Reactivity of New Monomers of the Polyurethanes Green Chemistry, the Reaction Mechanism, and the Medium Effect
- Autores: Zabalov M.V.1, Levina M.A.1, Krasheninnikov V.G.1, Tiger R.P.1
-
Afiliações:
- Semenov Federal Research Center for Chemical Physics, Russian Academy of Sciences
- Edição: Volume 65, Nº 4 (2023)
- Páginas: 286-294
- Seção: ХИМИЧЕСКИЕ ПРЕВРАЩЕНИЯ
- URL: https://journals.rcsi.science/2308-1139/article/view/231635
- DOI: https://doi.org/10.31857/S2308113923700511
- EDN: https://elibrary.ru/QORWFU
- ID: 231635
Citar
Texto integral
Resumo
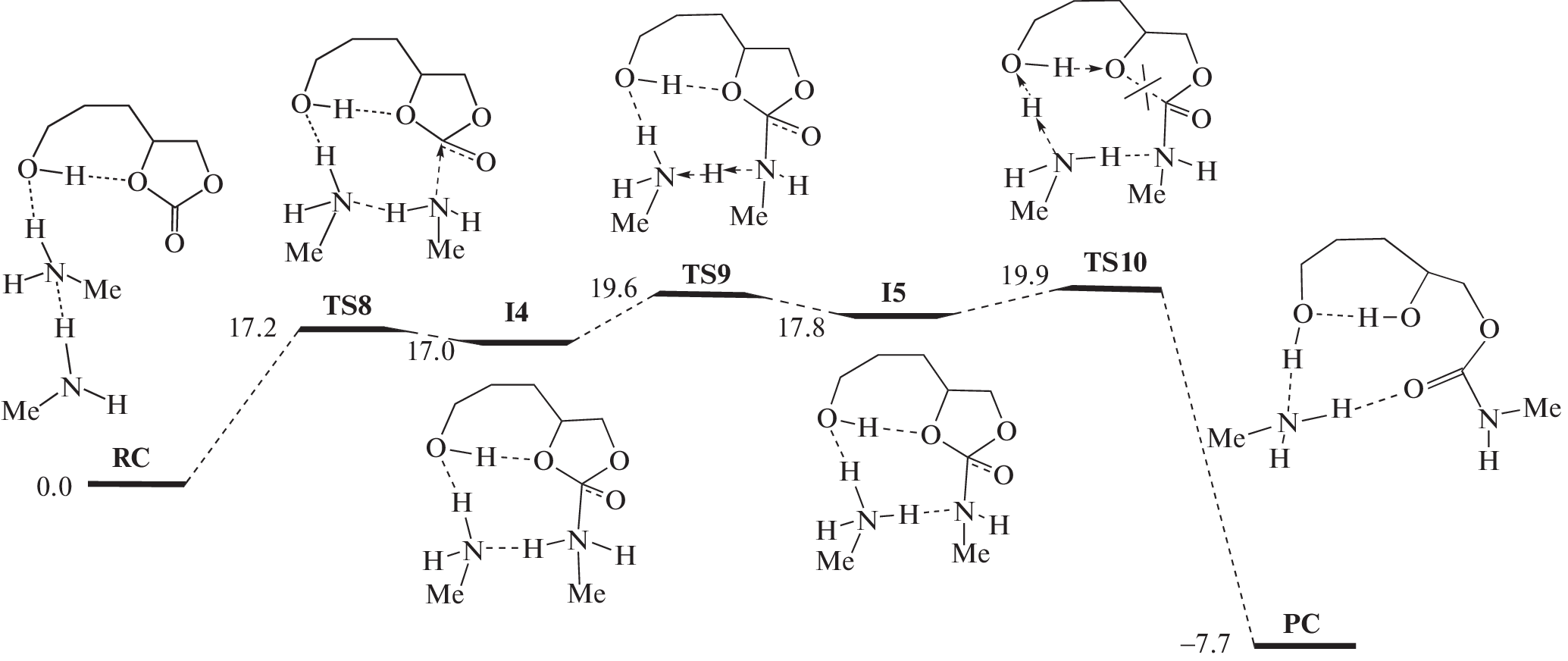
The influence of the substituents inductive effect and the proton-donor OH group in the substituted cyclocarbonates differing in the alkyl chain length on the activation barrier of their aminolysis reaction, which underlies the process of urethane formation without the participation of isocyanates, has been studied. Account for the solvent molecules has allowed quantitative interpretation of the process regularities. Kinetics of the model aminolysis reaction of a series of monomers in DMSO has been investigated.
Sobre autores
M. Zabalov
Semenov Federal Research Center for Chemical Physics, Russian Academy of Sciences
Email: zabalov@chph.ras.ru
119991, Moscow, Russia
M. Levina
Semenov Federal Research Center for Chemical Physics, Russian Academy of Sciences
Email: zabalov@chph.ras.ru
119991, Moscow, Russia
V. Krasheninnikov
Semenov Federal Research Center for Chemical Physics, Russian Academy of Sciences
Email: zabalov@chph.ras.ru
119991, Moscow, Russia
R. Tiger
Semenov Federal Research Center for Chemical Physics, Russian Academy of Sciences
Autor responsável pela correspondência
Email: zabalov@chph.ras.ru
119991, Moscow, Russia
Bibliografia
- Saunders J.H., Frisch K.C. Polyurethanes – Chemistry and Technology. New York; London: Interscience Publ., 1962. V. 16. Part I.
- Tiger R.P. // Polymer Science B. 2004. V. 46. № 5–6. P. 142.
- Guan J., Song Y., Lin Y., Yin X., Zuo M., Zhao Y., Tao X., Zheng Q. // Ind. Eng. Chem. Res. 2011. V. 50. № 11. P. 6517.
- Figovsky O., Shapovalov L., Leykin A., Birukova O., Po-tashnikova R. // PU Magazine. 2013. V. 10. № 4. P. 1.
- Nohra B., Candy L., Blanco J.-F., Guerin C., Raoul Y., Mouloungui Z. // Macromolecules. 2013. V. 46. № 10. P. 3771.
- Blattmann H., Fleischer M., Bahr M., Mulhaupt R. // Macromol. Rapid Comm. 2014. V. 35. № 14. P. 1238.
- Rokicki G., Parzuchowski P.G., Mazurek M. // Polym. Adv. Technol. 2015. V. 26. № 7. P. 707.
- Maisonneuve L., Lamarzelle O., Rix E., Grau E., Cramail H. // Chem. Rev. 2015. V. 115. P. 12407.
- Cornille A., Auvergne R., Figovsky O., Boutevin B., Caillol S. // Eur. Polym. J. 2017. V. 87. P. 535.
- Błażek K., Datta J. // Crit. Rev. Environ. Sci. Technol. 2019. V. 49. № 3. P. 173.
- Carre C., Ecochard Y., Caillol S., Averous L. // ChemSusChem. 2019. V. 12. № 15. P. 3410.
- Ecochard Y., Caillol S. // Eur. Polym. J. 2020. V. 137. 109915.
- Lambeth R.H. // Polym. Int. 2020. V. 70. P. 696.
- Tiger R.P., Zabalov M.V., Levina M.A. // Polymer Science C. 2021. V. 63. № 2. P. 113.
- Gomez-Lopez A., Elizalde F., Calvo I., Sardon H. // Chem. Comm. 2021. V. 57. № 92. P. 12254.
- Brzeska J., Piotrowska-Kirschling A.A. // Processes. 2021. V. 9. P. 1929.
- Bizet B., Grau E., Asua J.M., Cramail H. // Macromol. Chem. Phys. 2022. V. 223. № 13. 2100437.
- Kaur R., Singh P., Tanwar S., Varshney G., Yadav S. // Macromolecules. 2022. V. 2. № 3. P. 284.
- Figovsky O.L., Bol’shakov O.I., Vikhareva I.N. Nonisocyanate Polyurethanes: Green Solutions. Chelyabinsk: SUSU Publ., 2023.
- Catalá J., Guerra I., García-Vargas J.M., Ramos M.J., García M.T., Rodríguez J.F. // Polymers. 2023. V. 15. № 6. P. 1589.
- Levina M.A., Zabalov M.V., Krasheninnikov V.G., Tiger R.P. // Polymer Science B. 2018. V. 60. № 5. P. 563.
- Zabalov M.V., Levina M.A., Krasheninnikov V.G., Tiger R.P. // Russ. Chem. Bull., Int. Ed. 2014. V. 63. № 8. P. 1740.
- Levina M.A., Krasheninnikov V.G., Zabalov M.V., Tiger R.P. // Polymer Science B. 2014. V. 56. № 2. P. 139.
- Levina M.A., Zabalov M.V., Krasheninnikov V.G., Tiger R.P. // Polymer Science B. 2017. V. 59. № 5. P. 497.
- Zabalov M.V., Levina M.A., Tiger R.P. // Kinet. Catal. 2020. V. 61. № 5. P. 721.
- Zabalov M.V., Levina M.A., Krasheninnikov V.G., Tiger R.P. // Reac. Kinet. Mech. Cat. 2020. V. 129. № 1. P. 65.
- Zabalov M.V., Levina M.A., Tiger R.P. // Polymer Science B. 2020. V. 62. № 5. P. 457.
- Zabalov M.V., Tiger R.P. // Theor. Chem. Acc. 2017. V. 136. P. 95.
- Quienne B., Poli R., Pinaud J., Caillol S. // Green Chem. 2021. V. 23. № 4. P. 1678.
- Perdew J.P., Burke K., Ernzerhof M. // Phys. Rev. Lett. 1996. V. 77. № 18. P. 3865.
- Ernzerhof M., Scuseria G.E. // J. Chem. Phys. 1999. V. 110. № 11. P. 5029.
- Laikov D.N. // Chem. Phys. Lett. 1997. V. 281. № 1–3. P. 151.
- Laikov D.N., Ustynyuk Y.A. // Russ. Chem. Bull., Int. Ed. 2005. V. 54. № 3. P. 820.
- Zabalov M.V., Tiger R.P. // Russ. Chem. Bull. Int. Ed. 2016. V. 65. № 3. P. 631.
- Caldeweyher E., Bannwarth C., Grimme S. // J. Chem. Phys. 2017. V. 147. № 3. 034112.
- Caldeweyher E., Ehlert S., Hansen A., Neugebauer H., Spicher S., Bannwarth C., Grimme S. // J. Chem Phys. 2019. V. 150. № 15. 154122.
- Caldeweyher E., Mewes J.-M., Ehlert S., Grimme S. // Phys. Chem. Chem. Phys. 2020. V. 22. № 16. P. 8499.
- Zabalov M.V., Tiger R.P., Berlin A.A. // Dokl. Chem. 2011. V. 441. Pt 2. P. 355.
- Zabalov M.V., Tiger R.P., Berlin A.A. // Russ. Chem. Bull., Int. Ed. 2012. V. 61. P. 518.
- Alves M., Mereau R., Grignard B., Detrembleur C., Jerome C., Tassaing T. // RSC Adv. 2017. V. 7. № 31. P. 18993.
- Levina M.A., Zabalov M.V., Gorshkov A.V., Shashkova V.T., Krasheninnikov V.L., Tiger R.P., Miloslavskii D.G., Pridatchenko M.L. // Polymer Science B. 2019. V. 61. № 5. P. 540.
- Mizuno K., Imafuji S., Ochi T., Ohta T., Maeda S. // J. Phys. Chem. B. 2000. V. 104. № 47. P. 11001.
- Li Q., Wu G., Yu Z. // J. Am. Chem. Soc. 2006. V. 128. № 5. P. 1438.
- Li Q., An X., Gong B., Cheng J. // Spectrochim. Acta A. 2008. V. 69. № 1. P. 211.
- Li Q., An X., Gong B., Cheng J. // Vib. Spectrosc. 2008. V. 46. № 1. P. 28.
- Zhang L., Wang Y., Xu Z., Li H. // J. Phys. Chem. B. 2009. V. 113. № 17. P. 5978.
- Noack K., Kiefer J., Leipertz A. // ChemPhysChem. 2010. V. 11. № 3. P. 630.
- Venkataramanan N.S., Suvitha A. // J. Mol. Graph. Model. 2018. V. 81. P. 50.
- Mrázková E., Hobza P. // J. Phys. Chem. A. 2003. V. 107. № 7. P. 1032.
- Venkataramanan N.S. // Int. J. Quant. Chem. 2012. V. 112. № 13. P. 2599.
- Venkataramanan N.S. // J. Mol. Model. 2016. V. 22. № 7. Art. 151.
- Venkataramanan N.S., Suvitha A., Kawazoe Y. // J. Mol. Liq. 2018. V. 249. P. 454.
- Li X., Liu L., Schlegel H.B. // J. Am. Chem. Soc. 2002. V. 124. № 32. P. 9639.
- Joseph J., Jemmis E.D. // J. Am. Chem. Soc. 2007. V. 129. № 15. P. 4620.
- Mo Y., Wang C., Guan L., Braïda B., Hiberty P.C., Wu W. // Chem. Eur. J. 2014. V. 20. № 27. P. 8444.
Arquivos suplementares









