The SKIF X-Techno Beamline Project
- Authors: Nazmov V.P.1,2, Goldenberg B.G.1,3
-
Affiliations:
- Budker Institute of Nuclear Physics of SB RAS
- Institute of Solid State Chemistry and Mechanochemistry of SB RAS
- Shared-Use Center “SKIF” at the Boreskov Institute of Catalysis of SB RAS
- Issue: No 11 (2023)
- Pages: 107-112
- Section: Articles
- URL: https://journals.rcsi.science/1028-0960/article/view/232230
- DOI: https://doi.org/10.31857/S1028096023110158
- EDN: https://elibrary.ru/WEUQEK
- ID: 232230
Cite item
Full Text
Abstract
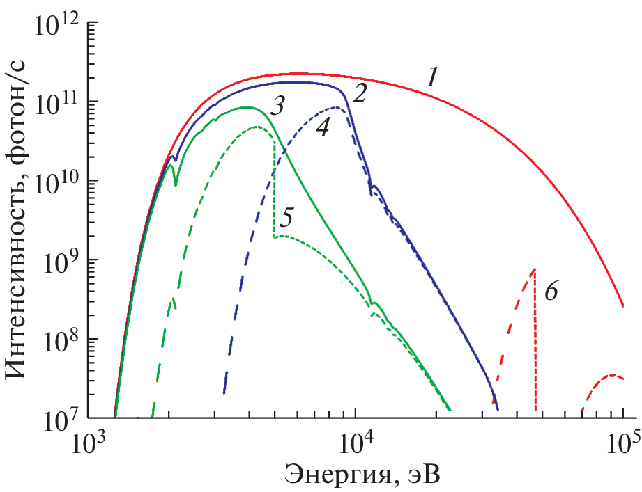
Beamlines nowadays installed at synchrotron radiation centers typically pose different and sometimes even incompatible requirements to X-ray beams being utilized. Some techniques require minimum attainable beam cross-sections in order to enable microbeam techniques with the sample mapping. To the contrary, relatively broad X-ray beams with the uniform intensity distribution are needed to address problems related to X-ray irradiation-based processing of materials or fabrication of components and devices with X-ray lithography approaches. The present paper describes the concept of a novel beamline named X-Techno proposed for the synchrotron radiation facility SKIF. It would use synchrotron beams as wide as 100 mm in the horizontal plane in different spectral ranges with either out of three experimental chambers to study materials and manufacture micro and nanostructures. The beamline will be specifically suitable for studies of physicochemical properties of materials under intense X-ray irradiation within the spectral range from 2 to 70 keV.
About the authors
V. P. Nazmov
Budker Institute of Nuclear Physics of SB RAS; Institute of Solid State Chemistry and Mechanochemistry of SB RAS
Author for correspondence.
Email: V.P.Nazmov@inp.nsk.su
Russia, 630090, Novosibirsk; Russia, 630090, Novosibirsk
B. G. Goldenberg
Budker Institute of Nuclear Physics of SB RAS; Shared-Use Center “SKIF” at the Boreskov Institute of Catalysis of SB RAS
Email: V.P.Nazmov@inp.nsk.su
Russia, 630090, Novosibirsk; Russia, 630559, Koltsovo
References
- ANKA Instrumentation Book (2005) Germany, Karlsruhe, http://www.fzk.de/anka/ November 2005.
- Meng X., Yu H., Wang Y., Ren J., Xue C., Yang S., Guo Z., Zhao J., Wu Y., Tai R. // J. Synchrotron Rad. 2021. V. 28. P. 902. https://www.doi.org/10.1107/S1600577521003398
- Shukla R., Kannojia H.K., Mukherjee C., Sankar P.R., Thakur B.S., Sinha A.K., Pandey D. // ISSS J. Micro Smart Systems. 2020. V. 9. P. 173. https://www.doi.org/10.1007/s41683-020-00064-z
- Kong J.R., Leonard Q.J., Vladimirsky Y., Bourdillon A.J. // Proc. of SPIE. 2000. V. 3997. P. 721. https://www.doi.org/10.1117/12.390044
- Subbotin A.N., Gaganov V.V., Kalutsky A.V., Pindyurin V.F., Nazmov V.P., Nikolenko A.D., Krasnov A.K. // Metrologia. 2000. V. 37. № 5. P. 497. https://www.doi.org/10.1088/0026-1394/37/5/34
- Chkhalo N.I., Garakhin S.A., Malyshev I.V., Polkovnikov V.N., Toropov M.N., Salashchenko N.N., Ulasevich B.A., Rakshun Ya.V., Chernov V.A., Dolbnya I.P., Raschenko S.V. // Tech. Phys. 2022. Iss. 8. P. 1075. https://www.doi.org/10.21883/TP.2022.08.54576.100-22
- Kolachevskii N.N., Pirozhkov A.S., Ragozin E.N. // Quantum Electron. 2000. V. 30. № 5. P. 428. https://www.doi.org/10.1070/QE2000v030n05ABEH001736
- Рагозин Е.Н., Вишняков Е.А., Колесников А.О., Пирожков А.С., Шатохин А.Н. Апериодические элементы в оптике мягкого рентгеновского диапазона. М.: Физматлит, 2018. 136 с.
- Weitkamp T., Zanette I., Schulz G., Bech M., Rutishausere S., Lang S., Donath T., Tapfer A., Deyhle H., Bernard P., Valade J.-P., Reznikova E., Kenntner J., Mohr J., Müller B., Pfeiffer F., David C., Baruchel J. // AIP Conf. Proc. 2011. V. 1365. P. 28. https://www.doi.org/10.1063/1.3625297
- El-Kholi A., Mohr J., Nazmov V. // Nucl. Instrum. Methods Phys. Res. A. V. 448. Iss. 1–2. P. 497. https://www.doi.org/10.1016/S0168-9002 (00)00239-4
- Wallrabe U., Saile V. LIGA technology for R&D and industrial applications. // MEMS: A practical guide to design, analysis and applications / Ed. Korvink J.G., Paul O. Berlin, Heidelberg: Springer, 2006. P. 853. https://www.doi.org/10.1007/978-3-540-33655-6_16
- Nazmov V., Reznikova E., Mohr J., Schulz J., Voigt A. // J. Mater. Process. Technol. 2015. V. 225. № 11. P. 170. https://www.doi.org/10.1016/j.jmatprotec.2015.05.030
- Nazmov V.P., Mezentseva L.A., Pindyurin V.F., Petrov V.V., Yakovleva E.N. // Nucl. Instrum. Methods Phys. Res. A. 2000. V. 448. № 1–2. P. 493. https://www.doi.org/10.1016/S0168-9002 (00)00238-2
- Goldenberg B.G., Nazmov V.P., Lemzyakov A.G. // Bull. RAS: Phys. 2019. V. 83. № 2. P. 124. https://www.doi.org/10.3103/S106287381902014X
- Goldenberg B.G., Lemzyakov A.G., Nazmov V.P., Pindyurin V.F. // Phys. Procedia. 2016. V. 84. P. 205. https://www.doi.org/10.1016/j.phpro.2016.11.036
- Reznikova E., Mohr J., Boerner M., Nazmov V., Jakobs P.-J. // Microsyst. Technol. 2008. V. 14. № 9. P. 1683. https://www.doi.org/10.1007/s00542-007-0507-x
- Nazmov V., Goldenberg B., Vasiliev A., Asadchikov V. // J. Micromech. Microeng. 2021. V. 31. № 5. P. 055011. https://www.doi.org/10.1088/1361-6439/abf331
- Nazmov V., Reznikova E., Last A., Mohr J., Saile V., Simon R., DiMichiel M. // AIP Conf. Proc. 2007. V. 879. P. 770. https://doi.org/10.1063/1.2436174
- Simon M., Reznikova E., Nazmov V., Last A., Jark W. // Proc. of SPIE. 2008. V. 7077. P. 70771Q. https://www.doi.org/10.1117/12.795423
- Nazmov V., Reznikova E., Last A., Mohr J., Saile V., DiMichiel M., Gottert J. // Nucl. Instrum. Methods Phys. Res. A. 2007. V. 582. № 1. P. 120. https://www.doi.org/10.1016/j.nima.2007.08.076




