AQUEOUS-PHASE HYDROGENATION OF FURFURAL IN THE PRESENCE OF SUPPORTED METALLIC CATALYSTS OF DIFFERENT TYPES. A REVIEW
- Authors: Mironenko R.M.1, Belskaya O.B.1, Likholobov V.A.2
-
Affiliations:
- Center of New Chemical Technologies BIC
- Boreskov Institute of Catalysis, Siberian Branch of the Russian Academy of Sciences
- Issue: Vol 509, No 1 (2023)
- Pages: 41-60
- Section: PHYSICAL CHEMISTRY
- URL: https://journals.rcsi.science/2686-9535/article/view/135960
- DOI: https://doi.org/10.31857/S268695352260088X
- EDN: https://elibrary.ru/OVYXWS
- ID: 135960
Cite item
Full Text
Abstract
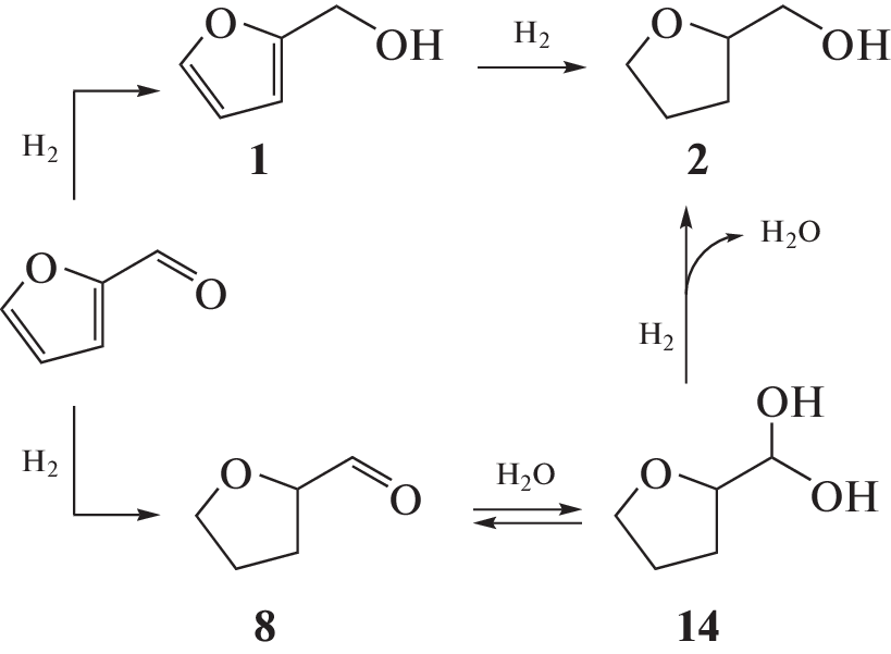
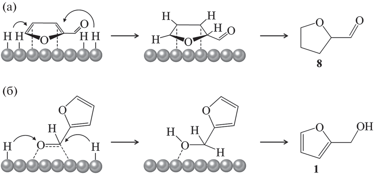
Hydrogenation of furfural in the presence of heterogeneous catalysts has recently attracted increased interest as a method for the synthesis of oxygen-containing compounds of various classes based on renewable raw materials. The composition of the catalyst and the conditions of its preparation essentially determine which of the routes of reductive conversions during the hydrogenation of furfural will be predominant. The present review summarizes and analyzes methods for controlling the physicochemical and functional properties of various metal catalysts with an emphasis on Pd-, Ni-, Co, and Cu-containing catalytic compositions, as the most common and practically significant in the hydrogenation of furfural. Many examples show the influence of the nature of the support, the composition of the active metal precursor, and the conditions for the formation of metal nanoparticles on the activity and selectivity of supported catalysts in the reductive conversions of furfural under aqueous-phase hydrogenation conditions. Promising directions of research on the development of methods for the synthesis of efficient catalysts with controlled functional properties in the hydrogenation of furfural are considered. The bibliography includes 127 references.
About the authors
R. M. Mironenko
Center of New Chemical Technologies BIC
Author for correspondence.
Email: mironenko@ihcp.ru
Russian, 644040, Omsk
O. B. Belskaya
Center of New Chemical Technologies BIC
Email: mironenko@ihcp.ru
Russian, 644040, Omsk
V. A. Likholobov
Boreskov Institute of Catalysis, Siberian Branch of the Russian Academy of Sciences
Email: mironenko@ihcp.ru
Russian, 630090, Novosibirsk
References
- Кузнецов Б.Н. Катализ химических превращений угля и биомассы. Новосибирск: Наука, 1990. 302 с.
- Huber G.W., Iborra S., Corma A. // Chem. Rev. 2006. V. 106. № 9. P. 4044–4098. https://doi.org/10.1021/cr068360d
- Serrano-Ruiz J.C., West R.M., Dumesic J.A. // Annu. Rev. Chem. Biomol. Eng. 2010. V. 1. P. 79–100. https://doi.org/10.1146/annurev-chembioeng-073009-100935
- Мурзин Д.Ю., Симакова И.Л. // Катализ в промышленности. 2011. № 3. С. 8–40.
- Besson M., Gallezot P., Pinel C. // Chem. Rev. 2014. V. 114. № 3. P. 1827–1870. https://doi.org/10.1021/cr4002269
- Chemical Catalysts for Biomass Upgrading. Crocker M., Santillan-Jimenez E. (Eds.). Weinheim: Wiley-VCH, 2020. 619 p. https://doi.org/10.1002/9783527814794
- Deng F., Amarasekara A.S. // Ind. Crops Prod. 2021. V. 159. Article 113055. https://doi.org/10.1016/j.indcrop.2020.113055
- Zeitsch K.J. The Chemistry and Technology of Furfural and its Many By-Products. Amsterdam: Elsevier, 2000. 358 p. https://doi.org/10.1016/S0167-7675(00)80001-9
- Морозов Е.Ф. Производство фурфурола. М.: Лесная промышленность, 1988. 200 с.
- Ye L., Han Y., Wang X., Lu X., Qi X., Yu H. // Mol. Catal. 2021. V. 515. Article 111899. https://doi.org/10.1016/j.mcat.2021.111899
- Yong K.J., Wu T.Y., Lee C.B.T.L., Lee Z.J., Liu Q., Jahim J.M., Zhou Q., Zhang L. // Biomass Bioenergy. 2022. V. 161. Article 106458. https://doi.org/10.1016/j.biombioe.2022.106458
- Cousin E., Namhaed K., Pérès Y., Cognet P., Delmas M., Hermansyah H., Gozan M., Alaba P.A., Aroua M.K. // Sci. Total Environ. 2022. V. 847. Article 157599. https://doi.org/10.1016/j.scitotenv.2022.157599
- Stenhouse J. // London, Edinburgh, Dublin Philos. Mag. J. Sci. Ser. 3. 1841. V. 18. № 115. P. 122–124. https://doi.org/10.1080/14786444108650258
- LaForge F.B., Mains G.H. // Ind. Eng. Chem. 1923. V. 15. № 8. P. 823–829. https://doi.org/10.1021/ie50164a022
- Brownlee H.J., Miner C.S. // Ind. Eng. Chem. 1948. V. 40. № 2. P. 201–204. https://doi.org/10.1021/ie50458a005
- Четвериков Н.М., Лазарев А.И. Фурфурол и его производство. М.: Снабтехиздат, 1933. 48 с.
- Jaswal A., Singh P.P., Mondal T. // Green Chem. 2022. V. 24. № 2. P. 510–551. https://doi.org/10.1039/D1GC03278J
- Namsaraev Z.B., Gotovtsev P.M., Komova A.V., Vasi-lov R.G. // Renew. Sustain. Energy Rev. 2018. V. 81. P. 625–634. https://doi.org/10.1016/j.rser.2017.08.045
- Kabbour M., Luque R. Furfural as a platform chemical: from production to applications. In: Recent advances in development of platform chemicals. Saravanamurugan S., Pandey A., Li H., Riisager A. (Eds.). Amsterdam: Elsevier, 2020. P. 283–297. https://doi.org/10.1016/B978-0-444-64307-0.00010-X
- Li X., Jia P., Wang T. // ACS Catal. 2016. V. 6. № 11. P. 7621–7640. https://doi.org/10.1021/acscatal.6b01838
- Mariscal R., Maireles-Torres P., Ojeda M., Sádaba I., López Granados M. // Energy Environ. Sci. 2016. V. 9. № 4. P. 1144–1189. https://doi.org/10.1039/C5EE02666K
- Long J., Xu Y., Zhao W., Li H., Yang S. // Front. Chem. 2019. V. 7. Article 529. https://doi.org/10.3389/fchem.2019.00529
- Chen S., Wojcieszak R., Dumeignil F., Marceau E., Royer S. // Chem. Rev. 2018. V. 118. № 22. P. 11023–11117. https://doi.org/10.1021/acs.chemrev.8b00134
- Zhang S., Ma H., Sun Y., Liu X., Zhang M., Luo Y., Gao J., Xu J. // Chin. J. Catal. 2021. V. 42. № 12. P. 2216–2224. https://doi.org/10.1016/S1872-2067(21)63842-1
- Wang Y., Zhao D., Rodríguez-Padrón D., Len C. // Catalysts. 2019. V. 9. № 10. Article 796. https://doi.org/10.3390/catal9100796
- Yu Z., Lu X., Wang X., Xiong J., Li X., Zhang R., Ji N. // ChemSusChem. 2020. V. 13. № 19. P. 5185–5198. https://doi.org/10.1002/cssc.202001467
- Long J., Zhao W., Li H., Yang S. Furfural as a renewable chemical platform for furfuryl alcohol production. In: Recent advances in development of platform chemicals. Saravanamurugan S., Pandey A., Li H., Riisager A. (Eds.). Amsterdam: Elsevier, 2020. P. 299–322. https://doi.org/10.1016/B978-0-444-64307-0.00011-1
- Zhang J., Li D., Yuan H., Wang S., Chen Y. // J. Fuel Chem. Technol. 2021. V. 49. № 12. P. 1752–1767. https://doi.org/10.1016/S1872-5813(21)60135-4
- Wojcik B.H. // Ind. Eng. Chem. 1948. V. 40. № 2. P. 210–216. https://doi.org/10.1021/ie50458a007
- Nishimura S. Handbook of Heterogeneous Catalytic Hydrogenation for Organic Synthesis. New York: John Wiley & Sons, 2001. 664 p.
- Пономарев А.А. Синтезы и реакции фурановых веществ. Саратов: Изд-во Саратовского ун-та, 1960. 244 с.
- Бельский И.Ф., Шостаковский В.М. Катализ в химии фурана. М.: Наука, 1972. 230 с.
- Шиманская М.В., Юсковец Ж.Г., Стонкус В.В., Славинская В.А., Крейле Д.Р., Авотс А.А. Контактные реакции фурановых соединений. Рига: Зинатне, 1985. 301 с.
- Nakagawa Y., Tamura M., Tomishige K. // Catal. Surv. Asia. 2015. V. 19. № 4. P. 249–256. https://doi.org/10.1007/s10563-015-9194-2
- Tan J., Su Y., Gao K., Cui J., Wang Y., Zhao Y. // J. Fuel Chem. Technol. 2021. V. 49. № 6. P. 780–790. https://doi.org/10.1016/S1872-5813(21)60036-1
- Li C.-J., Chen L. // Chem. Soc. Rev. 2006. V. 35. № 1. P. 68–82. https://doi.org/10.1039/B507207G
- Mika L.T., Cséfalvay E., Horváth I.T. // Catal. Today. 2015. V. 247. P. 33–46. https://doi.org/10.1016/j.cattod.2014.10.043
- Kitanosono T., Masuda K., Xu P., Kobayashi S. // Chem. Rev. 2018. V. 118. № 2. P. 679–746. https://doi.org/10.1021/acs.chemrev.7b00417
- Zhao Z., Bababrik R., Xue W., Li Y., Briggs N.M., Ngu-yen D.-T., Nguyen U., Crossley S.P., Wang S., Wang B., Resasco D.E. // Nat. Catal. 2019. V. 2. № 5. P. 431–436. https://doi.org/10.1038/s41929-019-0257-z
- Siegel H., Eggersdorfer M. Ketones. In: Ullmann’s encyclopedia of industrial chemistry. V. 20. Weinheim: Wiley-VCH, 2012. P. 187–207. https://doi.org/10.1002/14356007.a15_077
- Kleemann A., Engel J., Kutscher B., Reichert D. Pharmaceutical substances: syntheses, patents and applications of the most relevant AIPs. Stuttgart: Georg Thieme Verlag, 2009. 1800 p. https://doi.org/10.1055/b-0035-108665
- Surburg H., Panten J. Common fragrance and flavor materials. Weinheim: Wiley-VCH, 2006. 318 p. https://doi.org/10.1002/3527608214
- Тарабанько В.Е., Смирнова М.А., Жижина Е.Г. // Катализ в промышленности. 2022. Т. 22. № 2. С. 5–17. https://doi.org/10.18412/1816-0387-2022-2-5-17
- Очнева В.А., Тростянецкая В.Л., Аленкин А.В., Силаева Н.А., Шаповалова Т.А., Тудоровский Э.Л. Способ получения 4,4′-азобис-(4-цианпентанола). Патент РФ № 2243212. 2004.
- Shaik R., Rao H.S.P. // Mini-Rev. Org. Chem. 2022. V. 19. № 1. P. 111–124. https://doi.org/10.2174/1570193X18666210204113412
- Mäki-Arvela P., Hájek J., Salmi T., Murzin D.Yu. // Appl. Catal. A: Gen. 2005. V. 292. P. 1–49. https://doi.org/10.1016/j.apcata.2005.05.045
- Zhang L., Zhou M., Wang A., Zhang T. // Chem. Rev. 2020. V. 120. № 2. P. 683–733. https://doi.org/10.1021/acs.chemrev.9b00230
- Luneau M., Lim J.S., Patel D.A., Sykes E.C.H., Friend C.M., Sautet P. // Chem. Rev. 2020. V. 120. № 23. P. 12834–12872. https://doi.org/10.1021/acs.chemrev.0c00582
- Стахеев А.Ю., Машковский И.С., Баева Г.Н., Телеги-на Н.С. // Рос. хим. журн. 2009. Т. 53. № 2. С. 68–78.
- Industrial catalytic processes for fine and specialty chemicals. Joshi S.S., Ranade V.V. (Eds.). Amsterdam: Elsevier, 2016. 756 p. https://doi.org/10.1016/C2013-0-18518-2
- Serp P., Machado B. Nanostructured carbon materials for catalysis. Cambridge: The Royal Society of Chemistry, 2015. 555 p. https://doi.org/10.1039/9781782622567
- Mao Z., Gu H., Lin X. // Catalysts. 2021. V. 11. № 9. Article 1078. https://doi.org/10.3390/catal11091078
- Аль-Вадхав Х.А. // Вестн. МИТХТ. 2012. Т. 7. № 1. С. 3–18.
- Van Vaerenbergh B., Lauwaert J., Vermeir P., De Clercq J., Thybaut J.W. // Adv. Catal. 2019. V. 65. P. 1‒120. https://doi.org/10.1016/bs.acat.2019.10.001
- Семиколенов В.А. // Успехи химии. 1992. Т. 61. № 2. С. 320–331. https://doi.org/10.1070/RC1992v061n02ABEH000938
- Gerber I.C., Serp P. // Chem. Rev. 2020. V. 120. № 2. P. 1250‒1349. https://doi.org/10.1021/acs.chemrev.9b00209
- Zhu J., Holmen A., Chen D. // ChemCatChem. 2013. V. 5. № 2. P. 378–401. https://doi.org/10.1002/cctc.201200471
- Su D.S. Carbon nanotubes and related carbonaceous structures. In: Nanomaterials in Catalysis. Serp P., Philippot K. (Eds.). Weinheim: Wiley-VCH, 2013. P. 331–374. https://doi.org/10.1002/9783527656875.ch9
- Мироненко Р.М., Бельская О.Б., Лихолобов В.А. // Химия твердого топлива. 2020. № 6. С. 23‒28. https://doi.org/10.31857/S0023117720060080
- Мироненко Р.М., Лихолобов В.А., Бельская О.Б. // Успехи химии. 2022. Т. 91. № 1. Статья № RCR5017. https://doi.org/10.1070/RCR5017
- Vogler C.O., Voll M. Carbon black. In: Industrial carbon and graphite materials: raw materials, production and applications. V. 2. Jäger H., Frohs W. (Eds.). Weinheim: Wiley-VCH, 2021. P. 533–601. https://doi.org/10.1002/9783527674046.ch10
- Гюльмисарян Т.Г., Капустин В.М., Левенберг И.П. Технический углерод: морфология, свойства, производство. М.: Каучук и резина, 2017. 586 с.
- Khodabakhshi S., Fulvio P.F., Andreoli E. // Carbon. 2020. V. 162. P. 604‒649. https://doi.org/10.1016/j.carbon.2020.02.058
- Mironenko R.M., Belskaya O.B., Gulyaeva T.I., Nizovskii A.I., Kalinkin A.V., Bukhtiyarov V.I., Lavre-nov A.V., Likholobov V.A. // Catal. Today. 2015. V. 249. P. 145–152. https://doi.org/10.1016/j.cattod.2014.10.037
- Mironenko R.M., Belskaya O.B. // AIP Conf. Proc. 2019. V. 2141. № 1. Article 020010. https://doi.org/10.1063/1.5122029
- Maccarrone M.J., Lederhos C.R., Torres G., Betti C., Coloma-Pascual F., Quiroga M.E., Yori J.C. // Appl. Catal. A: Gen. 2012. V. 441–442. P. 90–98. https://doi.org/10.1016/j.apcata.2012.07.016
- Hronec M., Fulajtarová K. // Catal. Commun. 2012. V. 24. P. 100–104. https://doi.org/10.1016/j.catcom.2012.03.020
- Hronec M., Fulajtarová K., Liptaj T. // Appl. Catal. A: Gen. 2012. V. 437–438. P. 104–111. https://doi.org/10.1016/j.apcata.2012.06.018
- Hronec M., Fulajtárová K., Vávra I., Soták T., Dobročka E., Mičušík M. // Appl. Catal. B: Environ. 2016. V. 181. P. 210–219. https://doi.org/10.1016/j.apcatb.2015.07.046
- Yang Y., Du Z., Huang Y., Lu F., Wang F., Gao J., Xu J. // Green Chem. 2013. V. 15. № 7. P. 1932–1940. https://doi.org/10.1039/c3gc37133f
- Antunes M.M., Lima S., Fernandes A., Ribeiro M.F., Chadwick D., Hellgardt K., Pillinger M., Valente A.A. // Appl. Catal. B: Environ. 2018. V. 237. P. 521–537. https://doi.org/10.1016/j.apcatb.2018.06.004
- Liu F., Liu Q., Xu J., Li L., Cui Y.-T., Lang R., Li L., Su Y., Miao S., Sun H., Qiao B., Wang A., Jérôme F., Zhang T. // Green Chem. 2018. V. 20. № 8. P. 1770–1776. https://doi.org/10.1039/c8gc00039e
- Verrier C., Moebs-Sanchez S., Queneau Y., Popowycz F. // Org. Biomol. Chem. 2018. V. 16. № 5. P. 676–687. https://doi.org/10.1039/c7ob02962d
- Mironenko R.M., Belskaya O.B., Talsi V.P., Likholo-bov V.A. // J. Catal. 2020. V. 389. P. 721‒734. https://doi.org/10.1016/j.jcat.2020.07.013
- Shangguan J., Chin Y.-H. // ACS Catal. 2019. V. 9. № 3. P. 1763–1778. https://doi.org/10.1021/acscatal.8b03470
- Mironenko R.M., Talsi V.P., Gulyaeva T.I., Trenikhin M.V., Belskaya O.B. // React. Kinet. Mech. Catal. 2019. V. 126. № 2. P. 811‒827. https://doi.org/10.1007/s11144-018-1505-y
- Sharma G., Kumar A., Sharma S., Naushad Mu., Dwivedi R.P., ALOthman Z.A., Mola G.T. // J. King Saud Univ. Sci. 2019. V. 31. № 2. P. 257–269. https://doi.org/10.1016/j.jksus.2017.06.012
- Loza K., Heggen M., Epple M. // Adv. Funct. Mater. 2020. V. 30. № 21. Article 1909260. https://doi.org/10.1002/adfm.201909260
- Fan J., Du H., Zhao Y., Wang Q., Liu Y., Li D., Feng J. // ACS Catal. 2020. V. 10. № 22. P. 13560–13583. https://doi.org/10.1021/acscatal.0c03280
- Singh S.K. // Asian J. Org. Chem. 2018. V. 7. № 10. P. 1901–1923. https://doi.org/10.1002/ajoc.201800307
- Wu D., Kusada K., Kitagawa H. // Sci. Technol. Adv. Mater. 2016. V. 17. № 1. P. 583–596. https://doi.org/10.1080/14686996.2016.1221727
- Huang C., Yang X., Yang H., Huang P., Song H., Liao S. // Appl. Surf. Sci. 2014. V. 315. P. 138‒143. https://doi.org/10.1016/j.apsusc.2014.07.011
- Chen J., Liu X., Zhang F. // Chem. Eng. J. 2015. V. 259. P. 43–52. https://doi.org/10.1016/j.cej.2014.07.049
- Suppino R.S., Landers R., Cobo A.J.G. // Appl. Catal. A: Gen. 2016. V. 525. P. 41–49. https://doi.org/10.1016/j.apcata.2016.06.038
- Zhang J., Gao K., Wang S., Li W., Han Y. // RSC Adv. 2017. V. 7. № 11. P. 6447–6456. https://doi.org/10.1039/c6ra26142f
- Zhu T., Yang M., Chen X., Dong Y., Zhang Z., Cheng H. // J. Catal. 2019. V. 378. P. 382–391. https://doi.org/10.1016/j.jcat.2019.08.032
- Мироненко Р.М., Бельская О.Б., Лавренов А.В., Лихолобов В.А. // Изв. АН. Сер. хим. 2017. № 4. С. 673–676.
- Мироненко Р.М., Бельская О.Б., Лавренов А.В., Лихолобов В.А. // Кинетика и катализ. 2018. Т. 59. № 3. С. 347–354. https://doi.org/10.7868/S0453881118030140
- Gallezot P., Richard D. // Catal. Rev. Sci. Eng. 1998. V. 40. № 1–2. P. 81–126. https://doi.org/10.1080/01614949808007106
- Coq B., Figueras F. // J. Mol. Catal. A: Chem. 2001. V. 173. № 1–2. P. 117‒134. https://doi.org/10.1016/S1381-1169(01)00148-0
- Lee J., Xu Y., Huber G.W. // Appl. Catal. B: Environ. 2013. V. 140–141. P. 98–107. https://doi.org/10.1016/j.apcatb.2013.03.031
- Li H., Zhao Y., Gao C., Wang Y., Sun Z., Liang X. // Chem. Eng. J. 2012. V. 181–182. P. 501–507. https://doi.org/10.1016/j.cej.2011.06.029
- Huo J., Johnson R.L., Duan P., Pham H.N., Mendivelso-Perez D., Smith E.A., Datye A.K., Schmidt-Rohr K., Shanks B.H. // Catal. Sci. Technol. 2018. V. 8. № 4. P. 1151–1160. https://doi.org/10.1039/C7CY02098H
- Ravenelle R.M., Copeland J.R., Kim W.-G., Crittenden J.C., Sievers C. // ACS Catal. 2011. V. 1. № 5. P. 552–561. https://doi.org/10.1021/cs1001515
- Mironenko R.M., Belskaya O.B., Talsi V.P., Gulyaeva T.I., Kazakov M.O., Nizovskii A.I., Kalinkin A.V., Bukhtiya-rov V.I., Lavrenov A.V., Likholobov V.A. // Appl. Catal. A: Gen. 2014. V. 469. P. 472–482. https://doi.org/10.1016/j.apcata.2013.10.027
- Salnikova K.E., Matveeva V.G., Larichev Yu.V., Bykov A.V., Demidenko G.N., Shkileva I.P., Sulman M.G. // Catal. Today. 2019. V. 329. P. 142–148. https://doi.org/10.1016/j.cattod.2018.12.036
- Zhang M., Yang J.-H. // ChemistrySelect. 2022. V. 7. № 9. Article e202200013. https://doi.org/10.1002/slct.202200013
- Ramirez-Barria C., Isaacs M., Wilson K., Guerrero-Ruiz A., Rodríguez-Ramos I. // Appl. Catal. A: Gen. 2018. V. 563. P. 177–184. https://doi.org/10.1016/j.apcata.2018.07.010
- Zhang J., Wu D. // Mater. Chem. Phys. 2021. V. 260. Article 124152. https://doi.org/10.1016/j.matchemphys.2020.124152
- Aldosari O.F., Iqbal S., Miedziak P.J., Brett G.L., Jones D.R., Liu X., Edwards J.K., Morgan D.J., Knight D.K., Hutchings G.J. // Catal. Sci. Technol. 2016. V. 6. № 1. P. 234–242. https://doi.org/10.1039/C5CY01650A
- Bhogeswararao S., Srinivas D. // J. Catal. 2015. V. 327. P. 65–77. https://doi.org/10.1016/j.jcat.2015.04.018
- Nakagawa Y., Takada K., Tamura M., Tomishige K. // ACS Catal. 2014. V. 4. № 8. P. 2718–2726. https://doi.org/10.1021/cs500620b
- Tamura M., Tokonami K., Nakagawa Y., Tomishige K. // Chem. Commun. 2013. V. 49. № 63. P. 7034–7036. https://doi.org/10.1039/C3CC41526K
- Chen J., Lu F., Zhang J., Yu W., Wang F., Gao J., Xu J. // ChemCatChem. 2013. V. 5. № 10. P. 2822–2826. https://doi.org/10.1002/cctc.201300316
- Nakagawa Y., Tamura M., Tomishige K. // J. Jpn. Pet. Inst. 2017. V. 60. № 1. P. 1–9. https://doi.org/10.1627/jpi.60.1
- Salnikova K.E., Larichev Yu.V., Sulman E.M., Bykov A.V., Sidorov A.I., Demidenko G.N., Sulman M.G., Bron-stein L.M., Matveeva V.G. // ChemPlusChem. 2020. V. 85. № 8. P. 1697–1703. https://doi.org/10.1002/cplu.202000383
- Belskaya O.B., Zaikovskii V.I., Gulyaeva T.I., Talsi V.P., Trubina S.V., Kvashnina K.O., Nizovskii A.I., Kalinkin A.V., Bukhtiyarov V.I., Likholobov V.A. // J. Catal. 2020. V. 392. P. 108–118. https://doi.org/10.1016/j.jcat.2020.09.021
- Lesiak M., Binczarski M., Karski S., Maniukiewicz W., Rogowski J., Szubiakiewicz E., Berlowska J., Dziugan P., Witońska I. // J. Mol. Catal. A: Chem. 2014. V. 395. P. 337–348. https://doi.org/10.1016/j.molcata.2014.08.041
- Lee J., Kim Y.T., Huber G.W. // Green Chem. 2014. V. 16. № 2. P. 708–718. https://doi.org/10.1039/c3gc41071d
- Fulajtárova K., Soták T., Hronec M., Vávra I., Dobročka E., Omastová M. // Appl. Catal. A: Gen. 2015. V. 502. P. 78–85. https://doi.org/10.1016/j.apcata.2015.05.031
- Liu L., Lou H., Chen M. // Int. J. Hydrogen Energy. 2016. V. 41. № 33. P. 14721–14731. https://doi.org/10.1016/j.ijhydene.2016.05.188
- Zhang X., Wang T., Ma L., Wu C. // Fuel. 2010. V. 89. № 10. P. 2697–2702. https://doi.org/10.1016/j.fuel.2010.05.043
- Yang Y., Ma J., Jia X., Du Z., Duan Y., Xu J. // RSC Adv. 2016. V. 6. № 56. P. 51221–51228. https://doi.org/10.1039/C6RA05680F
- Belskaya O.B., Mironenko R.M., Gulyaeva T.I., Trenikhin M.V., Muromtsev I.V., Trubina S.V., Zvereva V.V., Likholobov V.A. // Catalysts. 2022. V. 12. № 6. Article 598. https://doi.org/10.3390/catal12060598
- Stepanova L.N., Belskaya O.B., Leont’eva N.N., Kob-zar E.O., Salanov A.N., Gulyaeva T.I., Trenikhin M.V., Likholobov V.A. // Mater. Chem. Phys. 2021. V. 263. Article 124091. https://doi.org/10.1016/j.matchemphys.2020.124091
- Kobzar E.O., Stepanova L.N., Leont’eva N.N., Bel-skaya O.B. // AIP Conf. Proc. 2020. V. 2301. № 1. Article 030010. https://doi.org/10.1063/5.0032858
- Ma Y., Xu G., Wang H., Wang Y., Zhang Y., Fu Y. // ACS Catal. 2018. V. 8. № 2. P. 1268–1277. https://doi.org/10.1021/acscatal.7b03470
- Li H., Chai W.-M., Luo H.-S., Li H.-X. // Chin. J. Chem. 2006. V. 24. № 12. P. 1704–1708. https://doi.org/10.1002/cjoc.200690319
- Бельская О.Б., Лихолобов В.А. // Кинетика и катализ. 2022. Т. 63. № 6. С. 695–723. https://doi.org/10.31857/S0453881122060016
- Stepanova L.N., Mironenko R.M., Kobzar E.O., Leont’-eva N.N., Gulyaeva T.I., Vasilevich A.V., Serkova A.N., Salanov A.N., Lavrenov A.V. // Eng. 2022. V. 3. № 4. P. 400–411. https://doi.org/10.3390/eng3040029
- Villaverde M.M., Bertero N.M., Garetto T.F., Mar-chi A.J. // Catal. Today. 2013. V. 213. P. 87–92. https://doi.org/10.1016/j.cattod.2013.02.031
- Gong W., Chen C., Zhang Y., Zhou H., Wang H., Zhang H., Zhang Y., Wang G., Zhao H. // ACS Sustainable Chem. Eng. 2017. V. 5. № 3. P. 2172–2180. https://doi.org/10.1021/acssuschemeng.6b02343
- Sitthisa S., Sooknoi T., Ma Y., Balbuena P.B., Resas-co D.E. // J. Catal. 2011. V. 277. № 1. P. 1–13. https://doi.org/10.1016/j.jcat.2010.10.005
- Yan K., Chen A. // Fuel. 2014. V. 115. P. 101–108. https://doi.org/10.1016/j.fuel.2013.06.042
- Wang Y., Zhu W., Sang S., Gao L., Xiao G. // Asia-Pac. J. Chem. Eng. 2017. V. 12. № 3. P. 422–431. https://doi.org/10.1002/apj.2085
- Guo J., Xu G., Han Z., Zhang Y., Fu Y., Guo Q. // ACS Sustainable Chem. Eng. 2014. V. 2. № 10. P. 2259–2266. https://doi.org/10.1021/sc5003566
- Li X.-L., Deng J., Shi J., Pan T., Yu C.-G., Xu H.-J., Fu Y. // Green Chem. 2015. V. 17. № 2. P. 1038–1046. https://doi.org/10.1039/C4GC01601G
Supplementary files















