SYNTHESIS OF DEUTERIUM-LABELED SALICYLCARNOSINE
- Authors: Shevchenko V.P.1, Nagaev I.Y.1, Kulikova O.I.2, Myasoedov N.F.1
-
Affiliations:
- Institute of Molecular Genetics of National Research Centre “Kurchatov Institute” (NRC “Kurchatov Institute” – IMG)
- Research Center of Neurology (RCN)
- Issue: Vol 511, No 1 (2023)
- Pages: 42-46
- Section: CHEMISTRY
- URL: https://journals.rcsi.science/2686-9535/article/view/135983
- DOI: https://doi.org/10.31857/S2686953523600058
- EDN: https://elibrary.ru/ZBEHEF
- ID: 135983
Cite item
Full Text
Abstract
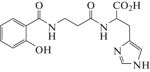
The effect of temperature on the effectiveness of the introduction of deuterium into a new biologically active compound salicylcarnosine (SC) has been studied. Deuterium gas and heavy water were used as a source of deuterium. The synthesis of labeled SC by the solid-phase method at 190°C leads to the production of [D]SC with a yield of 53%, and a deuterium content of about 4.8 atoms per molecule. During isotope exchange with deuterated water, it was shown that after pretreatment of the catalyst at room temperature with deuterium gas, isotope exchange between SC protons and deuterated water occurs more efficiently. [D]SC is formed with a yield of 46% and contains about 7.3 deuterium atoms per molecule. During the preparative synthesis of labeled SC according to this technique at 190°C, the yield of [D]SC was 60–70%, with a deuterium content of about 6.2 atoms per molecule. A new technique for activating the inclusion of deuterium in peptides opens up additional opportunities for obtaining highly labelled drugs.
Keywords
About the authors
V. P. Shevchenko
Institute of Molecular Genetics of National Research Centre “Kurchatov Institute” (NRC “Kurchatov Institute” – IMG)
Author for correspondence.
Email: nagaev@img.ras.ru
Russian, 123182, Moscow
I. Yu. Nagaev
Institute of Molecular Genetics of National Research Centre “Kurchatov Institute” (NRC “Kurchatov Institute” – IMG)
Email: kulikova@neurology.ru
Russian, 123182, Moscow
O. I. Kulikova
Research Center of Neurology (RCN)
Author for correspondence.
Email: kulikova@neurology.ru
Russian, 125367, Moscow
N. F. Myasoedov
Institute of Molecular Genetics of National Research Centre “Kurchatov Institute” (NRC “Kurchatov Institute” – IMG)
Email: kulikova@neurology.ru
Russian, 123182, Moscow
References
- Ekinci D., Şentürk M., Küfrevioğlu O.I. // Expert Opin. Ther. Pat. 2011. V. 21. № 12. P. 1831–1841. https://doi.org/10.1517/13543776.2011.636354
- Berezhnoy D.S., Stvolinsky S.L., Lopachev A.V., Devyatov A.A., Lopacheva O.M., Kulikova O.I., Abaimov D.A., Fedorova T.N. // Amino Acids. 2019. V. 51. № 1. P. 139–150. https://doi.org/10.1007/s00726-018-2667-7
- Танашян М.М., Федорова Т.Н., Стволинский С.Л., Андреева Л.А., Нагаев И.Ю., Мигулин В.А., Шабалина А.А., Трубицына И.Е., Лопачев А.В., Куликова О.И., Абаимов Д.А. Патент РФ 2694061. 2019.
- Kulikova O.I., Stvolinsky S.L., Migulin V.A., Andre-eva L.A., Nagaev I.Yu., Lopacheva O.M., Kulichenko-va K.N., Lopachev A.V., Trubitsina I.E., Fedorova T.N. // DARU J. Pharm. Sci. 2020. V. 28. P. 119–130. https://doi.org/10.1007/s40199-019-00323-x
- Стволинский С.Л., Федорова Т.Н., Хуторова А.В., Лопачев А.В., Тимошина Ю.А., Куликова О.И., Танашян М.М. Патент РФ 2780112. 2022.
- Шевченко В.П., Нагаев И.Ю., Федорова Т.Н., Мясоедов Н.Ф. // Докл. Российской академии наук. Науки о жизни. 2023. Т. 508. С. 23–29. https://doi.org/10.31857/S2686738922700020
- Шевченко В.П., Нагаев И.Ю., Шапошников А.И., Шевченко К.В., Белимов А.А., Баташева С.Н., Гоголева Н.Е., Гоголев Ю.В., Мясоедов Н.Ф. // ДАН. 2018. Т. 483. № 3. С. 274–278. https://doi.org/10.31857/S086956520003247-4
- Шевченко В.П., Нагаев И.Ю., Лопачев А.В., Мясоедов Н.Ф. // Хим-фарм. журн. 2022. Т. 56. № 11. С. 48–52. https://doi.org/10.30906/0023-1134-2022-56-11-48-52
- Шевченко В.П., Нагаев И.Ю., Мясоедов Н.Ф. // Радиохимия. 2005. Т. 47. № 4. С. 368–373.
- Myasoedov N.F., Sidorov G.V., Kramerov V.N., Mi-shin V.I. // J. Label. Compd. Radiopharm. 1999. V. 42. № 9. P. 859–866. https://doi.org/10.1002/(SICI)1099-1344(199909) 42:9<859::AID-JLCR248>3.0.CO;2-5
- Шевченко В.П., Нагаев И.Ю., Мясоедов Н.Ф. Меченные тритием липофильные соединения. М.: Наука, 2003. 246 с.
Supplementary files




