Transboundary Water Exchange in the Don River Basin
- Авторлар: Dolgov S.V.1, Koronkevich N.I.1, Alentyev Y.Y.1
-
Мекемелер:
- Institute of Geography, Russian Academy of Sciences
- Шығарылым: Том 87, № 2 (2023)
- Беттер: 250-263
- Бөлім: NATURAL RESOURCE USE AND GEOECOLOGY
- URL: https://journals.rcsi.science/2587-5566/article/view/135581
- DOI: https://doi.org/10.31857/S2587556623020048
- EDN: https://elibrary.ru/KESAHY
- ID: 135581
Дәйексөз келтіру
Толық мәтін
Аннотация
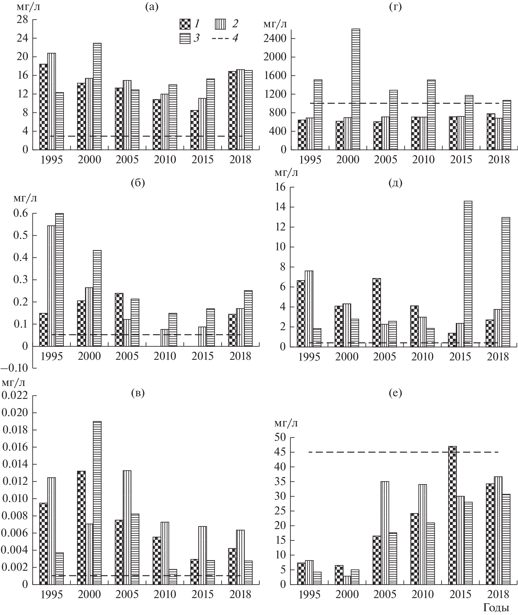
Different types of water exchange across state (as of the end of February 2022), administrative and natural borders in the Don River basin are considered. The indicators of atmospheric moisture transfer and wind movement of snow, water runoff across the boundaries of forest-steppe and steppe zones and the boundaries of individual landscapes are given. Most of the water is transported across all boundaries in the atmosphere. River runoff is only 4% of the value of atmospheric moisture transfer; 42% of the total annual runoff flows from the forest-steppe to the borders of the steppe zone, 39% of the flood runoff and 55–65% of the minimum summer-autumn and winter runoff. The exchange of river water between individual subjects in the Russian part of the Don River basin has been determined. There is a significant improvement in the water availability of the regions, taking into account the transit flow. The transfer of chemicals with water is considered. The features of the formation of diffuse runoff of biogenic elements in different landscapes are revealed. The results of a comparative analysis of the dynamics of the content of pollutants in the wastewater of Rostov, Voronezh, and Lipetsk oblasts for 1995–2018 period are presented. The impact of local and transit wastewater on the quality of water resources of Rostov oblast is assessed. The features of transboundary water exchange in connection with climate changes and economic activity that have occurred over the past decades are revealed. Mainly due to climatic changes, river runoff on the Lower Don has significantly decreased–by an average of 20%. The role of the surface component of runoff in the movement of water together with pollutants across administrative and natural borders has significantly decreased, while the role of the underground component, on the contrary, has increased. The ways of solving the main problems caused by transboundary water exchange are proposed.
Авторлар туралы
S. Dolgov
Institute of Geography, Russian Academy of Sciences
Хат алмасуға жауапты Автор.
Email: svdolgov1978@yandex.ru
Russia, Moscow
N. Koronkevich
Institute of Geography, Russian Academy of Sciences
Хат алмасуға жауапты Автор.
Email: koronkevich@igras.ru
Russia, Moscow
Yu. Alentyev
Institute of Geography, Russian Academy of Sciences
Хат алмасуға жауапты Автор.
Email: alentev49@mail.ru
Russia, Moscow
Әдебиет тізімі
- Водные ресурсы и водное хозяйство России: Стат. сб. / под ред. Н.Г. Рыбальского, В.А. Омельяненко, А.Д. Думнова. М.: НИА-Природа, 2008–2018.
- Водные ресурсы и водный баланс территории Советского Союза. Л.: Гидрометеоиздат, 1967. 199 с.
- Водные ресурсы России и их использование / под ред. И.А. Шикломанова. СПб.: ГГИ, 2008. 600 с.
- Водные ресурсы Российской Федерации: Стат. сб. / под ред. Н.Г. Рыбальского и А.Д. Думнова. М.: НИА-Природа, 2007. 205 с.
- Водные ресурсы СССР и их использование. Л.: Гидрометеоиздат, 1987. 301 с.
- Государственный доклад “О состоянии и использовании водных ресурсов Российской Федерации в 2018 году”. М.: НИА-Природа, 2019. 290 с.
- Джамалов Р.Г., Киреева М.Б., Косолапов А.Е., Фролова Н.Л. Водные ресурсы бассейна Дона и их экологическое состояние. М.: ГЕОС, 2017. 205 с.
- Долгов С.В. Гидрологические последствия изменений хозяйственной деятельности в Курской области // Изв. РАН. Сер. геогр. 2002. № 5. С. 72–82.
- Долгов С.В., Коронкевич Н.И., Барабанова Е.А. Ландшафтно-гидрологические изменения в бассейне Дона // Водные ресурсы. 2020. Т. 47. № 6. С. 674–685.
- Долгов С.В., Швыдкий В.О., Штамм Е.В. Закономерности формирования баланса азота и фосфора на речных водосборах в центральной лесостепи Русской равнины в 1990–2020 гг. // Изв. РАН. Сер. геогр. 2021. Т. 85. № 3. С. 355–367.
- Закруткин В.Е., Коронкевич Н.И., Шишкина Д.Ю., Долгов С.В. Закономерности антропогенного преобразования малых водосборов степной зоны Юга России (в пределах Ростовской области). Ростов-на-Дону: Изд-во Ростов. ун-та, 2004. 252 с.
- Калинин Г.П. Проблемы глобальной гидрологии. Л.: Гидрометеоиздат, 1968. 377 с.
- Клюев Н.Н. Экологические угрозы в Российском приграничье // Изв. РАН. Сер. геогр. 2017. № 1. С. 35–46.
- Коронкевич Н.И., Барабанова Е.А., Георгиади А.Г., Долгов С.В., Зайцева И.С. Трансграничный водообмен в России // Водные ресурсы. 2021. Т. 48. № 4. С. 407–416.
- Коронкевич Н.И., Барабанова Е.А., Георгиади А.Г., Долгов С.В., Зайцева И.С., Кашутина Е.А. Оценка антропогенных воздействий на водные ресурсы России // Вестн. РАН. 2019. № 6. С. 603–614.
- Коронкевич Н.И., Долгов С.В. Сток с водосбора как источник диффузного загрязнения рек // Вода и экология: проблемы и решения. 2017. № 4. С. 103–110.
- Котляков В.М. Мир снега и льда. М.: Наука, 1994. 286 с.
- Кузнецова Л.П. Перенос влаги в атмосфере над территорией СССР. М.: Наука, 1978. 91 с.
- Научно-прикладной справочник: Основные гидрологические характеристики водных объектов бассейна реки Дон / под ред. В.Ю. Георгиевского. СПб.: Свое издательство, 2020. 262 с.
- Ресурсы поверхностных и подземных вод, их использование и качество: Ежегод. изд-е. СПб.–М., 2001–2019.
- Ясинский С.В., Кашутина Е.А., Сидорова М.В., Нарыков А.Н. Антропогенная нагрузка и влияние водосбора на диффузный сток биогенных элементов в крупный водный объект (на примере водосбора Чебоксарского водохранилища) // Водные ресурсы. 2020. Т. 47. № 5. С. 630–648.
Қосымша файлдар







