max JD 9518» означает ближайший к датам группы сетов максимум вспышки, произошедшей в момент JD 245 9518.
7. Результаты моделирования, связь характерных времен фликкеринга с уровнем блеска системы
Согласно рис. 3б, весь массив полученных наблюдений можно разделить на 5 групп.
Первая группа наших наблюдений, состоящая из 6 сетов, относится к июньской вспышке 2019 г. (рис. 4а), 3 сета в фильтре Rc были получены вблизи максимума вспышки, в самом начале падения блеска. Остальные 3 сета получены в фильтре V, они расположены примерно посередине между максимумом и минимумом блеска ниспадающей кривой, в районе 10.8–11.4m. Сравнение звездных величин по данным AAVSO в фильтрах Rc и V показало разницу между Rc и V блеском системы ~0.2m в период наших Rc-наблюдений. Такая разница, как будет показано далее, мало влияет на вид зависимости характерного времени фликкеринга и его амплитуды от уровня блеска системы в сете.
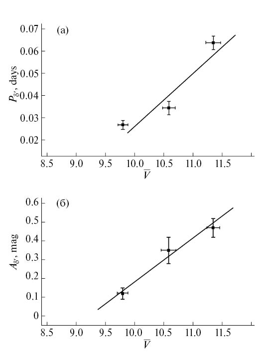
На рис. 12 показаны для трех сетов июньской вспышки 2019 г.: вверху — ход остаточных отклонений δ′V(t) от времени, полученных после вычитания вторичной волны Vdef (t) из значений δV(t) (аналог рис. 9б), спектр мощности для этих данных (в центре) и свертка остаточных отклонений δ′V(φ) (внизу) c полученным периодом (указаны на рисунках). На рис. 13 показаны зависимости полученных значений характерного времени фликкеринга Pδ′ (рис. 13a) и их полных амплитуд Aδ′ (рис. 13б) от среднего уровня блеска . За исключением одного отскочившего наблюдения из зависимости Pδ′(m) для значения ~ 10.85 (рис. 13а), для остальных данных наблюдается устойчивый рост периода фликкеринга Pδ′ и их амплитуды Aδ′ в ходе затухания вспышки.
Рис. 12. Вверху — зависимость от времени остаточных отклонений δ′V(t), полученных путем вычитания вторичной волны из данных δV (аналог рис. 10 (б)), в центре — спектр мощности для этих остаточных отклонений и внизу — свертка δ′V(φ) c полученным периодом (указаны на рисунках) для трех сетов июньской вспышки 2019 г.
Рис. 13. Зависимости характерного времени фликкеринга Pδ′ (а) и их полной амплитуды Aδ′ (б) от среднего за ночь уровня блеска системы на ниспадающей ветви вспышки в SS Cyg в июне 2019 г. (JD 8655–8662, см. рис. 4 (а)).
Вторая группа — это наблюдения 8–12 ноября 2019 г. (JD 8796–8800, рис. 4б). Они были выполнены уже после окончания вспышки, максимум которой наблюдался в период JD 8786.9–8788.5. На рис. 14 показаны зависимости, аналогичные рис. 12, для трех сетов конца ноябрьской вспышки 2019 г., вблизи минимума блеска. Характерные времена Pδ′ фликкеринга для них не обнаруживают какой-либо зависимости от яркости системы (рис. 15а), при этом их амплитуда Aδ′ (рис. 15б) сохраняет тенденцию к росту с уменьшением блеска SS Cyg.
Рис. 14. То же, что на рис. 12, для трех сетов, полученных в конце ноябрьской вспышки 2019 г.
Рис. 15. То же, что на рис. 13, для наблюдений на ниспадающей ветви вспышки SS Cyg в ноябре 2019 г. вблизи ее минимума (см. рис. 4 (б)).
Третья группа наблюдений пришлась на майскую вспышку 2020 г. (18, 23 и 31.05.2020, рис. 16, 17). Продолжительность сетов для этой группы не превышает Δφ ~ 0.4Porb, поэтому точность среднего уровня блеска за ночь невелика, так как здесь не учтен вклад наблюдений оставшейся части орбитальной кривой. Первый сет попал в область вблизи максимума вспышки (JD 8988, рис. 6а), длина сета Δφ ~ 0.37Porb, оценки дают для среднего за ночь потока значение ~ 9.80(5), фликкеринг практически отсутствует. Второй сет расположен в середине ниспадающей ветви вспышечной кривой (JD 8993, Δφ ~ 0.34Porb, ~ 10.6(5)), а третий (JD 9001, Δφ ~ 0.48Porb, ~ 11.4(5) попал на минимум блеска между вспышками. Свертка данных в первом сете с периодом 0.0268d показывает наличие большого количества возмущений на фоне низкоамплитудной (Aδ′ ~ 0.12m) кривой. Во втором сете к низкоамплитудным пульсациям добавляются стабильные модуляции блеска с периодом Pδ′ ~ 0.034d и амплитудой до Aδ′ ~ 0.34m.
Рис. 16. То же, что на рис. 12, для трех сетов, полученных в ходе майской вспышки 2020 г.
Рис. 17. То же, что на рис. 13, для наблюдений на ниспадающей ветви вспышечной кривой SS Cyg во время майской вспышки 2020 г. (см. рис. 6а) для сетов, полученных вблизи максимума блеска, в середине ниспадающего крыла и минимуме блеска после окончания вспышки.
В третьем сете третьей группы (окончание вспышки, JD 9001, φ ~ 0.0–0.5) первая часть кривой δ′V(t) попадает в область вблизи прохождения вторичного компонента по аккреционному диску, что в данном случае подтверждает вывод, сделанный в работе [19], а именно: во время затмения белого карлика в КН амплитуда фликкеринга невелика, подтверждая его связь с компактным объектом или диском вокруг него. Также возможен вариант затмения источника фликкеринга краем диска. Соответственно, свертка наблюдений этого сета показывает наложение низкоамплитудного шума на высокоамплитудные (Aδ′ ~ 0.47m) модуляции с периодом Pδ′ ~ 0.0636d.
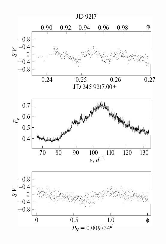
Четвертая группа наблюдений получена во время серии коротких вспышек осенью 2020 г. Максимумы этих 5 вспышек (рис. 7a) пришлись на даты JD 9083, 9115, 9153, 9181 и 9220. Шесть сетов, полученных нами осенью 2020 г., попадают в области минимумов между вспышками (V ~ 10.5–11m): JD 9094 и 9095, JD 9125 и 9150, JD 9165 и 9173. Перед последней, пятой, вспышкой этого периода (JD 9220, 05.01.2021) блеск системы показывал плато на уровне ~ 9m в период JD 9212–9218. Наблюдения (JD 9217) были выполнены во время, когда блеск системы оказался в этой области перед максимумом. На рис. 18 представлены спектры мощности для наблюдений в минимумах блеска между вспышками, показывающие в 5 случаях присутствие двух близких гармоник, сравнимых по амплитуде. Свертка данных проводилась с тем периодом, который в спектре мощности формально имел большую амплитуду. Полученные фазовые кривые показывают на фоне основной волны вторичную, особенно это заметно для сетов JD 9094 и 9095. На рис. 19 приведены остаточные отклонения δ′V в зависимости от времени, спектр мощности, построенный по методу Лафлер–Кинмана, и свертка с периодом фликкеринга Pδ′ = 0.009734d для сета JD 9217. Сет JD 9217, расположенный на плато вблизи максимума 5-й вспышки, содержит наблюдения на фазах φ ~ 0.89–1.01, когда наблюдается прохождение вторичного компонента по краю аккреционного диска. Согласно [19], амплитуда фликкеринга в этой части орбитального цикла невелика. В наших наблюдениях данный факт не всегда имеет место (см., напр., JD 8658, 8661, 8662, 8800, 9095, 9165, 9173), фликкеринга, значимого по амплитуде, на плато нет (рис. 7а), колебания блеска не превышают ~0.2m, т.е., скорее всего, они связаны с орбитальной переменностью (рис. 2). В этом случае средний за ночь уровень блеска системы составит ~ 8.95. Так что показанные линиями на рис. 20 зависимости характерного времени и амплитуды фликкеринга от среднего блеска , проведенные через точку JD 9217, вполне надежны.
Рис. 18. То же, что на рис. 12, для шести сетов, полученных в периоды минимального блеска между короткими осенними вспышками 2020 г. (см. рис. 7 (a)).
Рис. 19. То же, что на рис. 12, для короткого сета наблюдений JD 9217, полученного перед максимумом вспышки SS Cyg в январе 2021 г. (см. рис. 7 (a)). Свертка остаточных отклонений на панели (внизу) выполнена c периодом 0.009734d (ν = 102.7327 сут–1), начальная эпоха произвольна.
Рис. 20. То же, что на рис. 13, для сетов на ниспадающей ветви вспышечной кривой SS Cyg осенью 2020 г. (см. рис. 7 (а)).
Наконец, пятая группа наблюдений была получена в сентябре-октябре 2021 г. (JD 9464, 9465, 9508–9510 и 9514). В этот период произошли две вспышки, даты их максимумов — JD 9477 и 9518 (рис. 8а). К сожалению, все наши наблюдения, как и для 4-й группы, пришлись на моменты минимального блеска между вспышками (спокойное состояние системы). На рис. 21 приведены спектры мощности и свертки с найденным значением периода фликкеринга для каждого сета 5-й группы, на рис. 22 — зависимости между характерным временем фликкеринга (рис. 22a) и их амплитудой (рис. 22б) от среднего за ночь уровня блеска системы в минимумах блеска между вспышками SS Cyg осенью 2021 г.
Рис. 21. То же, что на рис. 12, для шести сетов наблюдений, полученных в спокойном состоянии системы между осенними вспышками 2021 г. (см. рис. 8 (a)).
Рис. 22. То же, что на рис. 13, для шести сетов в минимумах блеска между вспышками в системе осенью 2021 г. (см. рис. 8 (a)).
Видно, что все сеты попадают в узкий диапазон блеска, ~ 10.9–11.3m, какой-либо явной зависимости не наблюдается, но можно сделать вывод, что характерное время фликкеринга варьируется в диапазоне , а их амплитуды — 0.4–0.6m. Заметим, что за исключением сета JD 9464, для всех остальных дат наблюдается четкая модуляция с соответствующим периодом. Для наблюдений в дату JD 9464, когда средний блеск систем ~ 11.3m минимален в 5-й группе (рис. 8а), амплитуда фликкеринга также минимальна. В 4 других сетах средний блеск системы варьировался в диапазоне ~ 10.92–10.94m, при этом периоды фликкеринга менялись от 0.042d до 0.067d, а их амплитуды — от 0.35m до 0.55m.
8. Обсуждение результатов
Как отмечалось во Введении, физическая природа фликкеринга является до конца неизученной. Предполагается, что его причиной может служить суперпозиция квазирегулярных вспышечных процессов с процессами, носящими случайный характер. В частности, практическое отсутствие фликкеринга во время затмения белого карлика в КП HT Cas [19], по мнению Баптисты и др., свидетельствует о его связи с компактным объектом или диском вокруг него.
Для проверки этого утверждения для SS Cyg мы построили схематичное изображение системы с параметрами из нашей работы [43]: q = 1.5, i = 52.5°, для значений радиуса диска Rd /ξ = 0.42, 0.64 и 0.75 (ξ — расстояние между центром масс белого карлика и внутренней точкой Лагранжа L1), в орбитальных фазах φ = 0.0 и 0.5 (рис. 23). Видно, что уже при достижении максимального значения радиуса диска Rd ~ 0.64ξ, полученного при решении обратной задачи определения параметров системы в рамках классической модели [43] по средним BV-кривым блеска, проекция на картинную плоскость тела красного карлика при i = 52.5° лишь касается нижнего края диска, практически не вызывая даже его частичного затмения. Только при радиусе диска Rd /ξ ~ 0.75 затмевается большая часть горячего пятна и часть боковой поверхности диска. Внутренняя часть диска не затмевается даже при очень больших радиусах.
Рис. 23. Схематичное изображение системы SS Cyg, построенное с параметрами из работы [43]: q = 1.5 и i = 52.5° для трех значений радиусов диска Rd = 0.42ξ, 0.64ξ и 0.75ξ в орбитальных фазах φ = 0.0 и 0.5. На нижней панели представлены изображения системы в картинной плоскости, i = 0° для φ = 0.0. Разными цветами показаны элементарные площадки на поверхностях: оптической звезды (синий), внутренней (оранжевый) и боковой (зеленый) частях диска, газового потока (малиновый), горячего пятна (коричневый) и белого карлика в центре диска (черный).
Тестовые расчеты показали также, что данный вывод весьма слабо зависит от отношения масс компонентов q. Наименьшее значение отношения масс q = Mwd/Mrd было определено в спектральных исследованиях Каули и др. [53]: они получили при некоторых предположениях значение q, равное q ~ 1.0–1.1 для наклонения орбиты i ~ 35°–45°. При таком наклонении орбиты затмение диска в принципе наблюдаться не может. Даже при i ~ 53° схематические изображения системы вблизи φ ~ 0 при радиусе диска Rd ~ 0.64ξ и q = 1.1 не показывают затмения даже небольшой части диска. На качественном уровне ситуация подобна той, что изображена на рис. 23 (верхняя панель, центр): проекция поверхности K-звезды на картинную плоскость лишь касается нижнего края диска. Это естественно, поскольку увеличение размера звезды при уменьшении q сопровождается уменьшением размеров полости Роша белого карлика и, соответственно, уменьшением радиуса диска, расположенного внутри нее.
Заметное уменьшение фликкеринга в нижнем соединении красного карлика наблюдалось и в наших наблюдениях. В табл. 4 звездочками в столбце “Примечание” обозначены сеты, в которых в период нижнего соединения красного карлика (область φ ~ 0.9–1.1) амплитуда фликкеринга снижалась в несколько раз по сравнению с остальными участками орбитальной кривой блеска, т.е. здесь источник фликкеринга (или его часть) затмевался телом красного карлика (соответствующие кривые блеска можно видеть на рис. 9, 12 (центр), 14 (слева), 16 (справа) и 19). При выходе из области фаз φ ~ 0.9–1.1 амплитуда фликкеринга увеличивалась. Из табл. 4 также следует, что явной зависимости между яркостью системы и фактом затмения источника фликкеринга нет, хотя при росте блеска системы его величина в целом уменьшается, и на этом фоне спад амплитуды фликкеринга в фазах φ ~ 0.9–1.1 менее заметен.
Итак, источник фликкеринга должен соответствовать ряду условий: во-первых, видимости во всех орбитальных фазах и, во-вторых, иногда (по-видимому, при большом радиусе диска) затмеваться во время нижнего соединения красного карлика. Рассмотрим, где он может быть расположен в рамках модели, использованной для построения схематических изображений системы [54].
Это не может быть внутренняя часть диска, поскольку, хотя она и видна во время всего орбитального цикла, второму условию она не соответствует. Это не может быть горячее пятно, так как хотя в фазах φ ~ 0 оно при большом радиусе диска вполне может затмеваться, но в фазах φ ~ 0.4–0.6 пятно не видно наблюдателю (оно расположено в нашей модели на боковой поверхности диска, справа от основания горячей линии, показано на рис. 23 коричневым цветом). Это не может быть область вблизи внутренней точки Лагранжа L1, так как она тоже не затмевается краем диска ни при каких его радиусах для использованных нами параметров системы (q, i, Rd), что также наглядно показано на рис. 23 (центральная панель). Единственной структурой, которая может затмеваться на фазах φ ~ 0.9–1.1, но при этом будет видна в остальных орбитальных фазах цикла, в том числе на фазах φ ~ 0.4–0.6, это газовый поток, причем та его часть, которая не примыкает к диску.
Напомним, что из себя представляет структура, обозначенная на схемах в нашей модели, как газовый поток.
Газодинамические исследования установившейся картины течения вещества в полуразделенных двойных системах показывают, что взаимодействие струи и диска является безударным [55, 56, 57, 58, 59, 61, 60]. Ударная волна возникает, но лишь в узкой области вдоль края струи, как следствие взаимодействия набегающих потоков диска и околодискового гало с веществом струи. Переработка выделяющейся энергии приводит к формированию протяженной области повышенного энерговыделения, совпадающей с поверхностью оптически непрозрачной части газового потока. Авторы этой модели [55] дали ей название “горячая линия”, несмотря на объемный (трехмерный) характер протяженного района ударной волны, с целью подчеркнуть отличие природы энерговыделения в этой модели и области его локализации от характера и расположения области энерговыделения в общепринятой модели “горячего пятна”, в которой предполагается ударное столкновение газовой струи с боковой поверхностью аккреционного диска. В разработанном на основе этих газодинамических расчетов программном коде [54] оптически непрозрачная часть протяженной области повышенного энерговыделения аппроксимировалась усеченным эллипсоидом, большая ось которого совпадала с осью газовой струи. Основные особенности морфологии течения вещества в полуразделенной двойной системе со стационарным “холодным” диском (Teff ~ 10000–15000 К) описаны в работах [58, 62].
Область ударного взаимодействия струи и гало имеет сложное строение. Удаленные от диска части гало имеют малую плотность, ударная волна, вызванная их взаимодействием со струей, лежит вдоль края струи. Протяженность этой структуры достаточно большая. По мере увеличения плотности газа гало ударная волна изгибается, в результате занимая положение на боковой поверхности диска на подветренной стороне струи. В месте взаимодействия газ гало и газ струи проходят через ударные волны, соответствующие своему потоку, смешиваются, и это вещество движется вдоль тангенциального разрыва между двумя ударными волнами, нагревая вещество на подветренной стороне диска, образуя аналог классического горячего пятна (помечено коричневым цветом на наших схемах).
Схематические изображения системы SS Cyg (рис. 23) показывают, что газовый поток может быть виден во всех орбитальных фазах. Исключением является лишь вариант с диском очень большого радиуса (рис. 23, центральная панель, Rd = 0.75ξ) и область потока вблизи края диска (нижнее соединение диска, φ ~ 0.5). Характеристики струи (ее размеры — длина и толщина у основания диска, ориентация, температуры с наветренной и подветренной сторон, протяженность ударной волны и пр.) различны даже для одной и той же системы в зависимости от уровня ее активности. К примеру, длина газового потока зависит от радиуса диска; толщина струи и ее ориентация — от темпа истечения вещества из звезды: если скорость истечения вещества из красного карлика достаточно большая, то струя тоньше, чем при более низкой скорости. Учитывая качественный характер нашего анализа, для построения приведенных на рис. 23 изображений менялся только радиус диска, параметры струи выбраны для всех изображений одинаковыми. Рост светимости системы m связан с увеличением радиуса диска и его температуры [63].
Что может вызвать фликкеринг в области газовой струи? Например, сгусток вещества с плотностью более высокой, чем в окружающем его газовом потоке. Взаимодействие околодискового гало с невысокой плотностью с таким сгустком может вызывать как ударную волну на его поверхности, приводя к вспышке, тем ярче (до ~0.5m, что в 2.5 раза больше амплитуды эллипсоидальной кривой блеска красного карлика; вклад диска и стабильной горячей линии дают постоянную добавку в суммарный поток при отсутствии затмений), чем ближе сгусток к краю диска, так и его циклические перемещения внутри газовой струи из-за разницы давлений. Это, в свою очередь, приведет к колебаниям блеска горячей линии и яркости системы в целом. Рост плотности околодискового гало ведет к росту амплитуды фликкеринга (например, рис. 14, JD 8798 и 8800). С приближением к краю диска, где из-за роста плотности набегающего вещества мощность ударной волны максимальна, такие вариации блеска могут стать хаотичными из-за смешивания ударных волн диска с неоднородным газовым потоком.
Характерное время циклических колебаний блеска горячей линии зависит от среднего радиуса сечения газового потока: в используемой нами модели он растет с ростом расстояния от L1. При значениях радиуса диска ~0.4ξ он формально в ~1.5 раза больше, чем при диске с радиусом ~0.7ξ в зоне околодискового гало. Большой радиус диска может быть связан как с более высоким темпом истечения вещества из красного карлика, так и с замедлением скорости аккреции газа на белый карлик [63]. В первом случае это приведет к еще меньшему радиусу сечения струи на том же расстоянии от центра масс БК, что и при Rd = 0.4ξ. То есть на качественном уровне с увеличением радиуса диска характерное время циклических вариаций блеска ГЛ будет уменьшаться. С другой стороны, изменение радиуса диска будет влиять и на амплитуду фликкеринга: при Rd = 0.4ξ плотность вещества в околодисковом гало будет выше, выделение энергии в ударной волне при столкновении дисковых струй со сгустком — больше. Изменение характера истечения вещества из красного карлика меняется со временем, это проявляется в том, что в каждой из наших групп наблюдений зависимость индивидуальна (рис. 24). Заметим, что если сгустков в газовом потоке несколько, то при прохождении ими околодискового гало будут наблюдаться биения (например, рис. 11, JD 8658). В отсутствие сгустков фликкеринга практически нет либо же он очень слабый (рис. 16, JD 8988; рис. 18, JD 9125).
Рис. 24. Зависимости для всех 5 групп наблюдений в период 2019–2021 гг., цифры указывают номер группы.
Данная гипотеза лишь один из вариантов объяснения наблюдаемого фликкеринга. Надежные решения этой задачи можно получить из теоретических расчетов течения вещества в катаклизмических переменных.
9. Заключение
Выполнены высокоскоростные наблюдения катаклизмической переменной SS Cyg в разных стадиях активности при разных уровнях ее блеска в период с июня 2019 г. по октябрь 2021 гг. с временны́м разрешением между двумя последовательными измерениями от 6 до 14 с в зависимости от используемой аппаратуры. Всего было получено ~8650 измерений в полосе Rc (3 сета) и ~49 600 (22 сета) в полосе V. Весь массив наших наблюдений условно можно разделить на 5 групп по степени близости дат наблюдений друг к другу. В основном наблюдения были получены либо в неактивном состоянии между вспышками, либо на ниспадающей ветви кривой блеска после вспышки. Лишь несколько сетов пришлись на фазы вблизи максимума вспышки. Полученная нами база новых наблюдательных данных позволила провести не только качественный, но и количественный анализ наблюдений, и сделать выводы относительно характеристик аккреционных структур в различные моменты вспышечного цикла системы.
На основе новых наблюдений уточнено значение орбитального периода SS Cyg в 2019–2021 гг. Porb = 0.27408(2)d. Это величина оказалась на ~0.4% меньше значения периода Porb = 0.2751302d, полученного в результате анализа длительных фотометрических наблюдений системы в спокойном состоянии, выполненных 1983–1996 гг. [37, 42]. Амплитуда средней орбитальной кривой блеска сохранилась на уровне 0.2m в обоих фильтрах.
Анализ данных после учета орбитальной переменности и иных трендов, связанных с изменением параметров системы за ночь, показал присутствие циклических колебаний блеска, обычно до ~4–10 за орбитальный цикл — фликкеринг. Для большинства рядов наблюдений методом Лафлера-Кинмана определено такое значение периода колебаний в данном сете, при котором свертка наблюдений с полученным периодом показывала одиночную волну.
Полученные значения периодов фликкеринга и их амплитуд зависят от среднего уровня блеска системы: с ростом светимости обе эти величины линейно уменьшались: при блеске SS Cyg ~ 9 характерное время и амплитуда фликкеринга составили соответственно и ; с уменьшением блеска системы до ~ 12m они равны уже 0.06–0.07d и 0.3–0.5m. В каждой из наших групп наблюдений зависимость и индивидуальна, разброс данных с падением блеска системы усиливался.
Чисто геометрические соображения показывают, что источник фликкеринга расположен в районе взаимодействия газового потока с околодисковым гало: только эта область в системе SS Cyg с параметрами (q, i, Rd) из работы [43] может затмеваться при больших радиусах диска и хорошо видна во всех остальных орбитальных фазах у этой системы. Для уточнения причины фликкеринга требуются как продолжительные высокоскоростные наблюдения катаклизмических переменных с другими параметрами (q, i, Rd), так и газодинамические исследования поведения вещества между компонентами.
Финансирование
Работа была выполнена в рамках темы “Физика тесных двойных систем” (рук. академик А.М. Черепащук).
В нашем исследовании были использованы данные миссии TESS, взятые из архива B. A. Misulski (MAST) [49], созданного при поддержке NASA’s Science Mission Directorate. Авторы выражают искреннюю благодарность Б.С. Сафонову, В.В. Семенцову и А.В. Додину за полезное обсуждение полученных результатов.
1 Далее для удобства будем использовать дату наблюдения в виде усеченной юлианской даты, т.е. обозначение JD 8660 соответствует JD 245 8660.
Об авторах
Т. С. Хрузина
Московский государственный университет им. М. В. Ломоносова, Государственный астрономический институт им. П. К. Штернберга (ГАИШ)
Автор, ответственный за переписку.
Email: kts@sai.msu.ru
Россия, Москва
И. Б. Волошина
Московский государственный университет им. М. В. Ломоносова, Государственный астрономический институт им. П. К. Штернберга (ГАИШ)
Email: vib@sai.msu.ru
Россия, Москва
В. Г. Метлов
Московский государственный университет им. М. В. Ломоносова, Государственный астрономический институт им. П. К. Штернберга (ГАИШ); Крымская астрономическая станция ГАИШ МГУ
Email: kts@sai.msu.ru
Россия, Москва; Научный
Список литературы
- G. Fabbiano, L. Hartmann, J. Raymond, J. Steiner, G. Branduardi-Raymont, and T. Matilsky, 243, 911 (1981).
- F. Giovannelli and L. Sabau-Graziati, Mem. Soc. Astron. Ital. 70(3–4), 987 (1999).
- G.T. Bathand and J.E. Pringle, Monthly Not. Roy. Astron. Soc. 194, 967 (1981).
- Y. Osaki, Publ. Astron. Soc. Pacific 26, 429 (1974).
- F. Meyer and E. Meyer-Hofmeister, Astron. and Astrophys. 104, 10 (1981).
- J.K. Cannizzo, P. Grosh, and J.C. Wheeller, 260, 83 (1982).
- R. Hoshi, Publ. Astron. Soc. Japan 36, 785 (1984).
- F. Giovannelli and I. G. Martinez-Pais, Space Sci. Rev. 56, 313 (1991).
- S. Scaringi, arXiv:1311.6814 [astro-ph.GA] (2013).
- A. Bruch, Monthly Not. Roy. Astron. Soc. 503(1), 953 (2021).
- I.J. Lima, C.V. Rodrigues, C.E. Ferreira Lopes, P. Szkody, et al., arXiv:2103.02007 [astro-ph.SR] (2021).
- J.I. Gonzalez Hernandez, R. Rebolo, and J. Casares, Monthly Not. Roy. Astron. Soc. 438, L21 (2014).
- D.M. Russell, T. Shahbaz, F. Lewis, and E. Gallo, Monthly Not. Roy. Astron. Soc. 463, 2680 (2016).
- A. Bruch, Astron. and Astrophys. 359, 998 (2000).
- A. Bortoletto and R. Baptista, Revista Mexicana Astron. Astrof. 20, 247 (2004).
- T. Shahbaz, R.I. Hynes, P.A. Charles, C. Zurita, J. Casares, C. A. Haswell, S. Araujo-Betancor, and C. Powell, Monthly Not. Roy. Astron. Soc. 354, 31 (2004).
- R.I. Hynes, P.A. Charles, J. Casares, C.A. Haswell, C. Zurita, and T. Shahbaz, Monthly Not. Roy. Astron. Soc. 340, 447 (2003).
- D.M. Russell and R.P. Fender, Monthly Not. Roy. Astron. Soc. 387, 713 (2008).
- R. Baptista, B. Borges, V. Kolokotronis, O. Giannakis, and C. J. Papadimitriou, arXiv:1105.1382 [astro-ph.SR] (2011).
- P. Szkody, 192, L75 (1974).
- R.J. Stover, Proc. of the Colloq. White dwarfs and variable degenerate stars (New York: University of Rochester, 1979), p. 489.
- M.F. Walker, 248, 256 (1981).
- P. Szkody, 207, 824 (1976).
- P. Szkody, 217, 140 (1977).
- A.V. Holm and J.C. Gallagher, 192, 425 (1974).
- S. Rappaport, W. Cash, R. Doxsey, J. McClintock, and G. Moore, 187, 5 (1974).
- I.D. Howarth, J. Brit. Astron. Assoc. 88, 458 (1978).
- G.T. Bath and J. van Paradijs, Nature 305, 33 (1983).
- J.K. Cannizzo and J.A. Mattei, 401, 642 (1992).
- J.K. Cannizzo, 419, 318 (1993).
- A.H. Joy, 124, 317 (1956).
- J. Echevarria, F. Diego, M. Tapia, R. Costero, E. Ruiz, L. Salas, L. Gutierrez, and R. Enriquez, Monthly Not. Roy. Astron. Soc. 240, 975 (1989).
- F.V. Hessman, E.L. Robinson, R.E. Nather, and E.-H. Zhang, 286, 747 (1984).
- W.B. Honey, G.T. Bath, P.A. Charles, R. Whitehurst, et al., Monthly Not. Roy. Astron. Soc. 236, 727 (1989).
- A.L. Kiplinger, Astron. J. 84, 655 (1979).
- I.B. Voloshina and V.M. Lyutyi, Soviet. Astron. Letters 9, 319 (1983).
- И.Б. Волошина, Письма в Астрон. журн. 12, 219 (1986).
- A. Bruch, Acta Astronomica 40, 369 (1990).
- F. Giovannelli, I. G. Martinez-Pais, S. Gaudenzi, R. Lombardi, C. Rossi, and R. U. Claudi, Astrophys. Space Sci. 169, 125 (1990).
- G. Grant, 122, 566 (1955).
- M.C. Zuckermann, Ann. Astrophys. 24, 431 (1961).
- И.Б. Волошина, В.М. Лютый, Астрон. журн. 70, 61 (1993).
- И.Б. Волошина, Т.С. Хрузина, Астрон. журн. 77(2), 109 (2000).
- Т.С. Хрузина, Астрон. журн. 68(6), 1211 (1991).
- C.A. Hill, R.C. Smith, L. Hebb, and P. Szkody, Monthly Not. Roy. Astron. Soc. 472(3), 2937 (2017).
- Т.С. Хрузина, И.Б. Волошина, В.Г. Метлов, Астрон. журн. 93(11), 942 (2016).
- Т.С. Хрузина, И.Б. Волошина, Ш. Цянь, В.Г. Метлов, Астрон. журн. 95(1), 35 (2018).
- Т.С. Хрузина, И.Б. Волошина, Ш. Цянь, М. Вольф, В.Г. Метлов, Астрон. журн. 96(7), 570 (2019).
- A. Barbara, Misulski Archive for Space Telescopes (MAST), https://archive.stsci.edu/ .
- G.R. Ricker, J.N. Winn, R. Vanderspek, D.W. Latham, et al., Transiting Exoplanet Survey Satellite (TESS), J. Astron. Telescopes, Instruments, and Systems 1, id. 014003 (2015).
- H. Negoro, T. Mihara, K. Kobayashi, M. Nakajima, et al., Astron. Telegram № 13744 (2020).
- M. Kimura, S. Yamada, N. Nakaniwa, Y. Makita, et al., Publ. Astron. Soc. Japan 73(5), 1262 (2021), arXiv:2106.15756 [astro-ph.SR].
- A.P. Cowley, D. Crapmton, and J.B. Hutchings, 241, 269 (1980).
- Т.С. Хрузина, Астрон. журн. 88(5), 463 (2011).
- Д.В. Бисикало, А.А. Боярчук, О.А. Кузнецов, В.М. Чечеткин, Астрон. журн. 74(6), 880 (1997).
- Д.В. Бисикало, А.А. Боярчук, О.А. Кузнецов, Т.С. Хрузина, А.М. Черепащук, В.М. Чечеткин, Астрон. журн. 75(1), 40 (1998).
- D.V. Bisikalo, A.A. Boyarchuk, V.M. Chechetkin, and D. Molteni, Monthly Not. Roy. Astron. Soc. 390, 39 (1998).
- Д.В. Бисикало, А.А. Боярчук, П.В. Кайгородов, О.А. Кузнецов, Астрон. журн. 80, 879 (2003).
- M. Makita, K. Miyawaki, and T. Matsuda, Monthly Not. Roy. Astron. Soc. 316, 906 (2000).
- D.A. Kononov, F. Giovannelli, I. Bruni, and D.V. Bisikalo, Astron. and Astrophys. 538, id. A94 (2012).
- K. Sawada and T. Matsuda, Monthly Not. Roy. Astron. Soc. 255, 17P (1992).
- Z. Kopal, Close Binary Systems (London: Chapman and Hall, 1959).
- B. Warner, Cataclysmic variables (Cambridge: Cambridge Univ. Press, 1995).
Дополнительные файлы


























