Structure, transport and magnetic properties of ultrathin and thin FeSi films on Si(111)
- Authors: Galkin N.G.1, Chernev I.M.1, Subbotin E.Y.1, Goroshko O.A.1, Dotsenko S.A.1, Maslov A.M.1, Galkin K.N.1, Kropachev O.V.1, Goroshko D.L.1, Samardak A.Y.2, Gerasimenko A.V.3, Argunov E.V.4
-
Affiliations:
- Institute of Automation and Control Processes, FEB RAS
- Far Eastern Federal University
- Institute of Chemistry FEB RAS
- National Research Technological University “MISIS”
- Issue: No 4 (2024)
- Pages: 3-16
- Section: Articles
- URL: https://journals.rcsi.science/1028-0960/article/view/260982
- DOI: https://doi.org/10.31857/S1028096024040014
- EDN: https://elibrary.ru/GKRPEZ
- ID: 260982
Cite item
Full Text
Abstract
Using solid-phase and molecular-beam epitaxy methods at 350°C, polycrystalline and epitaxial films of iron monosilicide (FeSi) with a thickness of 3.2 to 20.35 nm were grown on a Si(111) substrate, which was confirmed by X-ray diffraction data. Morphological studies have shown that the films are continuous and smooth with a root-mean-square roughness of 0.4–1.1 nm when grown by solid-phase epitaxy, and in the case of molecular beam epitaxy, they have an increased roughness and consist of coalesced grains with sizes up to 1 μm and a puncture density up to 1 × 107 cm–2. In solid-phase epitaxy, an increase in thickness leads to incomplete silicide formation and the appearance of a layer of disordered iron monosilicide with a thickness of 10 to 20 nm. This is confirmed by a change in the temperature dependence of resistivity ρ from semiconductor to semi-metallic and a decrease in resistivity by one and a half to two times. The nonmonotonic nature of the temperature dependence of the resistivity ρ ultrathin FeSi film with a thickness of 3.2 nm has been established, in which a maximum at 230–240 K, a region of growth from 160 to 65 K with Eg = 14.8 meV and further growth without saturation to a temperature of 1.5 K are observed. With increasing thickness of FeSi films grown by molecular-beam epitaxy, the minimum and maximum are not observed, but the tendency of nonmonotonic growth of ρ(T) with decreasing temperature and the opening of the band gap Eg = 23 meV remains. The probable reasons for the occurrence of effects in the dependences ρ(T) are considered. In ultrathin and thin FeSi films grown by solid-phase and molecular-beam epitaxy, respectively, an anomalous Hall effect was found, which was confirmed by the weak ferromagnetic properties of the films. The results obtained proved the possibility of growing and controlling the properties of ultrathin and thin FeSi films on silicon obtained by solid-phase and molecular-beam epitaxy, which ensured the appearance of their unique transport and magnetic properties that are absent in single crystals.
Full Text
ВВЕДЕНИЕ
Экспериментальные исследования моносилицида железа (FeSi) в виде монокристаллов и объемных поликристаллов с кубической решеткой типа B20 с пространственной группой P213, часто называемого ε-FeSi, ведутся уже более шести десятилетий [1, 2], что связано с разнообразием его оптических [3–5], туннельно-спектроскопических [6, 7], электрических [1, 2, 8], фотоэмиссионных [9], парамагнитных [1, 10] и спиновых [11] свойств. Необычность свойств FeSi заключается в том, что при низких температурах (Т ∼ 100 К) в нем существует непрямая запрещенная зона 30–60 мэВ, которая исчезает при нагреве выше 200 К. То есть FeSi ведет себя как материал, сочетающий в себе как полупроводниковые, так и металлические свойства в зависимости от температуры и приложенных электромагнитного и магнитного полей. Для объяснения обнаруженных в FeSi явлений в 90-е годы ХХ в. было предложено несколько теоретических подходов c расчетами методом приближения локальной плотности (LDA – local density approximation), которые согласуются друг с другом шириной запрещенной зоны (50–110 мэВ), но расходятся в причинах ее исчезновения при температурах выше 200 К [2, 3, 12–19]. В этих подходах дополнительно использовали теорию магнетизма блуждающих электронов в ферромагнитном полупроводнике со спиновыми флуктуациями [12–14], описание решетки Кондо с высокотемпературным магнетизмом, возникающим из-за локализованных магнитных моментов Fe [2, 15], концепцию промежуточной валентности [16] с основным (нулевой спин) и возбужденным (спин 3/2) состояниями, гибридизированными с состояниями кремния, двухзонную модель Хаббарда с локальным кулоновским взаимодействием (U) для учета магнитной восприимчивости [17, 18]. Известно, что расчеты LDA обычно занижают ширину запрещенной зоны, но эта проблема, похоже, не возникает в случае FeSi, что может быть связано с разрывом, возникающим в середине полосы Fe3d в FeSi, а не между двумя разными полосами [19].
Экспериментальные данные [1–12] показали, что электрические, оптические (спектры отражения и фононная структура), магнитные и спиновые свойства монокристаллов моносилицида железа и поликристаллических объемных образцов сильно зависят как от примесных атомов и точечных дефектов в решетке FeSi, так и от границ раздела зерен. Поэтому основной задачей стало улучшение качества монокристаллов FeSi, уменьшение концентрации примесных атомов и расширение комплекса взаимодополняющих методов исследования для получения информации о транспортных, термоэлектрических, магнитных и теплопроводящих свойствах FeSi в широком диапазоне температур, магнитных полей и частот электромагнитного поля. Достигнутые успехи в росте высококачественных монокристаллов FeSi стимулировал новый этап исследований с 2002 по 2023 г., который сконцентрировался на теоретическом уточнении особенностей их энергетической структуры около уровня Ферми [20–28] и транспортных свойств [23, 24, 29] не только в области от комнатной температуры до 15–30 К, но и в ранее слабо исследованных областях “гелиевых” (4.2–14 К) и “субгелиевых” (1.5–4.0 К) температур.
Согласно теории, переход металл–изолятор в FeSi как в сильно коррелированном 3d-полупроводнике при температурах 20–100 К связан с родственными по природе или взаимоисключающими процессами. К ним можно отнести перенормировку внутрищелевой плотности электронных состояний за счет сценария Мотта–Хаббарда с локальным кулоновским взаимодействи- ем [20–24], расчеты с помощью модели многих тел [27] и сильную корреляцию с перенормированной полосой вблизи уровня Ферми [28], ответственной за уменьшение пика плотности состояний около максимума валентной зоны и когерентной энергетической щели при нагревании выше 100 К [23, 24] (в рамках двухзонной модели Хаббарда [17, 18] и как аналога изолятора Кондо [2, 15]). К другому процессу относится возникновение уровней собственной энергии в зонном полупроводнике FeSi за счет эффектов электронной корреляции, приводящих к сильной перенормировке энергетических зон вблизи уровня Ферми при низких температурах, но при увеличении температуры до 200 К и выше значения собственной энергии начинают сильно зависеть от волнового числа, поэтому переход полупроводник–металл происходит только в определенных местах зоны Бриллюэна [25, 26], что свидетельствует об отсутствии в FeSi локального взаимодействия, подобного эффекту Кондо [2, 15]. Анализ теоретических моделей показывает сохраняющиеся противоречия, которые необходимо будет решить в будущем.
В исследованиях последних лет в области сверхнизких температур 0.1–19 К в монокристаллах FeSi обнаружен обратный переход от полупроводника к металлу, при котором наблюдается смена знаков коэффициентов Холла и магнетосопротивления или возникает аномальный эффект Холла. Ранее эти эффекты не были замечены. Так, в [23, 24] рост амплитуды аномальной компоненты холловского сопротивления (ρH) при температуре 15 К авторы объяснили сменой режима флуктуаций электронной плотности (спин-поляронный меняется на когерентный) вблизи примесных центров железа в матрице FeSi и формированием вокруг них наноразмерных (0.1 нм) ферромагнитных областей, так называемых ферронов, которые при дальнейшем снижении температуры (ниже 7 К) образуют за счет взаимодействия друг с другом магнитные нанокластеры. Одновременная смена знаков коэффициента Холла и термоэдс при температуре 19 К и ниже в стержнях FeSi также в [29] была связана с переходом от полупроводникового поведения к металлическому, которое оказалось очень устойчивым к внешним магнитным полям.
Отдельное внимание в работах последних лет начали уделять формированию стержней и пленок FeSi на кремнии различной толщины и исследованию особенностей транспорта в них, возможностей формирования топологических состояний и росту тонких эпитаксиальных пленок FeSi на кремниевой подложке с защитой в виде оксидов и фторидов с последующим исследованием их магнитных свойств. В [29] впервые установлено, что металлическая проводимость в более тонких стержнях FeSi при температурах ниже 19 К возрастает, и поэтому она поверхностная, что позволило авторам поднять вопрос о том, является ли FeSi трехмерным топологическим изолятором. Эта тема получила свое развитие в [30] при сопоставлении данных APRES, удельного сопротивления и расчетов из первых принципов низкоэнергетической структуры монокристаллов FeSi. Теоретически и экспериментально обнаружено расщепление спин-орбитальной полосы, но топологические дуги Ферми в FeSi экспериментально не могли быть обнаружены в спектрах ARPES, поскольку по данным расчетов из первых принципов они лежат на 0.55 эВ выше уровня Ферми. Исследования возможности отнесения монокристалла FeSi к топологическим изоляторам Кондо, но на основе 3d-электронов, начатое в [29], продолжено авторами [31] на тех же образцах, но с привлечением комплекса методов исследований с применением магнитных полей до 60 Тл, давления до 7.6 ГПа и микроволн. Показано, что в магнитных полях и при давлениях получено поведение FeSi, аналогичное поведению предполагаемого топологического кондо-изолятора SmB6 [32]. Но измерения микроволновой спектроскопии, модулированной магнитным полем, выявили особенность в области перехода в проводящее поверхностное состояние (ниже 19 К), которую авторы [31] связали с возможностью ферромагнитного упорядочения. То есть топологический характер зонной структуры объемных монокристаллов, стержней и пленок FeSi не подтвержден, так же как в [30].
В [33] эпитаксиальные пленки FeSi, покрытые слоем MgO толщиной 10 нм, на подложке Si(111) толщиной от 5 до 60 нм впервые исследованы экспериментально, а также с помощью расчетов из первых принципов электронной и спиновой структур. Подтверждены характерное поверхностное ферромагнитно-металлическое состояние тонких пленок FeSi и свойства сильной спин-орбитальной связи посредством множественных характеристик двумерной проводимости, намагниченности и спинтронной функциональности. На поверхности пленки обнаружены терминированные и перпендикулярные поверхности орбитали, что приводит к градиенту потенциала в том же направлении, большому расщеплению поверхностных полос (~35 мэВ) типа Рашбы [34] и генерации неравновесной плотности спина, вызывающей переключение намагниченности.
Двойные гетероструктуры со сверхтонкими слоями FeSi (3–10 нм), закрытые сверху сверхтонкими слоями MgO, CaF2 или BaF2, выращены в [35]. В результате магнитотранспортных измерений и расчетов из первых принципов обнаружены устойчивые, индуцированные спин-орбитальной связью свойства ферромагнитного топологического поверхностного состояния FeSi и их управляемость посредством “гибридизации” FeSi с диэлектрическими материалами. Экспериментально установлено, что температура ферромагнитного перехода значительно выше комнатной температуры, а эффективная сила спин-орбитальной связи почти удваивается на поверхности вблизи широкозонного фторидного изолятора, что перспективно для спин-орбитальной электроники, работающей при комнатной температуре. В последние годы преимущественно исследовали защищенную оксидами или фторидами поверхность пленок FeSi, однако остался вопрос о формировании и свойствах незащищенных пленок FeSi.
В настоящей работе была поставлена задача формирования морфологически плотных ультратонких (3–5 нм) и тонких (10–20 нм) пленок кубического FeSi на кремниевой подложке Si(111) с контролем состава, кристаллической структуры, транспортных, магнитных свойств и устойчивости на воздухе без их покрытия защитным слоем. Для формирования пленок FeSi использовали два метода сверхвысоковакуумного роста: твердофазную эпитаксию (ТФЭ) и молекулярно-лучевую эпитаксию (МЛЭ), которые позволяют влиять на морфологию и кристаллическую структуру. Для исследования свойств пленок проводили температурные измерения удельного сопротивления и эффекта Холла, а также магнитные измерения при комнатной температуре.
ФОРМИРОВАНИЕ ПЛЕНОК И МЕТОДЫ ИССЛЕДОВАНИЯ
Эксперименты по росту пленок моносилицида железа (FeSi) проводили в двух сверхвысоковакуумных камерах установок “Чайка-А” и VARIAN с базовым вакуумом 2 × 10–10 Торр. Первая камера была оснащена анализатором дифракции медленных электронов, держателем на четыре образца с системой прямотокового нагрева, кварцевым датчиком толщины, источниками железа и кремния для осаждения Fe на монокристаллический кремний в режиме ТФЭ. Вторая камера была оснащена держателем на три образца, кварцевым датчиком толщины и блоком молекулярно-лучевых источников кремния и железа для осаждения Fe и Si на монокристаллический кремний методом МЛЭ. Эпитаксиальные пленки FeSi на кремнии (табл. 1, образцы A, B, С, D, E, F) разной толщины выращивали двумя методами: ТФЭ из источника железа с температурой отжига 350°С (образцы А, В, C и D) и МЛЭ из двух источников Si и Fe при температуре подложки 350°С и соотношении скоростей Fe и Si, равном 1.2–1.5 (образцы E и F). В качестве подложек и сублимационного источника кремния использовали пластины кремния n-типа проводимости: Si(111) (FZ, 1000 Ом∙см) с размерами 5 × 17 мм. Источник железа в обеих сверхвысоковакуумных камерах представлял собой вольфрамовую спираль из проволоки диаметром 0.3 мм с помещенной в нее навеской Fe с чистотой 99.999% в виде брусочка с размерами 1.5 × 1.5 × 6 мм. Для каждого образца первоначально проводили обезгаживание в течение 8–10 ч при температуре 650°С – для дегазации примесей в держателе образца, танталовых губках и самих образцах. Атомарно чистую поверхность образцов получали с помощью серии высокотемпературных и кратковременных отжигов при 1150°С. Температуру образцов в обеих камерах контролировали с помощью инфракрасного пирометра PhotriX ML-AAPX. Скорости осаждения железа и кремния калибровали по кварцевым датчикам толщины, в экспериментах они изменялись в следующих диапазонах: Fe 0.32–0.39 и Si 0.38–0.48 нм/мин при МЛЭ и Fe 1.55 нм/мин при ТФЭ. Дополнительную калибровку покрытия железа (кремния) осуществляли путем осаждения при выбранном токе источника толстой пленки железа (кремния) (около 50–70 нм) через контактную маску с последующим определением толщины осажденной пленки методом атомно-силовой микроскопии (АСМ) и сравнением аналогичной порции металла, осажденного на кварцевый датчик толщины. Такой экспериментальный метод позволял скорректировать коэффициент пропорциональности для более точного определения скорости осаждения металла (кремния).
Таблица 1. Условия формирования пленок FeSi на кремнии
Образец | Метод роста | dFe, нм | dSi, нм | Тподл/Тотж, °С | tотж, мин | dFeSi, нм | Эпитаксиальные отношения | σrms, нм |
A | ТФЭ | 2.0 | – | 20/350 | 1.0 | 3.2 | Поликристалл | 1.05 |
B | ТФЭ | 5.0 | – | 20/350 | 2.5 | 7.8 | Поликристалл | 0.70 |
C | ТФЭ | 10.0 | – | 20/350 | 5.0 | 19.0 | Поликристалл | 0.40 |
D | ТФЭ | 20.0 | – | 20/350 | 10.0 | 38.0 | Поликристалл | 1.10 |
E | МЛЭ | 6.7 | 8.6 | 350/– | – | 12.7 | FeSi(111)||Si(111) | 4.20 |
F | МЛЭ | 10.8 | 13.3 | 350/– | – | 20.4 | FeSi(111)||Si(111) | 10.3 |
Примечание. d – толщина, Т – температура, tотж – время отжига (осаждения), dFeSi – толщина пленки, σrms – среднеквадратичная шероховатость.
После роста образцы выгружали из сверхвысоковакуумных камер и в течение 1–2 ч исследовали их морфологию методом АСМ в сканирующем зондовом микроскопе Solver P47 в полуконтактном режиме, что обеспечивало их минимальное окисление. Повторно АСМ-изображения выращенных пленок получали через два месяца после всех этапов исследований для контроля устойчивости к окислению. Структуру пленок моносилицида железа изучали в Институте химии ДВО РАН на дифрактометре RIGAKU SmartLab (вращающийся анод, мощность 9 кВт, CuKα-излучение, параллельный пучок, режим 2θ/ω, диаметр падающего пучка 0.1 мм) с использованием кремниевого держателя образца с нулевым фоном и детектора HyPix-3000 (режим измерения 1D). Дифрактограммы всех образцов измеряли в диапазоне углов 2θ от 5° до 80° с шагом 0.01° через две недели после выгрузки образцов. Электрофизические измерения проводимости и эффекта Холла на выращенных пленках проводили методом Ваy-дер-Пау [36] (без осаждения контактных площадок и их вжигания) на установке Teslatron TP в диапазоне температур 1.5–300 К и магнитных полей с индукцией от 0.25 до 8.0 Тл и вакууме 2 × 10–3 Торр через три–четыре недели после выгрузки из ростовой камеры. Предварительно определяли диапазон рабочих токов через образец в диапазоне от 1 мкА до 1 мА путем повторения температурных измерений проводимости и выбора тока с минимальными шумами и повторяемостью во всем диапазоне от 1.5 до 300 К при нулевом магнитном поле. Линейную зависимость холловского напряжения от магнитного поля проверяли в диапазоне 0.25–1.0 Тл при комнатной температуре. Через две недели измерения удельного сопротивления ñ(T) проводили в НИТУ “МИСиС” (Москва) на отдельных образцах четырехзондовым методом без контактных площадок с использованием низкотемпературной (110–450 К) системы (ООО “Криотел”) для измерения удельного сопротивления пленок с точностью 5% в парах азота с целью сопоставления с результатами низкотемпературных измерений. Магнитные свойства образцов с пленками исследовали в Дальневосточном федеральном университете через полтора месяца после выгрузки образцов на воздух на вибрационном магнитометре LakeShore VSM 7410 при комнатной температуре в диапазоне магнитных полей от –5.0 до +5.0 Тл. В качестве эталона использовали кремниевую подложку для последующего вычета ее парамагнитного вклада из сигнала намагничивания пленки FeSi на кремниевой подложке.
РЕЗУЛЬТАТЫ И ИХ ОБСУЖДЕНИЕ
После выгрузки образцов из сверхвысоковакуумных камер исследовали морфологию их поверхности методом АСМ. Пленки, выращенные методом ТФЭ со слоем железа 2 нм (образец A) и 5 нм (образец B), относительно однородны по толщине. Они характеризуются малыми (10–15 нм) наночастицами (образец А) на поверхности, некоторыми провалами глубиной 1–2 нм с размерами 100–200 нм в обоих образцах и шероховатостью (табл. 1), возрастающей с увеличением количества наночастиц на поверхности. Наночастицы возникают вследствие осаждения железа на сформированные в процессе высокотемпературного отжига эшелоны кремниевых ступеней и малой длительности отжига при 350°С, обусловившего, предположительно, коагуляцию непрореагировавшего железа (или смеси железо–кремний) в наночастицы на поверхности пленки силицида сверхмалой толщины. Увеличение толщины слоя железа до 5 нм и отжиг при 350°С привели к укрупнению и увеличению плотности наночастиц, но уменьшению их высоты на поверхности с эшелонами кремниевых ступеней, в результате уменьшилась среднеквадратичная шероховатость (табл. 1). В случае образцов со слоями железа толщиной 10 нм (образец C) и 20 нм (образец D) на АСМ-изображении размеры (50–100 нм) и глубины (1–2 нм) проколов уменьшаются за счет покрытия эшелонированных ступеней более толстой пленкой силицида, что обеспечивает снижение шероховатости по сравнению с образцами A и B (табл. 1). Пленки состоят из сросшихся нанозерен размером 100–200 нм, подтверждающих образование силицида. Повторная регистрация АСМ-изображений поверхности образца А через два месяца после выгрузки образцов, прохождения различных этапов измерений, показала сохранение морфологии ультратонких и тонких пленок, что доказывает их достаточную устойчивость к окислению.
На рис. 1 представлена морфология пленок, выращенных методом МЛЭ (образцы E и F).При росте пленок методом МЛЭ и толщине, сравнимой с толщиной на образце С (табл. 1), пленка на образце E характеризуется развитием проколов глубиной 10–15 нм (на всю толщину) и плотностью до 1 × 107 см–2 (рис. 1а), между которыми части пленки с размерами 0.5–1.0 мкм выглядят гладкими, что соответствует сросшимся зернам силицида с плоской поверхностью. Это свидетельствует о трехмерном механизме роста с последующей коалесценцией и кристаллизацией при силицидообразовании в процесс МЛЭ-роста. Образец F обладает еще большей шероховатостью и большими размерами и глубиной проколов (рис. 1б) за счет увеличения времени осаждения и толщины пленки силицида, что увеличивает ее шероховатость (табл. 1). Пленка также характеризуется плоскими участками между проколами, что подтверждает коалесценцию и кристаллизацию при трехмерном механизме роста.
Рис. 1. АСМ-изображения поверхности образцов E (а) и F (б).
Структура выращенных пленок была исследована методом рентгеновской дифракции (рис. 2). Дифрактограммы образцов A–D (рис. 2а) схожи, с близкими интенсивностями отражений. Они сдвинуты по оси ординат для удобства восприятия и анализа. На дифрактограммах этих образцов помимо вкладов подложки Si(111) присутствует только пик при 44.34°–44.36°. Он соответствует отражению от плоскости (210) FeSi, которое имеет максимальную интенсивность 100% для FeSi [37]. Это значит, что в пленке FeSi есть нанокристаллы, для которых выполняется соотношение FeSi(210)||Si(111). Согласно [38] методом реактивной эпитаксии пленка железа толщиной 0.5 нм также при температуре 350°С была выращена на подложке Si(111) при эпитаксиальных соотношениях FeSi(111)||Si(111) и FeSi[112]||Si[110]. Попытка увеличить толщину слоя привела к срыву эпитаксиальной ориентации, что доказывает ограниченность диффузии атомов железа по поверхности и кремния из подложки. Поскольку для пленки FeSi на образцах A, B, C и D выполняется другое эпитаксиальное соотношение, можно предположить, что на этих образцах сформировалась тонкая поликристаллическая пленка (поскольку виден только самый интенсивный пик). Положение пиков 210 FeSi (рис. 2а) для образцов A–D отличается от 45.36° для объемного релаксированного FeSi [37]. Это вызвано растяжением кристаллической решетки пленки FeSi, выращенной на поверхности Si(111), примерно на 2.2%. Поэтому возможной причиной обнаруженного сопряжения другого типа (FeSi(210)//Si(111)) является упругая деформация гладких и ультратонких (от 2 до 5 нм по толщине слоя железа) пленок FeSi при твердофазном росте на поверхности кремния. Интенсивность пика 210 FeSi максимальная для образца A с самой тонкой пленкой FeSi (рис. 2а). По мере увеличения толщины от образца B к образцам C и D интенсивность пика уменьшается. Это свидетельствует об уменьшении объема кристаллической фазы в пленках с увеличением толщины слоя осажденного железа после отжига при 350°С, несмотря на возрастающее время их отжига. Анализ морфологии пленок на образцах C и D (рис. 1в, г) показывает неограненные зерна силицида на поверхности, что свидетельствует о возрастающем вкладе неупорядоченного моносилицида железа с возможным избытком железа.
Рис. 2. Дифрактограммы образцов A (1), B (2), C (3), D (4) (а) и E (5), F (6) (б). Для удобства восприятия кривые сдвинуты по шкале интенсивности.
На рис. 2б представлены дифрактограммы образцов E и F, выращенных методом МЛЭ. Помимо вкладов подложки Si(111) (пики 111 и 222) видны пики силицида FeSi с кубической решеткой (пр. гр. P213) при углах 2θ 34.7°–34.76°, 45.01°, 49.94° и 73.13°–73.3°. На всех дифрактограммах основные пики FeSi 111 и 222. Это значит, что на обоих образцах пленка FeSi выросла эпитаксиально и для нее выполняется соотношение: FeSi(111)||Si(111). Появление очень слабых пиков 210, как в случае образцов A, B, C и D (табл. 1, рис. 2а), и 211 указывает на наличие разориентированных нанокристаллов FeSi в пленках, выращенных методом МЛЭ. Наибольшая интенсивность пиков 111 и 222 наблюдается в случае образца F. Для этого образца толщины осажденных пленок Si и Fe, соответственно, 13.3 и 10.8 нм (табл. 1). Отношение толщин Si/Fe = 1.24, что меньше, чем требуется для формирования FeSi (Si/Fe = 1.7). Однако это не помешало росту эпитаксиальной пленки FeSi(111), так как недостающие атомы Si поступали в растущую пленку из подложки Si(111) вследствие диффузии при температуре подложки 350°С [38], что способствовало увеличению шероховатости пленки (табл. 1) и границы раздела, поскольку глубины проколов в пленке больше, чем ее толщина (рис. 1е). Толщина выращенной пленки FeSi, вычисленная по толщине осажденной пленки Fe, равна 20.4 нм (табл. 1) (отношение толщин FeSi/Fe = 1.892). В случае образца E интенсивность пиков FeSi 111 и 222 оказалась меньше. Толщины осажденных пленок Si и Fe 8.55 и 6.73 нм (табл. 1) меньше, чем в образце F, а значит, толщина выращенной пленки FeSi (12.7 нм) тоже меньше. Поэтому меньшая интенсивность пиков на дифрактограмме образца E (рис. 2б) связана с меньшей толщиной пленки FeSi, а не ухудшением ее кристаллического качества. Стоит отметить, что для этого образца отношение толщин, равное Si/Fe = 1.27, меньше, чем требуется для FeSi, следовательно, недостающие атомы Si также поступали из подложки за счет диффузии [38]. Пики, относящиеся к оксидам железа (FeO и Fe3O4) [39, 40], на дифрактограммах всех образцов не обнаружены (рис. 2а, б), что подтверждает возможность только незначительного окисления пленок FeSi, которое не влияет, как подтверждено далее, на транспортные свойства и удельное сопротивление.
Транспортные свойства сверхтонких и тонких пленок FeSi, выращенных методом ТФЭ на подложке Si(111), были исследованы на двух установках (Teslatron TP и “Криотел”) для сопряжения данных о проводимости в более широком диапазоне температур от 1.5 до 450 К. Отдельно для образцов, выращенных методом МЛЭ, были проведены температурные измерения проводимости только на первой установке в диапазоне температур 1.5–300 К. Обработанные данные приведены на рис. 3 для сравнения. Расширенные в диапазоне температур исследования были проведены для образцов A, B, C и D, которые на рис. 3а обозначены, соответственно, как A + T и B + T. Видно, что с небольшими сдвигами значений удельного сопротивления указанные образцы в области перекрытия двух диапазонов (110–300 К) повторяют ход температурных зависимостей. Различие в абсолютных величинах при одинаковых заданных толщинах пленок FeSi связано с различиями в контактных сопротивлениях и коэффициентах формы, которые используют для расчетов методом Ван-дер-Пау [36] малых образцов с размерами 2 × 2 мм (ультразвуковая компрессия контактов) и по четырехточечной схеме с линейным расположением прижимных контактов на образце с размерами 5 × 15 мм. Для сверхтонкой пленки FeSi толщиной 3.2 нм (рис. 3а, образец А) обнаружена немонотонная зависимость удельного сопротивления от температуры с минимумом при 120 К и двумя максимумами при 230 и 50 К. Аналогичные минимум и широкий максимум наблюдаются при измерениях на установке “Криотел”, но с достаточно большим сдвигом по температуре. Это связано с различным способом измерения температуры на двух установках и меньшей точностью измерения термопарой хромель-алюмель в газовой среде в массивном держателе по сравнению с измерением температуры в вакууме на установке Teslatron TP с помощью платинового термометра сопротивления. Наблюдающийся максимум удельного сопротивления при 250 К с дальнейшим его уменьшением при снижении температуры может быть объяснен формированием в сверхтонкой и упорядоченной пленке FeSi волны зарядовой плотности, что является квантовым эффектом [41], который ранее для FeSi в виде монокристаллов и объемных поликристаллов не наблюдался [1–12]. Увеличение удельного сопротивления ñ с понижением температуры от 120 до 50 К, по- видимому, связано с переходом металл–диэлектрик (эффект Кондо [2, 15]), который в монокристалле FeSi более выражен и составляет до шести порядков [25]. А участок повышения ñ(T) в диапазоне температур ниже 30 К не укладывается в модель Мотта [42] для описания переноса носителей в неупорядоченном полупроводнике с помощью прыжков с переменной длиной в расширенном температурном диапазоне (ρ = ρ0(T0/T)1/4) и в модель Эфроса–Шкловского [43], учитывающую электронно-электронное взаимодействие через кулоновскую щель (ρ = ρ0exp(T0/T)1/2). В рассмотренном случае показатель степени очень мал (0.03–0.04) и не удовлетворяет обеим моделям [42, 43], поэтому другим эффектом, объясняющим данный участок, может быть эффект слабой локализации [44]. Температурная зависимость удельного сопротивления образца B с большей толщиной пленки 7.8 нм (табл. 1) носит аналогичный характер (рис. 3а, кривая А), но на ней отсутствует широкий пик в диапазоне температур 150–300 К, который также не просматривается при измерениях на установке “Криотел” (рис. 3а, кривая А + Т). Образец С не продемонстрировал заметной зависимости в области температур 110–300 К, что может свидетельствовать о наличии на поверхности ультратонкого слоя аморфного нестехиометрического силицида с избытком железа поверх слоя стехиометрического FeSi (рис. 2а). Температурная зависимость удельного сопротивления образца D, выращенного методом ТФЭ с максимальной толщиной слоя железа (20 нм), носит полуметаллический характер [45]. Оно падает с уменьшением температуры и не выходит на насыщение при 110 К (рис. 3а). Измерения на установке “Криотел” хорошо согласуются по характеру зависимости в области температур 110–300 К. Учитывая уменьшение шероховатости пленок на образцах C и D (табл. 1) и резко изменившийся характер температурной зависимости удельного сопротивления в расширенном диапазоне температур (кривые C и D) (рис. 3а), можно предположить, что компенсирующий вклад неупорядоченного слоя моносилицида железа с избытком атомов железа, превышающий вклад стехиометрического слоя FeSi, сильно уменьшает удельное сопротивление с ростом толщины пленок при всех температурах. Это подчеркивает незначительность окисления. В случае пленок FeO и Fe3O4 [39, 40], сформированных магнетронным распылением железа и кислорода при комнатной температуре и лазерной абляцией железа при 450°С, удельное сопротивление изменяется от сотен мкОм∙см до десятков мОм∙см при комнатной температуре, что в несколько сотен раз выше удельного сопротивления выращенных пленок FeSi (рис. 3), измеренного после месяца их хранения на воздухе.
Рис. 3. Температурные зависимости удельного сопротивления образцов A (1), A + T (2), B (3), B + T (4), C (5), D (6) (а) и E (7), F (8) (б) с пленками FeSi. Кривые 1, 3, 7 и 8 измерены на установке Teslatron TP (Т = 1.5–300 К), а кривые 2, 4, 5 и 6 – на установке “Криотел” (Т = 110–450 К).
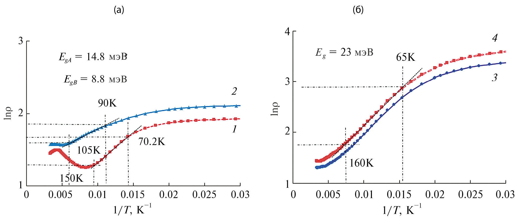
Построение для образцов А и В зависимостей lnρ = f(1/T) (рис. 4а) в области температур от 300 до 34 К позволило выделить прямые активационные участки, которые отвечают за полупроводниковый характер проводимости [46], и определить ширины запрещенной или примесной зон для выращенных пленок FeSi. В случае пленки на образце А линейный участок наблюдался в диапазоне температур 70.2–100 К (рис. 4а), что соответствовало ширине запрещенной зоны EgA = 14.8 мэВ. В случае образца В этот участок наблюдался в интервале температур 100–150 К (рис. 4а) и характеризовался величиной EgB = 8.8 мэВ. Полученные значения заметно меньше, чем для монокристалла FeSi [30]. Но аналогичные температурные зависимости удельного сопротивления не были ранее получены для тонких пленок FeSi (5–60 нм), закрытых слоями MgO [33]. Поэтому наблюдаемое снижение ширины запрещенной зоны может быть связано с эффектом толщины, напряжений в выращиваемых сверхтонких пленках или формированием примесной зоны в районе уровня Ферми за счет вклада дополнительных атомов железа, растворенного в неупорядоченном слое нестехиометрического FeSi, находящегося поверх слоя кристаллического FeSi. В последнем случае при снижении температуры и движении уровня Ферми в сторону от примесной зоны вклад примесной проводимости уменьшается.
Рис. 4. Зависимости lnρ от обратной температуры для образцов А (1), В (2) (а) и E (3), F (4) (б) для определения ширины запрещенной зоны выращенных пленок на выделенных прямолинейных участках.
Образцы E и F, выращенные методом МЛЭ, также показали слабое увеличение удельного сопротивления с уменьшением температуры от 300 до 100 К (рис. 3б). При дальнейшем уменьшении температуры (50 < Т < 100 К) наблюдается шести–семикратный рост удельного сопротивления с последующим уменьшением наклона и без достижения насыщения в случае обоих образцов, что коррелирует с кондо-взаимодействием [15, 16] при наличии магнитных примесей в виде растворенного железа. Образцы A и B, выращенные методом ТФЭ, имеют меньшее удельное сопротивление при температурах 1.5–50 К по сравнению с образцами E и F, выращенных методом МЛЭ. Слабое увеличение ñ(Т) при Т < 50 К также нельзя объяснить моделями Мотта [42] и Эфроса–Шкловского [43] (показатель степени составляет 0.067–0.07), оно может быть связано с эффектом слабой локализации [44], как в образцах А и В.
Аналогичные расчеты в области ширины запрещенной зоны были проведены в температурном диапазоне 65–160 К (рис. 4б) для более толстых пленок FeSi, выращенных методом МЛЭ при 350°С. Для этих пленок участок зависимостей lnñ = f(1/T) [46] имел примерно одинаковый наклон, средняя ширина запрещенной зоны составила Eg = 23 мэВ, что уже сравнимо с данными для монокристалла FeSi (Eg = 35 мэВ) [30]. Сравнение удельных сопротивлений пленок FeSi в образцах A, B, E и F (рис. 3) при температурах 1.5–2.0 К с аналогичными данными для пленок FeSi, закрытых слоями MgO и имеющих контактные площадки для измерений удельного сопротивления [33], показало достаточно близкое совпадение толщин от 5 до 40 нм. Это дополнительно подтверждает корректность измерений незакрытых пленок FeSi различной толщины и подтверждает их достаточную устойчивость к окислению на воздухе, поскольку низкотемпературные измерения удельного сопротивления были завершены примерно через месяц после их выгрузки из ростовой камеры.
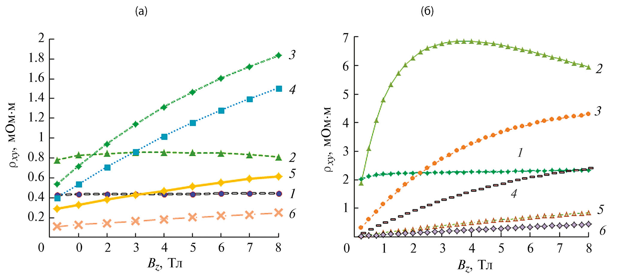
Измерения эффекта Холла в широком диапазоне температур (10–300 К) и магнитных полей (0.25–8.0 Тл) на двух образцах FeSi с пленками, выращенными разными методами – ультратонком (образец А) и тонком (образец F), показали, что коэффициент Холла сохраняется положительным во всем диапазоне температур и полей и соответствует дыркам как основным носителям. Полевые зависимости холловского удельного сопротивления ρxy(B) обоих образцов отклоняются от линейной зависимости при температурах ниже 240 К (рис. 5) с последующим выходом на насыщение при 120–160 К, отрицательным наклоном в магнитном поле выше 4 Тл и выходом на независимую от поля величину ρxy при температурах 10–30 К. Насыщение зависимости ρxy(B) и выход на отрицательный наклон отвечает аномальному эффекту Холла [36], а независимость ρxy от магнитного поля может соответствовать слабой локализации носителей [44].
Рис. 5. Зависимости холловского сопротивления ρxy образцов А (а) и F (б) с пленками FeSi толщиной 3.2 и 20.4 нм от индукции магнитного поля (Bz) при температурах: 10 (1); 60 (2); 120 (3); 160 (4); 240 (5); 300 К (6).
Магнитные измерения двух образцов A и F, выращенных методами ТФЭ и МЛЭ соответственно, были также проведены при комнатной температуре в магнитном поле от 100 до 500 мТл. Использование фильтра Савицкого–Голея [47] позволило усреднить измеренные данные. Для двух направлений магнитного поля в образцах ввиду ограниченного количества точек (80–100) получены не очень гладкие кривые с указанием усов погрешностей при использовании сглаживающего полинома пятой степени и интервале, состоящем из 25 точек (рис. 6). В случае образца А формируется петля гистерезиса с выходом на насыщение с очень малым (на пределе чувствительности) магнитным моментом при двух направлениях магнитного поля (рис. 6а), что не наблюдалось ранее при комнатной температуре в случае незащищенных тонких образцов FeSi [29], а магнитные и ферромагнитные свойства монокристаллов связывали с формированием на основе примесных атомов железа наночастиц – ферронов и их упорядоченной решетки при температурах ниже 7 К [23, 24]. В магнитном поле (±1.2 мТл), перпендикулярном плоскости пленки, магнитный момент резко возрастает до ±(1.6–1.7) мкА/м, затем уменьшается его наклон, а потом начиная с ±40 мТл наступает насыщение ±(3.6–3.7) мкА/м, коэрцитивная сила близка к нулю. В магнитном поле, ориентированном в плоскости пленки (образец F), магнитный момент примерно в 1.7 раз меньше (рис. 6б), практически линейно (как у парамагнетика) зависит от магнитной индукции в интервале от –50 до +50 мТл, но с большими шумами (на пределе чувствительности установки) и далее выходит на насыщение после ±50 мТл. Полученная величина магнитного момента насыщения выращенных пленок примерно на три порядка меньше магнитного момента поликристаллических пленок Fe3O4 (FeO) на покровном стекле [39] и монокристаллическом GaAs [40] при меньших в 20–30 раз толщинах. Это сравнение показывает, что оксид железа, который мог сформироваться на поверхности пленки FeSi за счет длительного окисления при комнатной температуре, не может вносить заметный вклад в измеряемый магнитный момент, который определяется магнитными свойствами самих кристаллитов FeSi или встроенных атомов железа на границах между ними. Ультратонкая пленка FeSi на образце А имеет ось легкого намагничивания, перпендикулярную плоскости пленки (рис. 6а), что свидетельствует о ее мягком ферромагнитном состоянии и быстрой ориентации доменов перпендикулярно подложке. В качестве доменов могут выступать отдельные кристаллиты FeSi, обогащенные атомами железа, поскольку стехиометрический FeSi не обладает ферромагнитными свойствами при комнатной температуре [1, 10, 29]. Намагничивание в поле вдоль пленки носит другой характер. В малых полях оно близко к парамагнитному типу намагничивания, а в больших полях наблюдается насыщение магнитного момента, характерное для ферромагнетиков, что можно объяснить наличием встроенных атомов железа на межзеренных границах в поликристаллической пленке.
Рис. 6. Зависимости магнитного момента m от магнитной индукции В (точки) в плоскости пленки (1) и перпендикулярно ей (2) для образцов А (а) и F (б) с пленками FeSi толщиной 3.2 и 20.4 нм при комнатной температуре. Сглаживание ветвей магнитных петель (кривые) проведено в рамках фильтра Савицкого–Голея [47].
Анализ при комнатной температуре зависимостей магнитного момента образца F с пленкой FeSi толщиной 20.4 нм от индукции магнитного поля в интервале от –500 до +500 мТл в плоскости пленки и перпендикулярно ей показал сравнимые величины намагниченности (рис. 6б). Наблюдается нелинейность характеристик и их несимметричность относительно начала координат. В качестве более легкой оси намагничивания пленки прослеживается направление вдоль пленки, что связано с формированием крупных кристаллитов FeSi до единиц микрон (рис. 1е, д). Однако величина магнитного момента насыщения практически не изменилась (рис. 6б) по сравнению с ультратонкой пленкой FeSi (рис. 6а), что свидетельствует о схожем механизме ферромагнетизма, связанном с непрореагировавшими атомами железа на границах сросшихся зерен или входящими в состав моносилицида, незначительно обогащенного железом. То есть измеренные магнитополевые зависимости однозначно подтверждают магнитные свойства выращенной методом МЛЭ пленки толщиной 20.4 нм, что нехарактерно для монокристаллов и пленок FeSi, закрытых тонким слоем аморфного кремния [29].
ЗАКЛЮЧЕНИЕ
Методом твердофазной эпитаксии на кремнии с ориентацией (111) при температуре отжига 350°С выращены ультратонкие поликристаллические пленки FeSi с минимальной толщиной 3.2 нм, обладающие малой среднеквадратичной шероховатостью (1.05 нм), что подтверждает их сплошность. Данные рентгеновской дифракции показали, что увеличение толщины слоя железа и длительности отжига при температуре 350°С приводит к формированию поликристаллической пленки FeSi с постепенным снижением шероховатости за счет увеличения слоя неупорядоченного моносилицида железа с возможным избытком железа. Это подтверждено резким снижением удельного сопротивления ñ и проявлением полуметаллического характера проводимости при толщинах осажденного железа 10 и 20 нм.
Установлен немонотонный характер температурной зависимости удельного сопротивления ñ ультратонкой пленки FeSi (образец А), на котором выделены максимум при 230–240 К, участки падения до 160 К (металлический характер) и роста ñ от 160 до 65 К с шириной запрещенной зоны 14.8 мэВ, минимум при 120 К, излом при 50 К и участок дальнейшего плавного роста ñ(T) без насыщения при уменьшении температуры до 1.5 К. Такое поведение предполагает сочетание нескольких эффектов, наблюдающихся в пленке по мере увеличения температуры от 1.5 до 300 К: слабой локализации (1.5–30 К); кондо-взаимодействия при уменьшении температуры (50–160 К) за счет присутствия магнитных примесей (проявление ферромагнетизма с очень малой коэрцитивной силой в пленке при комнатной температуре и аномального эффекта Холла при температурах 60–160 К); волны зарядовой плотности при 200–300 К в виде максимума на кривой ρ(T) за счет напряжений в пленке. Этот максимум пропадает уже в пленке FeSi толщиной около 7.8 нм (образец В), что подтверждают также высокотемпературные измерения удельного сопротивления до 450 К, но возможность кондо-взаимодействия с открытием минимальной ширины запрещенной (примесной) зоны (Eg = 8.8 мэВ) и слабой локализации в пленке остаются.
В пленках FeSi, выращенных методом МЛЭ при 350°С (образцы E и F), реализуется эпитаксиальная ориентация FeSi(111)||Si(111) для коалесцировавших крупных зерен (0.5–1.0 мкм). На температурных зависимостях удельного сопротивления наблюдаются только два участка с ростом температуры, что можно предварительно объяснить слабой локализацией при 1.5–30 К и открытием запрещенной зоны Eg = 23 мэВ при кондо-взаимодействии (40–160 К) за счет примесных атомов железа или оборванных связей железа при сопряжении FeSi с решеткой кремния. Последнее подтверждают аномальный эффект Холла, возникающий при температурах 60–160 К, и слабо выраженные магнитные свойства эпитаксиальной пленки FeSi толщиной 20.4 нм при комнатной температуре, что не характерно для монокристаллов и пленок FeSi, закрытых тонким слоем аморфного кремния.
Полученные результаты доказали возможность роста и управления свойствами ультратонких пленок FeSi на кремнии, полученных методом ТФЭ, за счет сохранения в них напряжений, связанных с частичным рассогласованием решеток FeSi(210) и Si(111), или за счет релаксации кристаллической структуры пленки FeSi(111) при росте на Si(111) методом МЛЭ, что обеспечило появление уникальных транспортных и магнитных свойств, отсутствующих у монокристаллов.
ФИНАНСИРОВАНИЕ РАБОТЫ
Работа выполнена при поддержке РНФ (грант № 22-12-00036). Авторы благодарят администрации ИХ ДВО РАН, ИНТПМ ДВФУ и НИТУ МИСиС за возможность проведения, соответственно, исследований методом рентгеновской дифракции, магнитных измерений и высокотемпературных измерений удельного сопротивления образцов с пленками FeSi.
Конфликт интересов. Авторы заявляют, что у них нет конфликта интересов.
About the authors
N. G. Galkin
Institute of Automation and Control Processes, FEB RAS
Author for correspondence.
Email: galkin@iacp.dvo.ru
Russian Federation, 690041, Vladivostok
I. M. Chernev
Institute of Automation and Control Processes, FEB RAS
Email: galkin@iacp.dvo.ru
Russian Federation, 690041, Vladivostok
E. Yu. Subbotin
Institute of Automation and Control Processes, FEB RAS
Email: jons712@mail.ru
Russian Federation, 690041, Vladivostok
O. A. Goroshko
Institute of Automation and Control Processes, FEB RAS
Email: galkin@iacp.dvo.ru
Russian Federation, 690041, Vladivostok
S. A. Dotsenko
Institute of Automation and Control Processes, FEB RAS
Email: galkin@iacp.dvo.ru
Russian Federation, 690041, Vladivostok
A. M. Maslov
Institute of Automation and Control Processes, FEB RAS
Email: galkin@iacp.dvo.ru
Russian Federation, 690041, Vladivostok
K. N. Galkin
Institute of Automation and Control Processes, FEB RAS
Email: galkin@iacp.dvo.ru
Russian Federation, 690041, Vladivostok
O. V. Kropachev
Institute of Automation and Control Processes, FEB RAS
Email: galkin@iacp.dvo.ru
Russian Federation, 690041, Vladivostok
D. L. Goroshko
Institute of Automation and Control Processes, FEB RAS
Email: galkin@iacp.dvo.ru
Russian Federation, 690041, Vladivostok
A. Yu. Samardak
Far Eastern Federal University
Email: galkin@iacp.dvo.ru
Institute of High Technologies and Advanced Materials
Russian Federation, 690922, Vladivostok, Russian Isl.A. V. Gerasimenko
Institute of Chemistry FEB RAS
Email: galkin@iacp.dvo.ru
Russian Federation, 690022, Vladivostok
E. V. Argunov
National Research Technological University “MISIS”
Email: galkin@iacp.dvo.ru
Russian Federation, 119049, Moscow
References
- Jaccarino V., Wertheim G.K., Wernick J.H., Walker L.R., Arajs S. // Phys. Rev. 1967. V. 160. P. 476. https://www.doi.org/10.1103/PhysRev.160.476
- Aeppli G., Fisk Z., Thompson J.D, Mandrus D., Hund-ley M.F., Miglori A., Bucher B., Schlesinger Z., Aeppli G., Bucher E., DiTusa J.F., Oglesby C.S., Ott H-R., Canfi-eld P.C., Brown S.E. // Comments Condens. Matter Phys. 1992. V. 16. P. 155. https://www.doi.org/10.1016/0921-4526(94)00588-M
- Schlesinger Z., Fisk Z., Zhang H.-T., Maple M.B., DiTusa J.F., Aeppli G. // Phys. Rev. Lett. 1993. V. 71. P. 1748. https://www.doi.org/10.1103/PhysRevLett.71.1748
- Degiorgi L., Hunt M.B., Ott H.R., Dressel M., Feenstra B.J., Gruner G., Fisk Z., Canfield P. // Europhys. Lett. 1994. V. 28. P. 341. https://www.doi.org/10.1209/0295-5075/28/5/008
- Damascelli A., Schulte K., Van der Marel D., Menov-sky A.A. // Phys. Rev. B. 1997. V. 55. P. R4863. https://www.doi.org/10.1103/PhysRevB.55.R4863
- Fäth M., Aarts J., Menovsky A.A., Nieuwenhuys G.J., Mydosh J.A. // Phys. Rev. B. 1998. V. 58. P. 15483. https://www.doi.org/10.1103/PhysRevB.58.15483
- Samuely P., Szabó P., Mihalik M., Hudáková N., Menovsky A.A. // Physica B. 1996. V. 218. P. 185. https://www.doi.org/10.1016/0921-4526(95)00589-7
- Lacerda A., Zhang H., Canfield P.C., Hundley M.F., Fisk Z., Thompson J.D., Seaman C.L., Maple M.B., Aeppli G. // Physica B. 1993. V. 186–188. P. 1043. https://www.doi.org/10.1016/0921-4526(93)90780-A
- Breuer K., Messerli S., Purdie D., Garnier M., Hengsberger M., Baer Y., Mihalik M. // Phys. Rev. B. 1997. V. 56. P. R7061. https://www.doi.org/10.1103/PhysRevB.56.R7061
- Tajima K., Endoh Y., Fischer J.E., Shirane G. // Phys. Rev. B. 1988. V. 38. P. 6954. https://www.doi.org/10.1103/PhysRevB.38.6954
- Beille J., Voiron J., Roth M. // Solid State Commun. 1983. V. 47. P. 399. https://www.doi.org/10.1016/0038-1098(83)90928-6
- Takahashi Y., Moriya T. // J. Phys. Soc. Jpn. 1979. V. 46. P. 1451. https://www.doi.org/10.1143/JPSJ.46.1451
- Takahashi Y., Tano M., Moriya T. // J. Magn. Magn. Mater. 1983. V. 31. P. 329. https://www.doi.org/10.1016/0304-8853(83)90266-4
- Evangelou S.N., Edwards D.M. // J. Phys. C. 1983. V. 16. P. 2121. https://www.doi.org/10.1088/0022-3719/16/11/015
- Fisk Z., Sarrao J.L., Thompson J.D., Mandrus D., Hundley M.F., Migliori A., Bucher B., Schlesinger Z., Aeppli G., Bucher E., DiTusa J.F., Oglesby C.S., Ott H.R., Canfield P.C., Brown S.E. // Physica B. 1995. V. 206–207. P. 798. https://www.doi.org/10.1016/0921-4526(94)00588-M
- Varma C.M. // Phys. Rev. B. 1994. V. 50. P. 9952. https://www.doi.org/10.1103/PhysRevB.50.9952
- Fu C., Doniach S. // Phys. Rev. B. 1995. V. 51. P. 17439. https://www.doi.org/10.1103/PhysRevB.51.17439
- Anisimov V.I., Ezhov S.Y., Elfimov I.S., Solovyev I.V., Rice T.M. // Phys. Rev. Lett. 1996. V. 76. P. 1735. https://www.doi.org/10.1103/PhysRevLett.76.1735
- Jarlborg T. // Phys. Rev. Lett. 1996. V. 77. P. 3693. https://www.doi.org/10.1103/PhysRevLett.77.3693
- Klein M., Zur D., Menzel D., Schoenes J., Doll K., Roder J., Reinert F. // Phys. Rev. Lett. 2008. V. 101. P. 046406. https://www.doi.org/10.1103/PhysRevLett.101.046406
- Khmelevskyi S., Kresse G., Mohn P. // Phys. Rev. B. 2018. V. 98. P. 125205. https://www.doi.org/10.1103/PhysRevB.98.125205
- Neef M., Doll K., Zwicknagl G. // J. Phys.: Condens. Matter. 2006. V. 18. P. 7437. https://www.doi.org/10.1088/0953-8984/18/31/035
- Glushkov V.V., Demishev S.V., Kondrin M.V., Pronin A.A., Voskoboinikov I.B., Sluchanko N.E., Moshchalkov V.V., Menovsky A.A. // Physica B. 2002. V. 312–313. P. 509. https://www.doi.org/10.1016/S0921-4526(01)01329-1
- Glushkov V.V., Voskoboinikov I.B., Demishev S.V., Krivitskii I.V., Menovsky A., Moshchalkov V.V., Sama-rin N.A., Sluchanko N.E. // J. Experim. Theor. Phys. 2004. V. 99. P. 394. https://www.doi.org/10.1134/1.1800197
- Arita M., Shimada K., Takeda Y., Nakatake M. Namatame H., Taniguchi M., Negishi H., Oguchi T., Saitoh T., Fujimori A.M., Kanomata T. // Phys. Rev. B. 2008. V. 77. P. 205117. https://www.doi.org/10.1103/PhysRevB.77.205117
- Eo Y.S., Avers K., Horn J.A., Yoon H., Saha S., Suarez A., Fuhrer M.S., Paglione J. arXiv:2302.09996v1 [cond-mat.str-el] https://www.doi.org/110.48550/arXiv.2302.09996
- Klein M., Zur D., Menzel D., Schoenes J., Doll K., Röder J., Reinert F. // Phys. Rev. Lett. 2008. V. 101. P. 046406. https://www.doi.org/10.1103/PhysRevLett.101.046406
- Tomczak J.M., Haule K., Kotliar G. // PNAS. 2012. V. 109. P. № 9. P. 3243. https://www.doi.org/10.1073/pnas.1118371109
- Fang Y., Ran S. // PNAS. 2018. V. 115. № 34. P. 8558. https://www.doi.org/10.1073/pnas.1806910115
- Changdar S., Aswartham S., Bose A., Kushnirenko Y., Shipunov G., Plumb N. C., Shi M., Narayan A., Büchner B., Thirupathaiah S. // Phys. Rev. B. 2020. V. 101. P. 235105. https://www.doi.org/10.1103/physrevb.101.235105
- Breindel A.J., Deng Y., Moir C.M., Maple M.B. // PNAS. 2023. V. 120. № 8. P. e2216367120. https://www.doi.org/10.1073/pnas.2216367120
- Rakoski A., Eo Y.S., Kurdak C., Kang B., Song M., Cho B. // J. Supercond. Novel Magn. 2019. V. 33. № 1. P. 265. https://www.doi.org/10.1007/s10948-019-05281-8
- Ohtsuka Y., Kanazawa N., Hirayama M., Matsui A., Nomoto T., Arita R., Nakajima T., Hanashima T., Ukleev V., Aoki H., Mogi M., Fujiwara K., Tsukazaki A., Ichikawa M., Kawasaki M., Tokura Y. // Sci. Adv. 2021. V. 7. P. eabj0498. https://www.doi.org/10.1126/sciadv.abj0498
- Rashba E.I. // Sov. Phys. Solid State. 1960. V. 2. P. 1109.
- Hori T., Kanazawa N., Hirayama M., Fujiwara K., Tsukazaki A., Ichikawa M., Kawasaki M., Tokura Y. // Adv. Mater. 2023. V. 35. P. 2206801. https://www.doi.org/10.1002/adma.202206801
- Кучис Е.В. Гальваномагнитные эффекты и методы их исследования. М.: Радио и связь, 1990. 264 с.
- Crystallography Open Database (COD). https://www.crystallography.net/cod/result.php
- Vinh L.T., Chevrier J., Derrien J. // Phys. Rev. B. 1992. V. 46. P. 15946. https://www.doi.org/10.1103/PhysRevB.46.15946
- Mi W.B., Liu H., Li Z.Q.,Wu P., Jiang E.Y., Bai H.L. // J. Phys. D. 2006. V. 39. P. 5109. https://www.doi.org/10.1088/0022-3727/39/24/002
- Prakash R., Choudhary R.J., Sharath Chandra L.S., Lakshmi N., Phase D.M. // J. Phys.: Condens. Matter. 2007. V. 19. P. 486212. https://www.doi.org/10.1088/0953-8984/19/48/486212
- Thorne R.E. // Phys. Today. 1996. V. 49. № 5. P. 42. https://www.doi.org/10.1063/1.881498
- Mott N.F. // Philosoph. Magazine: J. Theor. Experim. Appl. Phys. 1969. V. 19. № 160. P. 835. https://www.doi.org/10.1080/14786436908216338
- Efros A.L. // J. Phys. C. 1975. V. 8. № 4. P. L49. https://www.doi.org/10.1088/0022-3719/8/4/003
- Altshuler B.L., Khmel'nitzkii D., Larkin A.I., Lee P.A. // Phys. Rev. B. 1980. V. 22. P. 5142. https://www.doi.org/10.1103/PhysRevB.22.5142
- Shevlyagin A.V., Galkin N.G., Galkin K.N., Subbotin E.Y., Il’yaschenko V.M., Gerasimenko A.V., Tkachenko I.A. // J. Alloys Compd. 2022. V. 910. P. 164893. https://www.doi.org/10.1016/j.jallcom.2022.164893
- Смит Р. Полупроводники. М.: Мир, 1982. 560 с.
- Savitzky A., Golay M.J. // Anal. Chem. 1964. V. 36. Р. 1627. https://www.doi.org/10.1021/ac60214a047
Supplementary files








