Композиционные материалы на основе полипропилена и углеродных нанонаполнителей, полученные методом полимеризации in situ
- Autores: Недорезова П.М.1, Клямкина А.Н.1, Палазник О.М.1, Шевченко В.Г.2
-
Afiliações:
- Федеральный исследовательский центр химической физики им. Н.Н. Семёнова Российской академии наук
- Институт синтетических полимерных материалов им. Н.С. Ениколопова Российской академии наук
- Edição: Volume 66, Nº 2 (2024)
- Páginas: 121-139
- Seção: КОМПОЗИТЫ
- URL: https://journals.rcsi.science/2308-1139/article/view/266169
- DOI: https://doi.org/10.31857/S2308113924020044
- EDN: https://elibrary.ru/MZXULR
- ID: 266169
Citar
Texto integral
Resumo
Представлен краткий обзор исследований, инициированных работами, выполненными под руководством Н.С. Ениколопова, по получению композиционных материалов на основе полипропилена и наноуглеродных наполнителей методом полимеризации in situ. Приведены данные о механических, тепло- и электрофизических свойствах таких материалов. Структура и концентрация нанонаполнителей, а также структура полипропилена (изо-, синдио-, стереоблочная) оказывают значительное влияние на характеристики композитов. Введение углеродных нанонаполнителей в полипропиленовую матрицу приводит к заметному увеличению термической и термоокислительной стабильности материала. Рассмотрены перспективы применения нанокомпозитов на основе полипропилена с нанотрубками и графеновыми нанопластинами для создания экранов и поглотителей электромагнитного излучения. Показано, что модификация свойств полипропилена путем введения углеродных нанонаполнителей разного типа методом полимеризации in situ позволяет разработать новые функциональные композиционные материалы с ценным комплексом свойств.
Texto integral
Современное развитие науки и технологии в области материаловедения и химии полимеров привело к созданию композиционных материалов, сочетающих в себе преимущества полимеров, такие как высокая химическая стойкость и прочность, а также уникальные свойства наполнителей различного типа [1]. В настоящее время, когда требования к материалам все более строгие и разнообразные, разработка новых композиционных материалов на основе полимерных матриц становится научным и технологическим приоритетом [2–6]. В последние годы в мире большое внимание уделяется созданию нового класса полимерных композитов с применением функциональных нанонаполнителей. Накопленные экспериментальные данные демонстрируют улучшение многих физических, механических и термических свойств полимеров при переходе от традиционных микроразмерных к наноразмерным частицам и приобретение новых функциональных (барьерных, транспортных и других) свойств за счет введения очень малых количеств наноразмерных наполнителей [7].
Особый интерес вызывают полиморфы наноуглерода – нанотрубки, графеновые нанопластины, фуллерены и наноалмазы. Эти наночастицы отличаются размерностью, типом гибридизации, энергетическими спектрами и, соответственно, транспортными свойствами [8–12]. Композиционные материалы на основе полипропилена и наноразмерных углеродных наполнителей представляют значительный интерес для науки и промышленности. Уникальные свойства и широкий спектр применений делают их перспективными материалами для будущих технологических разработок. В зависимости от структуры полиморфы наноуглерода могут иметь металлическую или полупроводниковую проводимость. Кроме того, они как наполнители являются иерархическими материалами с несколькими характерными масштабами. Все это отражается на свойствах полимерных композитов, наполненных такими уникальными частицами.
Один из ключевых аспектов в производстве полимерных нанокомпозитов, влияющий на свойства конечного продукта, – характер распределения наночастиц в полимерной матрице. Особый интерес для получения полимерных композиционных материалов представляет метод полимеризации in situ, который позволяет вводить наполнители в полимерную матрицу непосредственно в ходе ее синтеза [13–17]. Этот метод приводит к более эффективному распределению наполнителей в полимере, что способствует повышению прочностных и функциональных характеристик композита [18, 19].
В Институте химической физики Российской академии наук исследования по разработке полимерных композиционных материалов, полученных методом полимеризационного наполнения или полимеризации in situ, начались по инициативе и под руководством академика Н.С. Ениколопова [14, 15]. Одной из ранних работ в этой области были исследования по созданию электро- и теплопроводящих композиционных материалов на основе полипропилена и графита [20].
Комбинирование свойств полипропилена и углеродных нанонаполнителей путем полимеризации in situ открывает широкие перспективы для создания новых материалов с повышенными механическими, электрическими и термическими характеристиками.
В настоящей работе рассмотрены основные результаты наших последних исследований в области синтеза методом полимеризации in situ и изучения свойств композиционных материалов на основе полипропилена и наноразмерных углеродных наполнителей.
В качестве нанонаполнителей использовали различные аллотропные модификации углерода – графеновые нанопластины, полученные химическим (ГНП) или термическим восстановлением оксида графита (ТРОГ), многостенные (МУНТ) или одностенные (ОУНТ) углеродные нанотрубки, фуллерены и наноразмерный графит (НГ). ГНП и ТРОГ получали по методикам, описанным в работах [21, 22]. ГНП применяли как в исходном виде, так и после обработки ультразвуком в течение 20 или 60 мин. ТРОГ и ОУНТ обрабатывали ультразвуком в течение 20 мин. Исходные МУНТ подвергали предварительной обработке азотной кислотой для удаления остатков металлического катализатора и затем обрабатывали ультразвуком в течение 20–30 мин. Смесь фуллеренов С60/С70 (~13% фуллерена С70) была получена в Институте проблем химической физики Российской академии наук электродуговым испарением графитовых электродов [23]. Наноразмерный графит получали размолом искусственного графита на лабораторной вибрационной мельнице [24].
Наполнителями служили также бинарные смеси графеновых нанопластин и углеродных нанотрубок. Улучшение свойств полимерных композиций на основе бинарных нанонаполнителей – графеновых нанопластини и углеродных нанотрубок может быть связано как с возможностью дальнейшей эксфолиации пластин, так и с появлением взаимодействия углеродных наночастиц между собой и с полимерной матрицей с образованием трехмерной сетки. Такие наполнители могут лучше распределяться в полимерной матрице, а также способствовать появлению синергии ряда свойств композитов [25, 26]. Удельная поверхность исследованных нанонаполнителей составляла 200–800 м2/г (определена с помощью БЭТ).
На рис. 1 представлены электронные микрофотографии некоторых использованных нанонаполнителей в исходном состоянии.
Рис. 1. Электронные микрофотографии нанонаполнителей в исходном состоянии: а – химически восстановленный оксид графита, б – термически восстановленный оксид графита, в – одностенные углеродные нанотрубки (d = 1.4 нм, l > 5 мкм, Tuball™, OCSiAl). Удельная поверхность 230 (а), 620 (б) и 395–545 м2/г (в). Цветные рисунки можно посмотреть в электронной версии.
При получении композитов методом in situ важным является вопрос выбора и формирования каталитической системы, применяемой для синтеза полимерной матрицы. Ранее электро- и теплопроводящие композиции на основе полипропилена и графита получали с помощью каталитической системы TiCl4/Et2AlCl [20, 27]. В этом случае было обнаружено заметное модифицирующее действие графита на каталитические свойства системы, что приводит к повышению ее активности и увеличению стереорегулярности образующегося ПП. Модифицирующее влияние графита было связано с сочетанием его слоистой структуры, подобной структуре фиолетовой модификации хлорида титана TiCl3, который является катализатором полимеризации изотактического пропилена, и его действия в качестве макролиганда при образовании активных центров полимеризации. Было показано, что высокая активность и стереоспецифичность наблюдаются в достаточно узком диапазоне соотношений количества соединения Ti к величине поверхности графита (моль Ti/м2 графита) [28, 29].
Интересно, что аналогичный эффект (увеличение активности катализатора и стереорегулярности ПП) был обнаружен в дальнейшем и при использовании в качестве наполнителя графитоподобного гексагонального нитрида бора при получении методом полимеризации in situ на системе TiCl4/Et2AlCl композиций с улучшенными трибологическими и радиационно-защитными свойствами [30].
При получении композиций на основе ПП на системе TiCl4/Et2AlCl с углеродными нанонаполнителями различного типа эффект увеличения активности и стереоспецифичности был обнаружен в присутствии графеновых нанопластин – ТРОГ или ГНП [31]. Рентгенофазовый анализ графеновых частиц (ТРОГ, ГНП) позволил оценить параметры кристаллической решетки в направлении оси с. По результатам анализа для ГНП d002 = 0.473 нм, Lс = 1.127 нм, а для ТРОГ d002 = = 0.466 нм, Lс = 1.003 нм, следовательно, кристаллиты ТРОГ и ГНП состоят в среднем из трех–четырех слоев графена [31, 32]. Это указывает на то, что даже несколько слоев графена действуют аналогично графиту, т.е. модифицирют соединения Ti с образованием изоспецифического центра полимеризации пропилена.
Композиционные материалы с наноразмерными углеродными наполнителями были получены в среде жидкого пропилена на основе не только изотактического, но и синдиотактического или стереоблочного ПП по способу, описанному в работе [33]. В качестве катализаторов для синтеза изотактического ПП на поверхности нанонаполнителей использовали традиционную каталитическую систему TiCl4/Et2AlCl и каталитическую систему на основе металлоцена С2-симметрии рац-Me2Si(2-Me-4-PhInd)2ZrCl2 в сочетании с метилалюмоксаном (МАО) [34–38]. Выбор последней обусловлен тем, что в ее присутствии с высокой активностью образуется изотактический ПП с молекулярной массой 7 × 105 (60 °С) и высокой степенью кристалличности и изотактичности [39, 40]. В ряде работ для синтеза композиций на основе изотактического ПП методом полимеризации in situ применяли системы на основе С2Н4(Ind)2ZrCl2 или Me2Si(Ind)2ZrCl2, активированные МАО [41–43]. Однако полученные композиции характеризуются более низкими значениями температуры плавления ПП, степени кристалличности и механических характеристик.
Композиции на основе синдиотактического ПП получали на каталитической системе металлоцен СS-симметрии Ph2C(Cp)(Flu)ZrCl2 в сочетании с МАО [44, 45]. Синтез композиций со стереоблочным эластомерным ПП проводили на металлоцене С1-симметрии (C2H4)Flu(5,6cyclopenta-2-МеInd)ZrCl2, активированном МАО.
Ниже представлены структуры металлоценовых катализаторов: рац-Me2Si(2-Me-4-PhInd)2ZrCl2 (МЦ-1), Ph2C(Cp)(Flu)ZrCl2 (МЦ-2) и (C2H4)Flu(5,6cyclopenta-2-МеInd)ZrCl2 (МЦ-3).
Применение гомогенных металлоценовых катализаторов эффективно для получения композиций на основе ПП методом полимеризации in situ, поскольку они растворимы в углеводородных растворителях (в том числе в сжиженном пропилене) и формируемые ими активные центры могут образовываться на поверхности частиц наполнителя. Молекулы МАО адсорбируются на поверхности наночастиц и вступают в химическое взаимодействие с функциональными группами –OH и –COOH или с дефектами, присутствующими на наноуглеродах [46, 47]. Химически связанные с поверхностью наполнителя молекулы МАО взаимодействуют с молекулами металлоцена с образованием активных центров полимеризации. Иммобилизация каталитического комплекса на поверхности наполнителя уменьшает агломерацию частиц наполнителя, обеспечивая рост полимера на его поверхности.
Использование высокоэффективных каталитических систем и проведение полимеризации в массе пропилена обеспечивает высокий выход конечного продукта. Для создания композиционного материала нужного состава варьировали количество наполнителя, время полимеризации и концентрацию катализатора.
В табл. 1 представлены данные о влиянии наноразмерных углеродных наполнителей на активность титановой и металлоценовых каталитических систем и стереорегулярность полимерной цепи. Видно, что в присутствии ГНП, ТРОГ и НГ активность титановой каталитической системы возрастает в 3–4 раза и заметно увеличивается регулярность полимерной цепи.
Таблица 1. Влияние углеродных наполнителей на активность каталитических систем и стереорегулярность ПП
Наполнитель | Активность, кг ПП/ моль Ti/ч | D998/D973 | Активность, кг ПП/ ммоль Zr/ч | D998/D973 | Активность, кг ПП/ ммоль Zr/ч | D870/D1155 |
TiCl4/Et2AlCl, 70 °С | МЦ-1/МАО, 60 °С | МЦ-2/МАО, 60 °С | ||||
– | 24 | 0.32 | 125–300 | 0.9 | 22 | 0.72 |
ГНП | 60–72 | 0.80 | 70–110 | 0.89 | – | – |
ГНП* | – | – | 30–44 | 0.87 | 12–25 | 0.70 |
НГ | 106 | 0.85 | 70–115 | 0.88 | 11–20 | 0.72 |
Фуллерен | – | – | 20–26 | 0.9 | 9–17 | 0.71 |
МУНТ | – | – | 70–100 | 0.89 | 25–30 | 0.72 |
ОУНТ | – | – | 13–20 | 0.91 | – | – |
ТРОГ | 95–100 | 0.83 | 45–100 | 0.91 | – | – |
ТРОГ+МУНТ | – | – | 40–60 | 0.87 | – | – |
ТРОГ+ОУНТ | – | – | 13–25 | 0.91 | – | – |
Примечание. D998/D973 и D870/D1155 – параметры стереорегулярности изо- и синдиотактического ПП соответственно по данным ИК-спектроскопии [46].
* Обработанные ультразвуком в течение 20 мин.
Активность металлоценовых каталитических систем при введении углеродных наночастиц в реакционную среду уменьшается, но остается достаточно высокой для получения композитов любого заданного состава. Были получены композиционные материалы с содержанием нанонаполнителя от 0.1 до 35 мас. %. Использование каталитических систем на основе цирконоценов различного типа позволило направленно регулировать структуру полимерной матрицы. При этом стереорегулярность матричных полимеров как изотактического, так и синдиотактического ПП в присутствии углеродных нанонаполнителей практически не меняется.
На рис. 2 приведены рентгенограммы композиций изотактического ПП с ТРОГ, полученных на титановой и металлоценовой системах.
Рис. 2. Рентгенограммы композитов изотактический ПП/ТРОГ, полученных на титановой (1) и металлоценовой (2) каталитических системах [29]. Содержание ТРОГ 0.2 (1) и 0.5 мас. % (2).
Рентгеноструктурный анализ показал, что для обеих каталитических систем изотактический ПП, синтезированный в присутствии наноуглеродного наполнителя, кристаллизуется в α-форме. Кристалличность “титанового” изотактического ПП составляет 45–50%, а для “металлоценового” изотактического ПП она выше (62–66%). На дифракционной картине также видно, что некоторые рефлексы металлоценового изотактического ПП являются более узкими, что указывает на более однородную кристаллическую структуру данного полимера.
Исследование образцов композитов было проведено методами сканирующей и просвечивающей электронной микроскопии. Установлено, что наилучшее диспергирование наночастиц в полимерной матрице достигается при ультразвуковом воздействии на графеновые нанопластины в течение 20 мин. Увеличение времени ультразвуковой обработки до 60 мин приводит к агломерации частиц наполнителя и образованию групп, состоящих из мелких частиц, разделенных полимером.
Фотографии пленок композитов на основе изотактического ПП и наноуглеродных наполнителей различного типа, полученные методом просвечивающей электронной микроскопии представлены на рис. 3. Как следует из рис. 3а и 3б, благодаря ультразвуковой обработке достигается более эффективное расщепление графеновых нанопластин в композитах.
Рис. 3. Фотографии композитов, полученные методом просвечивающей электронной микроскопии. Композиты, синтезированы на металлоценовой (а–д) и титановой (е) каталитических системах. Наполнитель ГНП (а), ГНП, обработанные ультразвуком в течение 20 мин (б), ОУНТ (в), МУНТ (г), ТРОГ (д, е). Содержание наполнителя 2.3 (а), 1.8 (б), 1.2 (в), 0.9 (г), 3.3 (д), 0.2 мас. % (е).
Исследование характера распределения наночастиц методом сканирующей электронной микроскопии также показало достаточно высокую однородность распределения наноуглеродов в полимерной матрице (рис. 4).
Рис. 4. Сканирующие электронные микрофотографии сколов пленок изотактический ПП/фуллерен (а) и изотактический ПП/ГНП (б) в жидком азоте. Композиты синтезированы на металлоценовой каталитической системе. Содержание наполнителя 0.8 (а) и 1.8 мас. % (б).
Анализ микроструктуры композитов обнаружил присутствие во всех синтезированных материалах как индивидуальных наночастиц, так и их агломератов. Однако для всех нанокомпозитов характерна высокая дисперсность наполнителя в полимерной матрице; на всех микрофотографиях видно преобладание индивидуальных наночастиц.
Сканирующие электронные микрофотографии порошков композитов с наноуглеродными наполнителями, синтезированных на металлоценовой системе и системе на основе TiCl4, приведены на рис. 5.
Рис. 5. Сканирующие электронные микрофотографии насцентных образцов нанокомпозитов изотактический ПП/ОУНТ (а) и изотактический ПП/ТРОГ (б), синтезированных на металлоценовой (а) и титановой (б) каталитических системах. Содержание наполнителя 1.2 (а) и 2.5 мас. % (б).
Сканирующая электронная микроскопия композитов указывает на то, что характер роста ПП на поверхности наноуглеродных частиц зависит от типа каталитической системы, что может влиять на свойства получаемых материалов. Сделан вывод, что высокоактивные гомогенные катализаторы обеспечивают рост полимера по нормали к поверхности. В то же время при использовании титановой системы полимер растет вдоль поверхности наполнителя, повторяя форму частиц. Такое же различие в характере роста полимера на поверхности наблюдалось и при получении композиций на основе графита с удельной поверхностью 5–8 м2/г [49]. Различие в характере роста полимера на каталитических системах разного типа может объясняться чрезвычайно высокой активностью однородно распределенных активных центров металлоценовых каталитических систем.
ТЕПЛОФИЗИЧЕСКИЕ СВОЙСТВА КОМПОЗИТОВ
Устойчивость композитов на основе изотактического и синдиотактического ПП, содержащих наноуглеродные наполнители, к термической и термоокислительной деструкции изучена с помощью ТГА и кинетическим методом при 130 °С и давлении кислорода 300 мм рт. ст. [36–38, 50, 51]. ТГА проводили в инертной атмосфере аргона и в среде воздуха (табл. 2).
Таблица 2. Температура максимальной скорости потери массы Тмакс для изотактического и синдиотактического ПП и композитов на их основе на воздухе и в аргоне
Полимер | Наполнитель | Содержание наполнителя, мас. % | Тмакс, °С | |
воздух | аргон | |||
Изотактический ПП | – | 0 | 337 | 469 |
ГНП | 0.6 | 366 | – | |
ГНП* | 0.2 | 399 | 469 | |
ГНП* | 1.8 | 397 | 478 | |
Фуллерен | 2.8 | 406 | – | |
ОУНТ | 1.2 | 377 | 479 | |
« | 2.6 | 362 | 486 | |
« | 8.0 | 284 | 490 | |
ТРОГ+ОУНТ | 1.1 | 397 | 481 | |
ТРОГ+МУНТ | 1.65 | 350 | 484 | |
МУНТ | 3.5 | 383 | 478 | |
Синдиотактический ПП | – | 0 | 328 | 473 |
ГНП* | 0.5 | 370 | 483 | |
ГНП* | 3.7 | 378 | – | |
Фуллерен | 1.2 | 356 | 480 | |
« | 4.5 | 415 | 485 | |
* Обработанные ультразвуком в течение 20 мин.
При введении наноуглеродных частиц в полимерную матрицу наблюдается снижение скоростей процессов термической и термоокислительной деструкции полимера, следовательно, частицы наполнителя оказывают стабилизирующее действие. Данный эффект обусловливается как барьерными свойствами наноуглеродов (образующиеся в композите сети наночастиц препятствуют переносу продуктов деструкции полимера в объеме материала), так и их химическим взаимодействием с макрорадикалами, возникающими в процессе разложения полимера [52].
ТГА как при проведении на воздухе, так и при измерениях в аргоне показал, что введение всех типов наполнителей и в изотактическом, и в синдиотактическом ПП приводит к заметному увеличению термостабильности материала по сравнению с исходными полимерами. Введение наночастиц в полимерную матрицу менее заметно влияет на температуру Тмакс, отвечающую максимальной скорости потери массы в инертной атмосфере, чем на воздухе; Тмакс увеличивается на 10–20 °С. Увеличение термической и термоокислительной стабильности ПП при введении наноуглеродных наполнителей позволяет расширить температурный диапазон эксплуатации изделий из композиционных материалов на основе изотактического и синдиотактического ПП.
Кинетическим методом показано, что тип наполнителя и способ его подготовки влияют на кинетику поглощения кислорода (табл. 3). Как видно из табл. 3, все углеродные нанонаполнители ингибируют термоокисление ПП, причем тип наполнителя влияет и на период индукции, и на максимальную скорость окисления. Определены наиболее эффективные углеродные наполнители для получения композитов с повышенной термоокислительной стабильностью. Наиболее устойчивы к окислению композиты с графеновыми нанопластинами, обработанными ультразвуком, с наноразмерным графитом и с бинарными наполнителями.
Таблица 3. Период индукции и скорость окисления композитов на основе изотактического ПП (130 °С, давление О2 300 мм рт. ст.) [34–36, 48, 51]
Наполнитель | Содержание наполнителя, мас. % | Период индукции, мин | Скорость окисления v × 104, моль/(кг с) |
– | 0 | 130 | 4.6 |
ГНП | 5.0 | 100 | 2.8 |
ГНП* | 0.5 | 420 | 3.7 |
ГНП* | 1.8 | 530 | 1.8 |
НГ | 3.6 | 485 | 1.6 |
Фуллерен | 2.8 | 170 | 8.3 |
МУНТ | 3.5 | 250 | 3.1 |
ОУНТ | 2.6 | 245 | 4.8 |
ТРОГ + ОУНТ | 3.4 | 330 | 1.9 |
ТРОГ+МУНТ | 4.2 | 350 | 2.4 |
* Обработанные ультразвуком в течение 20 мин.
Интересные данные о механизме ингибирующего действия наноуглеродов были получены при исследовании хемилюминесценции композитов изотактического ПП с графеновыми нанопластинами, фуллеренами и наноразмерным графитом [37, 50]. Установлено, что в присутствии ГНП (0.7 мас. %) скорость гибели кислородсодержащих пероксильных радикалов увеличивается на порядок, а в присутствии фуллерена (2.8 мас. %) и НГ (0.8 мас. %) – в 2 раза. Полученные результаты показали, что углеродные нанонаполнители ингибируют реакцию окисления полимеров по механизму взаимодействия с пероксильными макрорадикалами ПП. Химическая реакция возможна в дефектных местах на поверхности частиц. Вероятной причиной ингибирующего действия углеродных частиц может быть возможность адсорбции радикалов полимера на их поверхности, что снижает эффективность радикалов в продолжении цепи окисления, но не влияет на их гибель [54, 55]. Возможна также гибель радикалов по реакции с двойными связями или примесями на поверхности углеродного наполнителя. По этому механизму фуллерены замедляют окисление ПП, присоединяя пероксильные радикалы по двойным связям [56]. В работах [57, 58] говорится о том, что акцепторные свойства углеродных наполнителей облегчают их взаимодействие с пероксильными радикалами, образующимися при окислении ПП.
Исследовано влияния окисления композиций на основе изотактического ПП, наполненного ОУНТ, на структуру кристаллической фазы полимера в зависимости от температуры окисления [59]. Термоокисление проводили при температурах ниже (140 °С) и выше (170 °С) температуры плавления ПП. Было показано, что при 140 °С повышенная термоокислительная стабильность присуща композитам в широком интервале содержания наполнителей, тогда как при 170 °С эффект стабилизации термоокисления ПП наблюдается только при невысоких степенях наполнения (до 2.8 мас. %). Окисленный ПП в композициях имеет более высокие степени кристалличности и более однородную структуру, чем окисленный чистый ПП, в широком интервале степеней наполнения. На это указывает более узкий пик плавления и более высокое значение температуры плавления полипропилена. Появление более организованных структур полимерной матрицы в присутствии наполнителя тормозит диффузию кислорода в полимер и препятствует его окислению.
Введение всех углеродных наноразмерных наполнителей оказывает зародышеобразующий эффект и способствует повышению температуры кристаллизации полимера на 8–15 °С. Увеличение температуры кристаллизации является благоприятным фактором при переработке материалов, так как приводит к снижению времени цикла их переработки. Зародышеобразующее действие наночастиц подтверждено данными атомно-силовой микроскопии, свидетельствующими об уменьшении размеров сферолитов изотактического ПП при введении углеродного нанонаполнителя. На рис. 6 представлены АСМ-изображения пленок изотактического ПП и изотактического ПП/ГНП с различным содержанием наполнителя. Видно, что увеличение содержания наполнителя в композите приводит к уменьшению размеров сферолитов изотактического ПП, т.е. введение наноразмерных частиц препятствует образованию крупных сферолитов изотактического ПП.
Рис. 6. АСМ-изображения пленок изотактического ПП (а) и композитов изотактический ПП/ГНП (б, в) с содержанием наполнителя 0.6 (б) и 5 мас. % (в).
МЕХАНИЧЕСКИЕ СВОЙСТВА КОМПОЗИЦИЙ ПРИ КВАЗИСТАТИЧЕСКОМ РАСТЯЖЕНИИ
Введение углеродных нанонаполнителей в полипропиленовую матрицу оказывает заметное влияние на механические свойства материала. Происходит увеличение модуля упругости, снижение предельных деформаций, а в некоторых случаях – снижение прочности при растяжении. Влияние введения наночастиц в ПП на деформационно-прочностные свойства получаемых нанокомпозитов определяется степенью дисперсности и анизотропией частиц наполнителя, а также степенью межфазного взаимодействия матрицы и наполнителя.
Зависимости относительного модуля упругости Е/Ео от содержания углеродных нанонаполнителей различного типа для композитов на основе изотактического ПП представлены на рис. 7.
Рис. 7. Зависимость относительного модуля упругости композита Е/Ео от содержания наполнителя. Матрица – изотактический ПП. Наполнитель – ГНП, обработанные ультразвуком (1), ГНП (2), фуллерен (3), НГ (4), МУНТ (5).
Введение анизотропных наполнителей приводит к значительному росту модуля упругости. Особенно заметно этот эффект проявляется в композитах, где ГНП были предварительно обработаны ультразвуком. Для таких материалов достигается увеличение модуля упругости на ~35% при содержании ГНП 1.8 мас. %, близкие значения были получены и для композитов с МУНТ. При использовании более изотропного наполнителя НГ изменение модуля упругости было значительно меньше (5–10%). Введение фуллерена практически не влияет на жесткость композиции.
Показано, что предел текучести для композитов с исходными ГНП уменьшается на 20% при введении 2.3 мас. % наполнителя и практически не зависит от содержания наполнителя в исследованном диапазоне концентраций в случае композитов с ГНП, обработанными ультразвуком, и фуллереном. Это свидетельствует о более сильном адгезионном взаимодействии между полимерной матрицей и наночастицами с большей дисперсностью и удельной поверхностью.
Наполнители играют роль дефектов в процессе пластического течения полимеров, поэтому их введение в полимерную матрицу приводит к значительному снижению предельной деформации полимера при растяжении. На рис. 8 представлены зависимости относительного удлинения при разрыве e/eо от содержания углеродных нанонаполнителей различного типа.
Рис. 8. Зависимость относительного удлинения при разрыве e/eо от содержания наполнителя. Матрица – изотактический ПП. Наполнитель – ГНП, обработанные ультразвуком (1), ГНП (2), фуллерен (3), НГ (4), МУНТ (5).
Как видно, введение всех углеродных нанонаполнителей приводит к снижению предельной деформации. Композиты с исходными ГНП теряют способность к пластической деформации уже при содержании наполнителя 0.1 мас. %, тогда как композиты с ГНП, предварительно обработанными ультразвуком, при степени наполнения 0.6 мас. % сохраняют пластичность (удлинение при разрыве ~250%). Композиты, содержащие НГ и фуллерен, сохраняют способность к деформации до более высоких степеней наполнения. Так, введение около 1 мас. % фуллерена или НГ практически не влияет на деформационные характеристики ПП, удлинение при разрыве составляет 350–450%.
Введение в матрицу синдиотактического ПП фуллерена или ГНП, обработанных ультразвуком, приводит к повышению жесткости и снижению деформационных характеристик композиционных материалов. При этом композиты на основе синдиотактического ПП сохраняют способность к пластической деформации до более высоких степеней наполнения, чем композиты на основе изотактического ПП с близким содержанием наполнителя.
Для повышения эластичности полимеров и композитов необходимо устранить причины, приводящие к разрушению материала (образование крейзов, шейки в матрице, нестабильное распространение шейки). Предварительная ориентация полимеров и композитов на их основе позволяет эффективно подавлять хрупкое поведение материалов, существенно ограничивающее области их применения [60, 61]. Одним из способов ориентации является прокатка полимерной пленки между двумя валками [62–69].
Было исследовано влияние прокатки на механические свойства композиций на основе изотактического ПП, наполненного графеновыми нанопластинами (ГНП и ТРОГ) [70]. Исходно пластичный изотактический ПП уже при содержании ТРОГ 0.2 мас. % становится квазихрупким, материал разрушается в процессе формирования шейки, его деформация при разрыве значительно снижается, а при содержании ТРОГ 3.3 мас. % композит разрушается, не достигая предела текучести. В случае ГНП композит ведет себя аналогично, но охрупчивание происходит при несколько более высоких концентрациях наполнителя.
На рис. 9 представлены деформационные кривые непрокатанного и прокатанного между двумя валками композита изотактический ПП/ГНП с содержанием ГНП, обработанных ультразвуком, 1.8 мас.%.
Рис. 9. Деформационные кривые непрокатанного и прокатанного композита изотактический ПП/ГНП с содержанием ГНП, обработанных ультразвуком, 1.8 мас. %. Цифры у кривых – степень прокатки. Степень прокатки, равная единице, соответствует непрокатанному композиту.
Как видно, предварительная прокатка композитов изотактического ПП с графеновыми нанопластинами приводит к резкому увеличению удлинения при разрыве и прочности композиционного материала. Композиты деформируются с образованием шейки. Разрывные удлинения возрастают до 400–500%. Уже при небольших степенях прокатки (1.25) шейка устойчиво распространялась вдоль рабочей части образца, а разрушение происходило на стадии деформационного упрочнения. При увеличении степени прокатки до 1.7 течение материала становится однородным.
Хрупкое разрушение непрокатанных нанокомпозитов, вероятно, вызвано образованием трещин или крейзов вблизи частиц наполнителя. При деформировании предварительно прокатанных композитов такие трещины не наблюдаются, т.е. прокатка подавляет их образование. Частицы наполнителя и их агрегаты вовлекаются в процесс деформирования вместе с полимерной матрицей. Таким образом, показано, что предварительная ориентация и в частности прокатка являются эффективным методом борьбы с хрупким разрушением композитов на основе изотактического ПП и наноразмерных углеродных наполнителей.
ЭЛЕКТРОФИЗИЧЕСКИЕ СВОЙСТВА
Углеродные нанонаполнители привлекают внимание как перспективные компоненты для создания электропроводящих композиционных материалов. Обладая высокими значениями электропроводности, такие наполнители позволяют увеличить объемную проводимость полимера на несколько порядков [71–73]. Значительное увеличение проводимости в полимерных нанокомпозитах, содержащих наночастицы аллотропов углерода, связано с образованием цепочек из контактирующих между собой проводящих частиц. Количественным параметром, позволяющим сравнивать между собой различные нанокомпозиты, может служить уровень проводимости при данной концентрации наполнителя; еще лучше использовать для этого величину порога протекания. Известно, что порог протекания зависит от типа полимерной матрицы, способа получения композита и свойств наполнителя [74–76].
Проводимость по переменному току sac включает все эффекты диссипации энергии электромагнитного поля, в том числе омическую проводимость при движении носителей заряда по изолированным центрам или кластерам, а также диэлектрические потери [69, 77]. В твердых телах, содержащих фазы с различной проводимостью, электропроводность возрастает с увеличением частоты [78, 79]. При низких частотах носители вынуждены перемещаться на большие расстояния за полупериод электрического поля и их перенос осложняется тем, что проводящие кластеры изолированы друг от друга, тогда как при высоких частотах локальное перемещение носителей происходит в пределах проводящих кластеров [80, 81]. Для очень широкого круга композиционных материалов зависимость sac от частоты w имеет один и тот же вид. Общим для таких материалов является то, что они относятся к неупорядоченным твердым телам [82–84]. Эта зависимость при постоянной температуре имеет вид [85, 86]
σac(ω) = σdc + A(ω)s,
где σdc – предельное значение σac при w → 0, A и s – параметры, зависящие от концентрации наполнителя и температуры [87, 88]. Данное выражение и модель, из которой оно выведено, часто называют универсальным динамическим откликом из-за его применимости к большому числу систем [89].
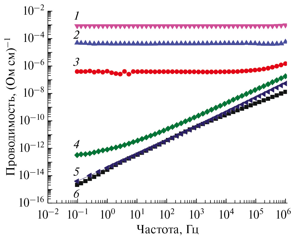
На рис. 10 приведена зависимость проводимости σac от частоты для нанокомпозитов изотактического ПП с углеродными нанонаполнителями различного типа, полученных полимеризацией in situ.
Рис. 10. Зависимость проводимости от частоты для композитов изотактический ПП с ОУНТ (1, 3), ТРОГ (2, 4) и МУНТ (5, 6). Содержание наполнителя 8 (1), 10 (2), 2.56 (3), 3.3 (4), 2.1 (5) и 3.5 мас. % (6).
Результаты экспериментов свидетельствуют о том, что композиции с ОУНТ обладают наиболее низким порогом протекания (1–2 мас. %). Для композитов с ТРОГ пороговое значение примерно равно 3 мас. %, а для композитов с МУНТ – 2–3 мас. %. Показано, что при близких содержаниях наполнителей ТРОГ и ОУНТ в композитах (8–10%) композиции изотактического ПП с ОУНТ характеризуются более высокими значениями проводимости.
На рис. 11 и 12 представлены зависимости проводимости от частоты для композитов с бинарными наполнителями (графеновые частицы вместе с углеродными нанотрубками) изотактический ПП/ТРОГ+МУНТ и изотактический ПП/ТРОГ+ +ОУНТ при различных концентрациях наполнителя [53]. Как следует из рис. 11, проводимости композита изотактический ПП/ТРОГ с содержанием ТРОГ 10% (кривая 2) и композита изотактический ПП/ТРОГ+МУНТ с содержанием наполнителя 4.2% (кривая 1) практически одинаковы. Следовательно, близкий уровень электропроводности в случае бинарного наполнителя достигается при значительно меньшей концентрации наполнителя. Для композита изотактический ПП/ТРОГ+ОУНТ с концентрацией наполнителя 7.8% (рис. 12, кривая 1) проводимость выше, чем для композита изотактический ПП/ТРОГ с содержанием ТРОГ 10% (кривая 2). Полученные результаты свидетельствуют о том, что использование ТРОГ вместе с МУНТ или ОУНТ приводит к увеличению проводимости материала при гораздо меньшей концентрации наночастиц, чем в композитах с индивидуальными частицами ТРОГ. Наличие в бинарных наполнителях наночастиц с большим коэффициентом формы (МУНТ, ОУНТ) снижает порог протекания композита, так как длинные проводящие частицы образуют дополнительные пути протекания между частицами наполнителя с меньшим коэффициентом формы (ТРОГ).
Рис. 11. Зависимость проводимости от частоты для композитов изотактический ПП/(ТРОГ+МУНТ) (1, 4, 5, 6) и изотактический ПП/ТРОГ (2, 3). Содержание наполнителя 4.2 (1), 10 (2), 3.3 (3), 1.65 (4), 1.06 (5) и 0.74 мас. % (6).
Рис. 12. Зависимость проводимости от частоты для композитов изотактический ПП/(ТРОГ+ОУНТ) (1, 4, 5) и изотактический ПП/ТРОГ (2, 3, 6.). Содержание наполнителя 7.8 (1), 10 (2), 3.3 (3), 0.89 (4), 0.48 (5) и 0.2 мас. % (6).
Были получены композиты изотактического ПП с одностенными нанотрубками (ОУНТ-1) и с нанотрубками, содержащими окисленные группы (ОУНТ-2) [38]. На рис. 13 представлена зависимость электропроводности от концентрации наполнителя для исходных и окисленных нанотрубок. У композитов с ОУНТ-2 проводимость ниже, чем у композитов с ОУНТ-1, при всех концентрациях наполнителя. Пониженная проводимость, по-видимому, не связана с различием в распределении частиц, так как пороги протекания не слишком отличаются и составляют 1–2 мас. %. Ее можно объяснить тем, что оксидные группы на поверхности служат ловушками носителей заряда; они уменьшают вероятность перескока между частицами и внутри перколяционных кластеров, что и приводит к снижению проводимости.
Рис. 13. Зависимость электропроводности от концентрации наполнителя для композитов изотактический ПП с ОУНТ-1 (1) и ОУНТ-2 (2).
В работе [54] механическим смешением на двухшнековом смесителе получены композиты ПП с ОУНТ “Tuball™”, имеющие очень низкий порог перколяции (0.1 мас. %). Можно полагать, что использованный в нашей работе метод полимеризации in situ, обеспечивающий рост полимера на частицах, препятствуя прямому контакту частиц, способствует увеличению порога перколяции. Вместе с тем более высокий порог перколяции композиционных материалов, полученных полимеризацией in situ, может положительно сказаться на других характеристиках композитов, например на коэффициенте поглощения электромагнитных волн.
ДИЭЛЕКТРИЧЕСКИЕ ИЗМЕРЕНИЯ В ДИАПАЗОНЕ СВЧ
В диапазоне СВЧ (3.2–35 ГГц) проявляются существенные различия в электрофизических свойствах материалов на основе стереоизомеров ПП, которые позволяют судить об особенностях структуры композитов (рис. 14) [90].
Рис. 14. Зависимость диэлектрической проницаемости композита изотактический ПП/МУНТ (1), синдиотактический ПП/МУНТ (2) и эластомерный ПП / МУНТ (3) от содержания наполнителя в матрице. Частота измерения 4.8 ГГц.
При введении МУНТ в матрицу изотактического ПП с увеличением степени наполнения происходит значительный рост диэлектрической проницаемости ε′ (рис. 14, кривая 1) [34, 35, 44]. Такой характер зависимости ε′ от концентрации МУНТ в полимерной матрице, по-видимому, обусловлен высокой дисперсностью частиц наполнителя в композитах на основе изотактического ПП. В то же время для композитов эластомерный ПП/МУНТ наблюдается слабый рост ε′ с увеличением содержания наполнителя в матрице (рис. 14, кривая 3), что можно объяснить сильной агломерацией нанотрубок, связанной с особенностями структуры полимерной матрицы. Эластомерный ПП растворим в жидком пропилене при температуре полимеризации, в результате чего на частицах наполнителя не формируется полимерная оболочка, препятствующая их агломерации. Соответствующая зависимость для композитов синдиотактический ПП/МУНТ занимает промежуточное положение между таковыми для изотактического ПП/МУНТ и эластомерного ПП/МУНТ (рис. 14, кривая 2).
Был проведен анализ зависимости ε′ от состава композита с помощью математической модели, разработанной в Институте синтетических полимерных материалов Российской академии наук [90]. Угол наклона зависимости ε′ от концентрации наполнителя в полимерной матрице определяется коэффициентом деполяризации частиц наполнителя, который в свою очередь зависит от эксцентриситета частиц (отношения длины l к диаметру d для цилиндрических частиц или отношения длины осей для вытянутых эллипсоидов). Расчеты показали, что аспектное отношение частиц наполнителя (или их агломератов) уменьшается в ряду материалов изотактический ПП/МУНТ–синдиотактический ПП/МУНТ– эластомерный ПП/МУНТ приблизительно как 25 : 10 : 2. Можно предположить, что агрегация нанотрубок в системе эластомерный ПП/МУНТ ведет к образованию сфероидных агломератов МУНТ, диаметр которых на порядок больше, чем у вытянутых кластеров МУНТ в композитах на основе изотактического ПП. По размеру и форме кластеры МУНТ в композитах на основе синдиотактического ПП занимают промежуточное положение между аналогичными углеродными структурами в системах изотактический ПП/МУНТ и эластомерный ПП/МУНТ. Таким образом, анализ в СВЧ-диапазоне электрофизических характеристик композитов, содержащих МУНТ, позволяет изучать явления агрегации нанотрубок в полимерных матрицах и дает информацию об относительных размерах агрегатов углеродного нанонаполнителя.
Аналогичные расчеты для нанокомпозитов ПП с графеновыми нанопластинами показали, что аспектное отношение l : d для частиц ГНП в композите значительно больше, чем для МУНТ, и равно 112 (для исходных частиц l : d = 40). На рис. 15 представлены концентрационные зависимости диэлектрической проницаемости для композитов с графеновыми нанопластинами с различным временем ультразвуковой обработки. При обработке ультразвуком аспектное отношение частиц ГНП в композите уменьшается до 48 при обработке в течение 20 мин и далее до 39 при обработке в течение 60 мин. Вероятно, отличия свойств композитов на основе исходных ГНП и ГНП, подвергнутых ультразвуковому воздействию, обусловлены, в частности, изменением данного параметра частиц наполнителя [32, 87, 88].
Рис. 15. Диэлектрическая проницаемость на частоте 4.8 ГГц в зависимости от содержания наполнителя для композитов изотактический ПП с ГНП (1), ГНП, обработанными ультразвуком в течение 60 (2) и 20 мин (3).
Анализ полученных результатов позволил сделать вывод о том, что графеновые нанопластины в композите находятся в виде вытянутых анизотропных частиц. Такими частицами могут быть и агрегаты частиц, поскольку расчетная модель позволяет определить отношение максимального и минимального размера частицы, а не ее абсолютные размеры. На наличие не только индивидуальных частиц углеродных нанонаполнителей в композициях с полипропиленом, полученных полимеризацией in situ, но и их агрегатов указывают данные работ по изучению композиций ПП с наноуглеродами методом малоуглового рассеяния нейтронов [91, 92].
ЭЛЕКТРОДИНАМИЧЕСКИЕ СВОЙСТВА
Композиты на основе ПП и углеродных нанотрубок и графеновых нанопластин являются весьма перспективными материалами для защиты от электромагнитного излучения. В последние годы появилось много работ, посвященных этой проблеме [93–95].
Углеродные нанотрубки и графеновые нанопластины как нанонаполнители, обладающие высокой электрической проводимостью, придают полимерным композитам способность поглощать высокочастотное электромагнитное излучение. Важным фактором является то, что порог перколяции относительно высок, причем высокая локальная электропроводность сочетается с отсутствием заметной сквозной проводимости. Данное обстоятельство значительно увеличивает диэлектрические потери. При этом диэлектрическая проницаемость остается намного меньше, чем при наличии сквозной проводимости, что снижает отражение электромагнитной волны от границы раздела воздух–пластина нанокомпозита.
В работах [96, 97] было показано, что для эффективного экранирования электромагнитного излучения композиционными материалами на основе изотактического ПП и нанотрубок необходимы большие концентрации наноуглерода, тогда как максимальное поглощение требует концентраций, близких к порогу протекания. Этим и объясняется высокая эффективность нанокомпозитов, полученных методом полимеризации in situ, когда наполнитель покрывается слоем полимера, что приводит к увеличению порога протекания, соответствующего максимуму поглощения, а большая концентрация наполнителя обеспечивает рост поглощения.
Для изотактического ПП и композитов изотактического ПП с графеновыми нанопластинами, углеродными нанотрубками и их смесями, полученными полимеризацией in situ, были определены коэффициенты отражения электромагнитных волн СВЧ-диапазона при разных частотах для образцов, расположенных на металлической подложке (табл. 4). Учитывая, что толщина пленок композитов составляла 200–300 мкм, электродинамические характеристики полученных композитов достаточно высоки.
Таблица 4. Коэффициент отражения для пленок изотактического ПП и композитов на его основе при разной частоте (толщина пленок 100–200 мкм) [29, 36, 42, 51, 88]
Наполнитель | Содержание наполнителя, мас. % | Коэффициент отражения, % | ||
26 ГГц | 30 ГГц | 35 ГГц | ||
– | 0 | – | – | 95 |
ТРОГ | 3.3 | – | 91 | 79 |
ГНП | 0.7 | 87 | 81 | 83 |
ГНП* | 1.8 | 85 | 81 | 71 |
9.5 | 19 | 18 | 30 | |
МУНТ | 7 | 14 | 50 | 38 |
ТРОГ+МУНТ | 4.2 | – | 74 | 52 |
ОУНТ | 1.2 | – | 69 | 57 |
2.56 | – | 48 | 46 | |
ТРОГ+ОУНТ | 1.1 | 81 | 72 | 62 |
3.4 | 78 | 69 | 31 | |
* Обработанные ультразвуком в течение 20 мин.
Как отмечалось выше, при обработке углеродных наночастиц в ультразвуковом поле изменяется эффективный коэффициент формы (аспектное отношение) частиц наполнителя, который определяет частоту и ширину максимума диэлектрических потерь. Это также позволяет управлять параметрами полосы поглощения экрана электромагнитного излучения.
На рис. 16 представлены значения коэффициента отражения в зависимости от типа и концентрации нанонаполнителя при частоте 35 ГГц. Общая тенденция такова, что коэффициент отражения уменьшается (поглощение в образце увеличивается) с ростом концентрации нанонаполнителей.
Рис. 16. Коэффициент отражения для композиций изотактического ПП (ИПП) с ГНП, ТРОГ, МУНТ и ОУНТ в зависимости от концентрации наполнителя.
Использование бинарных наполнителей на основе ТРОГ и углеродных нанотрубок приводит к уменьшению коэффициента отражения, который даже при малых добавках нанотрубок приближается к значениям, соответствующим одним нанотрубкам [98].
Диэлектрические поглотители обычно имеют большую толщину. В нашем случае коэффициенты отражения были определены для тонких пленок, и найденные для них характеристики оказались с поправкой на толщину сравнимыми с таковыми для обычно используемых материалов.
На основании проведенных исследований можно сделать вывод о том, что нанокомпозиты на основе ПП с нанотрубками и графеновыми нанопластинами, полученные методом полимеризации in situ, перспективны для создания экранов и поглотителей электромагнитного излучения.
Таким образом, анализ результатов изучения композиций полипропилена с наноуглеродными наполнителями различного типа, синтезированных полимеризацией in situ, показал перспективность использования таких наполнителей для модификации свойств полимеров и разработки новых полимерных материалов на их основе.
Наличие углеродных нанонаполнителей создает возможность применения полимерных материалов в различных электронных и электротехнических приложениях. Композиционные материалы на основе полимеров и углеродных наполнителей могут эффективно использоваться в антистатических и экранирующих целях.
Особый интерес представляют материалы с нанонаполнителями, характеризующимися высоким аспектным отношением, которые могут сдвигать порог протекания к меньшим концентрациям наполнителя. Проведенное исследование позволяет прогнозировать свойства широкого класса полимерных нанокомпозитов, содержащих наноуглеродные наполнители. Разработанные подходы позволяют направленно решать задачу получения наноматериалов на основе углеродных полиморфов и полиолефинов, наиболее полно реализовать электрофизические свойства наноуглеродов в полимерных нанокомпозитах и создать ряд новых материалов важных с практической точки зрения.
Sobre autores
П. Недорезова
Федеральный исследовательский центр химической физики им. Н.Н. Семёнова Российской академии наук
Autor responsável pela correspondência
Email: polned@mail.ru
Rússia, 119991 Москва, ул. Косыгина, 4
А. Клямкина
Федеральный исследовательский центр химической физики им. Н.Н. Семёнова Российской академии наук
Email: polned@mail.ru
Rússia, 119991 Москва, ул. Косыгина, 4
О. Палазник
Федеральный исследовательский центр химической физики им. Н.Н. Семёнова Российской академии наук
Email: polned@mail.ru
Rússia, 119991 Москва, ул. Косыгина, 4
В. Шевченко
Институт синтетических полимерных материалов им. Н.С. Ениколопова Российской академии наук
Email: polned@mail.ru
Rússia, 117393 Москва, ул. Профсоюзная, 70
Bibliografia
- Graphene-Based Polymer Nanocomposites in Electronics / Ed. by K.K. Sadasivuni, D. Ponnamma, J. Kim, S. Thomas Springer Int. Publ. Switzerland, 2015.
- Kurahatti R.V., Surendranathan A.O., Kori S.A., Singh N., Kumar A.V.R., Srivastava S. // Def. Sci. J. 2010. V. 60. Р. 551.
- Das C.K., Sudhakar C.V. // J. Mater. Sci. Eng. 2012. V. 2. P. 368.
- Lee J.H., Marroquin J., Rhee K.Y., Park S.J., Hui D. // Composites B. 2013. V. 45. P. 682.
- Zhang L., Shi C., Rhee K.Y., Zhao N. // Composites A. 2012. V. 43. P. 2241.
- Hule R.A., Pochan D.J. // MRS Bull. 2007. V. 32. Р. 354.
- Physical Properties and Applications of Polymer Nanocomposites / Ed. by S.C. Tjong, Y.W. Mai. Cambridge: Woodhead, 2010.
- Chemistry of Nanocarbons / Ed. by Takeshi Akasaka, Fred Wudl, Shigeru Nagas. UK: Wiley, 2010.
- Advanced Materials Science and Engineering of Carbon / Еd. by Michio Inagaki, Feiyu Kang, Masahiro Toyoda, Hidetaka Konno. ButterOxford UK: worth-Heinemann, 2014.
- Carbon-based Solids and Materials / Ed. by Pierre Delhaes. London: ISTE Ltd 2011.
- Anke Krueger. Carbon Materials and Nanotechnology. Weinheim: Wiley-VCH Verlag., 2010.
- Carbon Nanomaterials / Ed. by Yury Gogotsi. Boca Raton: CRC Press, 2006.
- Sandeep N. Tripathi, Srinivasa Rao G. S., Mathurb Ajit B., Jasra Rakshvir // RSC Adv. 2017. V. 7. P. 23615.
- Костандов Л.А., Ениколопов Н.С., Дьячковский Ф.С., Новокшонова Л.А., Гаврилов Ю.А., Кудинова О.И., Маклакова Т.А., Акопян Л.А., Брикенштейн Х.-М.А., А.с. 763379 СССР // Б.И. 1980. № 34. С. 129.
- Дьячковский Ф.С., Новокшонова Л.А. // Успехи химии. 1984. Т. 53. № 2. С. 200.
- Alexandre Michael, Martin Eric, Dubois Philippe, Marti Miguel Garcia, Jerome Robert // Chem. Mater. 2001. V. 13. P. 236.
- Kaminsky W. // Front. Chem. Sci. Eng. 2018. V. 12. № 3. P. 555.
- Qian D., Dickey E.C., Andrews R., Rantell T. // Appl. Phys. Lett. 2000. V.76. P. 2868.
- Biercuk M.J., Llaguno M.C., Radosavljevic M., Hyun J.K., Johnson A.T. // Appl. Phys. Lett. 2002. V. 80. P. 2767.
- Ениколопов Н.С., Галашина Н.М., Шевченко В.Г., Недорезова П.М., Филиппов П.Г., Цветкова В.И., Пономаренко А.Т., Бендерский В.А., Дьячковский Ф.С., Гринев В.Г., Григоров Л.Н. А.с. 1240761 СССР. // Б.И. 1986. № 24.
- Arbuzov A.A., Muradyan V.E., Tarasov B.P. // Russ. Chem. Bull. 2013. V. 62. P. 1962.
- Arbuzov A.A., V Muradyan.E., Tarasov B.P., Sokolov E.A., Babenko S.D. // Russ. J. Phys. Chem. 2016. V. 90. P. 907.
- Кущ С.Д., Мурадян В.Е., Моравский А.П., Фурсиков П.В. // Нефтехимия. 1997. Т. 37. С. 112.
- Недорезова П.М., Цветкова В.И., Колбанев И.В., Дьячковский Ф.С. // Высокомолек. соед. А. 1989. Т. 31. № 12. C. 2657.
- Jing Li, Jie Tang, Jinshi Yuan, Kun Zhang, Xiaoliang Yu, Yige Sun, Han Zhang, Lu-Chang Qin // Chem. Phys.Lett. 2018. V. 693. P. 60.
- Perets Yu., Aleksandrovych L., Melnychenko M., Lazarenko O., Vovchenko L., Matzui L. // Nanoscale Res. Lett. 2017. V. 12. P. 406.
- Галашина Н.М., Недорезова П.М., Цветкова В.И., Дьячковский Ф.С., Ениколопов Н.С. // Докл. АН СССР Т. 1984. Т. 278. № 3. С. 620.
- Недорезова П.М., Колбанев И.В., Цветкова В.И., Галашина Н.М., Монахова Т.В., Дьячковский Ф.С., Ениколопов Н.С. А.с. 1416493 СССР. // Б.И. 1988. № 30.
- Nedorezova P.M., Galashina N.M., Tsvetkova V.I., Sukhova T.A., Saratovskikh S.L., Babkina O.N., Dyachkovskii F.S. // Eur. Polym. J. 1996. V. 32. № 9. P. 1161.
- Недорезова П.М., Сухова Т.А., Цветкова В.И., Колбанев И.В., Белов Г.П., Дьячковский Ф.С., Ениколопов Н.С. А.с. 11595852 СССР. //Б.И. 1990. № 36. С. 8.
- Polschikov S., Nedorezova P., Palaznik O., Klyamkina A., Shashkin D., Gorenberg A., Krasheninnikov V., Shevchenko V., Arbuzov A. // Polym. Eng. Sci. 2018. V. 58. P. 1461.
- Polshikov S.V., Nedorezova P.M., Klyamkina A.N., Kovalchuk A.A., Aladyshev A.M., Shchegolikhin A.N., Shevchenko V.G., Muradyan V.E. // J. Appl. Polym. Sci. 2013. V. 127. № 2. С. 904.
- Недорезова П.М., Шевченко В.Г., Клямкина А.Н., Монахова Т.В., Цветкова В.И., Леменовский Д.А. Пат. 2200170 Россия. 2003.
- Koval’chuk A.A., Shchegolikhin A.N., Shevchenko V.G., Shegolikhin A.N., Nedorezova P.M., Klyamkina A.N., Aladyshev A.M. // Macromolecules. 2008. V. 41. P. 3149.
- Koval’chuk A.A., Shevchenko V.G., Shchegolikhin A.N., Nedorezova P.M., Klyamkina A.N., Aladyshev A.M. // Macromolecules. 2008. V. 41. № 20. P. 7536.
- Pol’shchikov S. V., Nedorezova P. M., Klyamkina A. N., Krashenninikov V. G., Aladyshev A. M., Shchegolikhin A. N., Shevchenko V. G., Sinevich E. A., Monakhova T. V., Muradyan V. E. // Nanotechnol. Russia. 2013. V. 8. № 1–2. P. 69.
- Polschikov S.V., Nedorezova P.M., Monakhova T.V., Klyamkina A.N.,Shchegolikhin A.N., Krasheninnikov V.G., Muradyan V.E., Popov A.A., Margolin A.L. // Polymer Science В. 2013. V. 55. № 5–6. P. 286.
- Palaznik O.M., Nedorezova P.M., Shevchenko V.G., Krasheninnikov V.G., Monakhova T.V., Arbuzov A.A. // Polymer Science B. 2021. Т. 63. № 2. С. 161.
- Spaleck W., Kuber F., Winter A., Rohrmann J., Bochmann B., Antberg M., Dolle V., Paulus E.F. // Organometallics. 1994. V. 13. P. 954.
- Nedorezova P.M., Tsvetkova V.I., Aladyshev A.M., Savinov D.V., Klyamkina A.N., Optov V.A., Lemenovskii D.A. // Polymer Science А. 2001. V. 43. № 4. P. 356.
- Milani M.A., Quijada R., Basso N.R.S., A.P. Graebin, Galland G.B. // J. Polym. Sci., Polym. Chem. 2012. V. 50. P. 3598.
- Milani M.A., González D., Quijada R., Basso N.R.S., Cerrada M.L., Azambuja D.S., Galland G.B. // Composi. Sci. Technol. 2013. V. 84. P. 1.
- Larissa Stieven Montagna, Fabiana de Carvalho Fim, Griselda Barrera Galland, Nara Regina de Souza Basso // Macromol. Symp. 2011. V. 299. P. 48.
- Kovalchuk A.A., Shevchenko V.G., Shchegolikhin A.N., Nedorezova P.M., Klyamkina A.N., Aladyshev A.M. // J. Mater. Sci. 2008. V. 43. № 22. P. 7132.
- Polshikov S.V., Nedorezova P.M., Komkova O.M., Klyamkina A.N., Shchegolikhin A.N., Krasheninnikov V.G., Aladyshev A.M., Shevchenko V.G., Muradyan V.E. // Nanotechnol. Russia. 2014. V. 9. № 3–4. P. 175.
- Kaminsky W., Funck A. // Macromol. Symp. 2007. V. 260. P. 1.
- Bonduel D., Bredeau S., Alexandre M., Monteverde F., Dubois P. // J. Mater. Chem. 2007. V.17. P. 2359.
- Kissin Yu.V. Isospecific Polymerization of Olefins. New York; Berlin; Heidelberg; Tokyo: Springer-Verlag, 1985.
- Nedorezova P.M., Shevchenko V.G., Shchegolikhin A.N., Tsvetkova V.I., Korolev Yu.M. // Polymer Science А. 2004. V. 46. № 3. P. 242.
- Margolin A.L., Monakhova T.V., Nedorezova P.M., Klyamkina A.N., Polschikov S.V. // Polym. Degrad. Stab. 2018. V. 156. P. 59.
- Шляпников Ю.А., Кирюшкин С.Г., Марьин А.П. Антиокислительная стабилизация полимеров. М.: Химия, 1988.
- Marosfoi B.B., Szabo A., Marosi G., Tabuani D., Camino G., Pagliari S. // J. Thermal Analysis Calorimetry. 2006. V. 86. N 3. P. 669.
- Palaznik O.M., Nedorezova P.M., Pol’shchikov S.V., Klyamkina A.N., Shevchenko V.G., Krasheninnikov V.G., Monakhova T.V., Аrbuzov A.A. // Polymer Science B. 2019. V. 61. № 2. P. 200.
- Krause B., Potschke P., Ilin E., Predtechenskiy M. // Polymer. 2016. V. 98. P. 45.
- Monakhova T.V., Nedorezova P.M., Pol’shchikov S.V., Popov A.A., Margolin A.L. // Russ. J. Phys. Chem. 2014. V. 8. № 6. P. 874.
- Галимов И., Газеева Д.Р., Булгаков Р.Г. // Изв. РАН. Сер. хим. 2011. № 10. С. 2070.
- Watts P., Fearon P., Hsu W., Billingham N., Kroto H., Walton D. // J. Mater. Chem. 2003. V. 13. P. 491.
- Зейналов Е.Б., Агагусейнова М.М., Салманова Н.И. // Изв. вузов. Химия и хим. технология. 2020. Т. 63. № 11. С. 5.
- Palaznik O.M., Nedorezova P.M., Krasheninnikov V.G. // Polymer Science A. 2023. V. 65. № 4. P. 396.
- Tyun’kin I.V., Bazhenov S.L., Kechek’yan A.S., Efimov A.V., Timan S.A. // Polymer Science A. 2011. Т. 53. № 8. С. 715.
- Bazhenov S.L., Efimov A.V., Bobrov A.V., Kechek’yan A.S. Grokhovskaya T.E. // Polymer Science A. 2015. Т. 57. № 3. С. 285.
- Gezovich D. M., Geil P.H. // J Mater Sci. 1971. V. 6. P. 509.
- Марихин В.А., Мясникова Л.П., Новак И.И., Сучков В.А., Тухватулина М.Ш. // Высокомолек. соед. А. 1972. Т. 14. № 11. С. 2457.
- Nakayama K., Qi K., Hu X. // Polym. Compos. 2001. V. 9. P. 151.
- Jia J., Raabe D., Mao W.M. // J. Polym. Sci. 2006. V. 24. P. 403.
- Kosugi K., Yokoyama T., Yamada T. // J. Jpn Soc. Exp. Mech. 2008. V. 8. P. 71.
- Qiu J., Kawagoe M., Mizuno W., Morita M. // Trans. Jpn Soc. Mech. Eng. A. 2000. V. 66. P. 867.
- Volynskii A.L., Yarysheva L.M., Bakeev N.F. // Polymer Science A. 2011. V. 53. № 10. P. 871.
- Qiu J, Murata T, Takahashi K, Wu X. // Adv. Mater. Res. 2012. V. 391–392. P. 585.
- Efimov A.V., Nedorezova P.M., Bazhenov S.L., Palaznik O.M., Grokhovskaya T.E., Pol’shchikov S.V. // Polymer Science A. 2020. V. 62. № 3. P. 260.
- Stankovich S., Dikin D.A., Dommett G.H., Kohlhaas K.M., Zimney E.J., Stach E.A., Piner R.D., Nguyen S.T., Ruoff R.S. // Nature. 2006. V. 442. P.282.
- Wei T., Luo G., Fan Z., Zheng C., Yan J., Yao C., Li W., Zhang C. // Carbon. 2009. V. 47. P. 2296.
- Wang W.-P., Pan C.-Y. // Polym. Eng. Sci. 2004. V. 44. P. 2335.
- Randviir Edward P., Brownson Dale A.C., Banks Craig E. // Materials Today. 2014. V. 17. N. 9. P. 426.
- Syurik Y.V., Ghislandi M.G., Tkalya E.E., Paterson G., McGrouther D., Ageev O.A., Loos J. // Macromol. Chem. Phys. 2012. V. 213. P. 1251.
- Socher R., Krause B., Müller M.T., Boldt R., Pötschke P. // Polymer. 2012. V. 53. P. 495.
- von Hippel A. R. Dielectrics and Waves. Boston: Artech, 1995.
- Long A.R. // Pollak M., Shklovskii B. Hopping Transport in Solids. Amsterdam: Elsevier, 1991. P. 207.
- Dyre J.C., Shrøder T.B. // Rev. Mod. Phys. 2000. V. 72. № 3. P. 873.
- Grannan D. M., Garland J. C. Tanner D. B. // Phys. Rev. Lett. 1981. V. 46. N. 5. P. 375.
- Linares A., Canalda J.C., Cagiao M.E., Garcıa-Gutierrez M.C., Nogales A., Martın-Gullon I., Vera J., Ezquerra T.A. // Macromolecules. 2008. V. 41. P. 7090.
- Dyre J.C. // J. Appl Phys, 1998. V. 64. № 5. P. 2456.
- Dyre J.C., Shrøder T.B. // Rev Mod Phys. 2000. V. 72. N. 3. P. 873.
- Jonscher A.K. Universal Relaxation Law. London: Chelsea Dielectrics Press, 1992.
- Thostenson E., Li C., Chou T. // Compos. Sci. Technol. 2005. V. 65. № 3–4. P. 491.
- Tsangaris G.M., Psarras G.C., Manolakaki E. // Adv. Comp. Lett. 1999. V. 8. № 1. P. 25.
- Shevchenko V.G., Polschikov S.V., Nedorezova P.M., Klyamkina A.N., Shchegolikhin A.N., Aladyshev A.M., Muradyan V.E. // Polymer. 2012. V. 53. № 23. P. 5330.
- Shevchenko V.G., Chvalun S.N., Polschikov S.V., Nedorezova P.M., Klyamkina A.N., Aladyshev A.M. // Polym. Compos. 2015. V. 36. № 6. P. 1006.
- Bychanok D., Kuzhir P., Maksimenko S., Bellucci S., Brosseau C. // J. Appl. Phys. 2013. V. 113. Р. 124103.
- Ponomarenko A.T., Shevchenko V.G., Figovsky O. // Scientific Israel – Technological Advantages. 2005. V. 7. P. 37.
- Ельникова Л. В., Озерин А. Н., Шевченко В. Г., Недорезова П. М., Палазник О. М., Пономаренко А. Т., Ской В. В., Куклин А. И. // Поверхность. Рентгеновские, синхротронные и нейтронные исследования. 2021. № 9 С. 3.
- Elnikova L.V., Ozerin A.N., Shevchenko V.G., Nedorezova P.M., Ponomarenko A.T., Skoi V.V., Kuklin A.I. // Fullerenes, Nanotubes and Carbon Nanostructures. 2021. V. 29. № 10. P. 783.
- Tudose Ioan Valentin, Mouratis Kyriakos, Ionescu Octavian Narcis, Romanitan Cosmin, Pachiu Cristina, Tutunaru-Brincoveanu Oana, Suchea Mirela Petruta, and Koudoumas Emmanouel // Nanomaterials. 2022. V. 12. P. 2411.
- Kaushal, A., Singh, V. // Polym. Compos. 2022. V. 43. P. 3708.
- Sankaran S., Deshmukh K., Ahamed M.B., Pasha S.K. // Composites А. 2018. V. 114. P. 49.
- Mohammed H. Al-Saleh, Uttandaraman Sundararaj // Carbon. 2009. V. 47. P. 1738.
- Qun Li, Qingzhong Xue, Lanzhong Hao, Xili Gao, Qingbin Zheng // Composites Science and Technology. 2008. V. 68. P. 2290.
- Palaznik O.M., Nedorezova P.M., Shevchenko V.G., Krasheninnikov V.G., Klyamkina A.N., Monakhova T.V., Gulin A.A., Arbuzov A.A. // Polymer Science B. 2023. V. 65. № 6. P. 935.
Arquivos suplementares





















