Reserves to reduce car operating costs
- 作者: Nazarov F.L.1,2
-
隶属关系:
- State Scientific Center of the Russian Federation FSUE «NAMI»
- Orenburg State University
- 期: 编号 6 (2023)
- 页面: 107-116
- 栏目: Transport
- URL: https://journals.rcsi.science/2077-7175/article/view/287412
- DOI: https://doi.org/10.25198/2077-7175-2023-6-107
- ID: 287412
如何引用文章
全文:
详细
Relevant are studies to identify reserves to reduce the cost of car ownership, one of which is to minimize the cost of operation, and, in particular, maintenance.
The aim of the study is to reduce the cost of car ownership by reducing the unit cost of maintenance based on a scientifically based increase in the frequency and choice of consumables. A particular task within the framework of this article is to establish the patterns of formation of unit costs for car maintenance and to analyze the impact on them of the frequency and cost of engine oil.
A detailed analysis of the cost structure for the maintenance of a truck was carried out using the example of the KAMAZ 5490 NEO brand with two frequency values – regulated 60 thousand km and increased 80 thousand km. It has been established that such an increase in frequency reduces unit costs by 21,6% (by 331 rubles/1000 km).
The results of studies confirming the proportional dependence of the cost of engine oil on its quality, which determines the replacement period, are presented.
By modeling, the dependences of the unit costs for the maintenance of a truck on the example of the KAMAZ 5490 NEO brand on the frequency and cost of one liter of oil were obtained. It has been established that the strategy with the use of flexible oil cost (depending on frequency) compared to a fixed cost (independent of frequency) gives a noticeable effect (up to 190 rubles / 1000 km or 10,2%) in the area of lower values of frequency, where the indicator «price – quality» of oil is used.
It is concluded that the reserve for reducing operating costs, and, consequently, the cost of owning a car, is an increase in the frequency of maintenance, bringing it closer to the average annual mileage, and a rational choice of motor oils, taking into account the replacement period and cost.
Of scientific and practical interest are further studies of the regularities of the influence of various factors on the value of the frequency of maintenance, the definition of restrictions on its increase, the effect of an increase in the frequency on the cost of owning a car and the efficiency of its commercial operation.
全文:
Введение
При экономическом анализе жизненного цикла автомобиля важным является определение суммарной стоимости его создания, применения (владения) и утилизации. Уже на этапе создания производители автомобилей решают сложную задачу рациональной минимизации стоимости их жизненного цикла путем оптимизации конструктивно-технологических решений, технико-эксплуатационных показателей, стратегий эксплуатации, обслуживания и ремонта посредством выбора компромиссных вариантов из множества альтернативных1.
В структуре суммарной стоимости жизненного цикла автомобиля наиболее весомой составляющей является стоимость владения, и особенно это заметно для грузовых коммерческих автомобилей. В современных конкурентных условиях экономики страны при постоянно увеличивающимся грузообороте и значительном выборе подвижного состава актуальным для собственников является снижение стоимости владения автомобилями и, как следствие, повышение эффективности коммерческой деятельности в целом.
Стоимость владения автомобилем за определенный период определяется суммой затрат на эксплуатацию (около 54% [12]) и потерей первоначальной стоимости (около 46% [12]). Первые же формируются из суммы следующих видов затрат [12]: на топливо, на смазочные материалы и рабочие жидкости (около 34%), на компоненты с ограниченным сроком службы (около 8%), на техническое обслуживание (ТО) и ремонт (около 10%), и прочие (дополнительное оборудование, страхование, хранение, налогообложение, оформление документов) – около 48%. В структуре эксплуатационных затрат парка современной грузовой карьерной техники (по данным TOTAL, 2016 г.) на смазочные материалы приходится в среднем 1%, на плановое обслуживание – 16%, на внеплановое (ремонт) – 14% [5].
Одним из резервов снижения расходов на эксплуатацию является минимизация затрат на ТО, которая достигается за счет увеличения периодичности и (или) уменьшения стоимости работ и цены расходных материалов [9; 13].
Ведущие производители автомобилей регламентируют плановое проведение ТО по заданной наработке (периодичности) – пробега или времени, например, одного года, смотря какое из этих событий наступит раньше. Опыт эксплуатации свидетельствует о том, что оптимальным будет совпадение этих событий – периодичность ТО равна годовому пробегу автомобиля. В этом случае за год количество ТО будет минимальным – однократным. Однако на практике такое положение встречается редко. Это обусловлено существенным дисбалансом между величинами годовых пробегов и периодичности ТО. Так, например, у магистральных тягачей годовые пробеги находятся в диапазоне от 100 тыс. км до 300 тыс. км, а периодичность ТО варьируется от 40 тыс. км до 120 тыс. км. По данным, полученным автором, статистические характеристики пробегов автомобилей-нефтевозов SCANIA в период с 2019 по 2022 годы по дорогам I категории условий эксплуатации следующие (рисунок 1):
– среднегодовых: минимальное значение – 42106 км, максимальное значение – 322807 км, среднее арифметическое значение – 220700 км, коэффициент вариации – 0,2085;
– межсервисных: минимальное значение – 31430 км, максимальное значение – 94518 км, среднее арифметическое значение – 64201 км, коэффициент вариации – 0,1224.
Рисунок 1. Гистограммы распределения а) среднегодовых и б) межсервисных пробегов автомобилей-нефтевозов SCANIA
Источник: разработано автором
Анализ показывает, что средние арифметические значения межсервисных пробегов в 3,44 раза меньше аналогичного показателя среднегодовых пробегов.
Таким образом, актуальными являются исследования по выявлению резервов снижения стоимости владения автомобилем, одним из которых является минимизация затрат на эксплуатацию, и, в частности, на ТО.
Целью исследования является снижение стоимости владения автомобилем за счёт уменьшения удельных затрат на ТО на основе научно обоснованного увеличения периодичности и выбора расходных материалов. Частной задачей в рамках настоящей статьи является установление закономерностей формирования удельных затрат на ТО автомобиля и анализ влияния на них периодичности и цены моторного масла.
Анализ структуры затрат на ТО автомобиля
Проведен анализ структуры затрат на ТО грузового автомобиля КАМАЗ 5490 NEO с дизелем Daimler OM-457LA.V/3 (в ценах 2022 г., годовой пробег 200 тыс. км, 3 года эксплуатации) при двух значениях периодичности – регламентированной 60 тыс. км и увеличенной 80 тыс. км.
Расчет проводился отдельно по затратам на расходные материалы (таблица 1) и на работу (таблица 2). Цены на расходные материалы принимались по данным ООО «АвтоЗапчастьКАМАЗ». Виды и трудоемкости работ приняты согласно соответствующему руководству по эксплуатации; стоимость норма-часа принята 2250 руб. В таблицах указаны следующие виды ТО: ТО-2500 – выполняемое через 2500 км начального пробега; ТО – выполняемое с регламентированной плановой периодичностью; К – выполняемое по пробегу или по временному интервалу (180000км/1 раз в 3 года); В – выполняемое по временному интервалу не реже одного раза в год; В3 – выполняемое по временному интервалу не реже одного раза в три года.
Таблица 1. Результаты расчета затрат на расходные материалы при ТО автомобиля КАМАЗ 5490 NEO
Часть автомобиля | Наименование материала (марка, артикул) | Кол-во | Момент замены | Цена за ед., р. | Общая цена при одной замене, р. | Периодичность ТО 60000 км | Периодичность ТО 80000 км | ||||
кол-во замен | общая цена, р. | доля от суммарной цены, % | кол-во замен | общая цена, р. | доля от суммарной цены, % | ||||||
ДВИГАТЕЛЬ | Моторное масло (TOTAL RUBIA TIR 9200 FE 5W30/208л.) | 38 л. | ТО | 600 | 22800 | 10 | 228000 | 34,56 | 7,5 | 171000 | 33,14 |
Воздушный фильтр двигателя основной (c301330) | 1 | ТО | 7870 | 7870 | 10 | 78700 | 11,93 | 7,5 | 59025 | 11,44 | |
Фильтр мочевины (A9408350047) | 1 | ТО | 5940 | 5940 | 10 | 59400 | 9,00 | 7,5 | 44550 | 8,63 | |
Фильтрующий элемент масляного фильтра (A0001802909) | 1 | ТО | 5505 | 5505 | 10 | 55050 | 8,35 | 7,5 | 41288 | 8,00 | |
Воздушный фильтр двигателя безопасности (CF1820) | 1 | 3ТО | 10800 | 10800 | 3,3 | 36000 | 5,46 | 2,5 | 27000 | 5,23 | |
Фильтрующий элемент топлива тонкой очистки (A5410900151) | 1 | ТО | 3450 | 3450 | 10 | 34500 | 5,23 | 7,5 | 25875 | 5,01 | |
Охлаждающая жидкость (Total Coolelf MDX -37) | 50 л. | В3 | 550 | 27500 | 1 | 27500 | 4,17 | 1 | 27500 | 5,33 | |
Фильтр-патрон осушителя (432.410.020.2) | 1 | ТО | 1600 | 1600 | 10 | 16000 | 2,43 | 7,5 | 12000 | 2,33 | |
Фильтрующий элемент топлива грубой очистки (6W.26.068.00) | 1 | 2ТО | 2750 | 2750 | 5 | 13750 | 2,08 | 3,75 | 10313 | 2,00 | |
Фильтр пылевой (A9408350047) | 1 | 2ТО | 1480 | 1480 | 5 | 7400 | 1,12 | 3,75 | 5550 | 1,08 | |
ПРОЧИЕ АГРЕГАТЫ И СИСТЕМЫ | Масло в мостах (Total GEAR 9FE 75W80/208л) | 11 л. | К | 1000 | 11000 | 3,3 | 36667 | 5,56 | 3,3 | 36667 | 7,11 |
Масло в КП (Total GEAR 9FE 75W80/208л) | 11 л. | 3ТО | 1000 | 11000 | 3,3 | 36667 | 5,56 | 2,5 | 27500 | 5,33 | |
Фильтр ГУР (AC 3283 (RBL 330-006)) | 1/1 | ТО-2500/В | 3350 | 3350 | 4 | 13400 | 2,03 | 4 | 13400 | 2,60 | |
Смазка консистентная (Total MULTIS MS 2/18К) | 0,07 кг/ | ТО-2500/ТО | 935 | 935 | 10 | 9350 | 1,42 | 7,5 | 7013 | 1,36 | |
Масло ГУР (Total DUAL9FE 75W90) | 4,2 л. | В3 | 1129 | 4742 | 1 | 4742 | 0,72 | 1 | 4742 | 0,92 | |
Фильтр автономного отопителя (45104110000200) | 1 | В | 850 | 850 | 3 | 2550 | 0,39 | 3 | 2550 | 0,49 | |
ВСЕ РАСХОДНЫЕ МАТЕРИАЛЫ | 659675 | 100 | 515971 | 100 | |||||||
Источник: разработано автором
Таблица 2. Результаты расчета затрат на работу при ТО автомобиля КАМАЗ 5490 NEO
Показатели работы | Периодические работы | Дополнительные работы | |||||
ТО | 2ТО | 3ТО | СТО | ТО-2500 | В3 | К | |
Трудоемкость вида работ, чел-час | 7,5 | 1 | 0,3 | 1,6 | 3,1 | 1,4 | 0,17 |
Периодичность ТО 60000 км | |||||||
Кол-во работ за суммарный пробег | 10 | 5 | 3,33 | 6 | 1 | 1 | 3,33 |
Затраты по видам работ за суммарный пробег, р. | 202924 | 13528 | 2706 | 25974 | 6990 | 3788 | 1533 |
Общие затраты на работу за суммарный пробег, р. | 257443 | ||||||
Периодичность ТО 80000 км | |||||||
Кол-во работ за суммарный пробег | 7,5 | 3,75 | 2,50 | 6 | 1 | 1 | 3,33 |
Затраты по видам работ за суммарный пробег, р. | 152193 | 10146 | 2029 | 25974 | 6990 | 3788 | 1533 |
Общие затраты на работу за суммарный пробег, р. | 202654 | ||||||
Источник: разработано автором
В структуре затрат на расходные материалы на двигатель приходится около 83%, а на другие агрегаты и системы автомобиля – 17%. Доля затрат, зависящих от периодичности (пробега), составляет в среднем 85,3%, остальная – 14,7% – от временного интервала. На долю моторного масла (при цене 600 р. за 1 литр, без учета доливки) приходится около 33,8% от общих затрат на расходные материалы для всего автомобиля. В структуре затрат на работу доля затрат, зависящих от периодичности (пробега), составляет в среднем 83,1%, остальная – 16,9% – от временного интервала. В структуре общих затрат на ТО на расходные материалы приходится около 72%, а на работу – 28% (таблица 3).
Таблица 3. Структура затрат на ТО автомобиля КАМАЗ 5490 NEO
Показатели | Периодичность ТО, км | |
60000 | 80000 | |
Затраты на расходные материалы, руб. (%) | 659675 (71,9) | 515971 (71,8) |
Затраты на работу, руб. (%) | 257443 (28,1) | 202654 (28,2) |
Затраты на ТО, руб. (%) | 917118 (100) | 718625 (100) |
Удельные затраты на ТО, руб./1000 км | 1529 | 1198 |
Источник: разработано автором
Таким образом, увеличение периодичности ТО на 33,3% (с 60 тыс. км до 80 тыс. км) снижает удельные затраты на 21,6% (на 331 р./1000 км.).
Зависимости удельных затрат на ТО от периодичности и цены моторного масла
По мере развития двигателей, повышения их удельно-эффективных и экологических показателей и увеличения периодичности ТО [7; 10] возникают и дополнительные требования к эксплуатационным свойствам моторного масла для обеспечения требуемых сроков его замены – улучшенная стойкость к окислению и сдвиговым нагрузкам, повышенный запас моющих свойств и др. [1; 2; 3; 6; 8; 11; 15; 16; 17]. Очевидно, что при этом масло становится продуктом более высокого качества и, соответственно, с более высокой закупочной ценой [5].
Этот тезис подтверждают полученные автором результаты анализа цены моторных масел (23 марки класса вязкости 10W-40 и 18 марок класса вязкости 15W-40), рекомендованных заводом-изготовителем к применению для дизельных двигателей КАМАЗ V-8 уровня ЕВРО-4, ЕВРО-5 (таблица 4). Заметно, что масла более высокой группы эксплуатации АРI CI-4 по сравнению с АРI CH-4 имеют большую цену 1 литра: по среднеарифметическому значению в 1,16…1,46 раза, по минимальному – в 1,11…1,15, по максимальному значению – в 1,04…2,03 раза.
Таблица 4. Результаты анализа цены 1 литра моторных масел, рекомендованных заводом-изготовителем к применению для дизельных двигателей КАМАЗ V-8 уровня ЕВРО-4, ЕВРО-5
Класс вязкости масла | Среднеарифметическое значение, р. | Минимальное значение, р. | Максимальное значение, р. | |||
не ниже CH-4 | не ниже CI-4 | не ниже CH-4 | не ниже CI-4 | не ниже CH-4 | не ниже CI-4 | |
10W-40 | 219,5 | 321,5 | 160,9 | 185,2 | 250,1 | 507,0 |
15W-40 | 253,4 | 294,7 | 155,8 | 172,5 | 415 | 429,7 |
Источник: разработано автором
Вместе с тем, внутри одной группы эксплуатации наблюдается значительная вариация цены 1 литра масла, что указывает на различие в эксплуатационных свойствах. Это подтверждается результатами исследования автором [4; 14] потенциальных сроков замены масел Lukoil Avantgarde Professional ACEA E4/E7 SAE 5W–30 и Gazpromneft Diesel Ultra SAE 5W-30 API CI-4 в дизельных двигателях нового семейства КАМАЗ Р6 на магистральных тягачах КАМАЗ-54901. Выявлено, что указанные масла различаются как по потенциальным срокам замены (260 тыс. км и 150 тыс. км соответственно), так и по цене (на 2022 г. цена 1 литра 650 р. и 380 р. соответственно), однако по соотношению «цена-качество» они практически одинаковы: удельная цена замены 1 литра (без учета расхода на долив) равна 2,5 р./1000 км.
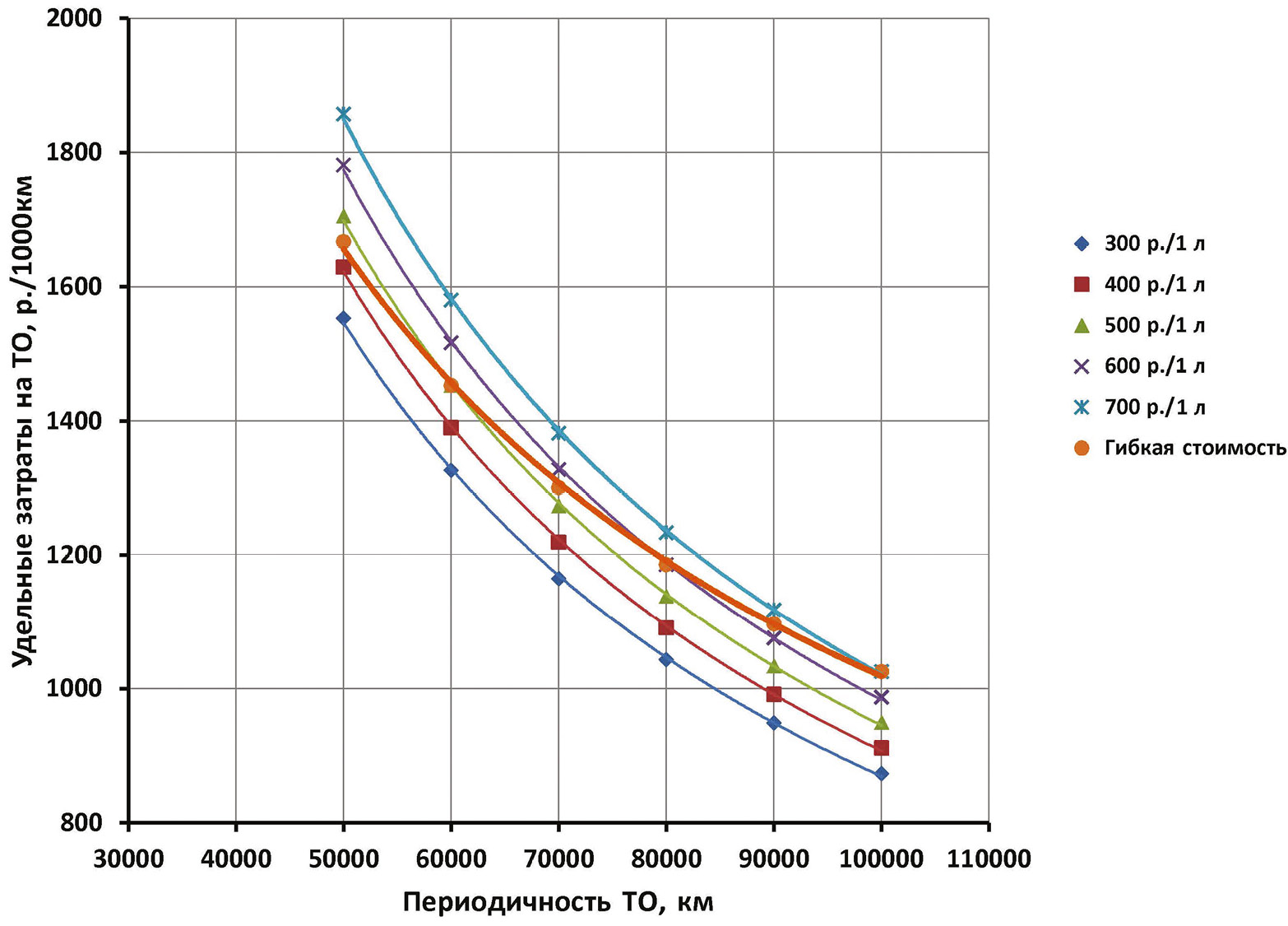
Моделированием получены зависимости удельных затрат на ТО автомобиля КАМАЗ 5490 NEO (в ценах 2022 г., годовой пробег 200 тыс. км, 3 года эксплуатации) от периодичности (в диапазоне от 50000 км до 100000 км) и цены 1 литра масла (в диапазоне от 300 р. до 700 р.). Принято допущение, что цена остальных расходных материалов постоянна. Результаты представлены на трехмерной диаграмме (рисунок 2).
Рисунок 2. Диаграмма зависимости удельных затрат на ТО автомобиля КАМАЗ 5490 NEO от периодичности и цены 1 литра масла
Источник: разработано автором
Видно, что удельные затраты на ТО автомобиля снижаются с увеличением периодичности и уменьшением цены 1 литра масла.
Вернемся к тезису, что если масло становится продуктом более высокого качества, то его закупочная цена также более высокая. Таким образом, предположим, что цена 1 литра масла (y, р.) прямо пропорционально растет с увеличением срока его замены (x, км) по зависимости вида y = 200 + 0,005x.
Сравним варианты применения масел различной цены в зависимости от периодичности ТО по двум стратегиям: с фиксированной ценой (не зависящей от периодичности) и с гибкой ценой (зависящей от периодичности). Заметно по рисунку 3, что стратегия с гибкой ценой масла дает эффект в области пониженных значений периодичности, где полнее используется показатель «цена – качество». Максимальное уменьшение удельных затрат на ТО достигает 190 р./1000 км (или 10,2%) при периодичности ТО 50 тыс. км и фиксированной ценой масла 700 р. за 1 литр.
Рисунок 3. Зависимости удельных затрат на ТО автомобиля КАМАЗ 5490 NEO от периодичности и цены 1 литра масла при разных стратегиях его выбора
Источник: разработано автором
Таким образом, резервом уменьшения удельных затрат на ТО является также рациональный выбор моторных масел с учетом срока замены и цены.
Основные результаты
По результатам детального анализа структуры затрат на ТО грузового автомобиля на примере марки КАМАЗ 5490 NEO установлено, что переход с регламентированной периодичности 60 тыс. км на увеличенную до 80 тыс. км снижает удельные затраты на 21,6% (на 331 р./1000 км.).
Установлено, что в структуре общих затрат на ТО на расходные материалы приходится около 72%, а на работу – 28%, причем в структуре затрат на расходные материалы на двигатель приходится около 83% (из которых около 33,8% – на моторное масло), а на другие агрегаты и системы автомобиля – 17%. В структуре затрат на расходные материалы и работу доля затрат, зависящих от периодичности (пробега), составляет 85,3% и 83,1% соответственно, а остальная – 14,7% и 16,9% – от временного интервала.
Представлены результаты исследований, подтверждающие тезис о том, что если масло становится продуктом более высокого качества, то его закупочная цена также более высокая, а именно, обоснована пропорциональная зависимость цены моторного масла от его срока замены. Это важно с позиций увеличения периодичности ТО автомобиля, поскольку она в значительной мере определяется сроками замены моторного масла.
Моделированием получены зависимости удельных затрат на ТО грузового автомобиля на примере марки КАМАЗ 5490 NEO от периодичности и цены масла. Установлено, что стратегия с применением гибкой ценой масла (зависящей от периодичности) по сравнению с фиксированной ценой (не зависящей от периодичности) дает заметный эффект (до 190 р./1000 км или 10,2%) в области пониженных значений периодичности, где полнее используется показатель «цена – качество» масла.
Заключение
Резервом уменьшения затрат на эксплуатацию, а, следовательно, и стоимости владения автомобилем, является увеличение периодичности ТО, приближая к среднегодовому пробегу, и рациональный выбор моторных масел с учетом срока замены и цены. Представляют научный и практический интерес дальнейшие исследования закономерностей влияния различных факторов на величину периодичности ТО, определения ограничений на её увеличение, влияния увеличения периодичности на стоимость владения автомобилем и эффективность его коммерческой эксплуатации.
В целом, выявленные факторы и закономерности вносят вклад в изучение характеристик автомобильных эксплуатационных материалов и совершенствование процессов организации технического обслуживания автомобилей, что способствует повышению эффективности их эксплуатации и свидетельствует о ценности проведенного исследования для развития отрасли науки «Эксплуатация автомобильного транспорта».
1 ГОСТ Р 27.202–2012. Надежность в технике. Управление надежностью. Стоимость жизненного цикла. – М.: Стандартинформ, 2014. – 16 с.
作者简介
Fedor Nazarov
State Scientific Center of the Russian Federation FSUE «NAMI»; Orenburg State University
编辑信件的主要联系方式.
Email: nazarovf@yandex.ru
General Director, State Scientific Center of the Russian Federation FSUE «NAMI»; applicant for the scientific degree of Candidate of Technical Sciences in the scientific specialty 2.9.5. Operation of motor transport, Orenburg State University
俄罗斯联邦, Moscow; Orenburg参考
- Bunakov, B. M., Pervushin, A. N., Smirnov, K. Yu. (2008) [Motor car oils. Status and ways to improve their quality]. Avtomobil’naya promyshlennost’ [Automotive industry]. Vol. 10, pp. 28–30. (In Russ.).
- Shirlin, I. I. et al. (2013) [Influence of operating conditions of vehicles on the service life of motor oil]. Vestnik SibADI [Bulletin of SibADI]. Vol. 4 (32), pp. 42–45. (In Russ.).
- Klishin, P. V. et al. (2016) [Changes in the requirements for motor fuels and oils associated with the improvement of internal combustion engines]. Avtomobil’naya promyshlennost’ [Automotive industry]. Vol. 9, pp. 29–33. (In Russ.).
- Kalimullin, R. F., Nazarov, F. L. (2023) [The choice of engine oil for engines of the KAMAZ R6 family as a basis for increasing the frequency of vehicle maintenance]. Transport: nauka, tekhnika, upravleniye. Nauchnyy informatsionnyy sbornik [Transport: science, technology, management. Scientific information collection]. Vol. 5, pp. 37–44. – https://doi.org/10.36535/0236-1914-2023-05-6. (In Russ.).
- Kolesnichenko, D. S., Korchagin, R. K., Sobol, D. A. (2016) [Reducing the cost of ownership of equipment through the use of high-quality lubricants]. Gornaya promyshlennost’ [Mining industry]. Vol. 4 (128), pp. 38–40. (In Russ.).
- Machekhin, N. Yu., Shirlin, I. I., Pashukevich, S. V. (2019) [Features of equipment operation when using high–quality motor oils with extended drain intervals]. Vestnik SibADI [Bulletin of SibADI]. Vol. 16. Vol. 4 (68), pp. 446–454. (In Russ.).
- Nazarov, F. L., Khannanov, M. D., Kalimullin, R. F. (2022) [Substantiation of the potential for increasing the engine oil change interval of the KAMAZ R-6 engine]. Intellekt. Innovacii. Investicii [Intellect. Innovations. Investments]. Vol. 3, pp. 71–80. – https://doi.org/10.25198/2077-7175-2022-3-71. (In Russ.).
- Klishin, P. V. et al. (2017) [Improving the environmental indexes of internal combustion engines by applying motor oils with enhanced characteristics]. Avtomobil’naya promyshlennost’ [Automotive industry]. Vol. 12, pp. 6–9. (In Russ.).
- Popov, D. A. Nikonov, V. O., Panin, M. A. (2019) [A promising approach to establishing the frequency of vehicle maintenance]. Byulleten’ transportnoy informatsii [Transport Information Bulletin]. Vol. 2 (284), pp. 24–29. (In Russ.).
- Gumerov, I. F. et al. (2020) [Development of the design and production technology of a new generation of KAMAZ R6 diesel engines]. Dvigatelestroyeniye [Engine building]. Vol. 1 (279), pp. 30–39. (In Russ.).
- According to the materials of the CIMAC congress (2021) [Lubricating oils for reciprocating internal combustion engines]. Dvigatelestroyeniye [Engine building]. Vol. 2 (284), pp. 36–53. (In Russ.).
- Fadeev, D. S., Gornakov, I. A. (2016) [Analysis of main parameters of target costs and their effect on the vehicle ownership cost]. Vestnik Irkutskogo gosudarstvennogo tekhnicheskogo universiteta [Bulletin of Irkutsk State Technical University]. Vol. 20. No. 12 (119), pp. 223–232. – https://doi.org/10.21285/1814-3520-2016-12-215-224. (In Russ.).
- Khabardin, V. N. (2021) [Determining the timing of machine maintenance based on the results of assessing and predicting the quality of engine oil]. Aktual’nyye voprosy agrarnoy nauki [Topical issues of agricultural science]. Vol. 39, pp. 25–32. (In Russ.).
- Nazarov, F. L. et al. (2022) [Experimental confirmation of the design period for replacing the engine oil of the KAMAZ R6 engine]. Intellekt. Innovacii. Investicii [Intellect. Innovation. Investments.]. Vol. 6, pp. 99–112. – https://doi.org/ 10.25198/2077-7175-2022-6-99. (In Russ.).
- Chhabra, A., Singh, K. (2021) Engine oil dialysis of heavy–duty engine oil 5W50. Materials Today: Proceedings. Vol. 56, Part 1, рр. 72–76. – https://doi.org/10.1016/j.matpr.2021.12.156. (In Eng.).
- Kardos, S., Pietrikova, А. (2016) Evaluation of motor oil characteristics and degradation factors for possibilities of continuous diagnostics. Acta Electrotechnica et Informatica. Vol. 16, No. 2, pp. 20–24. – https://doi.org/10.15546/aeei-2016-0010. (In Eng.).
- Rosenbaum, J.M. et al. (2010) Effect of base oil viscosity on wear in heavy duty engines. 17th International Colloquium Tribology 2010 – Solving Friction and Wear Problems. Vol. 2, pp. 837–852. (In Eng.).
补充文件





