High-Performance Catalysts Based on Hybrid Salicylaldarylimine Complexes of Titanium(IV) Dichloride for the Synthesis of Ultrahigh Molecular Weight Polyethylene with Unentangled Macromolecules
- Autores: Oleynik I.V.1, Shundrina I.K.1, Oleynik I.I.1
-
Afiliações:
- N.N. Vorozhtsov Novosibirsk Institute of Organic Chemistry, Siberian Branch, Russian Academy of Sciences
- Edição: Volume 65, Nº 4 (2023)
- Páginas: 243-253
- Seção: КАТАЛИЗ
- URL: https://journals.rcsi.science/2308-1139/article/view/231631
- DOI: https://doi.org/10.31857/S2308113923700560
- EDN: https://elibrary.ru/VAIYCY
- ID: 231631
Citar
Texto integral
Resumo
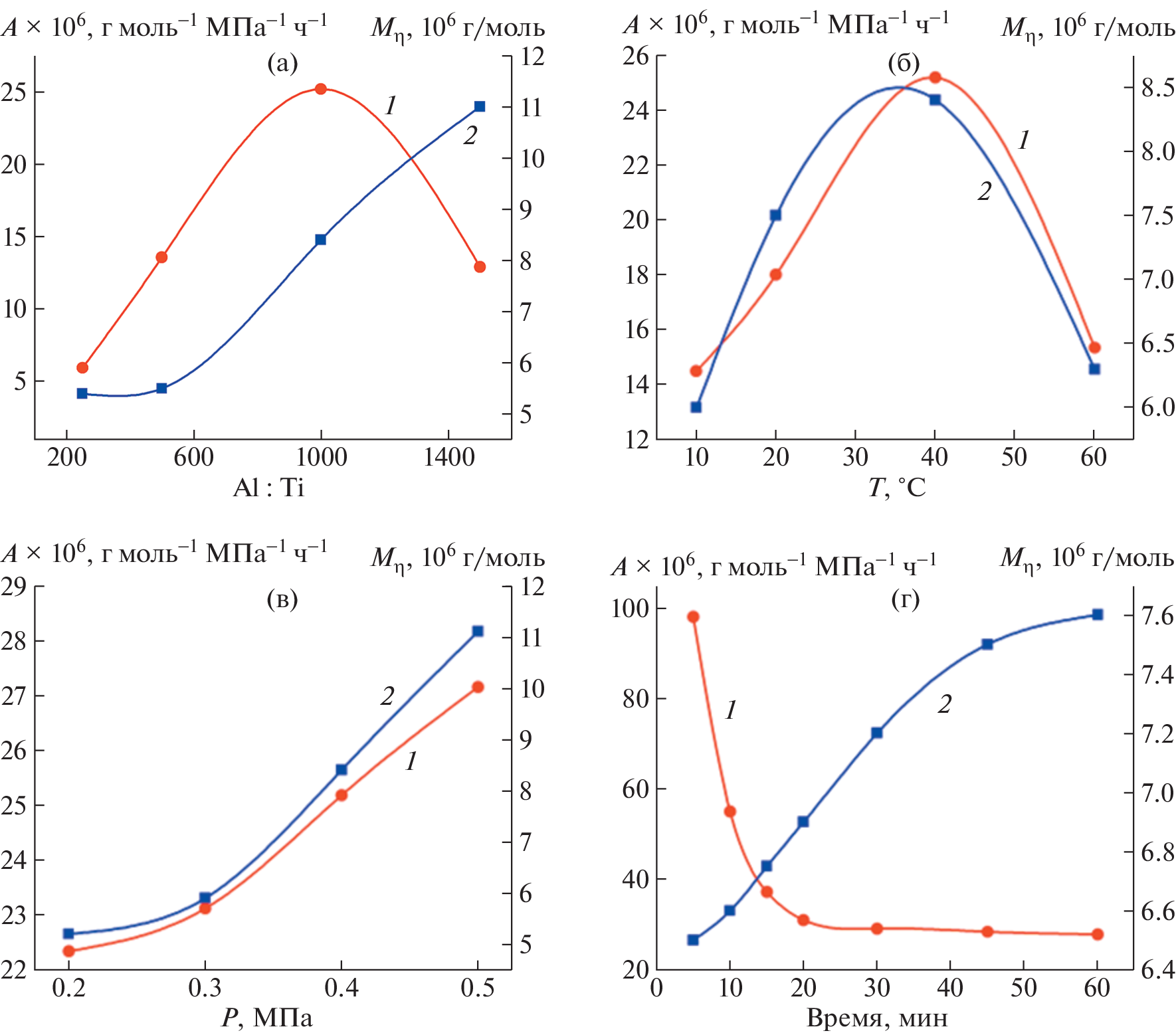
The features of ethylene polymerization in the presence of dichloridobis(salicylaldaryliminato)titanium(IV) complexes containing a 4-allyloxy-2,3,5,6-tetrafluorophenylimino group, namely, {2‑[(4-CH2=CH-CH2O)C6F4N=CH]-6-R1-4-R2-C6H2O}2TiCl2 (R1 = t-Bu, CMe2(Ph); R2 = H, Me, OMe, t-Bu, CMe2(Ph), Cl, Br) in the presence of methylalumoxane, have been studied. All the complexes exhibit high catalytic activity (27.8×106 гПЭ∙мольTi‐ 1∙МПаC2H4-1∙ч‐ 1)) in the temperature range of 10‒60°C and form powdered ultrahigh molecular weight polyethylene (UHMWPE) (M = (4.4–16.0) × 106 g/mol) with a low number of intermolecular entanglements. It has been shown that during polymerization, the complexes are immobilized on UHMWPE macromolecules.
Sobre autores
I. Oleynik
N.N. Vorozhtsov Novosibirsk Institute of Organic Chemistry, Siberian Branch, Russian Academy of Sciences
Email: oleynik@nioch.nsc.ru
630090, Novosibirsk, Russia
I. Shundrina
N.N. Vorozhtsov Novosibirsk Institute of Organic Chemistry, Siberian Branch, Russian Academy of Sciences
Email: oleynik@nioch.nsc.ru
630090, Novosibirsk, Russia
I. Oleynik
N.N. Vorozhtsov Novosibirsk Institute of Organic Chemistry, Siberian Branch, Russian Academy of Sciences
Autor responsável pela correspondência
Email: oleynik@nioch.nsc.ru
630090, Novosibirsk, Russia
Bibliografia
- Stürzel M., Mihan S., Mülhaupt R. // Chem. Rev. 2016. V. 116. P. 1398.
- Kurtz S.M. The UHMWPE Handbook: Ultra-High Molecular Weight Polyethylene in Total Joint Replacement. London: Elsevier, 2004.
- Encyclopedia of Polymer Science and Engineering / Ed. by H.F. Mark, N.M. Bikales, C.G. Overberger, G. Menges, J.I. Kroschwitz. New York: Wiley Interscience, 1985. V. 6. P. 490.
- Sun Y., Wang Q., Li X., Chen X., Ma Y., Zhang Q., Jin X., Jiang Y., Sun L., Luo Q. // J. Appl. Polym. Sci. 2005. V. 98. P. 474.
- Brach del Prever E.M., Bistolfi A., Bracco P., Costa L. // J. Orthopaed. Traumatol. 2009. V. 10. P. 1.
- Shen S., Henry A., Tong J., Zheng R., Chen G. // Nat. Nanotechnol. 2010. V. 5. P. 251.
- Peacock A.J. Handbook of Polyethylene: Structures, Properties, and Applications. New York: Marcel Dekker, 2000.
- Santoro M., Gorelli F.A., Bini R., Haines J., van der Lee A. // Nat. Commun. 2013. V. 4. P. 1557.
- Smith P., Lemstra P.J., Pijpers J.P.L. // J. Polym. Sci., Polym. Phys. 1982. V. 20. P. 2229.
- Rastogi S., Spoelstra A.B., Goossens J.G.P., Lemstra P.J. // Macromolecules. 1997. V. 30. P. 7880.
- Smith P., Lemstra P.J., Kirschbaum R., Pijpers J.P.L. Pat. 4436689 USA. 1984.
- Shiraki T., Yoshimura Y., Nakashima K. Pat. 0190878 EP. 1986.
- Soares J.B.P., Kim J.D., Rempel G.L. // Ind. Eng. Chem. Res. 1997. V. 36. P. 1144.
- Smith P., Lemstra P.J., Booij H.C. // J. Polym. Sci., Polym. Phys. Ed. 1981. V. 19. P. 877.
- Chanzy H.D., Rotzinger B., Smith P. Pat. 4769433 USA. 1988.
- Ozerin A.N., Ivanchev S.S., Chvalun S.N., Aulov V.A., Ivancheva N.I., Bakeev N.F. // Polymer Science A. 2012. V. 54. № 12. P. 950.
- Rotzinger B.P., Chanzy H.D., Smith P. // Polymer. 1989. V. 30. P. 1814.
- Smith P., Lemstra P.J. // Colloid Polym. Sci. 1980. V. 258. P. 891.
- Smith P., Chanzy H.D., Rotzinger B.P. // J. Mater. Sci. 1987. V. 22. P. 523.
- Rastogi S., Yao Y., Ronca S., Bos J., van der Eem J. // Macromolecules. 2011. V. 44. P. 5558.
- Yao Y., Jiang S., Rastogi S. // Macromolecules. 2014. V. 47. P. 1371.
- Forte G., Ronca S. // Int. J. Polym. Sci. 2017. ID 7431419.
- Romano D., Tops N., Bos J., Rastogi S. // Macromolecules. 2017. V. 50. P. 2033.
- Baier M.C., Zuideveld M.A., Mecking S. // Angew. Chem. Int. Ed. 2014. V. 53. P. 9722.
- Tuskaev V.A., Gagieva S.C., Kurmaev D.A., Vasil’ev V.G., Kolosov N.A., Zubkevich S.V., Mikhaylik E.S., Golubev E.K., Nikiforova G.G., Zhizhko P.A., Serenko O.A., Bulychev B.M. // Chin. J. Polym. Sci. (Engl. Ed.). 2019. V. 37. P. 471.
- Makio H., Terao H., Iwashita A., Fujita T. // Chem. Rev. 2011. V. 111. P. 2363.
- Smith P., Lemstra P.J. // J. Mater. Sci. 1980. V. 15. P. 505.
- Ivancheva N.I., Malinskaya M.Yu., Oleinik I.I., Khaikin S.Ya., Ivanchev S.S., Tolstikov G.A. // Dokl. Phys. Chem. 2007. V. 417. P. 301.
- Ivanchev S.S., Vasil’eva M.Yu., Ivancheva N.I., Badaev V.K., Oleinik I.I., Sviridova E.V., Tolstikov G.A. // Polymer Science B. 2009. V. 51. № 7–8. P. 276.
- Ivancheva N.I., Badaev V.K., Sviridova E.V., Nikolaev D.A., Oleinik I.V., Ivanchev S.S. // Russ. J. Appl. Chem. 2011. V. 84. P. 118.
- Ivancheva N.I., Sanieva D.V., Fedorov S.P., Oleinik I.V., Oleinik I.I., Tolstikov G.A., Ivanchev S.S. // Russ. Chem. Bull. 2012. V. 61. P. 836.
- Ivancheva N.I., Khaikin S.Ya., Sviridova E.V., Fedorov S.P., Sanieva D.V., Molev O.V., Oleinik I.V., Ivanchev S.S. // Russ. J. Appl. Chem. 2012. V. 85. P. 1404.
- Oleynik I.V., Shundrina I.K., Oleyinik I.I. // Polym. Adv. Technol. 2020. V. 31. P. 1921.
- Oleynik I.V., Oleynik I.I. // Ru. J. Gen. Chem. 2022. V. 92. P. 1457.
- Padmanabhan S., Sarma K.R., Rupak K., Sharma S. // Mater. Sci. Eng. B. 2010. V. 168. P. 132.
- Wunderlich B., Cormier C.M. // J. Polym. Sci. A-2. 1967. V. 5. P. 87.
- Romano D., Tops N., Andablo-Reyes E., Ronca S., Rastogi S. // Macromolecules. 2014. V. 47. P. 4750.
- Britovsek G.J.P., Bruce M., Gibson V.C., Kimberley B.S., Maddox P.J., Mastroianni S., McTavish S.J., Redshaw C., Solan G.A., Strömberg S., White A.J.P., Williams D.J. // J. Am. Chem. Soc. 1999. V. 121. P. 8728.
- Alt H.G. // J. Chem. Soc. Dalton Trans. 1999. P. 1703.
- Rastogi S., Lippits D.R., Peters G.W.M., Graf R., Yao Y., Spiess H.W. // Nat. Mater. 2005. V. 4. P. 635.
- Mitani M., Mohri J., Yoshida Y., Saito J., Ishii S., Tsuru K., Matsui S., Furuyama R., Nakano T., Tanaka H., Kojoh S., Matsugi T., Kashiwa N., Fujita T. // J. Am. Chem. Soc. 2002. V. 124. P. 3327.
- Furuyama R., Saito J., Ishii S., Makio H., Mitani M., Tanaka H., Fujita T. // J. Organomet. Chem. 2005. V. 690. P. 4398.
- Mitani M., Furuyama R., Mohri J., Saito J., Ishii S., Terao H., Nakano T., Tanaka H., Fujita T. // J. Am. Chem. Soc. 2003. V. 125. P. 4293.
- Ronca S., Forte G., Tjaden H., Yao Y.F., Rastogi S. // Polymer. 2012. V. 53. P. 2897.
- Stürzel M., Kempe F., Thomann Y., Mark S., Enders M., Mülhaupt R. // Macromolecules. 2012. V. 45. 6878.
- Chen P., Yang H., Chen T., Li W. // Ind. Eng. Chem. Res. 2015. V. 54. P. 11024.
Arquivos suplementares








