Региональные особенности содержания сухого вещества во фракциях фитомассы деревьев сосны обыкновенной
- Авторы: Усольцев В.А.1,2, Плюха Н.И.1, Цепордей И.С.2
-
Учреждения:
- Уральский государственный лесотехнический университет
- Ботанический сад УрО РАН
- Выпуск: № 3 (63) (2024)
- Страницы: 6-19
- Раздел: Лесное хозяйство
- URL: https://journals.rcsi.science/2306-2827/article/view/277993
- DOI: https://doi.org/10.25686/2306-2827.2024.3.6
- EDN: https://elibrary.ru/MQBVKU
- ID: 277993
Цитировать
Полный текст
Аннотация
Введение. Квалиметрия надземной и подземной биомассы деревьев является составной частью исследований биологической продуктивности и углероддепонирующей способности лесного покрова, необходимых для корректной оценки углеродного цикла в земной биосфере в связи с изменением климата. Содержание сухого вещества (ССВ) во фракциях фитомассы определяет специфику продукционного процесса дерева, и для его оценки в трансконтинентальных градиентах необходима соответствующая база данных.
Наличие впервые сформированной авторской базы данных о квалиметрии лесообразующих пород Северной Евразии позволило сформулировать цель исследования – выявить региональные особенности ССВ в надземной и подземной фитомассе сосны обыкновенной на территории Северной Евразии.
Объекты и методы. Для осуществления цели исследования из авторской базы данных о квалиметрических показателях основных пород Северной Евразии взяты 3 700 показателей ССВ в надземной фитомассе и 89 – в фитомассе корней сосны обыкновенной, полученные на территории восьми регионов Северной Евразии. На их основе разработаны регрессионные модели смешанного типа, включающие две разновидности независимых переменных – численные, принимающие значения из непрерывного ряда чисел, и фиктивные переменные, представляющие дискретные качественные характеристики, в частности, принадлежность данных к той или иной породе.
Результаты. Построены модели зависимости ССВ от возраста дерева и диаметра ствола на высоте груди, включающие блок фиктивных переменных. Регрессионные коэффициенты при численных переменных значимы на уровне вероятности от p < 0,001 до p <0,05, и это означает, что построенные модели, дифференцированные по регионам Северной Евразии, характеризуются статистически значимым вкладом возраста дерева и диаметра ствола в объяснение изменчивости ССВ во всех фракциях фитомассы.
Выводы. Ранжирование регионов по величине ССВ во фракциях фитомассы показало наличие существенных различий между ними. Эти различия достигают для ССВ в древесине ствола, коре ствола, хвое и ветвях соответственно 10, 14, 22 и 14 %. Из фракций фитомассы наибольшее межрегиональное различие (22 %) приходится на ССВ в хвое, с максимумом в Западной Сибири и минимумом в центре Русской равнины. Представленные закономерности изменения ССВ в различных фракциях фитомассы могут быть полезны при оценках абсолютно сухой фитомассы и углероддепонирующей способности сосновых лесов в разных регионах Северной Евразии.
Полный текст
Введение
В последние годы мировая лесная экология характеризуется интенсивными исследованиями биологической продуктивности лесов в предположении антропогенного изменения климата и поиска возможностей его стабилизации. Квалиметрия надземной и подземной фитомассы является одним из направлений в исследованиях биологической продуктивности и углероддепонирующей способности лесного покрова, необходимых для корректной оценки углеродного цикла в земной биосфере в связи с изменением климата [1].
Для глобального количественного описания биосферных функций лесного покрова, в частности, его углероддепонирующей способности, необходимы соответствующие базы данных, включающие в себя количественные характеристики мировых лесов. Развивающиеся возможности IT-технологий открывают для этого широкие перспективы, а термин Big Data становится одним из ключевых (https://www.osp.ru/iz/bigdata2018/). Основная цель Big Data, тесно связанных с облачными технологиями, заключается в использовании огромных вычислительных и депозитарных ресурсов под централизованным управлением. Развитие облачных вычислений решает проблему хранения и обработки больших данных. Технология распределённого хранения информации, основанная на облачных вычислениях, искусственном интеллекте и нейронных сетях, даёт возможность эффективно управлять «большими данными» [2]. В связи с наступлением эры больших данных (Big Data Era) [3] актуализируется формирование мировых баз данных о количественных и качественных показателях фитомассы растительного покрова. Наличие подобных планетарных баз данных даёт возможность корректной оценки глобальной биосферной роли лесного покрова планеты.
Известно, что квалиметрические характеристики деревьев и древостоев довольно изменчивы и варьируют с возрастом, а также в связи с экологическими и другими факторами [4]. В условиях непрерывно возрастающей глобальной роли лесного покрова планеты исследование квалиметрических показателей деревьев и древостоев становится одним из приоритетных направлений. Развитие неразрушающих методов оценки квалиметрических показателей фитомассы деревьев и технологий наземного и дистанционного лазерного зондирования создаёт условия для прогресса в этом приоритетном научном направлении. Оперативное прогнозирование содержания влаги в древесине методом спектроскопии в ближнем инфракрасном диапазоне позволяет снизить расходы на её обработку и оптимизировать процесс сушки за счёт предварительного распределения сортиментов по классам влажности [5].
Содержание сухого вещества во фракциях фитомассы деревьев (показатель, обратный влажности) является одним из ключевых признаков, дающих сведения о механических свойствах древесины и полезную информацию для многих промышленных и научных целей. Большинство физиологических процессов, связанных с транспирацией и фотосинтезом в листьях, невозможны без участия воды. Влажность растительных тканей определяет специфику физиологии растений. Для поддержания жизнедеятельности клеткам растений требуется 85–89 % воды, и от содержания воды в растительных тканях зависит рост и устойчивость растений [6]. ССВ в листве влияет на ход процесса фотосинтеза, продуцирования ассимилятов, связывания СО2 и выделения кислорода [7].
Одной из ключевых характеристик продуктивности ассимиляционного аппарата является удельная поверхность листвы или хвои (specific leaf area – SLA) как отношение поверхности к абсолютно сухой массе [8]. Она может быть определена по её связи с ССВ. Эта зависимость, описанная степенной функцией по эмпирическим данным 780 выборок листвы в совокупности древесных, кустарниковых и травянистых растений, объяснила 92 % изменчивости удельной поверхности листвы [9]. ССВ рассматривалось и как мера концентрации сухого вещества в объёме различных фракций фитомассы растений. Поскольку определение их объёма намного более трудоёмко, чем определение ССВ, при оценке SLA в качестве наиболее перспективной была признана её зависимость от ССВ [10]. Для совокупности древесных и травянистых видов на 49 пробных площадях в Англии было проведено сравнительное исследование зависимости надземной чистой первичной продукции сообществ от ССВ и от удельной поверхности листвы и установлено, что ССВ объясняет наибольшую долю изменчивости первичной продукции (55 %) по сравнению с удельной поверхностью листвы, оценка которой к тому же намного трудозатратнее, чем ССВ [11].
Показатель ССВ имеет также значение при оценке калорийности древесины [12]. Сведения о ССВ представляют наибольший интерес с точки зрения проблематики фитомассы деревьев, оцениваемой в абсолютно сухом состоянии. ССВ является одним из важных свойств растений, изучаемых в экологии, и объясняет наибольшую долю изменчивости первичной продукции растений. Моделирование ССВ во фракциях фитомассы деревьев даёт возможность селекции генотипов с максимальным его содержанием и формирования древостоев с повышенным ССВ путём лесохозяйственных мероприятий [12].
С целью изучения пространственной изменчивости ССВ в листве этот показатель был измерен у 5 641 вида растений из 72 растительных сообществ Китая, охватывающих большинство наземных экосистем. Было установлено, что ССВ в листве в среднем составляет 69 %, оно снижается с увеличением влажности почв и увеличивается в сухих условиях. Изменчивость ССВ в листве растительных сообществ была выше в засушливых районах, и виды с более низким ССВ были более чувствительны к изменениям окружающей среды [13].
Способность растительных тканей к горению является ключевой характеристикой для понимания режима пожаров, сформировавших территориальное распределение экосистем и влияющих на эволюцию растений и биогеохимические циклы по всему миру. Это связано с тем, что при наличии источника воспламенения большинство наземных растений могут гореть при заданных диапазонах влажности окружающей среды и горючих материалов, в том числе фракций фитомассы лесного полога. В частности, рассчитываются регрессионные зависимости видоспецифичных спектральных характеристик листвы от содержания в ней влаги с целью снижения риска возникновения пожара [14]. Поскольку водный статус разных фракций растений в различных экологических условиях может сильно различаться, предприняты попытки стандартизировать процедуры его определения [3, 9].
По сравнению с публикациями, посвящёнными изучению плотности древесины, количество работ с результатами по ССВ сравнительно меньше. Иногда приводятся данные ССВ как средние значения для той или иной фракции фитомассы исследуемого объекта [15], иногда они рассчитываются по связи с возрастом дерева и/или диаметром ствола [16]. Известно, что ССВ в древесине ствола у хвойных снижается в направлении от его основания к вершине в связи с увеличением доли заболони [17–19]. На Среднем Урале установлено изменение ССВ в древесине и коре стволов кедра сибирского, берёзы, сосны, ели и пихты в зависимости от диаметра ствола и положения вдоль оси ствола. На ССВ в ветвях влияло также положение вдоль оси кроны. У берёзы на статистически значимом уровне ССВ снижается при увеличении возраста дерева как в листве, так и в ветвях деревьев [18, 19], а у кедра сибирского ССВ с возрастом в хвое снижается, но в ветвях увеличивается [18]. Для трёх древесных пород лесостепной зоны были предложены четырёхэтапные алгоритмы определения ССВ в древесине и коре ствола по результатам обработки дисков, взятых на 10 относительных высотах ствола, и включающие в качестве одного из промежуточных этапов расчёт модели сбега древесины и коры стволов [20].
В хвое культур сосны обыкновенной в степной зоне Украины ССВ варьирует от 43 до 62 % (в среднем 53 %) и изменяется пропорционально возрасту дерева, а также – диаметру ствола и высоте дерева. Аллометрические модели связи ССВ в хвое с каждым из названных дендрометрических показателей объясняют изменчивость ССВ у сосны обыкновенной на 16–21 % и у робинии – на 31–36 % [21]. В древостоях пихты китайской и лиственницы корейской в Китае установлена положительная связь ССВ во всех фракциях дерева с его возрастом. В целом, в силу действия многих неучтённых факторов, связи ССВ во фракциях фитомассы с диаметром ствола и возрастом дерева могут быть неустойчивыми и у разных пород могут иметь противоположный характер [22].
При исследовании фитомассы ельников был сделан вывод, что ССВ в древесине не может быть определено с достаточной точностью не деструктивным способом, т. е. замером только дендрометрических показателей деревьев. Для этого необходимо взятие кернов в стволах исследуемых деревьев. Величину ССВ в растениях часто определяют на основе взаимосвязи с базисной плотностью [23], объясняющей 82–99 % общего варьирования искомого показателя, но подобные модели могут применяться только в случаях, когда известна базисная плотность растительной ткани.
Насколько нам известно, результаты исследований географических закономерностей изменения ССВ в надземной фитомассе довольно редки [24], а в подземной – отсутствуют. Наше предыдущее исследование было посвящено анализу изменения ССВ во фракциях надземной фитомассы для каждого из 13 лесообразующих родов в градиентах географической широты и долготы [24]. При этом из дендрометрических показателей деревьев, используемых в качестве независимых переменных, наряду с географическими координатами, оказались статистически значимы лишь возраст и диаметр ствола.
Наличие впервые сформированной базы данных о квалиметрии лесообразующих пород Северной Евразии [25] позволило сформулировать цель нашего исследования – выявить региональные особенности ССВ в надземной и подземной фитомассе сосны обыкновенной на территории Северной Евразии, для чего разработать региональные регрессионные модели ССВ в фитомассе, описывающие его зависимость от дендрометрических показателей деревьев.
Объекты и методы исследования
Из упомянутой базы данных [25] отобраны 3 700 показателей ССВ в надземной фитомассе и 89 – в фитомассе корней сосны обыкновенной, полученных на территории восьми регионов Северной Евразии. Их характеристика дана в табл. 1.
Таблица 1. Статистики показателей модельных деревьев, включённых в регрессионный анализ
Table 1. Statistics of indicators of model trees included in the regression analysis
Обозначение статистик(а) | Анализируемые показатели(б) | ||||||
A | D | Sw | Sbk | Sf | Sbr | Sr | |
Северо-Запад РФ | |||||||
Mean | 108,7 | 13,9 | 48,4 | 48,6 | 46,9 | 48,4 | 49,3 |
Min | 20,0 | 2,0 | 32,4 | 37,5 | 31,3 | 37,5 | 44,2 |
Max | 200,0 | 30,0 | 54,2 | 54,4 | 55,1 | 53,2 | 55,6 |
SD | 75,4 | 7,4 | 4,8 | 3,4 | 5,4 | 4,0 | 1,9 |
CV, % | 69,4 | 53,0 | 9,9 | 7,1 | 11,5 | 8,2 | 3,9 |
n | 33 | 33 | 33 | 33 | 33 | 33 | 33 |
Центр Русской равнины | |||||||
Mean | 81,2 | 23,4 | 49,6 | 48,8 | 36,0 | 46,1 | 48,3 |
Min | 10,0 | 2,0 | 27,3 | 33,8 | 31,0 | 33,9 | 30,7 |
Max | 150,0 | 52,0 | 68,8 | 75,0 | 55,8 | 57,0 | 67,0 |
SD | 46,4 | 14,1 | 7,6 | 6,0 | 4,9 | 5,4 | 6,5 |
CV, % | 57,2 | 60,1 | 15,2 | 12,3 | 13,6 | 11,8 | 13,5 |
n | 56 | 56 | 56 | 52 | 56 | 56 | 56 |
Украина | |||||||
Mean | 66,0 | 26,0 | 51,0 | 53,9 | 46,6 | 46,7 | - |
Min | 9,0 | 7,0 | 35,2 | 32,0 | 38,9 | 36,3 | - |
Max | 175,0 | 55,0 | 74,1 | 71,7 | 56,5 | 59,1 | - |
SD | 39,6 | 11,7 | 7,2 | 9,4 | 4,8 | 5,4 | - |
CV, % | 60,0 | 45,0 | 14,2 | 17,4 | 10,3 | 11,5 | - |
n | 47 | 47 | 47 | 47 | 42 | 46 | - |
Средний Урал | |||||||
Mean | 24,2 | 9,5 | 39,3 | 39,8 | 42,0 | 42,4 | - |
Min | 15,0 | 2,4 | 30,0 | 28,6 | 33,0 | 33,0 | - |
Max | 32,0 | 20,0 | 55,6 | 62,5 | 57,0 | 67,0 | - |
SD | 6,5 | 4,7 | 4,9 | 5,8 | 5,3 | 8,1 | - |
CV, % | 26,8 | 49,7 | 12,5 | 14,5 | 12,6 | 19,1 | - |
n | 144 | 144 | 105 | 105 | 68 | 68 | - |
Южный Урал | |||||||
Mean | 78,2 | 21,4 | 52,4 | 54,0 | 47,7 | 47,0 | - |
Min | 44,0 | 7,0 | 40,1 | 36,9 | 40,0 | 41,0 | - |
Max | 126,0 | 33,7 | 66,5 | 70,5 | 59,0 | 53,0 | - |
SD | 17,6 | 7,6 | 6,7 | 7,8 | 2,7 | 2,3 | - |
CV, % | 22,5 | 35,5 | 12,7 | 14,4 | 5,6 | 4,9 | - |
n | 185 | 185 | 126 | 126 | 101 | 101 | - |
Тургайский прогиб | |||||||
Mean | 26,6 | 7,0 | 44,2 | 48,3 | 47,1 | 45,1 | - |
Min | 9,0 | 0,3 | 27,1 | 28,6 | 30,6 | 32,6 | - |
Max | 110,0 | 34,5 | 75,0 | 83,5 | 61,2 | 66,6 | - |
SD | 17,9 | 5,3 | 7,3 | 11,5 | 5,4 | 5,4 | - |
CV, % | 67,3 | 75,5 | 16,4 | 23,8 | 11,6 | 12,0 | - |
n | 3246 | 3246 | 3246 | 3246 | 910 | 444 | - |
Западная Сибирь | |||||||
Mean | 33,6 | 12,6 | 43,7 | 42,0 | 53,7 | 53,1 | - |
Min | 10,0 | 1,9 | 30,0 | 31,0 | 38,0 | 40,3 | - |
Max | 90,0 | 50,4 | 61,0 | 60,0 | 72,0 | 67,0 | - |
SD | 17,7 | 6,7 | 6,5 | 6,2 | 7,7 | 6,4 | - |
CV, % | 52,5 | 53,4 | 14,9 | 14,7 | 14,4 | 12,1 | - |
n | 181 | 181 | 82 | 75 | 181 | 181 | - |
Средняя Сибирь | |||||||
Mean | 50,0 | 9,3 | 50,1 | 51,8 | 51,0 | 49,9 | - |
Min | 50,0 | 3,2 | 43,4 | 46,8 | 47,4 | 46,9 | - |
Max | 50,0 | 19,0 | 57,4 | 58,8 | 53,8 | 53,2 | - |
SD | - | 4,3 | 4,2 | 3,7 | 1,7 | 1,8 | - |
CV, % | - | 46,3 | 8,5 | 7,2 | 3,2 | 3,6 | - |
n | 15 | 15 | 13 | 13 | 15 | 15 | - |
Примечание: (a) Mean, Min и Max – соответственно среднее, минимальное и максимальное значения; SD – стандартное отклонение; CV – коэффициент вариации; n – число наблюдений. (б) A – возраст дерева, лет; D – диаметр ствола на высоте груди, см; Sw, Sbk, Sf, Sbr, Sr – соответственно ССВ в древесине ствола, коре ствола, хвое, ветвях и корнях, %.
Эмпирические данные ССВ на пробных площадях получены на спиленных модельных деревьях деструктивным методом [26]. Значения ССВ древесины и коры получены по 3–10 дискам, выпиленным вдоль по стволу, а значения для ствола в целом рассчитаны как средневзвешенные, пропорционально объёму отрезков ствола, от которых взяты диски. ССВ хвои и ветвей рассчитаны по навескам, взятым из средней части всей кроны или трёх равных секций, на которые делили крону вдоль по стволу. В последнем случае рассчитывали среднее для кроны значение. ССВ дисков (отдельно древесины и коры) и навесок хвои и ветвей рассчитано путём взвешивания, сушки до постоянной массы и повторного взвешивания.
При моделировании фитомассы деревьев получили распространение модели смешанного типа (mixed-effects modeling) [27]. Аллометрическая модель смешанного типа включает две разновидности независимых переменных – численные, принимающие значения из непрерывного ряда чисел, и фиктивные переменные, представляющие дискретные качественные характеристики, например, принадлежность данных к той или иной породе. Поскольку аллометрические закономерности относительно подобны у различных пород деревьев, строится модель фитомассы смешанного типа для нескольких древесных пород одновременно. Так были построены модели надземной и подземной фитомассы в зависимости от диаметра ствола для восьми пород Китая. Включение в модели блока фиктивных переменных дало возможность ранжировать древесные породы по величине фитомассы равновеликих деревьев [27].
Аналогичный принцип построения модели смешанного типа мы применили при решении задачи нашего исследования. Схема кодирования восьми регионов представлена в табл. 2.
Таблица 2. Схема кодирования восьми регионов Северной Евразии, в которых определено ССВ в фитомассе деревьев сосны обыкновенной
Table 2. The coding scheme of eight regions of Northern Eurasia, in which dry matter content in the phytomass of Scots pine trees is determined
Регион | Блок фиктивных переменных | ||||||
Х1 | Х2 | Х3 | X4 | X5 | X6 | X7 | |
Северо-Запад РФ (СЗР) | 0 | 0 | 0 | 0 | 0 | 0 | 0 |
Центр Русской равнины (ЦРР) | 1 | 0 | 0 | 0 | 0 | 0 | 0 |
Украина (Укр) | 0 | 1 | 0 | 0 | 0 | 0 | 0 |
Средний Урал (СУ) | 0 | 0 | 1 | 0 | 0 | 0 | 0 |
Южный Урал (ЮУ) | 0 | 0 | 0 | 1 | 0 | 0 | 0 |
Тургайский прогиб (ТП) | 0 | 0 | 0 | 0 | 1 | 0 | 0 |
Западная Сибирь (ЗС) | 0 | 0 | 0 | 0 | 0 | 1 | 0 |
Средняя Сибирь (СС) | 0 | 0 | 0 | 0 | 0 | 0 | 1 |
Результаты и их обсуждение
На основе изложенного выше, в качестве исходной мы приняли следующую структуру модели:
(1)
где Si – ССВ в i-й фракции фитомассы, а именно, Sw, Sbk, Sf, Sbr и Sr – соответственно в древесине и коре ствола, хвое, ветвях и корнях, %; А и D – соответственно возраст дерева, лет, и диаметр ствола на высоте груди, см; ΣaiXi – блок фиктивных переменных в количестве (i+1); a0, b1 и b2 – регрессионные коэффициенты уравнения. Результаты расчёта модели (1) для фракций надземной фитомассы приведены в табл. 3.
Таблица 3. Характеристики уравнения (1)
Table 3. Characteristics of equations (1)
Зависимые переменные | Регрессионные коэффициенты и независимые переменные | adjR2(2) | SE(3) | |||||||||
a0(1) | b1 ln(A) | b2 ln(D) | a1X1 | a2X2 | a3X3 | a4X4 | a5X5 | a6X6 | a7X7 | |||
ln(Sw) | 2,9961 | 0,2437 | -0,1003 | 0,1762 | 0,2806 | 0,1219 | 0,2049 | 0,1864 | 0,2137 | 0,1824 | 0,506 | 0,116 |
ln(Sbk) | 3,5153 | 0,1194 | -0,0542 | 0,0382 | 0,2004 | -0,0820 | 0,1378 | 0,0724 | -0,0263 | 0,0993 | 0,105 | 0,208 |
ln(Sf) | 3,6889 | 0,0227 | 0,0240 | -0,3069 | -0,0107 | -0,0846 | 0,0085 | 0,0514 | 0,1613 | 0,1088 | 0,352 | 0,116 |
ln(Sbr) | 3,7172 | 0,0553 | -0,0348 | -0,0093 | 0,0380 | -0,1348 | 0,0038 | -0,0220 | 0,1596 | 0,0575 | 0,326 | 0,118 |
ln(Sr) | 3,8368 | -0,0379 | 0,0926 | -0,0757 | - | - | - | - | - | - | 0,281 | 0,080 |
Примечание: здесь и далее: (1) свободный член в уравнениях скорректирован на величину поправки exp(SE2/2) [28]; adjR2(2) – коэффициент детерминации, скорректированный на число переменных; SE(3) – стандартная ошибка оценки.
Поскольку данные для ССВ в корнях имеются лишь для двух регионов, соответствующая модель рассчитана по иной схеме фиктивных переменных, а именно, Х0 – для Северо-Запада РФ и Х1 – для центра Русской равнины. Несмотря на сравнительно невысокие показатели коэффициентов детерминации (от 0,11 до 0,51), численные переменные во всех уравнениях (1) оказались значимыми на уровне от p < 0,001 до p <0,05.
Поскольку в модели (1) статистически значимыми оказались две независимые численные переменные, её геометрическая интерпретация может быть выполнена в 3D-формате. Однако 3D-формат модели исключает возможность наглядного сопоставления эмпирических и расчётных искомых показателей в изометрии или аксонометрии. Для обеспечения возможности показа зависимости ССВ от одной независимой переменной в 2D-формате, например, от возраста дерева на фоне эмпирических данных, мы рассчитали вспомогательные уравнения:
для надземной фитомассы
(2)
и для корней
(3)
Численные переменные в уравнениях (2) и (3) значимы на уровне p <0,001. Путём подстановки уравнений (2) и (3) в уравнение (1) и табулирования последнего по задаваемым значениям возраста и номерам фиктивных переменных мы получили графические изображения зависимостей ССВ от возраста по восьми регионам для надземной фитомассы и для двух регионов для корней на фоне эмпирических данных (рис. 1 и 2).
Рис. 1. Изменение расчётных значений ССВ в надземной фитомассе в зависимости от возраста дерева (A) на фоне эмпирических данных по 8 регионам Северной Евразии; а, б, в, г – соответственно ССВ в древесине ствола (Sw), коре ствола (Sbk), хвое (Sf) и ветвях (Sbr), %
Fig. 1. Change in the calculated values of DMC in aboveground phytomass depending on the tree age (A) in the context of empirical data for eight regions of Northern Eurasia; a, b, c, d – DCM in stem wood (Sw), stem bark (Sbk), foliage (Sf) and branches (Sbr), respectively (%)
Рис. 2. Изменение расчётных значений ССВ в корнях (Sr) в зависимости от возраста дерева (A) на фоне эмпирических данных по двум регионам Северной Евразии, %
Fig. 2. Change in the calculated values of DMC in the roots (Sr) depending on the tree age (A) in the context of empirical data for two regions of Northern Eurasia (%)
Мы видим на рис. 1 и 2, что ССВ во всех фракциях фитомассы увеличивается с возрастом деревьев, и благодаря использованию фиктивных переменных возрастные тренды ССВ взаимно согласованы по регионам. Наибольшие ССВ в древесине приходятся на Украину и Среднюю Сибирь и наименьшие – на Северо-Запад РФ; наибольшие значения ССВ в коре – соответственно на Украину, и наименьшие – на степи Тургайского прогиба; наибольшие значения ССВ в хвое – на Западную Сибирь и наименьшие – на Тургайский прогиб; наибольшие значения ССВ в ветвях – на Западную Сибирь и наименьшие – на Средний Урал. В корнях сосны ССВ на Северо-Западе РФ несколько выше, чем в центре Русской равнины (рис. 2).
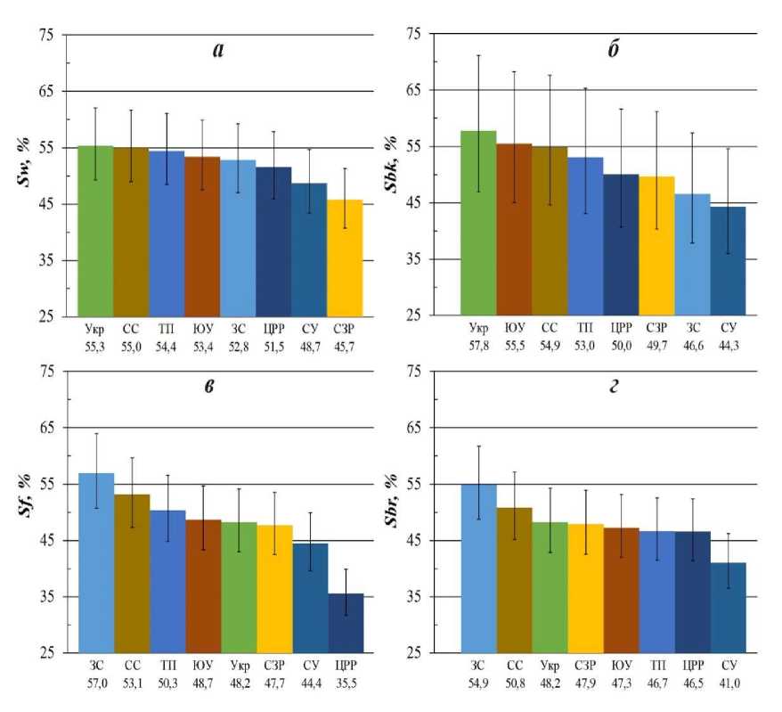
Для наглядности сопоставлений выполнено ранжирование регионов по величине ССВ в разных фракциях надземной фитомассы (рис. 3).
Рис. 3. Ранжирование регионов по величине ССВ в разных фракциях надземной фитомассы; а, б, в, г – соответственно ССВ в древесине ствола, коре ствола, хвое и ветвях, %. Обозначения регионов в табл. 2. Цифры вдоль оси абсцисс показывают значения ССВ для соответствующих регионов
Fig. 3. Ranking of regions by DMC in different fraction of aboveground phytomass; a, b, c, d – DMC in stem wood, stem bark, foliage and branches, respectively (%). See region designations in Table 2. The numbers along the abscissa axis show DMC values for the respective regions
Значения ССВ во фракциях фитомассы при среднем возрасте 100 лет в разных регионах показаны в табл. 4.
Таблица 4. Средние значения ССВ во фракциях фитомассы в разных регионах (среднее значение ± среднеквадратическое отклонение)
Table 4. Mean values of DMC in phytomass fractions in different regions (mean value ± standard deviation)
Регион | ССВ во фракциях фитомассы, % | ||||
Sw | Sbk | Sf | Sbr | Sr | |
Северо-Запад РФ | 45,7±5,3 | 49,7±10,4 | 47,7±5,5 | 47,9±5,7 | 51,8±5,2 |
Центр Русской равнины | 51,5±6,0 | 50,0±10,5 | 35,5±4,1 | 46,5±5,5 | 49,8±5,0 |
Украина | 55,3±6,4 | 57,8±12,1 | 48,2±5,6 | 48,2±5,7 | – |
Средний Урал | 48,7±5,7 | 44,3±9,3 | 44,4±5,2 | 41,0±4,9 | – |
Южный Урал | 53,4±6,2 | 55,5±11,6 | 48,7±5,7 | 47,3±5,6 | – |
Тургайский прогиб | 54,4±6,3 | 53,0±11,1 | 50,3±5,9 | 46,7±5,5 | – |
Западная Сибирь | 52,8±6,1 | 46,6±9,8 | 57,0±6,6 | 54,9±6,5 | – |
Средняя Сибирь | 55,0±6,4 | 54,9±11,5 | 53,1±6,2 | 50,8±6,0 | – |
Отмеченная выше положительная связь ССВ во всех фракциях фитомассы с возрастом дерева, полученная в нашем исследовании (рис. 1), согласуется с аналогичной зависимостью, полученной в кедровниках для ССВ в древесине и ветвях, но противоречит отрицательной зависимости с возрастом для ССВ в хвое [18].
Мы получили статистически значимые закономерности изменения ССВ в зависимости от возраста и диаметра ствола дерева, однако модели для коры ствола, хвои и ветвей характеризуются относительно низкими коэффициентами детерминации. Это означает, что в регрессионный анализ были привлечены необходимые и статистически значимые, но далеко не достаточные независимые переменные. В частности, содержание влаги в компонентах фитомассы варьирует даже в течение суток, оно сильно зависит от погодных условий дня и месяца, генетической изменчивости и других факторов, определяющих физиологическое состояние дерева, которые пока не подлежат учёту. Низкие коэффициенты детерминации были показаны также в работах, посвящённых исследованию ССВ в фитомассе других пород. Например, в кедровниках Урала возраст и диаметр ствола объясняли изменчивость ССВ в коре ствола на 37 %, а в хвое и ветвях – на 27 % [18]. В березняках Урала возраст дерева и диаметр ствола объясняли изменчивость ССВ в коре ствола на 12 %, в листве на 21 % и в ветвях на 35 %, но в наибольшей степени в древесине ствола – на 63 % [19].
Выводы
- Построенные в нашей работе модели зависимости ССВ в фитомассе деревьев от возраста дерева и диаметра ствола сосны обыкновенной, дифференцированные по регионам Северной Евразии, характеризуются статистически значимым вкладом возраста дерева и диаметра ствола в объяснение изменчивости ССВ во всех фракциях фитомассы.
- Ранжирование регионов по величине ССВ показало наличие существенных различий между ними. Эти различия достигают для ССВ в древесине ствола, коре ствола, хвое и ветвях соответственно 10, 14, 22 и 14 %. Из фракций фитомассы наибольшее межрегиональное различие (22 %) приходится на ССВ в хвое, с максимумом в Западной Сибири и минимумом в центре Русской равнины.
- Представленные закономерности изменения ССВ в различных фракциях фитомассы могут быть полезны при оценках углероддепонирующей способности сосновых лесов.
Об авторах
Владимир Андреевич Усольцев
Уральский государственный лесотехнический университет; Ботанический сад УрО РАН
Автор, ответственный за переписку.
Email: Usoltsev50@mail.ru
ORCID iD: 0000-0003-4587-8952
SPIN-код: 3668-6843
Доктор сельскохозяйственных наук, главный научный сотрудник, профессор кафедры лесной таксации и лесоустройства
Россия, 620100, Екатеринбург, Сибирский тракт, 37; 620144, Екатеринбург, ул. 8 Марта, 202аНиколай Иванович Плюха
Уральский государственный лесотехнический университет
Email: Usoltsev50@mail.ru
SPIN-код: 4682-7412
Аспирант, Институт леса и природопользования
Россия, 620100, Екатеринбург, Сибирский тракт, 37Иван Степанович Цепордей
Ботанический сад УрО РАН
Email: Usoltsev50@mail.ru
ORCID iD: 0000-0002-4747-5017
SPIN-код: 3853-7684
Кандидат сельскохозяйственных наук, научный сотрудник
Россия, 620144, Екатеринбург, ул. 8 Марта, 202аСписок литературы
- Climate has a larger effect than stand basal area on wood density in Pinus ponderosa var. scopulorum in the southwestern USA / D. Vaughan, D. Auty, T. E. Kolb et al. // Annals of Forest Science. 2019. Vol. 76, iss. 3. Art. 85. doi: 10.1007/s13595-019-0869-0
- Chen M., Mao S., Liu Y. Big Data: A Survey // Mobile Networks and Applications. 2014. Vol. 19, iss. 2. Pp. 171–209. doi: 10.1007/s11036-013-0489-0
- Ocampo-Zuleta K., Pausas J. G., Paula S. FLAMITS: A global database of plant flammability traits // Global Ecology and Biogeography. 2024. Vol. 33, iss. 3. Pp. 412–425. doi: 10.1111/geb.13799
- The effect of tree slenderness on wood properties in Scots pine. Part II: modulus of rupture and modulus of elasticity / A. Tomczak, T. Jelonek, M. Jakubowski et al. // Annals of Warsaw University of Life Sciences. Forestry and Wood Technology. 2016. Vol. 96, iss. 1. Pp. 188-194.
- Defo M., Taylor A. M., Bond B. Determination of moisture content and density of fresh-sawn red oak lumber by near infrared spectroscopy // Forest Products Journal. 2007. Vol. 57, iss. 5. Pp. 68–72.
- Maiti R., González-Rodríguez H., Ivanova N. S. Autoecology and ecophysiology of woody shrubs and trees: сoncepts and applications. Chichester: John Wiley & Sons Ltd., 2016. 384 p. doi: 10.1002/9781119104452
- Наквасина Е. Н. Ассимиляционный аппарат как показатель адаптации сосны обыкновенной к изменению климатических условий произрастания // Известия высших учебных заведений. Лесной журнал. 2009. № 3. С. 12–19. EDN: MUEKMV
- Уткин А. И., Ермолова Л. С., Уткина И. А. Площадь поверхности лесных растений: сущность, параметры, использование: монография. М.: ФГУП «Академический научно-издательский, производственно-полиграфический и книгораспространительский центр "Наука"», 2008. 292 с. EDN: QKQUAR
- A standardized protocol for the determination of specific leaf area and leaf dry matter content / E. Garnier, B. Shipley, C. Roumet et al. // Functional Ecology. 2001. Vol. 15, iss. 5. Pp. 688–695. doi: 10.1046/j.0269-8463.2001.00563.x
- Shipley B., Vu T.-T. Dry matter content as a measure of dry matter concentration in plants and their parts // New Phytologist. 2002. Vol. 153, iss. 2. Pp. 359–364. doi: 10.1046/j.0028-646X.2001.00320.x
- Leaf dry matter content is better at predicting aboveground net primary production than specific leaf area / S. M. Smart, H. C. Glanville, M. del Carmen Blanes et al. // Functional Ecology. 2017. Vol. 31, iss. 6. Pp. 1336–1344. doi: 10.1111/1365-2435.12832
- Effect of moisture content on gasification efficiency in down draft gasifier / H. Kumar, P. Baredar, P. Agrawal et al. // International Journal of Scientific Engineering and Technology. 2014. Vol. 3, iss. 4. Pp. 411–413.
- Variation and adaptation of leaf water content among species, communities, and biomes / R. Wang, N. He, S. Li et al. // Environmental Research Letters. 2021. Vol. 16. Art. 124038. doi: 10.1088/1748-9326/ac38da
- Foliar moisture content from the spectral signature for wildfire risk assessments in Valparaíso-Chile / J. Villacrés, T. Arevalo-Ramirez, A. Fuentes et al. // Sensors. 2019. Vol. 19, iss. 24. Art. 5475. doi: 10.3390/s19245475
- Поздняков Л. K. Лесное ресурсоведение. Новосибирск: Наука, 1973. 120 с.
- Additive biomass equations based on complete weighing of sample trees for open eucalypt forest species in south-eastern Australia / H. Bi, S. Murphy, L. Volkova et al. // Forest Ecology and Management. 2015. Vol. 349. Pp. 106–121. doi: 10.1016/j.foreco.2015.03.007
- Исаева Л. Н. Особенности распределения влаги в различных частях древесины стволов кедра сибирского // Труды Института леса и древесины им. В. Н. Сукачева СО АН СССР. М.: Изд-во АН СССР, 1963. С. 77–82.
- Количественная и квалиметрическая составляющие биологической продуктивности кедровников Урала / В. А. Усольцев, И. С. Лазарев, В. В. Крудышев и др. // Сборник научных трудов учёных и специалистов факультета экономики и управления УГЛТУ. Вып. 3. Екатеринбург: УГЛТУ, 2012. С. 261–270.
- Усольцев В. А., Воробейчик Е. Л., Бергман И. Е. Биологическая продуктивность лесов Урала в условиях техногенного загрязнения: исследование системы связей и закономерностей: монография. Екатеринбург: Уральский государственный лесотехнический университет, 2012. 365 с. EDN: QLDEWD
- Усольцев В. А. Рост и структура фитомассы древостоев: монография. Новосибирск: Наука, 1988. 253 с. EDN: SRBVNT
- Sytnyk S., Lovynska V., Lakyda I. Foliage biomass qualitative indices of selected forest forming tree species in Ukrainian Steppe // Folia Oecologica. 2017. Vol. 44, iss. 1. Pp. 38–45. doi: 10.1515/foecol-2017-0005
- The relationships between water storage and biomass components in two conifer species / L. Zhou, S. Saeed, Y. Sun et al. // Peer Journal. 2019. Vol. 7. Art. e7901. doi: 10.7717/peerj.7901
- Estimation of moisture content of oil palm fronds through correlation with density for the process of gasification / S. A. Sulaiman, F. M. Guangul, R. E. Konda et al. // BioResources. 2016. Vol. 11, iss. 4. Pp. 8941–8952. doi: 10.15376/biores.11.4.8941-8952
- Усольцев В. А, Цепордей И. С. Содержание сухого вещества в биомассе деревьев 13 видов Евразии: географические аспекты // Хвойные бореальной зоны. 2022. Т. 40, № 3. С. 194–201. doi: 10.53374/1993-0135-2022-6-194-201 ; EDN IXXMOW
- Усольцев В. А. Сбег стволов, плотность и содержание сухого вещества в фитомассе деревьев, произрастающих в Центральной Евразии: монография. Екатеринбург: Уральский государственный лесотехнический университет, 2020. URL: https://elar.usfeu.ru/handle/123456789/9649 (дата обращения: 20.12.2023). EDN: GAVEGX
- Усольцев В. А. Моделирование структуры и динамики фитомассы древостоев: монография. Красноярск: Красноярский государственный университет, 1985. 192 с. EDN: TFMPKD
- Zeng W. S. Developing tree biomass models for eight major tree species in China // Biomass volume estimation and valorization for energy. Chapter 1. Rijeka, Croatia: Intech Publishing, 2017. Pp. 3–21. doi: 10.5772/65664
Дополнительные файлы



