Синтез биоразлагаемых полимеров на основе L-лактида в присутствии безметаллового органического катализатора
- Авторлар: 1,2, 1,2, 1, 1, 1,2
-
Мекемелер:
- Национальный исследовательский центр “Курчатовский институт”
- Институт синтетических полимерных материалов им. Н.С. Ениколопова Российской академии наук
- Шығарылым: Том 65, № 4 (2023)
- Беттер: 265-274
- Бөлім: ПОЛИМЕРИЗАЦИЯ
- URL: https://journals.rcsi.science/2308-1139/article/view/231633
- DOI: https://doi.org/10.31857/S230811392370050X
- EDN: https://elibrary.ru/JYMOQC
- ID: 231633
Дәйексөз келтіру
Толық мәтін
Аннотация
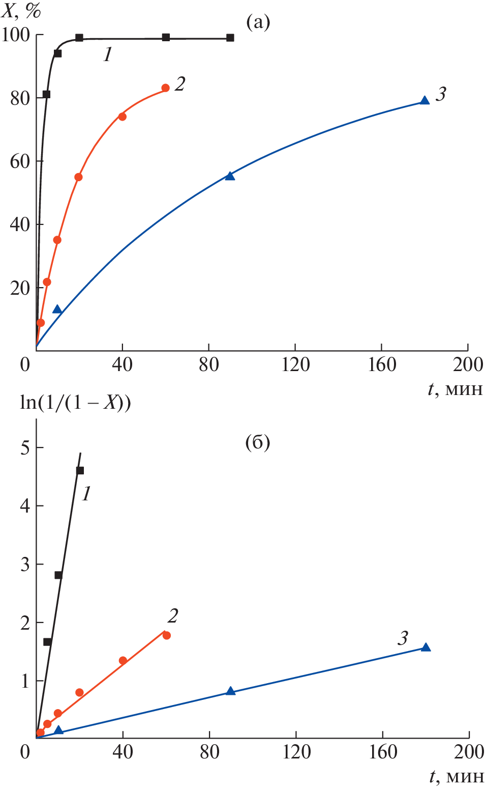
Исследован процесс полимеризации L-лактида под действием органического катализатора 1,8-диазабицикло[5.4.0]ундец-7-ена. Определены частные порядки реакции по мономеру и катализатору, рассчитана константа скорости полимеризации. Синтезированы перспективные для применения в медицине линейные поли-L-лактиды со среднемассовой молекулярной массой от 29 × 103 до 125 × 103 и индексом полидисперсности не выше 1.25. Показана возможность использования комбинации органокатализатора и гидроксилсодержащих инициаторов для синтеза звездообразного полилактида и амфифильного сополимера полилактид–блок–полиэтиленоксид.
Авторлар туралы
Национальный исследовательский центр “Курчатовский институт”; Институт синтетических полимерных материалов им. Н.С. Ениколопова Российской академии наук
Хат алмасуға жауапты Автор.
Email: Puchkov_AA@nrcki.ru
Россия,
123182, Москва, пл. Академика Курчатова, 1; Россия,
117393, Москва, ул. Профсоюзная, 70
Национальный исследовательский центр “Курчатовский институт”; Институт синтетических полимерных материалов им. Н.С. Ениколопова Российской академии наук
Email: Puchkov_AA@nrcki.ru
Россия,
123182, Москва, пл. Академика Курчатова, 1; Россия,
117393, Москва, ул. Профсоюзная, 70
Национальный исследовательский центр “Курчатовский институт”
Email: Puchkov_AA@nrcki.ru
Россия,
123182, Москва, пл. Академика Курчатова, 1
Национальный исследовательский центр “Курчатовский институт”
Email: Puchkov_AA@nrcki.ru
Россия,
123182, Москва, пл. Академика Курчатова, 1
Национальный исследовательский центр “Курчатовский институт”; Институт синтетических полимерных материалов им. Н.С. Ениколопова Российской академии наук
Email: Puchkov_AA@nrcki.ru
Россия,
123182, Москва, пл. Академика Курчатова, 1; Россия,
117393, Москва, ул. Профсоюзная, 70
Әдебиет тізімі
- Ulery B.D., Nair L.S., Laurencin C.T. // J. Polym. Sci., Polym. Phys. 2011. V. 49. № 12. P. 832.
- Tyler B., Gullotti D., Mangraviti A., Utsuki T., Brem H. // Adv. Drug Deliv. Rev. 2016. V. 107. P. 163.
- Targonska S., Dobrzynska-Mizera M., Wujczyk M., Rewak-Soroczynska J., Knitter M., Dopierala K., Andrzejewski J., Wiglusz R.J. // Eur. Polym. J. 2022. V. 165. P. 110997.
- Gomzyak V.I., Sedush N.G., Puchkov A.A., Polyakov D.K., Chvalun S.N. // Polymer Science B. 2021. V. 63. № 3. P. 257.
- Trofimchuk E.S., Potseleev V.V., Khavpachev M.A., Moskvina M.A., Nikonorova N.I. // Polymer Science C. 2021. V. 63. № 2. P. 199.
- Ahmed J., Varshney S.K. // Int. J. Food Prop. 2011. V. 14. № 1. P. 37.
- Sangroniz A., Sangroniz L., Hamzehlou S., Río J. Santamaria A., Sarasua J.R., Iriarte M., Leiza J.R., Etxeberria A. // Polymer. 2020. V. 202. P. 122681.
- Corneillie S., Smet M. // Polym. Chem. 2015. V. 6. № 6. P. 850.
- Michalski A., Brzezinski M., Lapienis G., Biela T. // Prog. Polym. Sci. 2019. V. 89. P. 159.
- Burke J., Donno R., D’Arcy R., Cartmell S., Tirelli N. // Biomacromolecules. 2017. V. 18. № 3. P. 728.
- Korhonen H., Helminen A., Seppälä J.V. // Polymer. 2001. V. 42. № 18. P. 7541.
- Kricheldorf H.R., Kreiser-Saunders I., Stricker A. // Macromolecules. 2000. V. 33. № 3. P. 702.
- Weidner S.M., Kricheldorf H.R. // Macromol. Chem. Phys. 2017. V. 218. № 3. P. 1600331.
- Rittinghaus R.D., Schäfer P.M., Albrecht P., Conrads C., Hoffmann A., Ksiazkiewicz A.N., Bienemann O., Pich A., Herres-Pawlis S. // ChemSusChem. 2019. V. 12. № 10. P. 2161.
- Schäfer P.M., Herres-Pawlis S. // Chempluschem. 2020. V. 85. № 5. P. 1044.
- Gadomska-Gajadhur A., Ruśkowski P. // Org. Process Res. Dev. 2020. V. 24. № 8. P. 1435.
- Nederberg F., Connor E.F., Möller M., Glauser T., Hedrick J.L. // Angew. Chemie Int. Ed. 2001. V. 40. № 14. P. 2712.
- Brown H.A., De Crisci A.G., Hedrick J.L., Waymouth R.M. // ACS Macro Lett. 2012. V. 1. № 9. P. 1113.
- Lohmeijer B.G.G., Pratt R.C., Leibfarth F., Logan J.W., Long D.A., Dove A.P., Nederberg F., Choi J., Wade C., Waymouth R.M., Hedrick J.L. // Macromolecules. 2006. V. 39. № 25. P. 8574.
- Sherck N.J., Kim H.C., Won Y.Y. // Macromolecules. 2016. V. 49. № 13. P. 4699.
- Thomas C., Bibal B. // Green Chem. 2014. V. 16. № 4. P. 1687.
- Organic Catalysis for Polymerisation / Ed. by A. Dove, H. Sardon, S. Naumann. Cambridge: Royal Society of Chemistry, 2018.
- Phan H., Minut R.I., McCrorie P., Vasey C., Larder R.R., Krumins E., Marlow M., Rahman R., Alexander C., Taresco V., Pearce A.K. // J. Polym. Sci., Polym. Chem. 2019. V. 57. № 17. P. 1801.
- Scoponi G., Francini N., Paradiso V., Donno R., Gennari A., D’Arcy R., Capacchione C., Athanassiou A., Tirelli N. // Macromolecules. 2021. V. 54. № 20. P. 9482.
Қосымша файлдар









