Silicones in Cosmetics
- Авторлар: Ivanova E.V.1, Minyaylo E.O.1,2, Temnikov M.N.1,2, Mukhtorov L.G.1, Atroshchenko Y.M.1
-
Мекемелер:
- Tula State Lev Tolstoy Pedagogical University
- Nesmeyanov Institute of Organoelement Compounds, Russian Academy of Sciences
- Шығарылым: Том 65, № 5 (2023)
- Беттер: 323-340
- Бөлім: ОБЗОРЫ
- URL: https://journals.rcsi.science/2308-1139/article/view/233617
- DOI: https://doi.org/10.31857/S2308113923600077
- EDN: https://elibrary.ru/CCDHYL
- ID: 233617
Дәйексөз келтіру
Толық мәтін
Аннотация
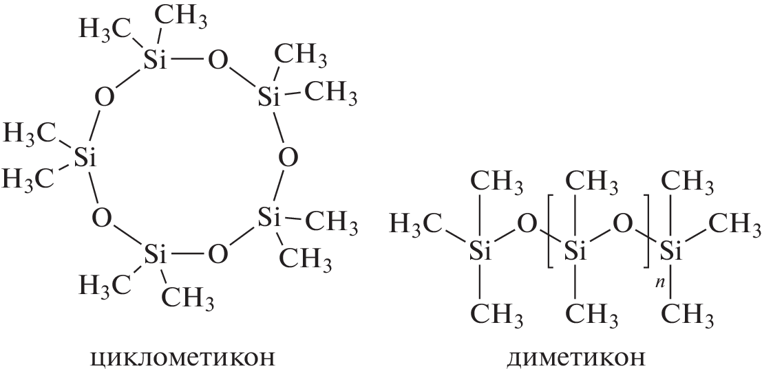
The structural diversity of organosilicon compounds used in decorative and care cosmetic products is studied. The unique physicochemical properties of silicones allowing their application as emollients, moisturizers, emulsifiers, film formers, viscosity regulators, and antistatic and binding agents are described. Mechanisms of action of various structure silicones, due to which organosilicon compounds are advantageously used to impart certain properties to cosmetic products, are demonstrated. A comparative analysis of the efficiency of silicones versus natural compounds serving similar functions in cosmetic products is performed. The issue of silicone safety for human health is considered.
Авторлар туралы
E. Ivanova
Tula State Lev Tolstoy Pedagogical University
Email: temnikov88@gmail.com
300026, Tula, Russia
E. Minyaylo
Tula State Lev Tolstoy Pedagogical University; Nesmeyanov Institute of Organoelement Compounds, Russian Academy of Sciences
Email: temnikov88@gmail.com
300026, Tula, Russia; 119334, Moscow, Russia
M. Temnikov
Tula State Lev Tolstoy Pedagogical University; Nesmeyanov Institute of Organoelement Compounds, Russian Academy of Sciences
Email: temnikov88@gmail.com
300026, Tula, Russia; 119334, Moscow, Russia
L. Mukhtorov
Tula State Lev Tolstoy Pedagogical University
Email: temnikov88@gmail.com
300026, Tula, Russia
Yu. Atroshchenko
Tula State Lev Tolstoy Pedagogical University
Хат алмасуға жауапты Автор.
Email: temnikov88@gmail.com
300026, Tula, Russia
Әдебиет тізімі
- Rochow E.G. Pat. US2380995A USA. 1941.
- Rochow E.G. // J. Am. Chem. Soc. 1945. V. 67. № 6. P. 963.
- Андрианов К.А. Кремнийорганические соединения. М.: Госхимиздат, 1955.
- Kostic A. // Cos. Act. J. 2021. V. 1. P. 34.
- Pat. 51542 ПHP. 1964.
- Pat. 92263 French Republic . 1966.
- Pat. 329819 USA. 1962.
- Воронков М.Г., Зелчан Г.И., Лукевиц Э.Я. Кремний и жизнь. Биохимия, токсикология и фармакология соединений кремния. Рига: Зинатне, 1971.
- Соболевский М.В., Музовская О.А., Попелева Г.С. Свойства и области применения кремнийорганических продуктов. М.: Химия, 1975.
- Кремнийорганические продукты, выпускаемые в СССР: Каталог-справочник / Министерство хим. пром-ти СССЗ. М.: Химия, 1970.
- Крем для рук “Силиконовый”: https://www.svobodako.ru/dlya-tela/kategorii/kremy-dlya-ruk/krem-dlya-ruk-silikonovyy. Электронный ресурс.
- Бесхлорная химия силиконов – дорога в будущее / Под ред. А.М. Музафарова. М.: Перо, 2018.
- Temnikov M.N., Muzafarov A.M. // RSC Adv. Royal Soc. Chem. 2020. V. 10. № 70. P. 43129.
- Krizhanovskiy I., Temnikov M., Kononevich Yu., Anisimov A., Drozdov F., Muzafarov A. // Polymers (Basel). 2022. V. 14. № 15. P. 3079.
- Mojsiewicz-Pieńkowska K., Krenczkowska D. // Chemosphere. 2018. V. 191. P. 204
- O’Lenick A.J. Silicones for Personal Care / Ed. by A.C. Kozlowski. Carol Stream: Allured Publ. Corporation, 2008.
- Montiel M.C., Máximo F., Serrano-Arnaldos M., Ortega-Requena S., Murcia M., Bastida J. // Eng. Life Sci. 2019. V. 19. № 5. P. 370.
- Guo W., Dai Y., Chu X., Cui S. // Ecotoxicol. Environ. Saf. 2021. V. 213. P. 111983.
- Barel A.O., Paye M., Maibach H.I. Handbook of Cosmetic Science and Technology. London: Informa Healthcare Inc., 2009.
- Goussard V., Aubry J.M., Nardello-Rataj V. // Adv. Colloid Interface Sci. 2022. V. 304. P. 1.
- Yates J., Moore J., Mint A. // Res. Disclosure. 2001. P. 1875.
- Van Reeth I., Urrutia A. // SEPAWA Congress Conf. Proceedings. 2003.
- Abrutyn E.S. // Conditioning Agents for Hair and Skin / Eds by R. Schueller, P. Romanowski New York: Marcel Dekker Inc., 1999. P. 34.
- Blakely J., Van Reeth I., Vagts A. // Inside Cosmetics. 1998. P. 14.
- Arkles B. // Arkles. B. 2001. V. 26. P. 402.
- DeArmitt C. // Cosmet. Toilet. 2008. V. 123. P. 51.
- Blanco I. // Polymers (Basel). 2018. V. 10. P. 904.
- Quadir M. Pat. EP1603518A4 USA. 2006.
- Loman-Cortes P., Binte Huq T., Vivero-Escoto J.L. // Molecules. 2021. V. 26. № 6453. P. 1.
- Cekada J., Weyenberg D.R. Pat. DE1595471A1 USA. 1970.
- Yawat Y. Pat. JPH0723287B2 USA. 1985.
- Defossez B., Gagnebien D. Pat. AU636202B2 USA. 1993.
- Olejnik A., Sztorch B., Brząkalski D., Przekop R.E. // Materials (Basel). 2022. V. 15. № 3. P. 1.
- Bui H.S., Coleman-Nally D. Film-Forming Technology and Skin Adhesion in Long-Wear Cosmetics // Adhesion in Pharmaceutical, Biomedical and Dental Fields. New York: Wiley, 2017. P. 141.
- Bui H.S., Halpern S., Kanji M. Pat. US9089503B2 USA. 2015.
- Baney R.H., Itoh M., Sakakibara A., Suzuki T. // Chem. Rev. 1995. V. 95. № 5. P. 1409.
- Kondo T., Yoshii K., Horie K., Itoh M. // Macromolecules. 2000. V. 33. № 10. P. 3650.
- Itoh M., Oka F., Suto M., Cook S.D., Auner N. // Int. J. Polym. Sci. 2012. V. 2012. P. 1.
- Gordan G.V. Pat. US7803358B2 USA. 2010.
- Arkles B. // MRS Bull. 2001. V. 26. № 5. P. 402.
- Amouroux N., Petit J., Léger L. // Langmuir. 2001. V. 17. № 21. P. 6510.
- Di M., He S., Li R., Yang D.-Z. // Nucl. Instruments Methods Phys. Res. Sect. B. 2006. V. 248. № 1. P. 31.
- Xiang H., Xiang H., Ge J., Cheng S., Han H., Cui S. // J. Sol-Gel Sci. Technol. 2011. V. 59. № 3. P. 635.
- Shi X., Chen Z., Yang Y. // Eur. Polym. J. 2014. V. 50. P. 243.
- Jia P., Jia P., Liu H., Liu Q., Cai X. // Polym. Degrad. Stab. 2016. V. 134. P. 144.
- Meshkov I.B., Kalinina A.A., Gorodov V.V., Bakirov A.V., Krasheninnikov S.V., Chvalun S.N., Muzafarov A.M. // Polymers (Basel). 2021. V. 13. № 17. P. 2848.
- Tomomasa S., Takada H., Soyama Y. Pat. US5948393A USA. 1999.
- Becker L.C., Bergfeld W.F., Belsito D.V., Hill R.A., Klaassen C.D., Liebler D.C., Marks J.G., Shank R.C., Slaga Th.J., Snyder P.W., Andersen F.A. // Int. J. Toxicol. 2014. V. 33. № 2. P. 65S.
- Shchegolikhina O.I., Pozdnyakova Yu.A., Molodtsova Yu.A., Korkin S.D., Bukalov S.S., Leites L.A., Lyssenko K.A., Peregudov A.S., Auner N., Katsoulis D.E. // Inorg. Chem. 2002. V. 41. № 25. P. 6892.
- Anisimov A.A., Kononevich Yu.N., Buzin M.I., Peregudov A.S., Shchegolikhina O.I., Muzafarov A.M. // Macroheterocycles. 2016. V. 9. № 4. P. 442.
- Pozdnyakova Y.A., Korlyukov A.A., Kononova E.G., Lyssenko K.A., Peregudov A.S., Shchegolikhina O.I. // Inorg. Chem. 2010. V. 49. № 2. P. 572.
- Vysochinskaya Y.S., Anisimov A.A., Peregudov A.S., Dubovik A.S., Orlov V.N., Malakhova Yu.N., Stupnikov A.A., Buzin M.I., Nikiforova G.G., Vasil’ev V.G., Shchegolikhina O.I., Muzafarov A.M. // J. Polym. Sci., Polym. Chem. 2019. V. 57. № 11. P. 1233.
- Vysochinskaya Y.S., Gorodov V.V., Anisimov A.A., Boldyrev K.L., Buzin M.I., Naumkin A.V., Maslakov K.I., Peregudov A.S., Shchegolikhina O.I., Muzafarov A.M. // Russ. Chem. Bull. 2017. V. 66. № 6. P. 1094.
- Zhemchugov P.V., Peregudov A.S., Malakhova Yu.N., Buzin A.I., Buzin M.I., Shchegolikhina O.I., Muza-farov A.M. // Russ. Chem. Bull. 2015. V. 64. № 6. P. 1394.
- Dyuzhikova Y.S., Anisimov A.A., Peregudov A.S., Buzin M.I., Nikiforova G.G., Vasil’ev V.G., Kostrov S.A., Buzin A.I., Stupnikov A.A., Malakhova Yu.N., Shchegolikhina O.I., Muzafarov A.M. // Polymers (Basel). 2022. V. 14. № 2. P. 285.
- Dyuzhikova Y.S., Anisimov A.A., Gorodov V.V., Olenich E.A., Buzin M.I., Nikiforova G.G., Kostrov S.A., Shchegolikhina O.I., Muzafarov A.M. // J. Organomet. Chem. 2023. V. 989. P. 1.
- Krizhanovskiy I., Temnikov M., Drozdov F.V., Peregudov A.S., Anisimov A. // React. Chem. Eng. 2023. V. 8. № 5. P. 1005.
- Obrezkova M.A., Kalinina A.A., Pavlichenko I.V., Vasilenko N.G., Mironova M.V., Semakov A.V., Kulichikhin V.G., Buzin M.I., Muzafarov A.M. // Silicon. 2015. V. 7. № 2. P. 177.
- Filippov A., Kozlov A., Tarabukina E., Obrezkova M., Muzafarov A. // Polym. Int. 2016. V. 65. № 4. P. 393.
- Obrezkova M.A., Saraeva I.I., Ignatieva G.M., Vasilenko N.G., Muzafarov A.M. // Mendeleev Commun. 2021. V. 31. № 5. P. 704.
- Temnikov M.N., Buzin M.I., Demchenko N.V., Cherkaev G.V., Vasilenko N.G., Muzafarov A.M. // Mendeleev Commun. 2016. V. 26. № 2. P. 121.
- Temnikov M.N., Vasiliev V.G., Buzin M.I., Muza-farov A.M. // Eur. Polym. J. 2020. V. 130. № 3. P. 109676.
- Jaumann M., Rebrov E.A., Kazakova V.V., Muzafarov A.M., Goedel W.A., Moeller M. // Macromol. Chem. Phys. 2003. V. 204. № 7. P. 1014.
- Kazakova V.V., Rebrov E.A., Myakushev V.B., Strelkova T.V., Ozerin A.N., Ozerina L.A., Chenskaya T.B., Sheiko S.S., Sharipov E.Yu., Muzafarov A.M. // Silicones and Silicone-Modified Materials ACS Symposium Book Series 729. Am. Chem. Soc.: Washington, 2000. V. 34. P. 503.
- Kazakova V.V., Myakushev V.D., Strelkova T.V., Muza-farov A.M. // Polymer Science A. 1999. V. 41. № 3. P. 283.
- Amirova A.I., Golub O.V., Migulin D.A., Muzafarov A.M. // Int. J. Polym. Anal. Charact. 2016. V. 21. № 3. P. 214.
- Temnikov M.N., Zimovets S.N., Vasil’ev V.G., Buzin M.I. // Nesmeyanov Institute of Organoelement Compounds, Russ. Acad. Sci. 2020. V. 3. P. 112.
- Meshkov I.B., Kalinina A.A., Kazakova V.V., Demchenko A.I. // Nesmeyanov Institute of Organoelement Compounds, Russ. Acad. Sci. 2020. V. 3. № 4. P. 118.
- Dendrimer Chemistry: Synthetic Approaches Towards Complex Architectures // Monographs in Supramolecular Chemistry / Eds by M. Malkoch, Gallego S. García. London: Royal Soc. Chem., 2020. P. 293.
- Minyaylo E.O., Anisimov A.A., Zaitsev A.V., Milenin S.A., Tikhonov P.A., Vyshivannaya O.V., Olshevskaya V.A., Nikiforova G.G., Buzin M.I., Peregudov A.S., Muza-farov A.M. // React. Funct. Polym. 2020. V. 157. P. 104746.
- Tatarinova E.A., Rebrov E.A., Myakushev V.D., Mesh-kov I.B., Demchenko N.V., Bystrova A.V., Lebedeva O.V., Muzafarov A.M. // Russ. Chem. Bull. 2004. V. 53. № 11. P. 2591.
- Milenin S.A., Selezneva E.V., Tikhonov P.A., Vasil’ev V.G., Buzin A.I., Balabaev N.K., Kurbatov A.O., Petoukhov M.V., Shtykova E.V., Feigin L.A., Tatarinova E.A., Kramarenko E.Yu., Chvalun S.N., Muzafarov A.M. // Polymers (Basel). 2021. V. 13. № 4. P. 606.
- Serkova E.S., Krasnova I.Y., Milenin S.A., Selezneva E.V., Tatarinova E.A., Boldyrev K.L., Korlyukov A.A., Zubavichus Y.V., Buzin M.I., Serenko O.A., Shifrina Z.B., Muzafarov A.M. // Polymer (Guildf). 2018. V. 138. P. 83.
- Ardabevskaia S.N., Chamkina E.S., Krasnova I.Yu., Milenin S.A., Sukhova E.A., Boldyrev K.L., Bakirov A.V., Serenko O.A., Shifrina Z.B., Muzafarov A.M. // Int. J. Mol. Sci. 2022. V. 23. № 24. P. 15461.
- Boldyrev K., Tatarinova E., Meshkov I., Vasilenko N., Buzin M., Novikov R., Vasil’ev V., Shtykova E., Feigin L., Bystrova A., Chvalun S., Muzafarov A. // Polymer (Guildf). 2019. V. 174. P. 159.
- Tarasenkov A.N., Getmanova E.V., Tatarinova E.A., Buzin M.I., Demchenko N.V., Cherkaev G.V., Muza-farov A.M. // Russ. Chem. Bull. 2017. V. 66. № 9. P. 1675.
- Vodop’yanov E.A., Tatarinova E.A., Rebrov E.A., Muzafarov A.M. // Russ. Chem. Bull. 2004. V. 53. № 2. P. 358.
- Tereshchenko A.S., Tupitsyna G.S., Tatarinova E.A., Bystrova A.V., Muzafarov A.M., Smirnova N.N., Markin A.V. // Polymer Science B. 2010. V. 52. № 1–2. P. 41.
- Novozhilova N.A., Malakhova Yu.N., Buzin M.I., Buzin A.I., Tatarinova E.A., Vasilenko N.G., Muzafarov A.M. // Russ. Chem. Bull. 2013. V. 62. № 11. P. 2514.
- Getmanova E.V., Tereshchenko A.S., Ignat’eva G.M., Tatarinova E.A., Myakushev V.D., Muzafarov A.M. // Russ. Chem. Bull. 2004. V. 53. № 1. P. 137.
- Tereshchenko A.S., Getmanova E.V., Buzin A.I., Ignat’eva G.M., Tatarinova E.A., Bystrova A.V., Myakushev V.D., Muzafarov A.M. // Russ. Chem. Bull. 2007. V. 56. № 11. P. 2200.
- Sheremetyeva N.A., Tatarinova E.A., Drozdov F.V., Muzafarov A.M., Serenko O.A., Buzin M.I., Elmanovich I.V., Gallyamov M.O. // Russ. Chem. Bull. 2018. V. 67. № 8. P. 1440.
- Mironova M.V., Semakov A.V., Tereshchenko A.S., Tatarinova E.A., Getmanova E.V., Muzafarov A.M., Kulichikhin V.G. // Polymer Science A. 2010. V. 52. № 11. P. 1156.
- Lardy F., Vennat B., Pouget P., Pourrat A. // Drug Dev. Ind. Pharm. 2000. V. 26. № 7. P. 715.
- Budiasih S., Masyitah I.D., Jiyauddin K., Kaleemullah M., Samer A., Fadli A.M., Yusuf E. // BROMO Conference. 2018.
- Miyahara R. Emollients // Cosmetic Science and Technology. Amsterdam: Elsevier, 2017. P. 245.
- Thomas A., Matthäus B., Fiebig H.-J. Fats and Fatty Oils // Ullmann’s Encyclopedia of Industrial Chemistry. Weinheim: Wiley-VCH Verlag GmbH & Co. KGaA, 2015. P. 1.
- Alander J.T. Chemical and Physical Properties of Emollients // Treatment of Dry Skin Syndrome. Berlin; Heidelberg: Springer Berlin Heidelberg, 2012. P. 399.
- Anneken D.J., Both S., Christoph R., Fieg G., Steinberner U., Westfechtel A. // Ullmann’s Encyclopedia of Industrial Chemistry. Weinheim, Germany: Wiley-VCH Verlag GmbH & Co. KGaA, 2006.
- Duprat-de-Paule S., Guilbot J., Roso A., Cambos S., Pierre A. // OCL. 2018. V. 25. № 5. P. D503.
- O’Lenick A.J. // J. Surfactants Deterg. 2001. V. 4. № 3. P. 311.
- Dodgson K., Bannister D.J., Semlyen J.A. // Polymer (Guildf). 1980. V. 21. № 6. P. 663.
- Mancuso A., Tarsitano M., Udongo B.P., Cristiano M.C., Torella D., Paolino D. // Int. J. Cosmet. Sci. 2022. V. 44. № 5. P. 514.
- Lionetti N., Rigano L. // Cosmetics. 2018. V. 5. № 1. P. 22.
- Kis N., Kovács A., Budai-Szűcs M., Gácsi A., Csányi E., Pannonhalminé C.I., Berkó S. // Pharmaceutics. 2019. V. 11. № 12. P. 660.
- Mojsiewicz-Pieńkowska K. Review of Current Pharmaceutical Applications of Polysiloxanes (Silicones) // Handbook of Polymers for Pharmaceutical Technologies. Beverly: Scrivener Publ. LLC, 2015. P. 363.
- Eeman M., van Reeth I. Silicone Film-Formers: New Approaches for Measuring Film Barrier Properties // IFSCC Congress. 2014.
- Bleasdale B., Finnegan S., Murray K., Sean K., Steven P.L. // Adv. Wound Care. 2015. V. 4. № 7. P. 422.
- Clugston P.A., Vistnes M.D., Perry L.C., Maxwell G.P., Fisher J. // Ann. Plast. Surg. 1995. V. 34. № 1. P. 12.
- Araújo L.A. de, Addor F., Campos P.M.B.G.M. // An. Bras. Dermatol. 2016. V. 91. № 3. P. 331.
- Shin H.T. // Dermatol. Ther. 2005. V. 18. № 2. P. 124.
- Hall B.J., Jones L.W., Dixon B. // Eye Contact Lens Sci. Clin. Pract. 2014. V. 40. № 1. P. 51.
Қосымша файлдар























