Influence of increasing doses of nitrogen fertilizers on the productivity of field crops and the potassium regime of sod-podzolic soil
- Authors: Vasbieva M.T.1
-
Affiliations:
- Perm Research Institute of Agriculture – branch of the PFRC Ural Branch of the RAS
- Issue: No 11 (2024)
- Pages: 12-18
- Section: Fertilizers
- URL: https://journals.rcsi.science/0002-1881/article/view/263722
- DOI: https://doi.org/10.31857/S0002188124110021
- EDN: https://elibrary.ru/aihepw
- ID: 263722
Cite item
Abstract
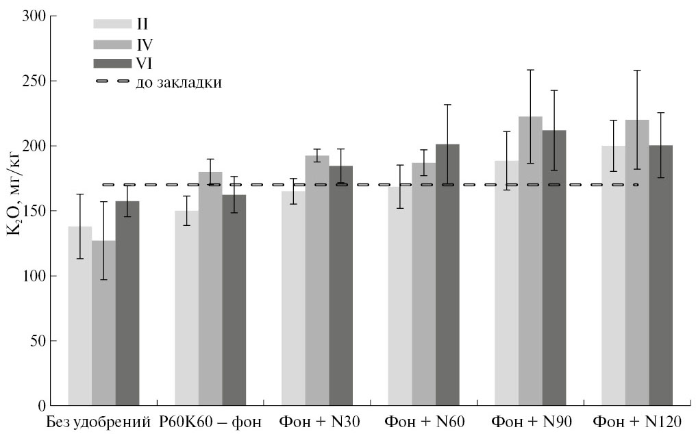
In a long-term experiment launched in 1972 on sod-podzolic heavy loamy soil, the effect of increasing doses of nitrogen fertilizers on the productivity of field crops and the potash regime of the soil was studied. The scheme of the experiment included the following options: without fertilizers, P60K60 (background), background + N30, background + N60, background + N90, background + N120. The analysis of crop yields in the 6th rotation of the crop rotation (2013–2019) showed that the most effective application for spring crops (wheat, barley, oats) was N30P60K60, for potatoes – N60P60K60. The highest yield of clover hay was noted in the P60K60 and N30P60K60 variants. The maximum productivity of an 8-field crop rotation (4.19 tons of grain/ha/year) and a payback of 1 kg of mineral fertilizers (8.7 kg of grain) was obtained by applying N30P60K60. Studies of the total potassium content, its easily exchangeable, mobile and non-exchangeable compounds in the soil were carried out at the end of the 6th rotation of the crop rotation in a layer of 0–60 cm. It was revealed that the long-term use of nitrogen fertilizers led to an increase in the mobility of potassium compounds in the soil. A significant increase in the content of easily exchangeable and mobile potassium compounds was found by 1.2–1.9 times relative to the background in layers 0–20 and 40–60 cm of soil when N60–120 was applied. With prolonged use of the N30 dose, only trends towards an increase in the content of these forms of potassium were noted, which could be the result of using a low dose or due to the maximum potassium removal by plants per rotation in this variant. The application of the maximum dose of fertilizers (N120P60K60) led to an increase in non-exchangeable potassium compounds (by 1.1 times), which may have been due to the destruction of the mineral part of the soil. A comparison of the P60K60 and N60P60K60 variants showed that the maintenance of the content of mobile potassium compounds at the initial level (1972) with the use of a complete mineral fertilizer was largely due to the influence of nitrogen fertilizers on the solubility and availability of potassium compounds. The effect of prolonged use of phosphorus-potassium fertilizers P60K60 and increasing doses of nitrogen fertilizers on the total content of potassium in sod-podzolic heavy loamy soil has not been revealed.
Full Text
About the authors
M. T. Vasbieva
Perm Research Institute of Agriculture – branch of the PFRC Ural Branch of the RAS
Author for correspondence.
Email: vasbieva@mail.ru
Russian Federation, ul. Cultury 12, p. Lobanovo, Perm district, Perm region, 614532
References
- Сычев В.Г., Шафран С.А., Ильюшенко И.В. Применение минеральных удобрений и их эффективность в различных зонах России // Плодородие. 2022. № 3(126). С. 3–6. doi: 10.25680/S19948603.2022.126.01
- Чуян О.Г., Глазунов Г.П., Караулова Л.Н., Митрохина О.А., Афонченко Н.В., Золотухин А.Н., Двойных В.В. Оценка роли климатических, почвенных и агротехнических факторов в формировании ресурсов продуктивности агроландшафтов Центрального Черноземья // Метеоролог. и гидролог. 2022. № 6. С. 79–87. doi: 10.52002/0130-2906-2022-6-79-87
- Sychev V.G., Naliukhin A.N., Shevtsova L.K., Rukhovich O.V., Belichenko M.V. Influence of fertilizer systems on soil organic carbon content and crop yield: Results of long-term field experiments at the Geographical network of research stations in Russia // Euras. Soil Sci. 2020. V. 53. № 12. P. 1794–1808. doi: 10.1134/S1064229320120133
- Никитина Л.В., Беличенко М.В. Калий в питании растений и эффективность калийных удобрений // Плодородие. 2023. № 6(135). С. 5–8. doi: 10.25680/S19948603.2023.135.01
- Шафран С.А., Кирпичников Н.А. Научные основы прогнозирования содержания подвижных форм фосфора и калия в почвах // Агрохимия. 2019. № 4. С. 3–10.
- Якименко В.Н. Фиксация калия и магния почвой агроценоза // Агрохимия. 2023. № 3. С. 3–11. doi: 10.31857/S0002188123030134
- Якименко В.Н. Изменение содержания калия и магния в профиле почвы длительного полевого опыта // Агрохимия. 2019. № 3. С. 19–29. doi: 10.1134/S0002188119030153
- Лукин С.М. Калийное состояние дерново-подзолистой супесчаной почвы и баланс калия при длительном применении удобрений // Агрохимия. 2012. № 12. С. 5–14.
- Li T., Wang H.Y., Chen X.Q., Zhou J.M. Soil reserves of potassium: release and availability to lolium perenne in relation to clay minerals in six cropland soils from eastern China // Land Degradat. Develop. 2017. V. 28. № 5. Р. 1696–1703. doi: 10.1002/ldr.2701
- Беляев Г.Н. Калийные удобрения из калийных солей Верхнекамского месторождения и их эффективность. Пермь: Перм. кн. изд-во, 2005. 304 с.
- Окорков В.В., Окоркова Л.А., Фенова О.А. Влияние систем удобрения на фосфорно-калийный режим серой лесной почвы // Владимир. земледелец. 2014. № 2–3(68–69). С. 9–14.
- Шаповалова Н.Н. Чижикова Н.П., Годунова Е.И., Сторчак И.Г. Минералогический состав тонкодисперсных фракций и резервы калия в черноземе при внесении минеральных удобрений // Плодородие. 2018. № 3(102). С. 25–31. doi: 10.25680/s19948603.2018.102.08
- Chizhikova N.P., Samsonova A.A., Malueva T.I., Godunova E.I., Shkabarda S.N. Spatial distribution of clay minerals in agrochernozems of erosional and denudational plains in the Stavropol region // Euras. Soil Sci. 2012. V. 45. № 9. P. 983–996. doi: 10.1134/S1064229312090025
- Firmano R.F., Melo V., Montes C.R., de Oliveira A., de Castro C., Alleoni L.R.F. Рotassium reserves in the clay fraction of a tropical soil fertilized for three decades // Clays Clay Mineral. 2020. V. 68. № 3. p. 237–249. doi: 10.1007/s42860-020-00078-6
- Способ определения валовых форм азота, фосфора и калия из одной навески пробы почвы. Пат. Беларуси. №17070. 2013. URL:https://bypatents.com/5-17070-sposob-opredeleniya-valovyh-form-azota-fosfora-i-kaliya-iz-odnojj-naveski-proby-pochvy.html
- Агроклиматические ресурсы Пермской области: Справ-к. М.: Гидрометеоиздат, 1979. 156 c.
- Никитина Л.В., Володарская И.В. Минимальные уровни обменного калия в дерново-подзолистых почвах // Плодородие. 2002. № 1(4). С. 30–31.
- Якименко В.Н., Бойко В.С. Диагностика калийного состояния почв лесостепи Западной Сибири // Почвы и окруж. среда. 2019. Т. 2. № 2. С. 3. doi: 10.31251/pos.v2i2.74
Supplementary files




