Активность экзонуклеазы nsp14 вируса SARS-CoV-2 по отношению к РНК с модифицированными 3'-концевыми нуклеотидами
- Авторы: Ююкина С.К.1,2, Барматов А.Е.2, Бизяев С.Н.1,3,4, Стеценко Д.А.1,3, Сергеева О.В.5, Зацепин Т.С.5,6, Жарков Д.О.1,2
-
Учреждения:
- Новосибирский государственный университет
- Институт химической биологии и фундаментальной медицины Сибирского отделения Российской академии наук
- Институт цитологии и генетики Сибирского отделения Российской академии наук
- Новосибирский институт органической химии им. Н.Н. Ворожцова Сибирского отделения Российской академии наук
- Сколковский институт науки и технологий
- Московский государственный университет имени М.В. Ломоносова, Химический факультет
- Выпуск: Том 509, № 1 (2023)
- Страницы: 196-201
- Раздел: Статьи
- URL: https://journals.rcsi.science/2686-7389/article/view/135660
- DOI: https://doi.org/10.31857/S268673892370018X
- EDN: https://elibrary.ru/NBTFEQ
- ID: 135660
Цитировать
Полный текст
Аннотация
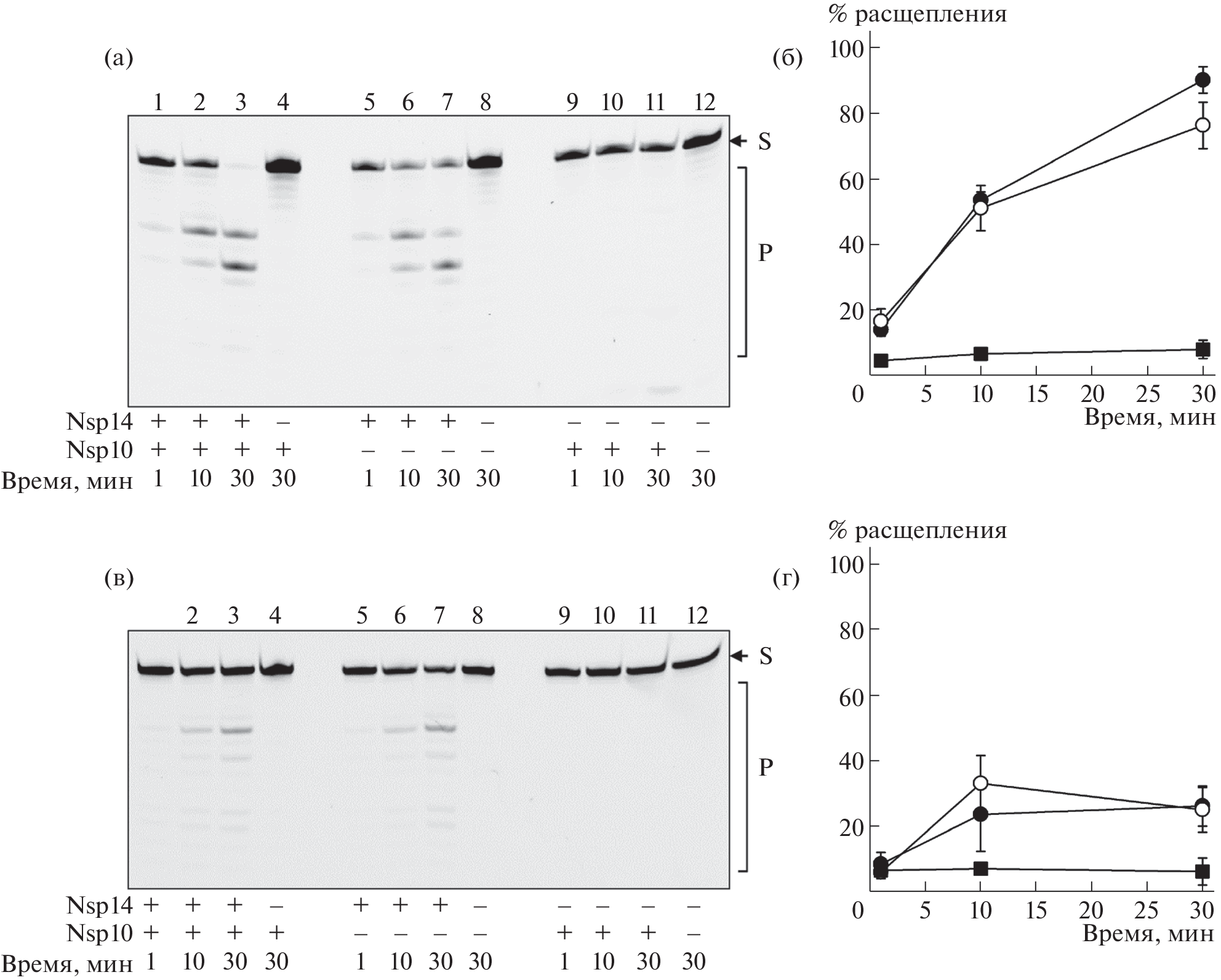
Пандемия COVID-19 показала необходимость создания новых средств терапии коронавирусных инфекций. Для некоторых вирусов успешно применяются аналоги нуклеозидов, ингибирующие репликацию за счет включения в растущую цепь ДНК или РНК. Однако репликативный аппарат коронавирусов содержит неструктурный белок nsp14 – 3' → 5'-экзонуклеазу, которая удаляет неправильно включенные и модифицированные нуклеотиды с 3'-конца растущей цепи РНК. В работе исследована эффективность гидролиза РНК, содержащей разные модификации в 3'-концевой области, экзонуклеазой nsp14 SARS-CoV-2 и ее комплексом со вспомогательным белком nsp10. Показано, что одноцепочечная РНК представляет собой предпочтительный субстрат по сравнению с двуцепочечной, что подтверждает предложенную на основе структурного анализа модель переноса субстратной цепи в активный центр фермента. Наибольшее влияние на активность nsp14 оказывала фосфотиоатная и в несколько меньшей степени –N-мезилфосфорамидная модификация фосфодиэфирной связи между предпоследним и последним нуклеотидами, а также введение 2'-фтор заместителя в предпоследний нуклеотид субстрата.
Об авторах
С. К. Ююкина
Новосибирский государственный университет; Институт химической биологии и фундаментальной медицины Сибирского отделения Российской академии наук
Автор, ответственный за переписку.
Email: sonyayuyukina@gmail.com
Россия, Новосибирск; Россия, Новосибирск
А. Е. Барматов
Институт химической биологии и фундаментальной медицины Сибирского отделения Российской академии наук
Email: dzharkov@niboch.nsc.ru
Россия, Новосибирск
С. Н. Бизяев
Новосибирский государственный университет; Институт цитологии и генетики Сибирского отделения Российской академии наук; Новосибирский институт органической химииим. Н.Н. Ворожцова Сибирского отделения
Российской академии наук
Email: dzharkov@niboch.nsc.ru
Россия, Новосибирск; Россия, Новосибирск; Россия, Новосибирск
Д. А. Стеценко
Новосибирский государственный университет; Институт цитологии и генетики Сибирского отделения Российской академии наук
Email: dzharkov@niboch.nsc.ru
Россия, Новосибирск; Россия, Новосибирск
О. В. Сергеева
Сколковский институт науки и технологий
Email: dzharkov@niboch.nsc.ru
Россия,
Москва
Т. С. Зацепин
Сколковский институт науки и технологий; Московский государственный университетимени М.В. Ломоносова, Химический факультет
Email: dzharkov@niboch.nsc.ru
Россия,
Москва; Россия, Москва
Д. О. Жарков
Новосибирский государственный университет; Институт химической биологии и фундаментальной медицины Сибирского отделения Российской академии наук
Автор, ответственный за переписку.
Email: dzharkov@niboch.nsc.ru
Россия, Новосибирск; Россия, Новосибирск
Список литературы
- Su S., Wong G., Shi W., et al. // Trends Microbiol. 2016. V. 24. № 6. P. 490–502.
- Jayk Bernal A., Gomes da Silva M.M., Musungaie D.B., et al. // N. Engl. J. Med. 2022. V. 386. № 6. P. 509–520.
- Bravo J.P.K., Dangerfield T.L., Taylor D.W., John-son K.A. // Mol. Cell. 2021. V. 81. № 7. P. 1548–1552.
- Shannon A., Selisko B., Le N.-T.-T., et al. // Nat. Commun. 2020. V. 11. 4682.
- Ferron F., Subissi L., Silveira De Morais A.T., et al. // Proc. Natl Acad. Sci. U.S.A. 2018. V. 115. № 2. P. E162–E171.
- Bouvet M., Imbert I., Subissi L., et al. // Proc. Natl Acad. Sci. U.S.A. 2012. V. 109. № 24. P. 9372–9377.
- Ma Y., Wu L., Shaw N., et al. // Proc. Natl Acad. Sci. U.S.A. 2015. V. 112. № 30. P. 9436–9441.
- Zuo Y., Deutscher M.P. // Nucleic Acids Res. 2001. V. 29. № 5. P. 1017–1026.
- Liu C., Shi W., Becker S.T., et al. // Science. 2021. V. 373. № 6559. P. 1142–1146.
- Челобанов Б.П., Буракова Е.А., Прохорова Д.В., и др. // Биоорган. химия. 2017. Т. 43. № 6. С. 644–649.
- Miroshnichenko S.K., Patutina O.A., Burakova E.A., et al. // Proc. Natl Acad. Sci. U.S.A. 2019. V. 116. № 4. P. 1229–1234.
- Minskaia E., Hertzig T., Gorbalenya A.E., et al. // Proc. Natl Acad. Sci. U.S.A. 2006. V. 103. № 13. P. 5108–5113.
- Ogando N.S., Zevenhoven-Dobbe J.C., van der Meer Y., et al. // J. Virol. 2020. V. 94. № 23. e01246-20.
- Yan L., Yang Y., Li M., et al. // Cell. 2021. V. 184. № 13. P. 3474–3485.e11.





