Manifestation of the Supramolecular Effect in the Enzymatic Hydrolysis of Sodium Carboxymethyl Cellulose
- Autores: Chernova V.V.1, Lazdin R.Y.1, Kulish E.I.1
-
Afiliações:
- Bashkir State University
- Edição: Volume 65, Nº 1 (2023)
- Páginas: 20-27
- Seção: Articles
- URL: https://journals.rcsi.science/2308-1139/article/view/135611
- DOI: https://doi.org/10.31857/S2308113923700377
- EDN: https://elibrary.ru/PIULVH
- ID: 135611
Citar
Texto integral
Resumo
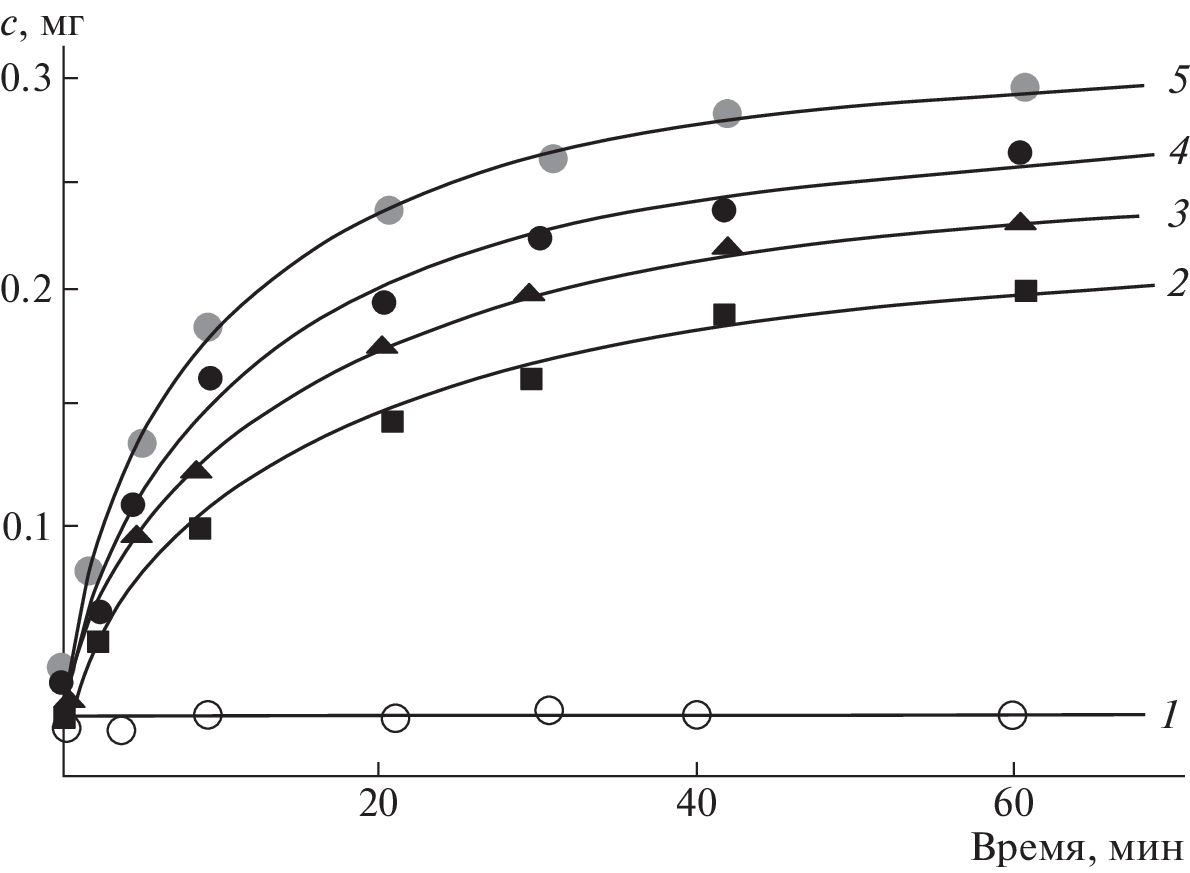
Manifestation of the supramolecular effect in reactions of the enzymatic hydrolysis of sodium carboxymethyl cellulose is studied. The occurrence of enzymatic hydrolysis under the action of nonspecific enzyme hyaluronidase is confirmed by the method of reducing sugars. The supramolecular structure of the polymer in solution is controlled using the approach including the use of cosolvents (modifiers), with a number of alcohols (ethanol, propylene glycol, and glycerol) being used as modifiers. It is shown that as polymer concentration in solution increases above 0.3 g/dL the rate of enzymatic hydrolysis almost ceases to raise with increasing concentration. This finding is associated with diffusion hindrances arising in interaction of the polymer with the enzyme due to an increase in the degree of aggregation of macromolecules in solution and formation of the entanglement network. In the presence of the modifiers in solution, the rate of enzymatic hydrolysis slows down. This effect can be explained by several factors: first, a decrease in the sizes of the macromolecular coil and an earlier formation of the entanglement network and, as a consequence, reduction in the accessibility of polymer units for interaction with the enzyme. Second, the modifying additives decrease the total β-glycosidase activity of hyaluronidase. It is demonstrated that the features of enzymatic hydrolysis in solution persist in the case of film samples.
Sobre autores
V. Chernova
Bashkir State University
Email: my_life82@mail.ru
450076, Ufa, Republic of Bashkortostan, Russia
R. Lazdin
Bashkir State University
Email: my_life82@mail.ru
450076, Ufa, Republic of Bashkortostan, Russia
E. Kulish
Bashkir State University
Autor responsável pela correspondência
Email: my_life82@mail.ru
450076, Ufa, Republic of Bashkortostan, Russia
Bibliografia
- Платэ Н.А., Литманович А.Д., Ноа О.В. Макромолекулярные реакции. М.: Химия, 1977.
- Колесов С.В., Кулиш Е.И., Минскер К.С. // Высокомолек. соед. Б. 1994. Т. 36. № 8. С. 1383.
- Кулиш Е.И., Колесов С.В., Минскер К.С., Заиков Г.Е. // Высокомолек. соед. A. 1998. Т. 40. № 8. С.1309.
- Kulish E.I., Gerchikov A.Ya., Chirko K.S., Kolesov S.V., Zaikov G.E. // Polymer Science B. 2004. V. 46. № 1. P. 31.
- Эмануэль Н.М., Бучаченко А.Л. Химическая физика старения и стабилизации полимеров. М.: Наука, 1982.
- Kulish E.I., Chernova V.V., Kolesov S.V., Volodina V.P., Monakov Y.B. // J. Balkan Tribological Association. 2011. V. 17. № 2. P. 262.
- Kulish E.I., Chernova V.V., Kolesov S.V., Volodina V.P., Zaikov G.E. // Oxidation Commun. 2010. V. 33. № 1. P. 220.
- Kulish E.I., Volodina V.P., Fatkullina R.R., Kolesov S.V., Zaikov G.E. // Polymer Science B. 2008. V. 50. № 7–8. P. 175.
- Kulish E.I., Chernova V.V., Kolesov S.V., Volodina V.P., Monakov Y.B. // Cellulose Chem.Technol. 2008. T. 42. № 9–10. C. 463.
- Папков С.П. Равновесие фаз в системе полимер–растворитель. М.: Химия, 1981.
- Чалых А.Е., Герасимов В.Н., Михайлов Ю.Н. Диаграммы фазового состояния полимерных систем. М.: Янус К, 1998.
- Вихорева Г.А., Гальбрайх Л.С. // Хитин и хитозан: получение, свойства и применение / Под ред. К.Г. Скрябина, Г.А. Вихоревой, В.П. Варламова. М.: Наука, 2002. С. 254.
- Ilyin S. O., Makarova V. V., Anokhina T. S., Volkov A.V., Antonov S.V. // Polymer Science A. 2017. V. 59. № 5. P. 676.
- Ageev E.P., Vikhoreva G.A., Matushkina N.N., Pchelko O.M., Gal’braikh L.S. // Polymer Science. Ser. A. 2000. V. 42. № 2. P. 236.
- Udra S.A., Kazarin L.A., Mashchenko V.I., Gerasimov V.I. // Polymer Science A. 2006. V. 48. № 10. P. 1105.
- Samuels R.J. // J. Polym. Sci., Polym. Phys. Ed. 1981. V. 19. № 7. P. 1081.
- Ахметханов Р.М., Чернова В.В., Шуршина А.С., Лаздина М.Ю., Кулиш Е.И. // Конденсированные среды и межфазные границы. 2021. Т. 23. № 2. С. 188.
- Новиков Д.В., Красовский А.Н., Осмоловская Н.А., Ефремов В.И. // Физика твердого тела. 2007. Т. 49. № 2. С. 364.
- Bazunova M.V., Lazdin R.Yu., Elinson M.R., Sharafutdinova L.A., Mustakimov R.A., Kulish E.I. // Chimica Techno Acta. 2022. V. 9. № 1. P. 20229108.
- Kulish E.I., Tuktarova I.F., Chernova V.V., Zakharov V.P., Kolesov S.V. // Russ. J. Phys. Chem. B. 2015. V. 9. № 2. P. 237.
- Tuktarova I.F., Chernova V.V., Lazdin R.Y., Kulish E.I. // Protection Metals Phys. Chem. Surf. 2016. T. 52. № 2. C. 297.
- Пат. 2430154 Россия. 2010 // Б.И. 2011. № 27. RU 2430154 C1.
- Пат. 2424812 Россия. 2010 // Б.И. 2011. № 21. RU 2424812 C1.
- Chernova V.V., Valiev D.R., Bazunova M.V., Shurshi-na A.S., Kulish E.I. // Russ. J. Appl. Chem. 2019. T. 92. № 3. C. 332.
- Chernova V.V., Tuktarova I.F., Kulish E.I. // Russ. J. Phys. Chem. B. 2017. T. 11. № 2. C. 338.
- Кулиш Е.И., Чернова В.В., Вильданова Р.Ф., Володина В.П., Колесов С.В. // Вестн. Башкирского гос. ун-та. 2011. Т. 16. № 2. С. 339.
- Liu J., Willför S., Xu C. // Bioact. Carbohydr. Diet. Fibre. 2015. V. 5. № 1. P. 31–61.
- Bazunova M.V., Shurshina A.S., Chernova V.V., Ku-lish E.I. // Russ. J. Phys. Chem. B. 2016. T. 10. № 6. C. 1014–1021.
- Bazunova M.V., Chernova V.V., Lazdin R.Y., Zakharov V.P., Kulish E.I. // Russ. J. Phys. Chem. B. 2018. T. 12. № 6. C. 1039.
- Lazdin R.Y., Chernova V.V., Bazunova M.V., Zakharov V.P. // Russ. J. Appl. Chem. 2019. T. 92. № 1. C. 50.
- Каримова Р.Д., Лаздин Р.Ю., Аллаяров И.Р. // Вестн. Башкирского гос. ун-та. 2017. Т. 22. № 1. С. 65.
- Валиев Д.Р., Базунова М.В., Чернова В.В., Шуршина А.С., Кулиш Е.И. // Перспективные материалы. 2018. № 4. С. 14.
- Kulish E.I., Chernova V.V., Khusnutdinova A.R., Volodina V.P., Kolesov S.V. // Russ. J. Appl. Chem. 2012. T. 85. № 1. C. 156.
- Северин С.Е. Практикум по биохимии / Под ред. С.Е. Северин, Г.А. Соловьева. М.: МГУ, 1989.
- Баранов В.Г., Бресткин Ю.В., Агранова С.А. Пинкевич В.Н. // Высокомолек. соед. Б. 1986. Т. 28 № 11. С. 841.
- Arinshtein A.E. // Sov. Phys. JETP. 1992. V. 74 (4). P. 646.
Arquivos suplementares








