UNUSUAL TRANSFORMATIONS OF MONO- AND DISACCHARIDE INTERMEDIATES IN THE SYNTHESIS OF OLIGOSACCHARIDES RELATED TO FRAGMENTS OF THE CAPSULAR POLYSACCHARIDE OF HAEMOPHILUS INFLUENZAE TYPE E
- Авторлар: Kamneva A.A.1, Yashunsky D.V.1, Gerbst A.G.1, Nifantiev N.E.1
-
Мекемелер:
- N.D. Zelinsky Institute of Organic Chemistry, Laboratory of Glycoconjugate Chemistry, Russian Academy of Sciences
- Шығарылым: Том 509, № 1 (2023)
- Беттер: 22-29
- Бөлім: CHEMISTRY
- URL: https://journals.rcsi.science/2686-9535/article/view/135955
- DOI: https://doi.org/10.31857/S2686953523600162
- EDN: https://elibrary.ru/OWAYCI
- ID: 135955
Дәйексөз келтіру
Толық мәтін
Аннотация
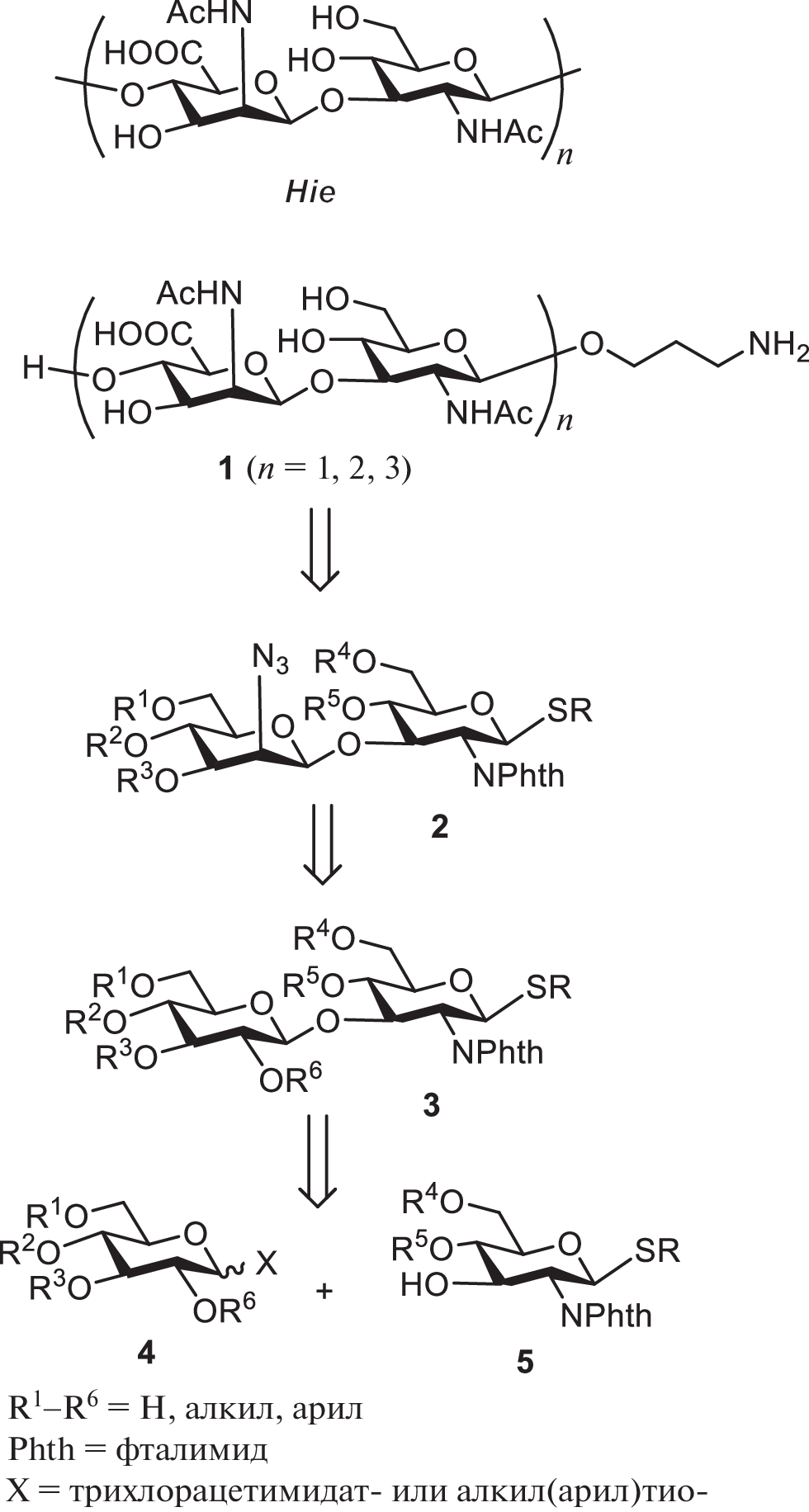
In the course of the synthesis of oligosaccharides related to fragments of the capsular polysaccharide of Haemophilus influenzae type e, the transformations of various 2-O-trifluoromethanesulfonate derivatives of β-D-glucopyranosides in reactions with an azide anion was studied. It gives the products of both nucleophilic substitution and a rearrangement of the 6-membered pyranose ring with its contraction to the 5-membered one through (О-5–С-2)-cyclization. Their formation was interpreted for the first time using quantum mechanical calculations.
Негізгі сөздер
Авторлар туралы
A. Kamneva
N.D. Zelinsky Institute of Organic Chemistry, Laboratory of Glycoconjugate Chemistry, Russian Academy of Sciences
Email: nen@ioc.ac.ru
Russian Federation, 119991, Moscow
D. Yashunsky
N.D. Zelinsky Institute of Organic Chemistry, Laboratory of Glycoconjugate Chemistry, Russian Academy of Sciences
Email: nen@ioc.ac.ru
Russian Federation, 119991, Moscow
A. Gerbst
N.D. Zelinsky Institute of Organic Chemistry, Laboratory of Glycoconjugate Chemistry, Russian Academy of Sciences
Email: nen@ioc.ac.ru
Russian Federation, 119991, Moscow
N. Nifantiev
N.D. Zelinsky Institute of Organic Chemistry, Laboratory of Glycoconjugate Chemistry, Russian Academy of Sciences
Хат алмасуға жауапты Автор.
Email: nen@ioc.ac.ru
Russian Federation, 119991, Moscow
Әдебиет тізімі
- Jin Z., Romero-Steiner S., Carlone G.M., Robbins J.B., Schneerson R. // Infect. Immun. 2007. V. 75. № 6. P. 2650–2654. https://doi.org/10.1128/IAI.01774-06
- Kelly D.F., Moxon E.R., Pollard A.J. // Immunology. 2004. V. 113. № 2. P. 163–174. https://doi.org/10.1111/j.1365-2567.2004.01971.x
- Salwén K.M., Vikerfors T., Olcén P. // Scand. J. Infect. Dis. 1987. V. 19. № 1. P. 1–11. https://doi.org/10.3109/00365548709032371
- Del Bino L., Østerlid K.E., Wu D.-Y., Nonne F., Roma-no M.R., Codée J.D.C., Adamo R. // Chem. Rev. 2022. V. 122. № 20. P. 15672–15716. https://doi.org/10.1021/acs.chemrev.2c00021
- Хатунцева Е.А., Нифантьев Н.Э. // Биоорг. химия. 2021. Т. 47. № 1. С. 29–56. https://doi.org/10.31857/S0132342321010103
- Seeberger P.H. // Chem. Rev. 2021. V. 121. № 7. P. 3598–3626. https://doi.org/10.1021/acs.chemrev.0c01210
- Anderluh M., Berti F., Bzducha-Wróbel A., Chiodo F., Colombo C., Compostella F., Durlik K., Ferhati X., Holmdahl R., Jovanovic D., Kaca W., Lay L., Marinovic-Cincovic M., Marradi M., Ozil M., Polito L., Reina J.J., Reis C.A., Sackstein R., Silipo A., Švajger U., Vaněk O., Yamamoto F., Richichi B., Vliet van S.J. // FEBS J. 2022. V. 289. № 14. P. 4251–4303. https://doi.org/10.1111/febs.15909
- Micoli F., Del Bino L., Alfini R., Carboni F., Roma-no M.R., Adamo R. // Expert Rev. Vaccines. 2019. V. 18. № 9. P. 881–895. https://doi.org/10.1080/14760584.2019.1657012
- Slack M.P.E. // Microorganisms. 2021. V. 9. № 5. P. 886. https://doi.org/10.3390/microorganisms9050886
- Campos J., Román F., Pérez-Vázquez M., Oteo J., Aracil B., Cercenado E. // Clin. Infect. Dis. 2003. V. 37. № 6. P. 841–845. https://doi.org/10.1086/377232
- Tsui F.-P., Schneerson R., Egan W. // Carbohydr. Res. 1981. V. 88. № 1. P. 85–92. https://doi.org/10.1016/S0008-6215(00)84603-0
- Tsvetkov Yu.E., Yudina O.N., Nifantiev N.E. // Russ. Chem. Rev. 2021. V. 90. № 2. P. 171–198. https://doi.org/10.1070/RCR4974
- Koto S., Shinoda Y., Hirooka M., Sekino A., Ishizumi S., Koma M., Matuura C., Sakata N. // Bull. Chem. Soc. Jpn. 2003. V. 76. № 8. P. 1603–1615. https://doi.org/10.1246/bcsj.76.1603
- Grouiller A., Bazin H., Gagnieu C. // Tetrahedron Lett. 1982. V. 23. № 25. P. 2559–2562. https://doi.org/10.1016/S0040-4039(00)87387-6
- Baer H.H., Mateo F.H., Siemsen L. // Carbohydr. Res. 1989. V. 187. № 1. P. 67–92. https://doi.org/10.1016/0008-6215(89)80056-4
- Neese F. // WIREs Comput. Mol. Sci. 2012. V. 2. № 1. P. 73–78. https://doi.org/10.1002/wcms.81
- Hehre W.J., Ditchfield R., Pople J.A. // J. Chem. Phys. 1972. V. 56. № 5. P. 2257–2261. https://doi.org/10.1063/1.1677527
- Weigend F. // Phys. Chem. Chem. Phys. 2006. V. 8. № 9. P. 1057–1065. https://doi.org/10.1039/B515623H
- Weigend F., Ahlrichs R. // Phys. Chem. Chem. Phys. 2005. V. 7. № 18. P. 3297–3305. https://doi.org/10.1039/B508541A
- Barone V., Gossi M. // J. Phys. Chem. A. 1998. V. 102. № 11. P. 1995–2001. https://doi.org/10.1021/jp9716997
- Krylov V.B., Argunov D.A., Vinnitskiy D.Z., Verkhnyatskaya S.A., Gerbst A.G., Ustyuzhanina N.E., Dmitre-nok A.S., Huebner J., Holst O., Siebert H.-C., Nifan-tiev N.E. // Chem. Eur. J. 2014. V. 20. № 50. P. 16516–16522. https://doi.org/10.1002/chem.201405083
- Argunov D.A., Krylov V.B., Nifantiev N.E. // Org. Biomol. Chem. 2015. V. 13. № 11. P. 3255–3267. https://doi.org/10.1039/c4ob02634a
- Krylov V.B., Argunov D.A., Solovev A.S., Petruk M.I., Gerbst A.G., Dmitrenok A.S., Shashkov A.S., Latgé J.-P., Nifantiev N.E. // Org. Biomol. Chem. 2018. V. 16. № 7. P. 1188–1199. https://doi.org/10.1039/c7ob02734f
- Dorokhova V.S., Gerbst A.G., Komarova B.S., Previato J.O., Previato L.M., Dmitrenok A.S., Shashkov A.S., Kry-lov V.B., Nifantiev N.E. // Org. Biomol. Chem. 2021. V. 19. № 13. P. 2923–2931. https://doi.org/10.1039/D0OB02071K
- Krylov V.B., Gerbst A.G., Argunov D.A., Dmitrenok A.S., Shashkov A.S., Kaczynski Z., Huebner J., Holst O., Nifantiev N.E. // Chem. Eur. J. 2015. V. 21. № 4. P. 1749–1754. https://doi.org/10.1002/chem.201405857
- Laverde D., Romero-Saavedra F., Argunov D.A., Enotarpi J., Krylov V.B., Kalfopoulou E., Martini C., Torelli R., van der Marel G.A., Sanguinetti M., Codée J.D.C., Nifantiev N.E., Huebner J. // ACS Infect. Dis. 2020. V. 6. P. 1816–1826. https://doi.org/10.1021/acsinfecdis.0c00063
- Argunov D.A., Trostianetskaia A.S., Krylov V.B., Kurbatova E.A., Nifantiev N.E. // Eur. J. Org. Chem. 2019. № 26. P. 4226–4232. https://doi.org/10.1002/ejoc.201900389





