Assessment of the influence of climatic factors on the state of terrestrial ecosystems in the Northwestern region of Russia
- Autores: Vasiliev M.P.1, Nesterov E.М.2, Kashirina Е.V.2, Lyubimov A.V.2
-
Afiliações:
- Scientific Research Centre for Ecological Safety of the Russian Academy of Sciences
- Herzen State Pedagogical University of Russia
- Edição: Volume 88, Nº 2 (2024)
- Páginas: 145-157
- Seção: NATURAL PROCESSES AND DYNAMICS OF GEOSYSTEMS
- URL: https://journals.rcsi.science/2587-5566/article/view/266205
- DOI: https://doi.org/10.31857/S2587556624020045
- EDN: https://elibrary.ru/DSXTVR
- ID: 266205
Citar
Texto integral
Resumo
The article analyzes the change of climatic conditions in the Northwest of Russia, including the characteristics of dangerous hydrometeorological events (cold and heat waves, strong winds, extreme rainfall, snowfall, ice-frost deposits, hail) and slow climatic changes (increase in the number of days with the transition of air temperature through 0°С, coastal abrasion) in connection with their negative impact on terrestrial ecosystems. It was found that the influence of meteorological and climatic factors on terrestrial ecosystems is most pronounced in the northern part of the studied region, especially on the coast of the Barents Sea. Towards the south, the values of all indicators gradually decrease, and their structure changes. In the northern part of the study area (Murmansk and Arkhangelsk oblasts, the Nenets Autonomous Okrug), phenomena associated with strong winds and intensive ice-frost deposition, which contribute to the formation of an ice crust on the Earth’s surface, prevail. As one moves away from the coast, severe frost is observed more often (Komi Republic). In the center and south of the region, heavy rainfall, severe frost, and intense heat are the most frequent, resulting in a high fire hazard. The study carried out the ranking of the subjects of the Northwestern Federal District according to the degree of intensity of this process. Comprehensive assessments of the negative impact of changing climatic conditions on terrestrial ecosystems can be used to make decisions on the development of a strategy for environmental security of the regions of the Russian Federation.
Texto integral
Введение
Наблюдаемое изменение климата выражается как в увеличении повторяемости опасных гидрометеорологических явлений (ОЯ), так и в медленных изменениях температурно-влажностного режима и их последствиях – таянии многолетней мерзлоты, росте уровня моря и т.д. В северных регионах России эти процессы характеризуются особенно высокой интенсивностью (Ананичева и др., 2012; Второй …, 2014; Доклад ..., 2017). Как известно, климат является одним из основных факторов, влияющих на состояние наземных экосистем. Он определяет производительность и разнообразие экосистем, направление и скорость смен биологических сообществ, особенности гидрологического режима, устойчивость к природным и антропогенным воздействиям (Торжков и др., 2019; Энциклопедия …, 2005). Основные негативные погодно-климатические факторы для наземных экосистем на рассматриваемой территории обусловлены воздействием ОЯ (засухи, природные пожары, экстремальные скорости ветра, сильные ливни и снегопады, гололедно-изморозевые отложения и др.), а также последствиями медленных климатических изменений (изменение температурного режима, в частности, рост числа переходов температуры воздуха через 0°C). Очевидно, что эти процессы будут продолжаться и в будущем. Поэтому анализ их изменений на Северо-Западе России представляется весьма актуальным. Цель настоящей работы – комплексная статистическая оценка негативных воздействий изменяющихся климатических условий на наземные экосистемы в Северо-Западном регионе России.
Основные климатические показатели, влияющие на состояние наземных экосистем
Особенности климата Северо-Запада России определяются географическим положением в высоких широтах и большой протяженностью с севера на юг и с запада на восток. Климат этого региона формируется в основном под воздействием арктических и атлантических воздушных масс. В соответствии с природно-климатическим районированием, построенным на основе классификации климатов Б.П. Алисова (Национальный …, 2004), на этой территории представлены зоны тундры, лесотундры, тайги, смешанных лесов. Увеличение средних многолетних сумм осадков, продолжительности периодов с температурой выше 10°С увеличивают лесные ресурсы умеренного пояса. Однако эти изменения могут негативно влиять на ряд экосистем, так как для каждого растения характерен свой оптимальный диапазон метеорологических величин. Увеличение значений показателей, характеризующих интенсивность и повторяемость экстремальных явлений, обусловливает дополнительные риски для наземных экосистем. Так, например, длительные засухи являются причиной усыхания лесных массивов. Ветры со скоростями выше 25 м/с вызывают ветровалы и буреломы. Интенсивные дожди смывают почвы, а также могут вызвать усыхание деревьев в условиях длительного затопления. Негативное влияние на наземные экосистемы оказывают также сильные снегопады, крупный град, интенсивные гололедно-изморозевые отложения, периоды с высокой пожароопасностью др. (De Groot et al., 2013; Li et al., 2017; Walker et al., 2019). В докладах МГЭИК (2012, 2014) отмечается, что изменение статистических характеристик экстремальных гидрометеорологических явлений с высокой вероятностью связано с глобальным изменением климата. При этом, с одной стороны, более высокие температуры воздуха в районах с достаточным и избыточным увлажнением способствуют росту продуктивности наземных экосистем, но, с другой стороны, климатические изменения могут приводить к уменьшению биоразнообразия, а следовательно, к снижению устойчивости экосистем.
В ряде работ представлены результаты подробного анализа влияния изменения температурного режима, а также ветровалов, лесных пожаров, распространения болезней и вредителей леса на состояние экосистем в лесной, лесотундровой и тундровой зонах. Так, Королева с соавторами (2015, 2017) отмечают, что рост температуры воздуха негативно воздействует на экосистемы лесной и тундровой зон из-за приближения к границам диапазона температур воздуха, пригодного для их существования. При этом одни породы могут быть вытеснены другими, часто менее ценными, инвазивными видами. Рост температуры воздуха также является причиной деградации многолетней мерзлоты и трансформации почв на территории Северной Евразии, что также снижает устойчивость наземных экосистем в этом регионе (Королева и др., 2015; FAO, 2013). По данным (Олсон, 2011), территория, охваченная вспышками численности насекомых, может превышать площадь, пострадавшую от лесных пожаров. В условиях более высоких летних температур создаются более благоприятные условия для увеличения численности насекомых-вредителей, так как многие их виды, например, еловый лубоед, успевают пройти полный жизненный цикл за один, а не за два года, как при средних климатических условиях (Global …, 2019). Результаты многих исследований говорят о том, что рост площадей очагов вредителей и болезней определяется тремя основными факторами – увеличением приспособляемости насекомых вредителей в условиях более теплого климата, более интенсивным перемещением вредных видов на новые места обитания из-за развития торговли, а также их более успешной адаптацией в новых местах обитания благодаря широкому выбору деревьев-носителей (Лескинен и др., 2020). Кроме того, инвазивные виды могут быстрее распространяться там, где отсутствует набор их естественных врагов, которые обычно ограничивают их распространение. При этом уменьшается генетическое биоразнообразие лесных экосистем.
По мнению ряда авторов (Воздействие …, 2008; Изменения …, 2017; Состояние …, 2014; ACIA, 2004; Arctic …, 2013; Green et al., 1999), наиболее уязвимыми к изменениям климатических условий являются лесотундровые и тундровые экосистемы, находящиеся в северной части Северо-Западного региона РФ, так как для них характерна очень малая скорость восстановления. На арктические экосистемы в этом районе негативно влияют не только упомянутые выше опасные гидрометеорологические явления (прежде всего сильные ветры, снегопады, метели, а также возгорания торфяников), но и такие последствия медленных климатических изменений, как рост числа переходов температуры через 0°С весной и осенью, приводящих к образованию наста. Если на такую поверхность выпадут твердые, жидкие или смешанные осадки, наст может превратиться в ледяную корку. Увеличение зимней температуры воздуха примерно на 6°С к концу XXI в. в соответствии с пятью моделями МГЭИК, анализируемыми в (ACIA, 2004), может привести к увеличению числа случаев чередования периодов таяния и замерзания. В отдельные годы такие погодные условия вызывали огромные потери поголовья северного оленя, так как из-за наличия прочной ледяной корки олени не могут добыть лишайники. В этом заключается одна из причин, почему лишайников в северных регионах становится меньше. Животные вынуждены разбивать лишайники копытами, уничтожая их тела. В этом случае для регенерации лишайника требуются десятки лет (Tyler et al., 2007). Кроме того, в связи с изменениями погодных условий предзимья снег осенью часто покрывает еще незамерзшую землю. Это может приводить к гибели или ухудшению качества растений в следующем году. Еще одно последствие медленных климатических изменений – оттаивание многолетнемерзлых почв. При разрушении мерзлоты увеличивается риск проникновения токсичных веществ из мест их захоронения в почву. Этот процесс может усиливаться в связи с ростом интенсивности абразии берегов арктических морей и повышением уровня моря. При этом низко расположенные территории будут все чаще затапливаться при штормовых нагонах. Комплексное воздействие указанных процессов может приводить к разрушению прибрежных территорий и находящихся там природных объектов.
Используемые данные и методы
Для анализа пространственно-временного распределения указанных характеристик авторами были использованы результаты метеорологических наблюдений на 65 метеостанциях, расположенных на территории Северо-Западного региона РФ, в 1990–2019 гг. Эти метеостанции являлись реперными, т.е. имели период наблюдений не менее 30 лет, были репрезентативны (характерны) для окружающей территории (физико-географической провинции) и расположены относительно равномерно с пространственным шагом от 200 до 300 км (РД 52.04.720-2009).
На основе анализа работ, рассмотренных выше, были отобраны ОЯ, обуславливающие наибольшие угрозы для наземных экосистем в этом районе (волны холода и жары, периоды с высокой пожароопасностью, сильные ветры, экстремальные ливни, снегопады, гололедно-изморозевые отложения, град) в соответствии с принятыми критериями ОЯ (РД 52.04.563-2002) и создана база данных о повторяемости таких ОЯ. За ее основу была взята разработанная авторами ранее реляционная база данных “Погодно-климатические риски для отраслей экономики и социальной сферы субъектов Российской Федерации” с использованием СУБД Microsoft SQL Server 2014 Express, содержащая характеристики ОЯ до 2016 г. (Васильев и др., 2018, 2019), и дополненная метеорологическими данными до 2019 г., полученными с сайтов ФГБУ “ВНИИГМИ-МЦД” (http://meteo.ru/data, дата обращения 14.02.2022) по Северному, Северо-Западному и Мурманскому управлениям гидрометслужбы (УГМС) РФ и из Метеорологических ежемесячников (2017, 2018, 2019), подготовленных в этих УГМС.
Для анализа негативных проявлений медленных климатических изменений (увеличение числа дней с переходом температуры воздуха через 0°С и разрушение морских побережий) были использованы результаты наблюдений за температурой воздуха и суммами осадков на 65 метеорологических станциях, оценки, приведенные в работе (Второй …, 2014) и данные в (Информационный …, 2018).
Обсуждение результатов
Оценки характеристик опасных гидрометеорологических явлений
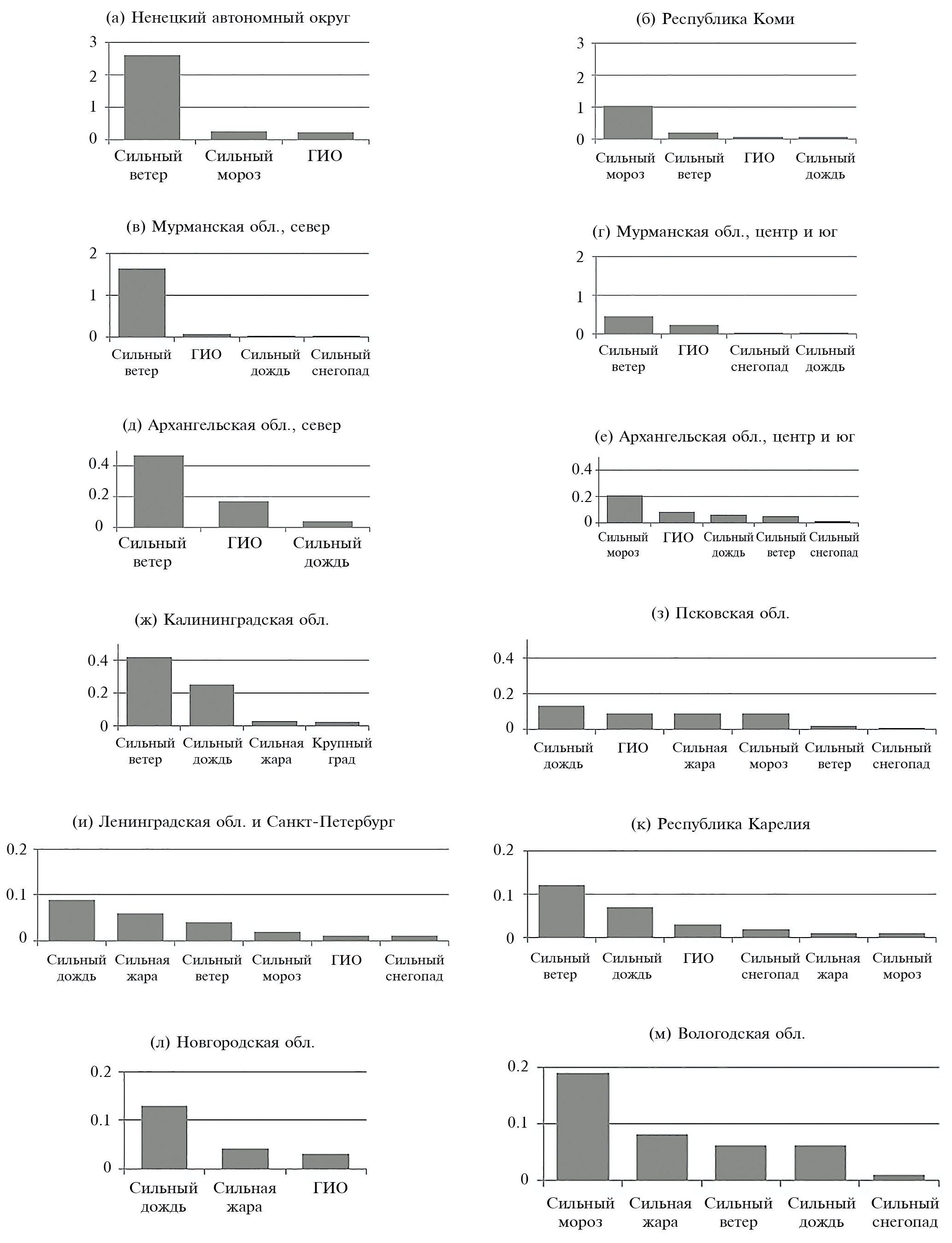
По особенностям воздействия на наземные экосистемы ОЯ были сгруппированы в следующие группы: сильный ветер, сильный дождь, сильный снегопад, крупный град, сильные гололедно-изморозевые отложения (ГИО), сильная жара, сильный мороз. На рис. 1 представлено среднее годовое число дней с ОЯ в различных областях Северо-Западного региона России. Наиболее неоднородные в климатическом отношении территориальные единицы – Мурманская и Архангельская области – были разделены на северную и южную части в соответствии с границами климатических и природных зон, определенными по классификации Б.П. Алисова.
Рис. 1. Среднее число дней с опасными гидрометеорологическими явлениями в различных частях Северо-Западного региона России: в восточной части (а, б); в северной части (в, г, д, е); в юго-западной части (ж, з); в западной части (и, к); в южной части (л, м). Дробные значения на шкале числа дней означают, что опасные гидрометеорологические явления наблюдались в среднем раз в несколько лет: 0.1 – 1 раз в 10 лет, 0.2 – 2 раза в 10 лет и т.д.
Как видно на графиках, повторяемость ОЯ разных видов значительно различается по территории. Так, в северной части рассматриваемого района (Мурманская и Архангельская области, Ненецкий автономный округ), особенно на побережье Баренцева моря преобладают ОЯ, связанные с сильным ветром и интенсивными гололедно-изморозевыми отложениями, способствующими образованию ледяной корки на поверхности земли. По мере удаления от побережья чаще наблюдается сильный мороз (Республика Коми). Для центральной и южной частей рассматриваемого региона характерно сочетание различных типов ОЯ. Наибольшую повторяемость здесь имеют сильный дождь, сильный мороз и сильная жара, обуславливающая высокую степень пожароопасности. Отмечаются также сильные ветры, снегопады и гололедно-изморозевые отложения. Для комплексной оценки ОЯ была построена карта суммарной повторяемости опасных явлений с помощью ArcGIS 10.1 (рис. 2) (Васильев, 2020).
Рис. 2. Средняя ежегодная повторяемость опасных гидрометеорологических явлений на территории Северо-Западного региона России (ArcGIS 10.1, интерполяция по методу кригинга). Точками темно-зеленого цвета обозначены метеостанции, красными точками – Санкт-Петербург и административные центры субъектов РФ.
Как видно на карте, повторяемость ОЯ резко возрастает на побережье Баренцева моря: 3–4 явления в год на каждой из рассматриваемых метеостанций, и на склонах Уральских гор – 2–3 явления в год. Межгодовая изменчивость числа случаев и числа дней с ОЯ в этом районе очень велика (рис. 3). Поэтому временные тренды этих характеристик статистически не значимы на 5% уровне значимости. Однако наблюдаемую тенденцию увеличения повторяемости ОЯ на большей части рассматриваемой территории нельзя не учитывать.
Рис. 3. Многолетние изменения числа случаев и числа дней с опасными гидрометеорологическими явлениями на территории Архангельской области в 1996–2017 гг.
По данным многочисленных исследований в условиях наблюдаемых и прогнозируемых климатических изменений повторяемость и интенсивность ОЯ в данном регионе будет возрастать. Так, например, по данным региональной климатической модели ФГБУ “ГГО” (Катцов и др., 2016, 2019; Хлебникова и др., 2018, 2019; Школьник, 2015) к середине XXI в. вероятно значительное увеличение повторяемости как сильных ливней, так и опасных снегопадов.
Оценки характеристик медленных климатических изменений
При анализе воздействий медленных климатических изменений на наземные экосистемы принимались во внимание значения числа дней с переходом через 0°С; отдельно рассматривались также скорости разрушения морских побережий, что, конечно, является следствием изменений, а не самим климатическим изменением.
Анализ числа дней с переходом через 0°С, выполненный по данным о минимальной и максимальной суточной температуре воздуха, показал, что значение этого показателя возрастает на значительной части рассматриваемой территории, прежде всего на севере и востоке. Однако структура этих изменений различна: если в лесной зоне рост числа переходов через 0°С приходится на зимний сезон, то в зонах тундры и лесотундры – на весну и осень (рис. 4).
Рис. 4. Многолетние изменения числа дней с переходом температуры воздуха через 0ºС в 1966–2019 гг.: (а) в зимний период в Вологде; (б) в осенний период в Нарьян-Маре.
В юго-западной и западной частях рассматриваемой территории таких трендов не отмечается или наблюдается даже некоторое уменьшение числа дней с переходом через 0ºС в связи с общим сокращением числа дней с отрицательной температурой воздуха в этом районе (рис. 5).
Рис. 5. Многолетние изменения суммарного за год числа дней с переходом температуры воздуха через 0ºС в 1966–2019 гг. в Калининграде.
Негативное воздействие на наземные экосистемы частных переходов температуры воздуха через 0°С возрастает при выпадении жидких и смешанных осадков, которые при дальнейшем замерзании могут превратить наст в прочную ледяную корку. Авторами были выполнены оценки изменения количества различных видов осадков (жидких, смешанных и твердых) (рис. 6–8). Для определения этих показателей был использован подход, рассмотренный в (Методические …, 2017). Он предполагает расчет так называемого коэффициента континентальности K по следующей формуле:
K = ( tмакс - tмин ) / (tмин + 50) × tгод ,
где tмакс, tмин – средняя многолетняя температура самого теплого и самого холодного месяца; tгод – средняя многолетняя годовая температура воздуха.
На основе полученных значений K и представленных в (Методические …, 2017) номограмм были рассчитаны ежегодные суммы жидких, смешанных и твердых осадков для различных пунктов на Северо-Западе России.
Рис. 6. Многолетние изменения сумм осадков различных видов в 1961–2015 гг. в Мурманске, мм.
Рис. 7. Многолетние изменения сумм осадков различных видов в 1961–2015 гг. в Нарьян-Маре, мм.
Рис. 8. Многолетние изменения сумм осадков различных видов в 1961–2015 гг. в Амдерме (Ненецкий автономный округ), мм.
Расчеты показали, что наиболее выраженные тенденции увеличения количества жидких и смешанных осадков при одновременном уменьшении сумм твердых осадков наблюдаются в северной части рассматриваемой территории – Мурманской области и Ненецком автономном округе. Причем, если на востоке Ненецкого автономного округа (Амдерма) во второй половине XX в. твердые осадки превышали жидкие в годовой сумме, то в конце XX – начале XXI в. сложилась обратная ситуация. Таким образом, комплексное воздействие изменения температурного и влажностного режимов будет способствовать процессам образования ледяной корки и создавать дополнительные риски для наземных экосистем. По данным климатического моделирования к середине XXI в. в северо-западной части рассматриваемого региона число дней с переходом через 0°С может еще возрасти на 4–5 дней (Катцов и др., 2020; Хлебникова и др., 2019).
В зависимости от изменения числа дней с переходом через 0°С было проведено ранжирование территорий Северо-Западного региона по значению этого показателя. Его величина варьировала от 0.7–1.0 (Ненецкий автономный округ, Вологодская, Архангельская области) до 0.1–0.6 (республики Коми и Карелия, Мурманская, Псковская, Ленинградская, Калининградская области).
Еще одним негативным последствием медленных климатических изменений в Северо-Западном регионе РФ является разрушение морских побережий. Рост температуры воздуха и воды, сокращение площади морского льда, увеличение высоты и повторяемости штормовых нагонов оказывают дестабилизирующий эффект на берега, способствуя возрастанию абразии. Степень абразии зависит как от погодно-климатических факторов, так и от состава и структуры слагающих побережья пород. Разрушению берегов в этом регионе способствует и постепенный рост уровня моря. Так, по данным (Второй …, 2014), среднегодовой подъем уровня моря за 1970–2005 гг. составил на Арктическом побережье 10–12 см. Учитывая прогнозируемый дальнейший рост уровня моря, разрушение морских берегов, вероятно, будет продолжаться (Изменения …, 2017). Надо отметить, что разрушение побережий происходит не только в Арктике. Осенние и зимние штормы при отсутствии ледяного покрова также приводят к абразии берегов Белого и Балтийского морей. По данным (Информационный …, 2018), скорость отступания отдельных участков берегов Белого и Балтийского морей составляет от 2 до 6 м в год. Однако, в отличие от побережий Баренцева и Карского морей, изменения берегов Белого и Балтийского морей имеют пульсационный характер, т.е. в течение нескольких лет направленность смещения берегового контура может меняться с положительной на отрицательную и наоборот. С использованием данных, содержащихся в (Второй ..., 2014) и (Информационный …, 2018) было проведено ранжирование территорий Северо-Западного региона РФ по степени опасности разрушения морских побережий от 1 (Ненецкий автономный округ) до 0 (Республика Коми, Вологодская, Псковская, Новгородская области).
Полученные результаты
На основе оценки характеристик ОЯ, данных об изменении числа дней с переходом через 0°С и скорости отступления берегов был сформирован массив данных для расчета комплексного показателя, характеризующего негативные воздействия климатических факторов на наземные экосистемы в Северо-Западном регионе России. Для решения этой задачи значения каждого показателя были переведены в относительные единицы, нормированы и затем просуммированы для каждой территориальной единицы. Для выбора оптимального метода нормирования были проанализированы и опробованы различные подходы к решению этой задачи, используемые в отечественной и зарубежной практике. В результате было принято решение использовать линейную нормировку по формуле: Xнорм = (Xисх – Xмин) / (Xмакс – Xмин). Этот подход наиболее прост и экономичен с точки зрения затрат машинного времени и дает результаты, незначительно отличающиеся от результатов использования более сложных методов (например, сигмоидной функции).
В работе была сделана попытка определить вклад каждого из рассмотренных факторов на основе литературных источников. Однако оказалось, что полученные данные по этой тематике сильно различаются (Королева и др., 2017; Лескинен и др., 2020; Ольсон, 2011; Хлебникова и др., 2018). Так как целью данной работы является оценка погодно-климатических воздействий на наземные экосистемы в крупных территориальных единицах Северо-Западного региона РФ, было принято решение учитывать эти факторы с равными весами, хотя в каждом конкретном месте их веса могут различаться.
В табл. 1 представлены нормированные значения комплексного показателя, характеризующего негативные воздействия климатических факторов на наземные экосистемы. Из табл. 1 видно, что негативные воздействия погодно-климатических факторов на наземные экосистемы наиболее сильно выражены в северной части рассматриваемого региона и, прежде всего, на побережье Баренцева моря. В этом районе (в зонах тундры и лесотундры) величина показателя принимает наибольшие значения (0.7–1.0). Здесь наиболее высокую повторяемость имеют опасные погодные явления, связанные с сильным ветром и интенсивными гололедно-изморозевыми отложениями (3–5 случаев ОЯ в году). Наблюдается интенсивная абразия берегов, обусловленная постепенным увеличением уровня моря, разрушением многолетнемерзлых пород и повышением штормовой активности северных морей из-за уменьшения ледового покрова. Статистически значимо увеличивается число дней с переходом через 0°С.
Таблица 1. Нормированные значения комплексного показателя, характеризующего негативные воздействия климатических факторов на наземные экосистемы в Северо-Западном регионе России
Субъект РФ | Комплексный показатель (в долях единицы) |
Ненецкий автономный округ | 1.0 |
Архангельская область: | |
северная часть | 0.8 |
южная часть | 0.6 |
Мурманская область: | |
северная часть | 0.7 |
южная часть | 0.6 |
Республика Коми | 0.6 |
Вологодская область | 0.5 |
Республика Карелия | 0.5 |
Ленинградская область | 0.4 |
Санкт-Петербург | 0.4 |
Новгородская область | 0.4 |
Псковская область | 0.3 |
Калининградская область | 0.3 |
По мере продвижения на юг значение комплексного показателя постепенно снижается до 0.5–0.6. В южных частях Архангельской и Мурманской областей, республиках Коми и Карелии, Вологодской области среднее годовое число случаев с ОЯ уменьшается до 1–2. Однако при этом меняется структура основных составляющих этого показателя. Увеличивается повторяемость экстремальных жидких осадков и волн тепла. Растет число дней с повышенной пожароопасностью и т.д.
В Ленинградской, Новгородской, Псковской и Калининградской областях, а также в Санкт-Петербурге величина комплексного показателя принимает наименьшие для Северо-Западного региона значения – 0.3–0.4. Среднее годовое число случаев с ОЯ здесь в основном не превышает 1 случая. Уменьшается или остается относительно постоянным число дней с переходом через 0°С. Однако в условиях климатических изменений в этом регионе также представляет опасность разрушение морских побережий под воздействием зимних штормов. Это особенно актуально для Санкт-Петербурга, Ленинградской и Калининградской областей.
Выводы
Основные погодно-климатические риски для наземных экосистем Северо-Западного региона России обусловлены воздействием опасных метеорологических явлений (засухи, природные пожары, экстремальные скорости ветра, сильные ливни и снегопады, гололедно-изморозевые отложения и др.), а также последствиями медленных климатических изменений (изменение температурного режима, в частности, рост числа переходов температуры воздуха через 0°C, и разрушение морских побережий). На основе оценки характеристик опасных явлений, данных об изменении числа дней с переходом через 0ºС и скорости отступления берегов был сформирован массив данных для расчета комплексного показателя, характеризующего негативные воздействия климатических факторов на наземные экосистемы Северо-Запада России. Было определено, что воздействия погодно-климатических факторов на наземные экосистемы наиболее сильно выражены в северной части рассматриваемого региона и, прежде всего, на побережье Баренцева моря. По мере продвижения на юг значения всех показателей постепенно снижаются, при этом меняется и их структура.
Результаты, полученные в данной работе, позволили выявить в рассматриваемом регионе территории с различной величиной комплексного показателя, характеризующего негативные воздействия климатических факторов на наземные экосистемы, и рассмотреть структуру его составляющих в разных климатических и природных зонах. Представленный подход позволяет проводить мониторинг как итоговых значений этого показателя, так и его составляющих и оценивать влияние наблюдаемых и ожидаемых климатических изменений на состояние экосистем. Комплексные оценки негативных воздействий изменяющихся климатических условий на наземные экосистемы могут быть использованы при принятии решений по разработке стратегии экологической безопасности регионов РФ.
Sobre autores
M. Vasiliev
Scientific Research Centre for Ecological Safety of the Russian Academy of Sciences
Autor responsável pela correspondência
Email: mih.vasilev@mail.ru
Rússia, St. Petersburg
E. Nesterov
Herzen State Pedagogical University of Russia
Email: mih.vasilev@mail.ru
Rússia, St. Petersburg
Е. Kashirina
Herzen State Pedagogical University of Russia
Email: kashirina@yandex.ru
Rússia, St. Petersburg
A. Lyubimov
Herzen State Pedagogical University of Russia
Email: mih.vasilev@mail.ru
Rússia, St. Petersburg
Bibliografia
- ACIA, 2004. Impacts of a Warming Arctic: Arctic Climate Impact Assessment. ACIA Overview report. Cambridge Univ. Press, 2004.
- Ananicheva M.D, Anokhin Yu.A., Asarin A.E. Natural Ecosystems of the Land. Chapter 6. In Metody otsenki posledstvii izmeneniya klimata dlya fizicheskikh i biologicheskikh system [Methods for Assessing the Effects of Climate Change on Physical and Biological Systems]. Semenov S.M., Ed. Moscow: Planeta Publ., 2012, pp. 190–265. (In Russ.).
- Arctic Resilience Interim Report 2013. Stockholm: Arctic Council, 2013.
- De Groot W.J., Flannigan M.D., Cantin A.S. Climate change impacts on future boreal fire regimes. For. Ecol. Manag., 2013, no. 294, pp. 35–44.
- Doklad o klimaticheskikh riskakh na territorii Rossiiskoi Federatsii [Report on Climate Risks in the Territory of the Russian Federation]. Kattsov V.M., Ed. St. Petersburg: Glavn. Geofizich. Observatoria im. Voeikova, 2017. 106 p.
- Entsiklopediya klimaticheskikh resursov Rossiiskoi Federatsii [Encyclopedia of Climatic Resources of the Russian Federation]. Kobysheva N.V., Khairullin K.Sh., Ed. St. Petersburg: Hydrometeoizdat, 2005. 319 p.
- FAO, 2013. Climate change guidelines for forest managers. FAO Forestry Paper. Rome: FAO, 2013, no. 172. 110 p.
- Global Forest Watch, 2019. Available at: http://www.globalforestwatch.org (accessed: 04.12.2020).
- Green R.E. Harley M., Spalding M., Zockler C. Impacts of climate change on wildlife. RSBP/UNEP WCMC Publication, 1999.
- Informatsionnyi byulleten’ o sostoyanii geologicheskoi sredy pribrezhno-shel’fovykh zon Barentseva, Belogo i Baltiiskogo morei v 2018 g. [Newsletter on the State of the Geological Environment of the Coastal Shelf Zones of the Barents, White and Baltic Seas in 2018]. St. Petersburg: VSEGEI, 2019. 99 p.
- IPCC, 2012. Summary for Policymakers. In Managing the Risks of Extreme Events and Disasters to Advance Climate Change Adaptation. A Special Report of Working Groups I and II of the Intergovernmental Panel on Climate Change. Cambridge, New York: CUP.
- IPCC, 2014. Climate Change 2014: Impacts, Adaptation, and Vulnerability. Part A: Global and Sectoral Aspects. Contribution of Working Group II to the Fifth Assessment Report of the Intergovernmental Panel on Climate Change. Cambridge, New York: CUP.
- Izmeneniya klimata Arktiki: mesto klimaticheskoi nauki v planirovanii adaptatsii [Arctic Climate Change: The Place of Climate Science in Adaptation Planning]. Kattsov V.M., Ed. St. Petersburg: Glavn. Geofizich. Observatoria im. Voeikova, 2017. 104 p.
- Kattsov V.M., Khlebnikova E.I., Shkolnik I.M., Rudakova Yu.L. Probabilistic regional climate project in gas a basis for development of adaptation programs in the economy of the Russian Federation. Russ. Meteorol. Hydrol., 2020, vol. 45, no. 5, pp. 330–338. https://doi.org/10.3103/S1068373920050039
- Kattsov V.M., Shkolnik I.M., Efimov S.V., Konstantinov A.V., Pavlova V.N., Pavlova T.V., Khlebnikova E.I., Pikaleva A.A., Baidin A.V., Borisenko V.A. Development of a technique for regional climate probabilistic projections over the territory of Russia aimed at building scenarios of climate impacts on economy sectors. Part 1: Task definition and numerical experiments. Trudy GGO, 2016, vol. 583, pp. 7–29. (In Russ.).
- Kattsov V.M., Shkolnik I.M., Pavlova V.N., Khlebnikova E.I., Efimov S.V., Konstantinov A.V., Pavlova T.V., Pikaleva A.A., Rudakova Yu. L., Sall I.A., Baidin A.V., Zadvornykh V.A. Development of a technique for regional climate probabilistic projections over the territory of Russia aimed at building scenarios of climate impacts on economy sectors. Part 2: Climate impact projections. Trudy GGO, 2019, vol. 593, pp. 6–52. (In Russ.).
- Khlebnikova E.I., Kattsov V.M., Pikaleva A.A., Shkolnik I.M. Assessment of climate change impacts on economic development of the Russian arctic in the 21st century. Russ. Meteorol. Hydrol., 2018, vol. 43, no. 6, pp. 347–356. https://doi.org/10.3103/S1068373918060018
- Khlebnikova E.I., Rudakova Yu.L., Shkolnik I.M. Changes in precipitation regime over the territory of Russia: Data of regional climate modeling and observations. Russ. Meteorol. Hydrol., 2019, vol. 44, no. 7, pp. 431–439. https://doi.org/10.3103/S106837391907001X
- Koroleva T.S., Konstantinov A.V., Shunkina E.A. Threats and socio-economic impacts of climate change for the forest sector. Trudy S.-Peterb. Nauch.-Issled. Inst. Lesn. Khoz., 2015, no. 3, pp. 55–71. (In Russ.).
- Koroleva, Konstantinov A.V., Kushnir E.A., Torzhkov I.O. Results of standardized vulnerability assessment of forestry in russia in the impact of climate variability. Trudy S.-Peterb. Nauch.-Issled. Inst. Lesn. Khoz., 2017, no. 3, pp. 13–22. (In Russ.).
- Li F., Lawrence D.M., Bond-Lamberty B. Impact of fire on global land surface air temperature and energy budget for the 20th century due to changes within ecosystems. Environ. Res. Lett., 2017, vol. 12, no. 4, pp. 10–53.
- Meteorologicheskii ezhemesyachnik. Vyp. 1–3 [Meteorological Monthly. Vol. 1–3]. Rosgidromet, 2017–2019.
- Metodicheskie rekomendatsii po raschetu spetsializirovannykh klimaticheskikh kharakteristik dlya obsluzhivaniya razlichnykh otraslei ekonomiki. Stroitel’stvo. Transport [Methodological Recommendations for the Calculation of Specialized Climatic Characteristics for Servicing Various Sectors of the Economy. Construction. Transport]. St. Petersburg: Glavn. Geofizich. Observatoria im. Voeikova, 2017. 160 p.
- Natsional’nyi atlas Rossii. Tom 2. Priroda i ekologiya [The National Atlas of Russia. Vol. 2. Nature and Ecology]. Moscow: FGUP “GosGISTsentr”, 2004. 495 p.
- Ohlsson R. Boreal Forest and climate change. Ustoichivoe Lesopol., 2011, vol. 28, no. 3, pp. 27–38. (In Russ.).
- RD 52.04.563–2002. Kriterii opasnykh gidrometeorologicheskikh yavlenii i poryadok podachi shtormovogo soobshcheniya [Guidance Document 52.04.563–2002. Criteria for Dangerous Hydrometeorological Phenomena and the Procedure for Submitting a Storm Message]. Rosgidromet, 2002. 28 p.
- RD 52.04.720–2009. Polozhenie o repernykh klimaticheskikh stantsiyakh [Guidance Document 52.04.720–2009. Regulations on Reference Climate Stations]. Rosgidromet, 2009. 15 p.
- Russian forests and climate change. What Science Can Tell Us 11. Leskinen P., Lindner M., Verkerk P.J., Nabuurs G.J., Van Brusselen J., Kulikova E., Hassegawa M., Lerink B., Eds. European Forest Institute, 2020. https://doi.org/10.36333/wsctu11
- Shkolnik I.M., Efimov S.V. A new generation regional climate model for northern Eurasia. Trudy GGO, 2015, vol. 576, pp. 201–211. (In Russ.).
- Sostoyanie arkticheskikh morei i territorii v usloviyakh izmeneniya klimata. Sb. tezisov Vseross. Konf. s mezhdun. uchastiem [The State of the Arctic Seas and Territories in the Conditions of Climate Change: Abstracts of the All-Russian Conf. with Int. Participation]. Arkhangelsk: ID SAFU. 199 p.
- Torzhkov I.O., Kushnir E.A., Konstantinov A.V., Koroleva T.S., Efimov S.V., Shkolnik I.M. Assessment of future climate change impacts on forestry in Russia. Russ. Meteorol. Hydrol., 2019, vol. 44, no. 3, pp. 180–186. https://doi.org/10.3103/S1068373919030038
- Tyler N.J.C., Turi J.M., Sundset M.A., et al. Saami reindeer pastoralism under climate change: Applying a generalized framework for vulnerability studies to a sub-arctic social-ecological system. Glob. Environ. Change, 2007, vol. 17, no. 2, pp. 191–206. https://doi.org/10.1016/j.gloenvcha.2006.06.001
- Vasilev M.P., Kashirina E.V. Technology of weather and climate risks assessment in terms of SQL language. In Nekotorye aktual’nye problemy sovremennoi matematiki i matematicheskogo obrazovaniya. Gertsenovskie chteniya: Materialy Nauch. Konf. [Some Actual Problems of Modern Mathematics and Mathematical Education. Herzen Readings: Materials of the Sci. Conf.]. St. Petersburg: RGPU im. Gertsena, 2019, pp. 243–248. (In Russ.).
- Vasilev M.P., Kashirina E.V., Akentieva E.M. Database “Weather and Climate Risks for Economic and Social Sectors of the Subjects of the Russian Federation”. Certificate of state registration of the database RU 2018620868, 19.06.2018. № 2018620494, 26.04.2018. Federal Service for Intellectual Property. Moscow, 2018.
- Vasiliev M.P. Weather, climate, and environmental risks for terrestrial ecosystems in the north-western region of Russia. In Geologiya, geoekologiya, evolyutsionnaya geografiya: kollektivnaya monografiya. Tom 19 [Geology, Geoecology, Evolutionary Geography: A Collective Monograph. Vol. 19]. Nesterov E.M., Snytko V.A., Eds. St. Petersburg: RGPU im. Gertsena, 2020, pp. 233–238. (In Russ.).
- Vozdeistvie izmeneniya klimata na rossiiskuyu Arktiku: analiz i puti resheniya problemy [The Impact of Climate Change on the Russian Arctic: Analysis and Solutions to the Problem]. Kokorin A.O., Ed. Moscow: WWF, 2008. 27 p.
- Vtoroi otsenochnyi doklad Rosgidrometa ob izmeneniyakh klimata i ikh posledstviyakh na territorii Rossiiskoi Federatsii. Obshchee rezyume [The Second Evaluation Report of Roshydromet on Climate Change and Its Consequences on the Territory of the Russian Federation. General Summary]. Moscow: Rosgidromet, 2014. 59 p.
- Walker, X.J., Baltzer, J.L., Cumming, S.G., et al. Increasing wildfires threaten historic carbon sink of boreal forest soils. Nature, 2019, vol. 572, pp. 520–523. https://doi.org/10.1038/s41586-019-1474-y
Arquivos suplementares










