Perovskite-based solar cell in tamm plasmon-polariton structure
- Autores: Pykhtin D.A.1,2, Bikbaev R.G.1,2, Timofeev I.V.1,2, Vetrov S.Y.1,2, Shabanov V.F.1
- 
							Afiliações: 
							- L.V. Kirensky Institute of Physics, FRS KSC SB RAS
- Siberian Federal University
 
- Edição: Volume 514, Nº 1 (2024)
- Páginas: 29-33
- Seção: ФИЗИКА
- URL: https://journals.rcsi.science/2686-7400/article/view/261441
- DOI: https://doi.org/10.31857/S2686740024010042
- EDN: https://elibrary.ru/OTTDCA
- ID: 261441
Citar
Texto integral
Resumo
The spectral properties of a solar cell with a photosensitive perovskite layer in a structure with a Tamm plasmon polariton localized at the boundary of a gold nanolattice and a one-dimensional photonic crystal are investigated. The influence of the parameters of the golden lattice on the surface current density and the efficiency of the proposed device is investigated. It is shown that when an aluminum substrate is replaced with a photonic crystal, a Tamm plasmon polariton is excited, which provides an increase in the surface current density by 33.7%, and efficiency by 35.1%.
Palavras-chave
Texto integral
Фотонными кристаллами (ФК) [1] называют среды, в которых показатель преломления изменяется в пространстве с периодом, сопоставимым с длиной волны света. В результате в спектральном составе прошедших через кристалл световых волн образуются пробелы, которые называют запрещенными зонами (ЗЗ). Их появление означает, что в этом спектральном диапазоне свет не может войти в фотонный кристалл или выйти из него в заданном направлении. Фотонные кристаллы легли в основу нанофотонных устройств, таких как миниатюрные лазеры [2], фотодетекторы [3], сенсоры [4]. Кроме этого, фотонные кристаллы активно используются для увеличения эффективности солнечных элементов (СЭ). Это обеспечивается за счет того, что ФК выступает в качестве отражающей подложки. Благодаря высокому коэффициенту отражения в пределах ЗЗ практически 100% излучения, падающего на ФК, отражается и проходит через фоточувствительный слой (ФЧС) повторно, увеличивая эффективность СЭ. В этом случае открывается возможность использования более тонких металлических пленок в качестве контактов и, как следствие, уменьшения нежелательных потерь в СЭ.
Использование перовскитов в качестве ФЧС позволяет увеличить эффективность СЭ за счет их высокой поглощательной способности. Так, с 2009 г. эффективность СЭ на основе перовскитов возросла с 3.8% [5] до 25% [6], что делает СЭ на основе перовскитов более перспективными в использовании.
Дополнительное увеличение поглощения в ФЧС возможно за счет возбуждения таммовского плазмон-поляритона (ТПП) [7], локализованного на границе раздела ФЧС–ФК. Возбуждение ТПП в СЭ приводит к возникновению дополнительной полосы поглощения падающего на структуру излучения и, как следствие, увеличению эффективности СЭ [8]. Принципиально новой была идея использования допированного плазмонными наночастицами ФЧС в формировании ТПП [9]. Авторами было показано, что при конструировании таких солнечных элементов можно полностью отказаться от использования металлических контактов, что позволяет избежать нежелательных потерь в системе. Однако в литературе не исследованы структуры, в которых планарная металлическая пленка в СЭ на основе ФК была бы заменена на двумерную решетку нанополос. В связи с этим в данной работе исследовано влияние параметров двумерной решетки на энергетические характеристики СЭ на основе пленки перовскита в структуре с ТПП.
ОПИСАНИЕ ИССЛЕДУЕМОЙ СТРУКТУРЫ
Схематическое изображение исследуемого солнечного элемента представлено на рис. 1.
Рис. 1. Схематическое изображение солнечного элемента на основе пленки перовскита с фотоннокристаллической подложкой.
Слой перовскита CH3NH3PbI3 (MAPbI3) толщиной 200 нм размещен между слоями с электронной (SnO2) и дырочной (Spiro-OMeTAD) проводимостью толщинами 20 нм. Ширина hstr и толщина dstr нанополосы в золотой решетке варьировалась при постоянном значении периода p = 300 нм. Элементарная ячейка ФК сформирована из диоксида кремния SiO2 и диоксида титана TiO2 с показателями преломления nSiO2 = 1.45, nTiO2 = 2.5 и толщинами dSiO2 = 120 нм, dTiO2 = 80 нм соответственно. Количество слоев ФК N = 10.
Зависимость действительной и мнимой части комплексного показателя преломления слоя перовскита изображена на рис. 2.
Рис. 2. Зависимости действительной и мнимой части комплексного показателя преломления перовскита MAPbI3 от длины волны (а); спектры отражения и пропускания исходного ФК (б).
Из рис. 2 видно, что в интервале длин волн от 600 до 800 нм мнимая часть комплексного показателя преломления принимает значения близкие к 0.1, в результате чего поглощение в этом спектральном диапазоне минимально. Эти данные были использованы для расчета спектров поглощения исследуемых структур и соответствующих им интегральных поглощений. Следует отметить, что под интегральным поглощением подразумевается поглощение в слое перовскита, нормированное на спектр солнечного излучения. Энергетические спектры структуры были рассчитаны методом конечных разностей во временной области (Finite-Difference Time-Domain – FDTD [10]). Расчетная область показана на рис. 1. Структура освещается сверху плоской волной с вектором E, направленным вдоль оси x. Коэффициент отражения R и пропускания T рассчитываются в верхней и нижней части расчетной области соответственно. Периодические граничные условия были применены к боковым границам, в то время как на верхней и нижней границах расчетной области было обеспечено идеальное поглощение (идеально поглощающий слой, Perfectly Matched Layer – PML). Поглощение A в ФЧС рассчитывалось с помощью дополнительного монитора. Спектры отражения и пропускания исходного фотонного кристалла представлены на рис. 2б. Запрещенная зона ФК находится в интервале длин волн от 600 до 850 нм.
РЕЗУЛЬТАТЫ РАСЧЕТА
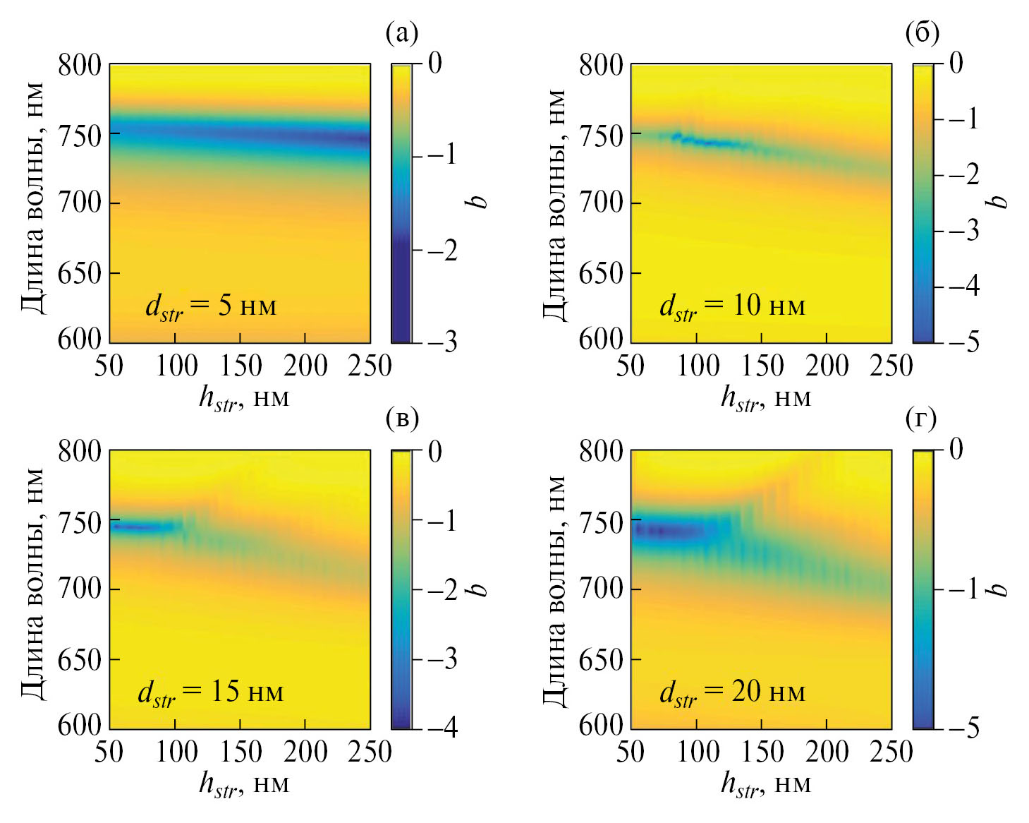
Зависимости коэффициента отражения структуры от длины волны, ширины и толщины нанополосы изображены на рис. 3.
Рис. 3. Зависимости коэффициента отражения структуры от длины волны и ширины при толщинах нанополос: a – 15 нм, б – 20 нм, в – 25 нм, г – 30 нм, где b – десятичный логарифм от коэффициента отражения.
Уменьшение ширины и толщины нанополосы приводит к уменьшению коэффициента отражения внутри запрещенной зоны фотонного кристалла. Видно, что коэффициент отражения минимален при hstr = 90 нм и dstr = 10 нм (cм. рис. 3б). Это объясняется тем, что при данных параметрах нанополос обеспечивается выполнение условия критической связи [11] падающего поля с ТПП, локализованным на границе ФЧС–ФК. В точке критической связи 85% падающего на структуру излучения поглощается в ФЧС (см. рис. 4). Расчеты показали, что возбуждение ТПП приводит к увеличению интегрального поглощения на 33.7% в сравнении со структурой на основе алюминия.
Рис. 4. Зависимость коэффициента отражения структуры на основе ФК (1) и поглощения в ФЧС в структурах на основе ФК (2) и на основе алюминия (3) от длины волны падающего света.
Для расчета эффективности СЭ было использовано уравнение энергетического баланса [12]:
(1)
здесь V – напряжение на элементе; J – поверхностная плотность тока; q – заряд электрона; Fs – излучательная генерация электронно-дырочных пар под действием падающего солнечного света; Fc(V) – излучательная рекомбинация электронно-дырочных пар.
Эффективность солнечного элемента может быть рассчитана по следующей формуле:
(2)
где FF – коэффициент заполнения солнечного элемента, а Pinc – мощность падающего света. Коэффициент заполнения – это параметр, который в сочетании с Voc и Jsc определяет максимальную мощность солнечного элемента. FF определяется как отношение максимальной мощности солнечного элемента к произведению Voc и Jsc:
(3)
Результаты расчетов представлены в табл. 1.
Таблица 1. Сравнение поверхностной плотности тока и эффективности для СЭ на основе Al и ФК
| Структура | Jsc, А/м2 | η, % | 
| СЭ на основе Al | 51.33 | 24.19 | 
| СЭ на основе ФК | 69.98 | 33.06 | 
Замена алюминиевой подложки на ФК приводит к увеличению поверхностной плотности тока на 36.3%, а эффективности на 36.6% в исследуемом интервале длин волн.
ЗАКЛЮЧЕНИЕ
В работе исследованы зависимости интегрального поглощения пленки перовскита, расположенной на границе фотонного кристалла и решетки золотых нанополос. Показано, что в такой структуре возбуждается таммовский плазмон-поляритон, который приводит к формированию дополнительной полосы поглощения внутри запрещенной зоны фотонного кристалла. Показано, что возбуждение локализованного состояния приводит к увеличению эффективности устройства на 36.6% в сравнении с солнечным элементом на основе пленки алюминия.
ИСТОЧНИК ФИНАНСИРОВАНИЯ
Работа выполнена в рамках научной тематики Госзадания Института физики им. Л.В. Киренского Сибирского отделения Российской академии наук.
КОНФЛИКТ ИНТЕРЕСОВ
Авторы данной работы заявляют, что у них нет конфликта интересов.
Sobre autores
D. Pykhtin
L.V. Kirensky Institute of Physics, FRS KSC SB RAS; Siberian Federal University
							Autor responsável pela correspondência
							Email: dmitry_pykhtin@iph.krasn.ru
				                					                																			                												                	Rússia, 							Krasnoyarsk; Krasnoyarsk						
R. Bikbaev
L.V. Kirensky Institute of Physics, FRS KSC SB RAS; Siberian Federal University
														Email: bikbaev@iph.krasn.ru
				                					                																			                												                	Rússia, 							Krasnoyarsk; Krasnoyarsk						
I. Timofeev
L.V. Kirensky Institute of Physics, FRS KSC SB RAS; Siberian Federal University
														Email: tiv@iph.krasn.ru
				                					                																			                												                	Rússia, 							Krasnoyarsk; Krasnoyarsk						
S. Vetrov
L.V. Kirensky Institute of Physics, FRS KSC SB RAS; Siberian Federal University
														Email: svetrov@sfu-kras.ru
				                					                																			                												                	Rússia, 							Krasnoyarsk; Krasnoyarsk						
V. Shabanov
L.V. Kirensky Institute of Physics, FRS KSC SB RAS
														Email: shabanov@ksc.krasn.ru
				                					                																			                								
Academician of the RAS
Rússia, KrasnoyarskBibliografia
- Шабанов В.Ф., Ветров С.Я. Оптика реальных фотонных кристаллов. Жидкокристаллические дефекты, неоднородности. Новосибирск: Издательство СО РАН, 2005. 209 с.
- Shahed-E-Zumrat, Shahid S., Talukder M.A. Dual-wavelength hybrid Tamm plasmonic laser // Optics Express. 2022. V. 30. № 14. P.25234. https://doi.org/10.1364/OE.456249
- Huang С., Wu С., Bikbaev R.G. Wavelength-and- Angle-Selective Photodetectors Enabled by Graphene Hot Electrons with Tamm Plasmon Polaritons // Nanomaterials. 2023. V. 13. № 4. P. 693. https://doi.org/10.3390/nano13040693
- Huang S., Chen K., Jeng S. Phase sensitive sensor on Tamm plasmon devices // Optical Materials Express. 2017. V. 7. № 4. P. 1267. https://doi.org/10.1364/OME.7.001267
- Kojima A., Teshima K., Shirai Y. Organometal Halide Perovskites as Visible-Light Sensitizers for Photovoltaic Cells // J. Amer. Chem. Soc. 2009. V. 131. № 17. P. 6050. https://doi.org/10.1021/ja809598r
- Sahli F., Werner J., Kamino B.A. Fully textured monolithic perovskite/silicon tandem solar cells with 25.2% power conversion efficiency // Nature Materials. 2018. V. 17. № 9. P. 820. https://doi.org/10.1038/s41563-018-0115-4
- Kaliteevski M., Iorsh I., Brand S. Tamm plasmon-polaritons: Possible electromagnetic states at the interface of a metal and a dielectric Bragg mirror // Phys. Rev. B. 76. 2007. P. 165415. https://doi.org/10.1103/PhysRevB.76.165415
- Bikbaev R.G., Vetrov S.Ya., Timofeev I.V. Tamm Plasmon Polaritons for Light Trapping in Organic Solar Cells // Doklady Physics. 2020. V. 65. № 5. P. 161. https://doi.org/
- Bikbaev R.G., Vetrov S.Ya., Timofeev I.V. Nanoparticle Shape Optimization for Tamm-Plasmon-Polariton-Based Organic Solar Cells in the Visible Spectral Range // Photonics. 2022. V. 9. № 11. P. 786. https://doi.org/10.3390/photonics9110786
- Taflove A., Hagness S. Computational electrodynamics. Norwood (MA): Artech House, 2005. 169 р.
- Haus H.A. Waves and Fields in Optoelectronics. Prentice-Hall series in solid state physical electronics. Old Tappan (NJ): Prentice Hall, 1983. 402 р.
- Sandhu S., Yu Z., Fan S. Detailed balance analysis of nanophotonic solar cells // Opt. Express 21. 2013. P. 1209–1217. https://doi.org/10.1364/OE.21.001209
Arquivos suplementares
 
				
			 
						 
						 
					 
						 
						 
				
 
  
  
  Enviar artigo por via de e-mail
			Enviar artigo por via de e-mail 




