Special Features of Multiple Luminescence of the Dyad Containing Imidazole and Coumarin Fragments in Photocured Network Acrylate Polymers
- Autores: Matveeva I.A.1, Shashkova V.T.1, Lyubimov A.V.1, Lyubimova G.V.1, Kol’tsova L.S.1, Shienok A.I.1, Zaichenko N.L.1
-
Afiliações:
- Semenov Federal Research Center for Chemical Physics, Russian Academy of Sciences
- Edição: Volume 65, Nº 4 (2023)
- Páginas: 295-303
- Seção: ФУНКЦИОНАЛЬНЫЕ ПОЛИМЕРЫ
- URL: https://journals.rcsi.science/2308-1139/article/view/231636
- DOI: https://doi.org/10.31857/S2308113923700547
- EDN: https://elibrary.ru/QLCORW
- ID: 231636
Citar
Texto integral
Resumo
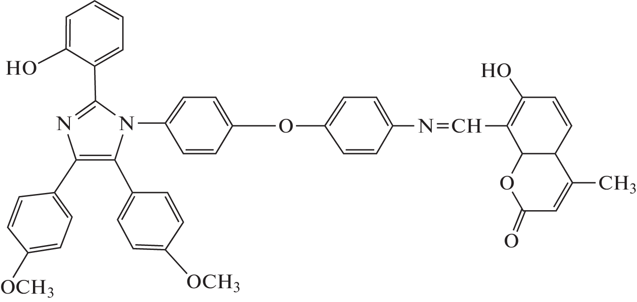
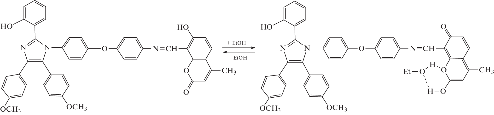
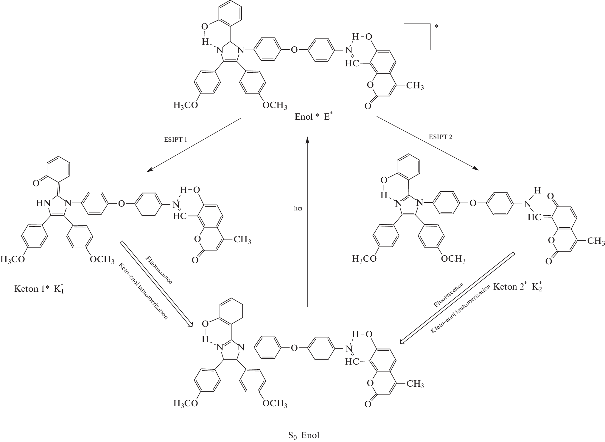
The conditions to prepare luminescent acrylate polymers containing the organic dyad, molecule of which combines two different emitting fragments, hydroxyl-substituted 2,4,5–triarylimidazole and 8-azomethine-7-hydroxycoumarine moieties, via photocuring have been optimized. The effect of the nature of the photocured network acrylate polymers on luminescent properties of the dyad has been investigated. The prepared aliphatic network polymers have exhibited independent fluorescence of both molecule fragments, dependent on the excitation wavelength. At the same time, the aromatic network polymers and the aliphatic network polymers containing ether links have revealed only the imidazole fragment fluorescence. The fluorescence nature has been stronger dependent on the polymer repeat unit structure and the content of the aromatic fragments in the polymer matrix than on the presence of the hydroxyl groups in the polymer. It has been shown that the emission of the imidazole fragment of the dyad in the aliphatic network polymers depends on the internode distance and conditional polarity of the medium.
Sobre autores
I. Matveeva
Semenov Federal Research Center for Chemical Physics, Russian Academy of Sciences
Email: zaina@chph.ras.ru
119991, Moscow, Russia
V. Shashkova
Semenov Federal Research Center for Chemical Physics, Russian Academy of Sciences
Email: zaina@chph.ras.ru
119991, Moscow, Russia
A. Lyubimov
Semenov Federal Research Center for Chemical Physics, Russian Academy of Sciences
Email: zaina@chph.ras.ru
119991, Moscow, Russia
G. Lyubimova
Semenov Federal Research Center for Chemical Physics, Russian Academy of Sciences
Email: zaina@chph.ras.ru
119991, Moscow, Russia
L. Kol’tsova
Semenov Federal Research Center for Chemical Physics, Russian Academy of Sciences
Email: zaina@chph.ras.ru
119991, Moscow, Russia
A. Shienok
Semenov Federal Research Center for Chemical Physics, Russian Academy of Sciences
Email: zaina@chph.ras.ru
119991, Moscow, Russia
N. Zaichenko
Semenov Federal Research Center for Chemical Physics, Russian Academy of Sciences
Autor responsável pela correspondência
Email: zaina@chph.ras.ru
119991, Moscow, Russia
Bibliografia
- Krasovitskii B.M., Bolotin B.M. Organic Luminescent Materials. Weinheim: Wiley-VCH, 1988.
- Klauk H. Organic Electronics: Materials, Manufacturing, and Applications. Weinheim: Wiley-VCH, 2006.
- Zhao S.Ji, Chen Y., Guo H., Yang P. // Phys. Chem. Chem. Phys. 2012. V. 14. P. 8803.
- Park S.Y., Won M., Kang C., Kim J.S., Lee M.H. // Dyes Pigments. 2019. V. 164. P. 341.
- Brancato G., Signore G., Neyroz Y., Polli D., Cerullo G., Abbandonato G., Nukara L., Barone V., Belytan F., Bizzari R. // J. Phys. Chem. B. 2015. V. 119. P. 6144.
- Lui H., Lin F., Chen M., Hu K. // Iranian Polym. J. 2010. V. 19. № 3. P. 219.
- Chakraborty R., Soucek M.D. // Eur. Polym. J. 2008. V. 44. P. 3326.
- Bowling K., Adams J., Struck S. // J. Coat. Technol. 1996. V. 68. P. 91.
- Rath S.K., Diby A., Seghier Z., Boey F.Y.C., Abadie M.J.M. // Iran Polym J. 2006. V. 15. P. 855.
- Liu H., Yu L., Chen M., Huang Z. // Mater Res Bull. 2003. V. 38. P. 1607.
- Bongiovanni R., Malucelli G., Messori M., Pilati F., Priola A., Tonelli C., Toselli M.// J. Appl. Polym. Sci. 2000. V. 75. P. 651.
- Padalkar V.S., Seki S. // Chem. Soc. Rev. 2016. V. 45. P. 169.
- Park S., Kwon J.E., Kim S.H., Seo J., Chung K., Jang D.J., Medina B.W., Giecher J., Park S.Y. // J. Am. Chem. Soc. 2009. V. 131. P 14043.
- Heyer E., Nassue J., Ulrich G. // Dyes and Pigments. 2017. V. 143. P. 18.
- Tasaki S., Momotake A., Kanna Y., Sato T., Nishimura Y., Arai T. // Photochem. Photobiol. Sci. 2015. V. 14. P. 1864.
- Liubimov A.V., Venidiktova O.V., Valova T.M., Shienok A.I., Koltsova L.S., Liubimova G.V., Popov L.D., Zaichenko N.L., Barachevsky V.A. // Photochem. Photobiol. Sci. 2018. V. 17. P. 1365.
- Matveeva I.A., Shashkova V.T., Liubimov A.V., Liubimova G.V., Koltsova L.S., Shienok A.I., Zaichenko N.L. // Russ. J. Phys. Chem. B. 2019. V. 13. P. 803.
- Берлин А.А., Королев Г.В., Кефели Т.Я., Сивергин Ю.М. Акриловые олигомеры и материалы на их основе. М.: Наука, 1983.
- Van Krevelen D.W., Hoftyzer P.J. // Properties of Polymers: Correlations with Chemical Structure. London; New York: Elsevier, 1972.
Arquivos suplementares















