Соолигомер на основе 2-аллилфенола, формальдегида и этилендиамина и исследование его структурированного продукта в качестве сорбента для извлечения уранил-ионов из водных систем
- Авторлар: Мехтиева Г.М.1, Байрамов М.Р.1, Нагиев Д.А.2
-
Мекемелер:
- Бакинский государственный университет
- Агентство инноваций и цифрового развития
- Шығарылым: Том 66, № 3 (2024)
- Беттер: 186-195
- Бөлім: ФУНКЦИОНАЛЬНЫЕ ПОЛИМЕРЫ
- URL: https://journals.rcsi.science/2308-1139/article/view/272902
- DOI: https://doi.org/10.31857/S2308113924030047
- EDN: https://elibrary.ru/LVJSIF
- ID: 272902
Дәйексөз келтіру
Толық мәтін
Аннотация
Тройной конденсацией 2-аллилфенола, формальдегида и этилендиамина (0.5 : 4.0 : 1.0) синтезирован соолигомер с выходом 93%. Определены его молекулярная масса и молекулярно-массовое распределение (Мw = 860 и Мn = 470), а также выявлена достаточная термическая стабильность (значительная потеря массы соолигомера наблюдалась при ~400°С). Проведено самоструктурирование соолигомера термически (до 280°С) и структурирование его с акрилонитрилом в присутствии инициатора бензоил пероксида (1%) с последующим гидролизом полученного полимера в присутствии КОН. Структура их изучена методом ИК-спектроскопии. Исследованы сорбционные свойства сшитого гидролизованного полимера для извлечения уранил-ионов из модельных водных систем в статических условиях при различных значениях рН, концентрации и времени. Выявлено, что максимальная степень сорбции уранил-ионов продуктом гидролиза сшитого полимера при рН 7 составляет 90.8%, а сорбционная емкость – 203.5 мг/г. Рассмотрена зависимость статической сорбционной емкости сшитого полимера от равновесной и начальной концентрации уранил-ионов. Показано, что сорбционная емкость стабилизируется при ~300 мг/г. Сорбционные свойства сшитого полимера подтверждены методом ИК-спектроскопии, а также результатами ЭДС и сканирующей электронной микроскопии.
Толық мәтін
ВВЕДЕНИЕ
Олигомерные и соолигомерные соединения, полученные на основе фенолов, альдегидов, аминов и других соединений, содержащие такие различные функциональные группы, как фенольный гидроксил, связи С=С и С–С, а также атомы азота, фосфора и серы, служат объектом многочисленных исследований, что связано с широкими возможностями их использования [1–8].
В отличие от высокомолекулярных соединений, структурирование (отверждение) олигомеров можно проводить в “мягких” условиях с небольшим выделением тепла реакции. Процесс протекает с малой усадкой, а полученные сшитые материалы характеризуются монолитностью и термостабильностью, что является важными показателями, от которых в значительной степени зависят их эксплуатационные свойства [9–15].
Следует отметить, что и при структурировании высокомолекулярных соединений для решения многих вопросов, связанных с отводом тепла реакции и получения материалов с заданными свойствами, используются технологии, включающие конструирование их структур на стадии синтеза. Так, например, синтез сверхсшитых тройных сополимеров стирола, винилбензилхлорида и дивинилбензола (сшивающего агента) был осуществлен в условиях, способствующих регулированию объема пор, что было подтверждено авторами работы [16] методом молекулярного моделирования.
Соолигомеры фенолформальдегидного тип как прекурсоры остаются востребованными. Особенно большой интерес представляют модифицированные соолигомеры фенолформальдегидного типа, что в немалой степени обусловлено их относительной доступностью и несложным осуществлением различных химических превращений термически, или в присутствии специальных сшивающих агентов (например, акрилонитрила, гексаметилендиамина и др.) [17–25]. Материалы трехмерной структуры можно применять в качестве конструкционных материалов, адгезивов, сорбентов, матриц для импрегнирования наночастиц металлов, их сульфидов, карбидов и т.д.
Для получения новолачных смол, используемых как сырье для пластических масс, была исследована реакция конденсации формальдегида со смесью фенола, фенолфталеина и м-крезола в присутствии кислотного катализатора [26]. Вместо м-крезола в указанном синтезе можно применять и содержащий фталилимидин бисфенол [27]. Полученные этими путями материалы были рекомендованы к использованию в качестве пластических масс. Модифицированные основаниями Манниха фенолформальдегидные смолы, обладающие биологической активностью, описаны в работе [28].
В последние годы в сшитые материалы включают наночастицы металлов, их оксидов, сульфидов. Так, путем включения в композит на основе фенолформальдегидной смолы карбида кремния и пробкового порошка был разработан новый материал в качестве матрицы, предназначенный для аэрокосмической техники [29].
Фенолформальдегидные смолы, в частности сульфированные, также применяют как ионообменные материалы [30, 31]. В работе [32] изучена селективность ионитов на основе фенолформальдегидных смол по отношению к ионам цезия и рубидия. Селективность фенолформальдегидных смол авторы объясняют преобладанием стадии дегидратации при переходе из водного раствора в фенольную фазу. Более высокая селективность ионитов фенольного типа к ионам рубидия и цезия в сравнении с сульфокислотными катионитами полистирольного типа объясняется значительно меньшим содержанием влаги в полимере и более сильной дегидратацией ионов в них.
Таким образом, интерес к соолигомерам фенолформальдегидного типа в качестве доступного сырья очень высок, и здесь открываются новые возможности целенаправленного моделирования структуры этих соолигомеров для того, чтобы осуществлять на их основе многочисленные превращения.
Цель настоящей работы – осуществить тройную конденсацию 2-аллилфенола, формальдегида и этилендиамина, разработать на основе полученного ненасыщенного продукта сорбционный материал для извлечения уранил-ионов из модельных водных систем. Несмотря на то что для извлечения опасных тяжелых металлов и радиоактивных веществ из объектов окружающей среды уже предложены многочисленные адсорбционные, осадительные и иные способы, данная проблема остается весьма актуальной.
ЭКСПЕРИМЕНТАЛЬНАЯ ЧАСТЬ
Исходным сырьем для синтеза служили 2-аллилфенол компании “Sigma-Aldrich” (98%, Ткип = 220–221°С, = 1.028 г/см3, = 1.578), формальдегид (37%-ный водный раствор формалина; “KarmaLab”), а также предоставленные Закрытым акционерным обществом “Вектон” этилендиамин (99%, Ткип = 116°С, = 0.899 г/см3, = 1.4565), акрилонитрил и KOH. Растворителями выступали бензол (“Вектон”) и ацетон (квалификация ч.д.а.; Закрытое акционерное общество “База № 1 Химреактивов”).
ИК-спектры полученных соединений регистрировали на ИК-фурье-спектрофотометре фирмы “Varian” в диапазоне 4000–400 см–1 при комнатной температуре. ТГА и ДТА соолигомера изучали с помощью прибора “STA 449F3” c программным обеспечением “NETZSCH Proteus” (Германия).
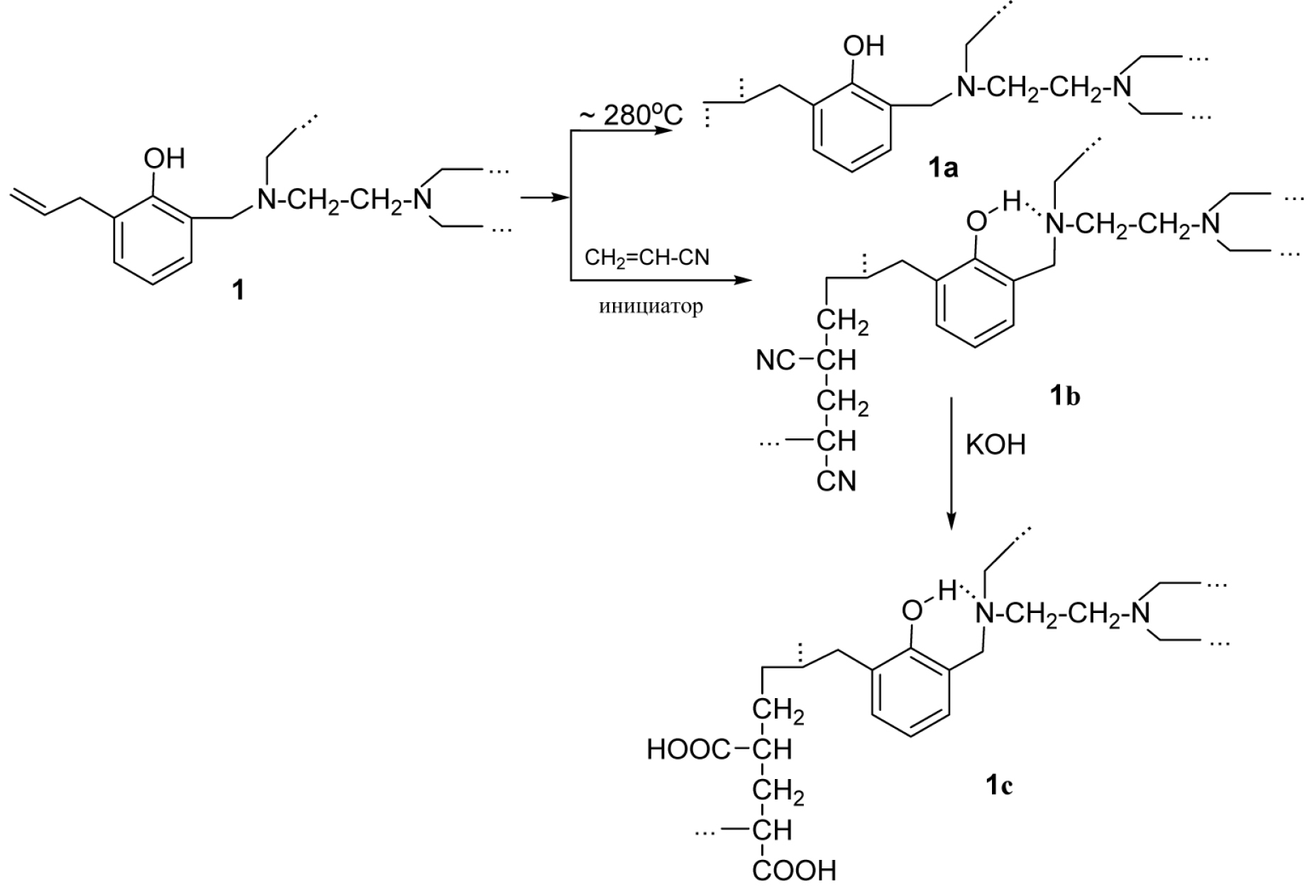
Тройную конденсацию 2-аллилфенола, формальдегида и этилендиамина осуществляли при мольном соотношении 0.5 : 4.0 : 1.0 соответственно следующим образом:
В трехгорлую реакционную колбу, снабженную обратным холодильником, мешалкой, термометром и капельной воронкой, при перемешивании загружали 20 г (0.15 моля) 2-аллилфенола и 24 мл формалина (37%-ный водный раствор формальдегида, 0.3 моль СН2О) и проводили реакцию при температуре 45–50°С в течение 30–40 мин. Далее в массу вводили 18 г (0.3 моля) этилендиамина и оставшееся количество формалина 48.4 мл (0.9 моля). Температуру при перемешивании поднимали до 90°С и проводили реакцию в течение 2 ч. По окончании реакции содержимое колбы растворяли в бензоле и сушили над Na2SO4, после чего осаждали в гептане. Выход продукта составил 93%.
Молекулярную массу и параметры молекулярно-массового распределения соолигомера определяли методом эксклюзионной жидкостной хроматографии на хроматографе фирмы “Kovo” (Чехия) c рефрактометрическим детектором. Применяли две колонки размером 3.3 × 150 мм, заполненные неподвижной фазой “Separon-SGX” с размером частиц 7 мкм и пористостью 100 Å. Элюент-ДМФА, скорость потока 0.3 мл/мин, Т = 20–25°С. Калибровку проводили с использованием ПЭГ-стандартов. Интерпретацию ММР-хроматограмм выполняли по методике [33].
Радикальную полимеризацию соолигомера 1 (1а) с акрилонитрилом осуществляли следующим образом:
В предварительно подготовленную стеклянную ампулу емкостью 20–30 мл загружали 10 г соолигомера на основе 2-аллилфенола, формальдегида и этилендиамина, 5.2 г акрилонитрила и 2% инициатора (на сумму взятого количества соолигомера и акрилонитрила) – бензоилпероксида (БПО). Ампулу охлаждали жидким азотом, вакуумировали, запаивали в токе азота и переносили в ультратермостат с температурой 80°С, где выдерживали в течение 10 ч. По завершении процесса содержимое ампулы обрабатывали кипящим ацетоном в аппарате Сокслета (для отделения не вступивших в реакцию соолигомеров). Сшитый полимер сушили в вакууме при 60–70 оС и остаточном давлении 3–5 мм рт.ст. Выход продуктов 1б составил 94%. Они представляют собой нерастворимые и неплавкие вещества желтого цвета.
Гидролиз структурированного акрилонитрилом соолигомера (1б) вели в присутствии 10%-ого водного раствора гидроксида натрия кипячением в течение 10 ч. Полученный продукт сушили под вакуумом (3–4 мм рт.ст.). Выход 1в составил 84%.
Чтобы изучить сорбционные свойства сшитого полимера 1в использовали модельную систему, полученную растворением 134.5 мг/л уранил-нитрата (99.95%, квалификация ч.д.а.; Sigma-Aldrich, 2018) в дистиллированной воде.
Для проведения эксперимента в тефлоновый стакан емкостью 100 мл загружали 30 мг сшитого полимера и исследуемого водного раствора, содержащего уранил-нитрат. В систему вводили 10 мл буферного раствора, содержащего СН3СООН (99.9%, квалификация х.ч. ледяная; Общество с ограниченной ответственностью “ВитаРеактив”) и NH4OH (25%, квалификация ч.д.а.; “Русхим”), количество брали в зависимости от рН среды. После этого объем смеси доводили до 50 мл разбавлением дистиллированной водой (Аквадистиллятор “ЭКРОС-2205 (ПЭ-2205) (А)”). Систему выдерживали в статическом режиме при комнатной температуре в течение 24 ч. По завершении выдержки раствор отфильтровывали и в маточном растворе с помощью γ-спектрометра “HP Ge” (c германиевым детектором; “Canberra”) устанавливали активность изотопов 235U и 238U(234mPa и 234Th), 1500 Бк/л (рис. 1, 2).
Рис. 1. HPGe-спектрометрометрическое (гамма-спектр) определение изотопов урана: 1 – гамма-спектр уранового стандарта, 2 – гамма-спектр исследуемого раствора уранил-нитрата, 3 – фоновый гамма-спектр. Цветные рисунки можно посмотреть в электронной версии
Рис. 2. HPGe-спектрометрическое определение урана U-235 (гамма-спектр в области низких значений энергии): 1 – гамма-спектр уранового стандарта, 2 – гамма-спектр исследуемого раствора уранил-нитрата, 3 – фоновый гамма-спектр
Гамма-спектры образца определяли планарным гамма-детектором, а изотопный состав солей (процентное содержание изотопов U-235, U-234 и U-238) – с помощью программного обеспечения “MGAU” (рис. 3). Количество радиоизотопа U-235 в соли составляет 0.72 ± 0.05%.
Рис. 3. Определение процентного содержания изотопов U-235 (1), U-234 (2) и U-238 (3) в растворе нитрата уранила (программа “MGAU”)
Об эффективности извлечения уранил-ионов сополимерами судили по снижению концентрации указанных изотопов в растворе до и после сорбции, а уже на их основе вычисляли степень извлечения уранил-ионов (R) и сорбционную емкость сорбента (q) [18]:
, (1)
. (2)
Здесь R – cтепень сорбции (%), q – сорбционная емкость сорбента (мг/г), C0 и C – начальная и равновесная концентрация уранил-ионов (мг/л), Vsorb – объем сорбционной среды (мл), msorb – масса сорбента (мг).
Используя аммиачный раствор и уксусную кислоту (в определенных соотношениях), регулировали pH среды, от которой в значительной степени зависят поведение уранил-ионов и эффективность сорбента.
Снимки образцов полимера после сорбции уранил-ионов выполняли на сканирующем электронном микроскопе марки “JEOL JSM-6610LV”.
РЕЗУЛЬТАТЫ И ИХ ОБСУЖДЕНИЕ
Исследование структуры синтезированного тройного соолигомера методом ИК-спектроскопии показало, что при соотношении 2-аллилфенол : формальдегид : этилендиамин = 0.5 : 4.0 : 1.0 моль в основном образуется соолигомер 1 (схема 1).
Схема 1
ИК-спектр соолигомера 1, см–1: 2965, 1462 (СН2); 2848, 928 (С–Н кратной связи аллильного фрагмента); 1637 (С=С-аллил); 1592 (С=С-аром); 1218 (С–О); 1138 (С–N); 749 (тризамещенное ароматическое кольцо); 3075 (О–Н) (рис. 4).
Рис. 4. ИК-спектры соолигомера 1, самоструктурированного соолигомера 1а, полимера 1б на основе соолигомера 1 и акрилонитрила и продукта его гидролиза 1в
Результаты анализа ИК-спектров продемонстрировали, что несмотря на присутствие формальдегида, взятого в достаточном количестве (4.0 моля), соолигомер 1 образуется линейной структуры, т.е. электрофильное замещение в этом случае осуществляется в основном в орто-положении 2-аллилфенола, исходя из наличия полос поглощения деформационных колебаний С–Н тризамещенного ароматического кольца в ИК-спектре (749 см–1).
Хроматографическим методом была определена молекулярная масса соолигомера 1: Mw = 860, Мn = 470, Ð = 1.82, ММ в максимуме пиков Мp* = 995 (рис. 5). Видно, что продукт конденсации 2-аллилфенола с формальдегидом и этилендиамином (соолигомер 1) характеризуется широким распределением и состоит из ди-, три- и тетрамера, а в точках максимума пиков прослеживаются фракции с более высокой молекулярной массой 995.
Рис. 5. Хроматографическая кривая соолигомера 1
На рис. 6 видно, что в интервале температуры ~255–300°С происходит первичное незначительное (~19%) изменение массы соолигомера. Возможно, это связано с частичным отверждением соолигомера 1 в результате последующей реакции поликонденсации соолигомера с выделением воды, а также разрывом кратной аллильной связи (известно, что разрыв кратной связи аллильной группы термически происходит при более 190°С) при указанном интервале температуры. При дальнейшем изменении температуры в интервале ~400–610°С наблюдается потеря массы соолигомера на 48%. Из результатов ТГА и ДТА можно судить о достаточной термической устойчивости соолигомера 1 до 400°С.
Рис. 6. Результаты ТГА и ДТА соолигомера 1
Реакция самоструктурирования была проведена при температуре 280°С. Как видно из схемы 2, в полученном продукте 1а отсутствует кратная связь, что подтверждается данными ИК-спектров на рис. 4. Так, в ИК-спектре продукта самоструктурирования 1а в сравнении с соолигомером 1 наблюдается изменение интенсивностей полос поглощения. Например, полоса поглощения кратной аллильной связи 1а в сравнении с полосой поглощения аллильной группы исходного соолигомера 1 явно изменена, т.е. она почти отсутствует. Отсутствие полос поглощения кратной связи в ИК-спектре указывает на протекание термической реакции с раскрытием кратной связи в соолигомере 1.
ИК-спектр 1б, см–1: 2936, 1464 (СН2); 1593 (С=С-аром); 754 (тризамещенное ароматическое кольцо); 1140 (С–N); 2239 (С–N); 1218 (С–О); 3597, 3617 (ОН, NH) (рис. 4). Также при структурировании соолигомера 1 акрилонитрилом (схема 2) явно прослеживается полоса нитрильной группы (2239 см–1) (1б). Кроме того, и в этом случае полоса поглощения кратной связи аллильного фрагмента (1637 см–1) отсутствует, что подтверждает осуществление реакции структурирования с раскрытием кратной связи.
Схема 2
ИК-спектр 1в, см–1: 2937, 1467, 1364 (СН2); 758 (тризамещенное ароматическое кольцо); 1593 (C=C-аром); 1122 (С–N); 1707 (СООН); 1211 (С–О); 3621, 3695 (ОН) (рис. 4). Важно отметить, что в ИК-спектрах на рис. 4 присутствуют широкие полосы ОН-группы. Это указывает на образование внутримолекулярной водородной связи между водородом ОН-группы и азотом амина с образованием квазиароматического цикла [6, 34].
На рис. 7 приводятся результаты исследований по изучению влияния рН среды на степень извлечения уранил-ионов и на сорбционную емкость сорбента 1в в статистических условиях (температура 25°С, исходная концентрация уранил-ионов в воде 134.5 мг/л, время выдержки 24 ч). Видно, что высокая степень извлечения уранил-ионов (R) из водной среды (90.8%) достигается при рН 7. При этом сорбционная емкость q ~ 204 мг/г.
Рис. 7. Зависимость степени сорбции уранил-ионов (1) и сорбционной емкости (2) сорбента 1в от рН раствора
Следует отметить, что при исследовании сорбционных свойств сополимера 1б степень извлечения уранил-ионов при рН 7 составляет 66.4%, q ~ 156.8 мг/г. Сравнительно низкие сорбционные свойства можно объяснить отсутствием в сополимере 1б карбоксильной группы, что подтверждает важность процесса гидролиза нитрильной группы. Cорбционные свойства сшитого полимера выявляются также за счет внутримолекулярной водородной связи N…H, благодаря чему происходит притягивание или связывание солей металлов [34]. Кроме того, для многих синтетических сорбентов для улавливания уранил-ионов требуются высокая концентрация (100 мг/л и более). При этом во многих случаях степень извлечения не превышает 90% [35]. Однако полученные в настоящей работе сополимеры проявляют активность при гораздо меньших количествах (30 мг).
В работе [36] также описан метод извлечения уранил-ионов интерполимерными системами на основе полиметакриловой кислоты и поливинилхлорида. Показано, что максимальная степень извлечения уранил-ионов в течение 56 ч составляет 82.8%. В то время как в течение 24 ч степень сорбции их составляет ~76%, что показывает превосходство полученного сорбента 1в над многими синтезированными сорбентами. В табл. 1 приводятся результаты исследований по изучению зависимости степени сорбции -ионов и сорбционной емкости сорбента 1в в статистических условиях при рН 7 от времени сорбции (температура 25°С, исходная концентрация уранил-ионов в воде 134.5 мг/л).
Таблица 1. Зависимость степени извлечения уранил-ионов и сорбционной емкости сополимера 1в от продолжительности процесса сорбции (Т = 25°С, рН 7, начальная концентрация уранил-ионов 134.5 мг/л)
Продолжительность сорбции, мин | Концентрация уранил-ионов после сорбции, мг/л | Степень извлечения уранил-ионов, % | Сорбционная емкость, мг/г | qe–q | 1/qe–q | t/q |
3 5 10 15 25 40 60 90 180 270 360 480 1440 | 132.5 129.4 128.6 124.9 124.2 121.4 118.9 90.2 68.8 46.0 20.4 18.0 12.4 | 1.8 3.8 4.4 7.1 7.7 9.7 11.6 32.9 48.8 65.8 84.8 86.6 90.8 | 3.3 8.5 9.8 16.0 17.2 21.8 26.0 73.8 109.5 147.5 190.0 194.2 203.5 | 192.7 187.5 186.2 180.0 178.8 174.2 170.0 122.2 86.5 48.5 – – – | 0.0052 0.0053 0.0054 0.0056 0.0056 0.0057 0.0059 0.0082 0.0116 0.0206 – – – | 0.91 0.59 1.02 0.94 1.45 1.83 2.31 1.22 1.64 1.83 – – – |
Для анализа кинетических кривых сорбции урана сшитым сополимером 1в были применены кинетические модели первого, псевдо-второго и второго порядка (рис. 8) [37, 38].
Рис. 8. График кинетики сорбции урана сополимером 1в: 1 – диффузия, 2 – хемосорбция
Ниже приведены кинетические уравнения констант скорости реакции второго (3) и псевдо-второго (4) порядка:
, (3)
. (4)
Здесь k и k2 – константы скорости реакции второго и псевдо-второго порядка соответственно (г/мг мин); qe – количество сорбируемого вещества в состоянии равновесия (мг/г).
Так, на рис. 8 видно, что модель константы скорости псевдо-второго порядка более соответствует сорбции урана.
Зависимость сорбционной емкости сшитого сополимера 1в от начальной и равновесной концентрации уранил-ионов показана на рис. 9. Видно, что в растворе уранил-иона c начальной концентрацией сорбента 1в, равной 1 г/л, сорбционная емкость сорбента составляет более 200 мг/г. В этом случае равновесная концентрация уранил-ионов в растворе изменяется 15 + 5 мг/л. Однако при значении равновесной концентрации уранил-ионов более 20 мг/л, сорбционная емкость 1в стабилизируется при значении ~300 мг/г и проявляет максимальную сорбционную емкость за счет насыщения сорбента 1в уранил-ионами.
Рис. 9. Зависимость статической сорбционной емкости (q) сшитого полимера 1в от равновесной (1) и начальной (2) концентрации уранил-иона
После процесса сорбции уранил-ионов сополимером 1в в ИК-спектре можно видеть смещение и изменение полос поглощения в области 1707 см–1 (СООН), а также в области полос поглощения ОН-группы (рис. 10). Очевидно, что процесс сорбции уранил-ионов сшитым полимером протекает в основном за счет группы COOH, а также комплексообразования свободной электронной пары на атомах азота и благодаря ОН-группе фенола [34].
Рис. 10. ИК-спектр сополимера 1в после сорбции
Сорбционные свойства сорбента 1в подтверждены также результатами ЭДС (рис. 11) и сканирующей электронной микроскопии (рис. 12). Так, в спектре и изображениях рис. 12 четко выявляются элементный состав полимера 1в, а также сорбированные уранил-ионы. Массовое содержание атома С в полимере 1в составляет ~62%, кислорода ~ 23%, а сорбированного в 1в урана в среднем ~ 9%. Полученные данные еще раз подтверждают осуществление процесса сорбции урана полимером 1в. Кроме того, показано равномерное распределение гранулы сорбента 1в после сорбции уранил-ионов, где явно видны сигналы урана (рис. 12г). На основании рентгено-флюоресцентной карты атома урана (Lα, 13.8 кэВ) сделан вывод о протекании процесса сорбции как на поверхности, так и в объеме (в гранулах) сорбента 1в, что объясняет сравнительно высокое количество атома урана в составе сорбента.
Рис. 11. ЭДС-спектр сорбента 1в
Рис. 12. СЭМ-изображения образца сополимера 1в после сорбции: а – образец полимера 1в под микроскопом, б – наличие углерода в образце 1в, в – наличие кислорода в образце 1в, г – наличие урана в образце 1в
Следует отметить, что многие известные сорбенты в основном эффективно извлекают уранил-ионы из концентрированных растворов. Рассмотренные в качестве сорбента сшитые полимеры работоспособны даже в разбавленных растворах, что очень важно с точки зрения их концентрирования и практического использования.
Для изучения возможности регенерации сорбента 1в исследована десорбция связанных уранил-ионов (100 мг/г) растворами азотной и соляной кислоты [18]. Выявлено, что по мере увеличения концентрации обеих кислот десорбция урана из сорбента увеличивается. Максимальная десорбция происходит при концентрации минеральных кислот, равной 0.5 моль/л, и составляет 90.3% в случае десорбции азотной кислотой, 91.2% – в случае десорбции соляной кислотой.
ЗАКЛЮЧЕНИЕ
Тройные соолигомеры на основе 2-аллилфенола, формальдегида и этилендиамина с молекулярной массой до 995 обладают достаточной термической устойчивостью (до ~400°C). Продукты гидролиза структурированных акрилонитрилом сополимеров на основе тройных соолигомеров 2-аллилфенола, формальдегида и этилендиамина проявляют сорбционную способность по отношению к уранил-ионам.
Было установлено, что продукт гидролиза структурированного сополимера обладает наиболее высокой сорбционной активностью при рН 7 и времени 24 ч (степень сорбции ~ 90.8%, q ~ 203.5 мг/г). Сорбционные свойства сополимера также подтверждены данными ИК-спектроскопии, ЭДС и СЭМ.
Авторлар туралы
Г. Мехтиева
Бакинский государственный университет
Хат алмасуға жауапты Автор.
Email: mehdiyeva_gm@mail.ru
Әзірбайжан, Баку
М. Байрамов
Бакинский государственный университет
Email: mehdiyeva_gm@mail.ru
Әзірбайжан, Баку
Дж. Нагиев
Агентство инноваций и цифрового развития
Email: mehdiyeva_gm@mail.ru
Әзірбайжан, Баку
Әдебиет тізімі
- Cui Y., Hou X., Wang W., Chang J. // Materials (Basel). 2017. V. 10. № 6. P. 668.
- Kornilov K.N. // Phosph. Sulfur, Silicon Relat. Elem. 2017. V. 192. № 8. P. 896.
- Kolyakina E.V., Grishin D.F. // Russ. Chem. Rev. 2011. V. 80. № 7. P. 683.
- Bayramov M.R., Magerramov A.M., Mehdiyeva G.M., Kuliyeva Sh.J., Agayeva M.A. // PPOR. 2021. № 4. P. 476.
- Maharramov A.M., Bayramov M.R., Agayeva M.A., Mehdiyeva G.M., Mamedov I.G. // Russ. Chem. Rev. 2015. V. 84. № 12. P. 1258.
- Magerramov A.M., Bairamov M.R., Mehdiyeva G.M., Agaeva M.A. // Polymer Science B. 2012. V. 54. № 7–8. P. 399.
- Байрамов М.Р., Зейналов Н.Ю., Мехтиева Г.М., Агаева М.А., Кулиева Ш.Дж., Джавадов М.А., Гасанова Г.М. // Нефтепереработка и нефтехимия. 2021. № 11. С. 38.
- Магеррамов А.М., Байрамов М.Р. Химия алкенилфенолов. М.: Техносфера, 2018.
- Kalinina F.А., Mognonov D.М., Radnaeva L.R., Vasnev V.А. // Polymer Science А. 2002. V. 44. № 3. P. 401.
- Deberdeev T.R., Akhmetshina A.I., Karimova L.K., Ignat’eva E.K., Deberdeev R.Ya., Berlin A.A. // Polymer Science C. 2020. V. 62. № 1. P. 145.
- Dmitrienko S.G., Irkha V.V., Duisebaeva T.B., Mikhailik Yu.V., Zolotov Yu.A. // J. Anal. Chem. 2006. V. 61. P. 14.
- Маслои В.З., Маслои О.В., Тараненко Н.Н., Лошкова Е.Б. // Восточно-Европейский журн. передовых технологий. 2013. T. 65. № 5/6. C. 32.
- Mehta Rujul, Dadmun M.D. // Macromolecules. 2006. V. 39. № 2. P. 8799.
- Yin Ch.-Y., Chen W.-Ch. // Polymer. 2006. V. 47. № 10. P. 3436.
- Buchachenko A.L.// Russ. Chem. Rev. 2003. V. 72. № 5. P. 375.
- Kupgan G., Liyana-Arachchi Th.P., Colina C.M. // Polymer. 2016. V. 99. P. 173.
- Foyer G., Chanfi B.-H., Boutevin B., Caillol S., David G. // Eur. Polym. J. 2016. № 74. P. 296.
- Mehdiyeva G.M., Bairamov M.R., Nagiev Dzh.A., Agaeva M.A., Kulieva Sh.Dzh. // Russ. J. Phys. Chem. A. 2021. V. 95. № 4. P. 769.
- Bairamov M.R., Guliyeva Sh.J., Mehdiyeva G.M., Agayeva M.A. // Azerbaijan Chem. J. 2023. № 1. P. 155.
- Bayramov M.R., Maharramov A.M., Mehdiyeva G.M., Guliyeva Sh.J., Aghayeva M.A. // Chem. Probl. 2023 V. 21. № 1. P. 85.
- Байрамов М.Р., Мехтиева Г.М., Нагиев Дж.А., Гулиева Ш.Дж., Агаева М.А., Магеррамов А.М. // Журн. прикладной химии. 2023. Т. 96. № 4. С. 382.
- Maharramov A.M., Bayramov M.R., Guliyeva Sh.J., Mehdiyeva G.M., Sadikhov N.M., Agayeva M.A., Babayeva B.A. // Azerbaijan J. Chem. News. 2023. V. 5. № 2. P. 59.
- Bayramov M.R., Magerramov A.M., Mehdiyeva G.M., Guliyeva Sh.J., Agayeva M.A. // PPOR. 2022. V. 23. № 2. P. 198.
- Shi Y., Wang L.-F., Han Y., Liao C.-Y. // China Foundry. 2016. V. 13. № 3. P. 205.
- Амирасланова М.Н., Абдуллаева Н.Р., Алиева Л.И., Рустамов Р.А., Ахмедбекова С.Ф., Азизбейли Э.И., Алиева Ш.Р., Мамедзаде Ф.А., Алиева А.П. // Пласт. массы. 2019. № 5–6. P. 16.
- Мачуленко Л.Н., Нечаев А.И., Донецкая С.А., Салазкин С.Н. // Пласт. массы. 2015. № 9–10. C. 36.
- Мачуленко Л.Н., Донецкая С.А., Потапова А.Р. // Пласт. массы. 2016. № 3–4. C. 28.
- Yang Sh., Wu J.-Q., Zhang Y., Yuan T.-O., Sun R.-C. // J. Biobased Mater. Bioenergy. 2015. V. 9. № 2. P. 266.
- Pelin G., Pelin C.E., Stefan A., Dincay Y., Andronescu E., Oprea O., Ficai D., Truşcă R. // Bull. Mater. Sci. 2018. V. 41. № 1. P. 281.
- Ragavan D., Girija A., Kathereen B., Seenivasan R.K. // Int. J. Innovative Res. Development. 2014. V. 3. № 4. P. 17.
- Elodie Melro 1., Filipe E.A., Artur J.M., Valente 1., Hugo Duarte, Anabela Romano, Bruno Medronho // Molecules. 2022. № 27. P. 2825.
- Kargov S.I., Shelkovnikova L.A., Ivanov V.A. // Russ. J. Phys. Chem. A. 2012. V. 86. № 5. P. 860.
- Bektashi N.R., Mustafaev A.M., Huseynov I.A. // Russ. J. Applied Chem. 2011. V. 84. № 7. P. 1211.
- Akay S., Kayan B., Kalderis D., Arslan M., Yagci Y., Kiskan B. // J. Appl. Polym. Sci. 2017. V. 134. P. 38.
- Badawy S.M. // Rad. Phys. Chem. 2003. V. 66. № 1. P. 67.
- Джумадилов Т.К., Утешева А.А., Кондауров Р.Г., Гражулявичюс Ю.В. // Хим. журн. Казахстана. 2021. Т. 1. № 73. С. 176.
- Ho Y.S., McKay G. // Water Res. 1999. Т. 33. Р. 578.
- Ho Y.S., Wase D.A.J., Forster C.F. // Environmental Technol. 1996. V. 17. P. 71.
Қосымша файлдар
















