ЭПОКСИ-АМИННЫЕ СИСТЕМЫ С РЕАКЦИОННОСПОСОБНЫМИ ГУАНИДИНОВЫМИ ПРОИЗВОДНЫМИ
- Авторы: Сенчихин И.Н.1, Меркулова М.С.2, Седишев И.П.2, Грамматикова Н.Э.3, Урюпина О.Я.1, Уродкова Е.К.1, Жаворонок Е.С.2
-
Учреждения:
- Институт физической химии и электрохимии им. А.Н. Фрумкина Российской академии наук
- МИРЭА – Российский технологический университет
- Научно-исследовательский институт по изысканию новых антибиотиков им. Г.Ф. Гаузе
- Выпуск: Том 65, № 2 (2023)
- Страницы: 122-133
- Раздел: МЕДИЦИНСКИЕ ПОЛИМЕРЫ
- URL: https://journals.rcsi.science/2308-1139/article/view/135622
- DOI: https://doi.org/10.31857/S2308113923700420
- EDN: https://elibrary.ru/WZICAC
- ID: 135622
Цитировать
Полный текст
Аннотация
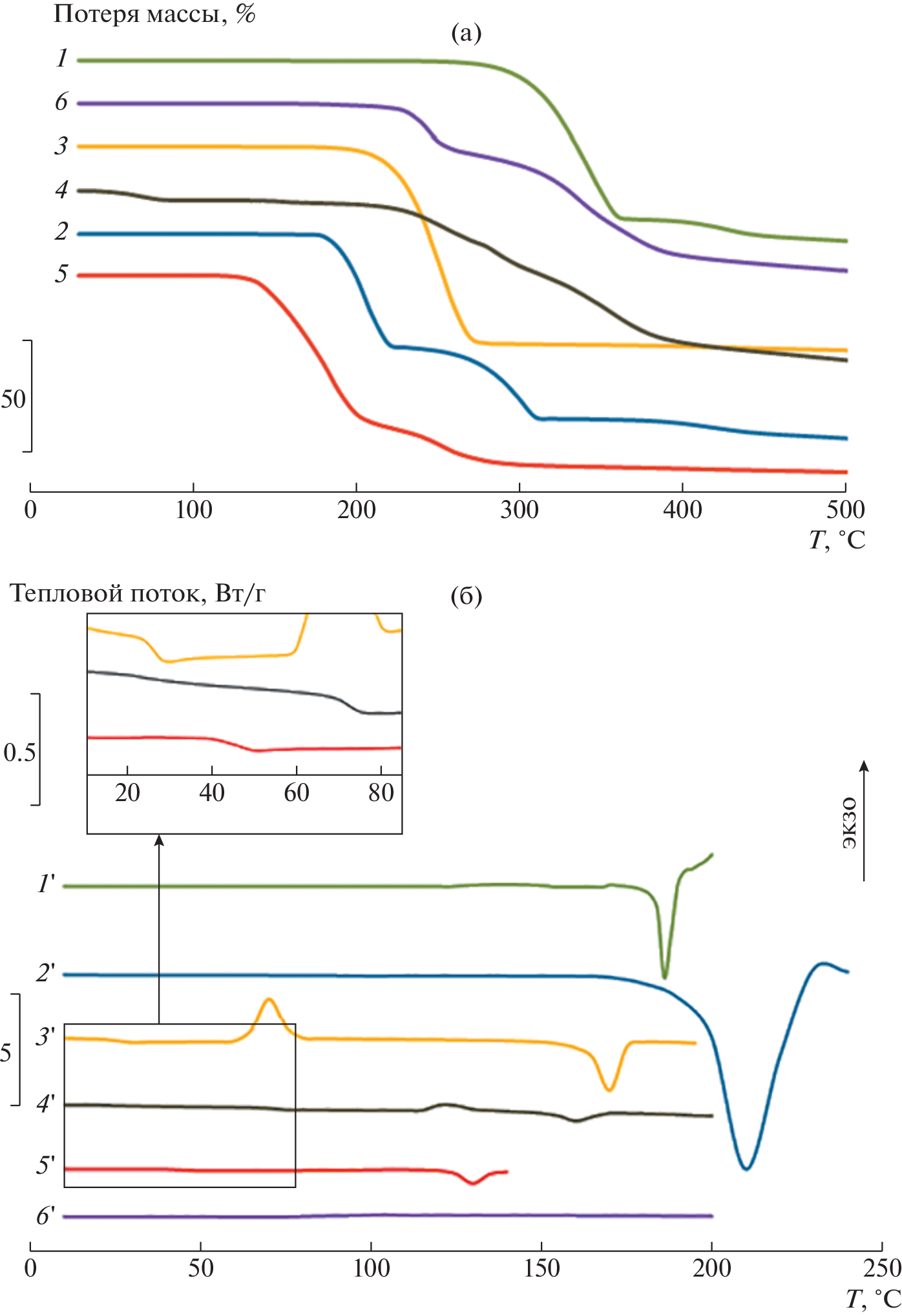
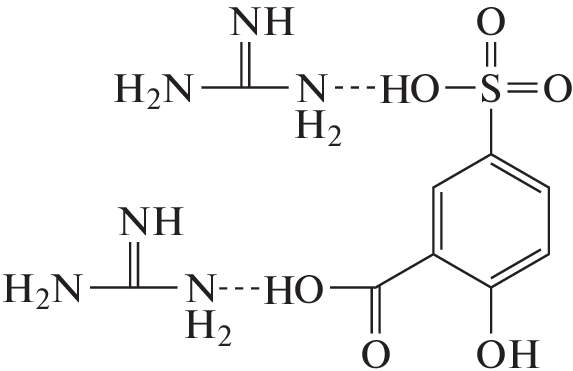
Для создания новых полимерных покрытий, подавляющих жизнедеятельность патогенных микроорганизмов, предпринята попытка модификации эпокси-аминных систем реакционноспособными производными мономерами на основе гуанидина. Предварительное химическое взаимодействие этих веществ с эпоксидным компонентом дает возможность ковалентно вводить их в эпокси-аминную сетку для обеспечения пролонгированного действия покрытия. Синтезированные гидросалицилат, гидро-4-аминосалицилат, гидро-5-сульфосалицилат и дигидро-5-сульфосалицилат гуанидина охарактеризованы методами элементного и термического анализа. Определены значения степени замещения гидрохлорида на остаток органической соли и температуры начала термодеструкции в аргоне, а также температуры стеклования и плавления солей. Оценена растворимость синтезированных солей в диановом эпоксидном олигомере. Показано, что замена гидрохлорида на органический остаток заметно снижает температуру начала реакции с эпоксидным олигомером. Установлена средняя функциональность солей гуанидина в реакции с эпоксидным олигомером, и обнаружено, что в химическое взаимодействие вступает большинство групп N‒Н модификаторов, в ряде случаев ‒ это остатки органических солей. Представлена стехиометрия бинарных систем гуанидин‒эпоксидный олигомер, а также стехиометрия синтезированных аддуктов с олигомерным аминным отвердителем Jeffamine D-230. Полученные пленки в первичных испытаниях продемонстрировали выраженную бактериостатическую активность по отношению к метициллин-резистентным S. еpidermidis уже при 1 мас. % гидросалицилата гуанидина, при этом значение показателя ингибирования пленкообразования составило 19.2%.
Об авторах
И. Н. Сенчихин
Институт физической химии и электрохимии им. А.Н. Фрумкина Российской академии наук
Email: isenchikhin@gmail.com
Россия, 119071, Москва, Ленинский пр., 31
М. С. Меркулова
МИРЭА – Российский технологический университет
Email: isenchikhin@gmail.com
Россия, 119571, Москва, пр. Вернадского, 86
И. П. Седишев
МИРЭА – Российский технологический университет
Email: isenchikhin@gmail.com
Россия, 119571, Москва, пр. Вернадского, 86
Н. Э. Грамматикова
Научно-исследовательский институт по изысканию новых антибиотиков им. Г.Ф. Гаузе
Email: isenchikhin@gmail.com
Россия, 119021, Москва, Большая Пироговская ул., 11
О. Я. Урюпина
Институт физической химии и электрохимии им. А.Н. Фрумкина Российской академии наук
Email: isenchikhin@gmail.com
Россия, 119071, Москва, Ленинский пр., 31
Е. К. Уродкова
Институт физической химии и электрохимии им. А.Н. Фрумкина Российской академии наук
Email: isenchikhin@gmail.com
Россия, 119071, Москва, Ленинский пр., 31
Е. С. Жаворонок
МИРЭА – Российский технологический университет
Автор, ответственный за переписку.
Email: isenchikhin@gmail.com
Россия, 119571, Москва, пр. Вернадского, 86
Список литературы
- De With G. Polymer Coatings: a Guide to Chemistry, Characterization, and Selected Applications. Weinheim: Wiley-VCH, 2018.
- Polymer Coatings: Technologies and Applications / Eds by S.M. Rangappa, J. Parameswaranpillai, S. Siengchin. Boca Raton: CRC Press, 2020.
- Jones F.N., Nichols M.E., Pappas S.P. Organic Coatings: Science and Technology. London: Wiley, 2017.
- Petrie E. Epoxy Adhesive Formulations. New York: McGraw-Hill Education, 2005.
- Resins for Surface Coatings / Ed. by P.K.T. Oldring. London: Wiley, 2001. V. 1.
- Cao K.Y., Yu Z.X., Zhu L.J., Yin D., Chen L.G., Jiang Y., Wang J. // Surf. Coatings Technol. 2021. V. 465. P. 771.
- Kopsidas S., Olowojoba G.B., Kinloch A.J., Taylor A.C. // Int. J. Adhes. Adhesiv. 2021. V. 104. P. 1.
- Aguirre-Guerrero A.M., de Gutierrez R.M. // Construct. Build. Mater. 2021. V. 268. P. 1.
- Yastrebinskaya A.V., Matveeva L.Yu., Edamenko A.S. // Diffus. Defect Data. B. 2020. V. 299. P. 55.
- Gavrilov M., Erofeev V., Afonin V. // Alfa Build. 2021. V. 20. P. 2006.
- Taioli S., Trevisanutto P.E., Vera P., Simonucci S., Abril I., Garcia-Molina R., Dapor M. // J. Phys. Chem. Lett. 2021. V. 12. P. 487.
- Zhang J., Zhu B., Wang H., Zhang C., Zeng W., Zhou Q. // Frontiers Mater. 2021. V. 8. P. 730627.
- Rauf M.Kh., Imtiaz-ud-Din, Badshah A. // Exp. Opin. Drug Discovery. 2013. № 8. P. 1.
- Рыжкина И.С., Муртазина Л.И., Шерман Е.Д., Пантюкова М.Е., Масагутова Э.М., Павлова Т.П., Фридланд С.В., Коновалов А.И. // Докл. PАH. 2011. Т. 438. № 2. С. 207.
- Menyashev M.R., Martynenko A.I., Popova N.I., Klescheva N.A., Sivov N.A. // Polymer Science B. 2016. V. 58. № 5. P. 394.
- Мусаев Ю.И., Мусаева Э.Б., Киржинова И.Х. // Фунд. исследования. 2011. № 12. С. 139.
- Бородина Е.А., Орлова Н.А., Гатилов Ю.В., Сальникова О.И. // Журн. орг. химии. 2015. Т. 51. С. 1778.
- Воронков М.Г., Белоусова Л.И., Пожидаев Ю.Н., Власова Н.Н. // Журн. общей химии. 2003. Т. 73. С. 1311.
- Воинцева И.И., Гембицкий П.А. Полигуанидины – дезинфекционные средства и полифункциональные добавки в композиционные материалы. М.: ЛКМ-Пресс, 2009.
- Hashirova S.Yu., Musaev Yu.I., Mikitaev A.K., Malkanduev Yu.A., Ligidov M.H. // Polymer Science B. 2009. V. 51. № 9. P. 1723.
- Сенчихин И.Н., Жаворонок Е.С., Матвеев А.В., Урюпина О.Я., Ролдугин В.И. // Коллоид. журн. 2018. Т. 80. С. 324.
- Zhavoronok E.S., Sedishev I.P., Safonov A.V., Senchihin I.N. // Polymer Science A. 2019. V. 61. № 5. P. 610.
- Zhavoronok E.S., Sedishev I.P., Merkulova M.S., Uryupina O.Ya., Senchihin I.N. // Polymer Science B. 2021. V. 63. № 1. P. 31.
- Сенчихин И.Н., Жаворонок Е.С., Харитонова Е.В., Ролдугин В.И. // Тонкие хим. технологии. 2016. Т. 11. № 6. С. 98.
- Сенчихин И.Н., Жаворонок Е.С., Матвеев А.В., Урюпина О.Я., Ролдугин В.И. // Инженерный журнал: наука и инновации. 2017. Т. 72. № 12. С. 1.
- Zhavoronok E.S., Senchikhin I.N., Pchelintsev I.E., Roldughin V.I. // Polymer Science B. 2018. V. 60. № 2. P. 188.
- Zhavoronok E.S., Senchikhin I.N. // J. Appl. Polym. Sci. 2020. V. 137. № 44. P. 1.
- Smith A. Applied Infrared Spectroscopy: Fundamentals Techniques and Analytical Problem-Solving (Chemical Analysis: a Series of Monographs on Analytical Chemistry and Its Applications). New York; Chichester; Brisbane; Toronto: Wiley-Interscience, 1979.
- Silverstein R.M., Webster F.X., Kiemle D.J. Spectrometric Identification of Organic Compounds. Rio de Janeiro: Willey, 2005.
- Bellamy L. Infrakrasnye Spektry Slozhnykh Molekul (The Infra-Red Spectra of Complex Molecules). New York: Springer, 1975.
- Nakanishi K., Solomon P.A. Infrared Absorption Spectroscopy. San Francisco: Holden Day, 1977.
- Garcia F.G., da Silva P.M., Soares B.G., Briones J.R. // Polymer Testing. 2007. V. 26. P. 95.
- Lee E., Anjum F. // StatPearls [Internet]. Treasure Island (FL): StatPearls Publishing; 2022 Jan-. Available from: https://www.ncbi.nlm.nih.gov/books/NBK563240.
Дополнительные файлы





















