Интенсивные лазерные источники гамма-излучения и нейтронов на основе сильноточных пучков суперпондеромоторных электронов
- Авторы: Андреев Н.Е.1,2, Умаров И.Р.1,2, Попов В.С.1,2
-
Учреждения:
- Объединенный институт высоких температур РАН
- Московский физико-технический институт (государственный университет)
- Выпуск: № 8 (2023)
- Страницы: 3-10
- Раздел: Статьи
- URL: https://journals.rcsi.science/1028-0960/article/view/137790
- DOI: https://doi.org/10.31857/S1028096023070026
- EDN: https://elibrary.ru/TDUUTJ
- ID: 137790
Цитировать
Полный текст
Аннотация
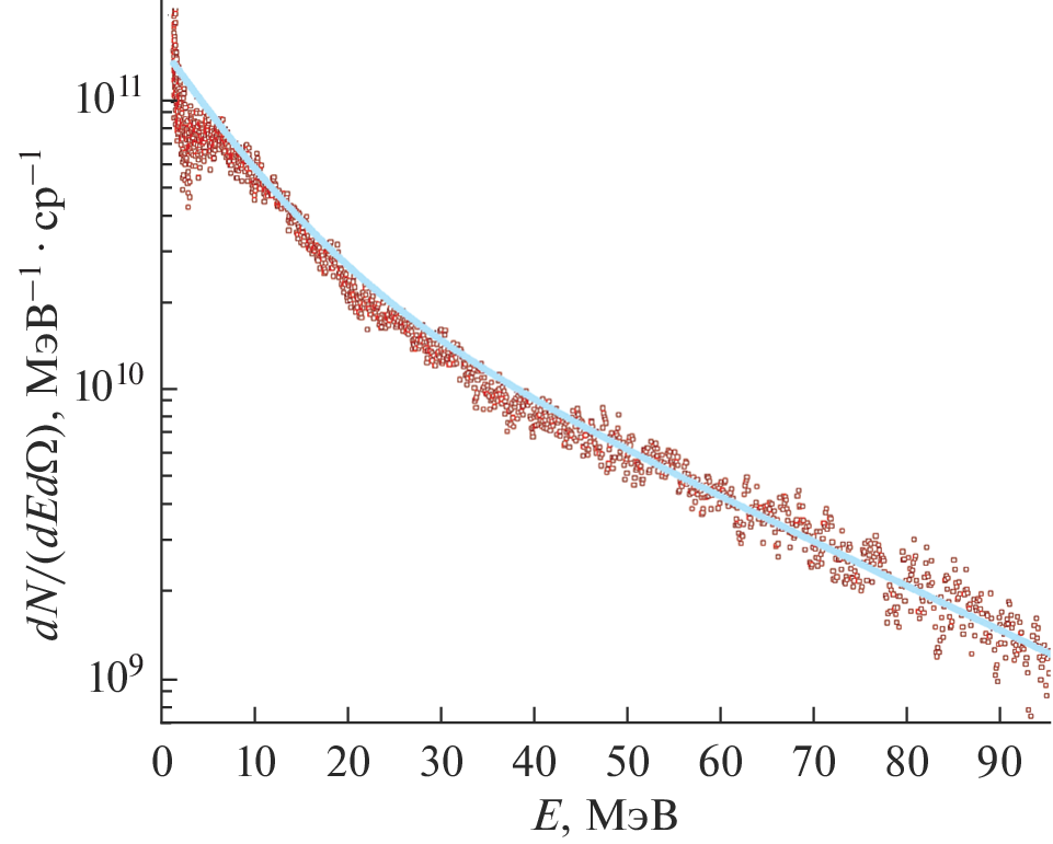
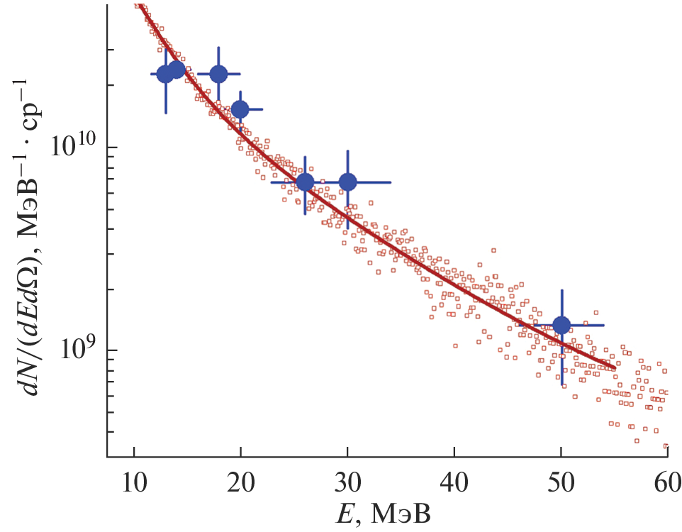
Интенсивные пучки фотонов и нейтронов в МэВ-ном диапазоне энергии являются эффективными инструментами во многих областях исследований, таких как диагностика вещества в экстремальных состояниях, ядерная физика и материаловедение, а также в медицинских и биофизических приложениях. Представлена концепция создания эффективных источников γ-излучения и нейтронов, основанная на генерации релятивистских электронов в режиме прямого лазерного ускорения при взаимодействиях лазерного импульса с интенсивностью 1019 Вт/см2 с протяженной плазмой с плотностью, близкой к критической.
Об авторах
Н. Е. Андреев
Объединенный институт высоких температур РАН; Московский физико-технический институт (государственный университет)
Автор, ответственный за переписку.
Email: andreev@ras.ru
Россия, 125412,
Москва; Россия, 141701, Московская область,
Долгопрудный
И. Р. Умаров
Объединенный институт высоких температур РАН; Московский физико-технический институт (государственный университет)
Email: andreev@ras.ru
Россия, 125412,
Москва; Россия, 141701, Московская область,
Долгопрудный
В. С. Попов
Объединенный институт высоких температур РАН; Московский физико-технический институт (государственный университет)
Email: andreev@ras.ru
Россия, 125412,
Москва; Россия, 141701, Московская область,
Долгопрудный
Список литературы
- Wang T., Ribeyre X., Gong Z., Jansen O., d’Humières E., Stutman D., Toncian T., Arefiev A. // Phys. Rev. Appl. 2020. V. 13. № 5. P. 054024. https://doi.org/10.1103/PhysRevApplied.13.054024
- Norreys P.A., Santala M., Clark E. et al. // Phys. Plasmas. 1999. V. 6. P. 2150. https://doi.org/10.1063/1.873466
- Hatchett S.P., Brown C.G., Cowan T.E. et al. // Phys. Plasmas. 2000. V. 7. № 5. P. 2076. https://doi.org/10.1063/1.874030
- Gu Y.-J., Jirka M., Klimo O., Weber S. // Matt. Radiat. Extremes. 2019. V. 4. P. 064403. https://doi.org/10.1063/1.5098978
- Pomerantz I., McCary E., Meadows A.R., Arefiev A., Bernstein A.C., Chester C., Cortez J., Donovan M.E., Dyer G., Gaul E.W., Hamilton D., Kuk D., Lestrade A.C., Wang C., Ditmire T., Hegelich B.M. // Phys. Rev. Lett. 2014. V. 113. № 18. P. 184801. https://doi.org/10.1103/PhysRevLett.113.184801
- Günther M.M., Rosmej O.N., Tavana P., Gyrdymov M., Skobliakov A., Kantsyrev A., Zähter S., Borisenko N.G., Pukhov A., Andreev N.E. // Nature Commun. 2022. V. 13. № 1. P. 170. https://doi.org/10.1038/s41467-021-27694-7
- Недорезов В.Г., Рыкованов С.Г., Савельев А.Б. // Успехи физических наук. 2021. Т. 191. № 12. С. 1281. https://doi.org/10.3367/UFNr.2021.03.038960
- Ravasio A., Koenig M., Le Pape S. et al. // Phys. Plasmas. 2008. V. 15. № 6. P. 060701. https://doi.org/10.1063/1.2928156
- Li K., Borm B., Hug F., Khaghani D., Löher B., Savran D., Tahir N.A., Neumayer P. // Laser and Particle Beams. 2014. V. 32. № 4. P. 631. https://doi.org/10.1017/S0263034614000652
- Negoita F., Roth M., Thirolf P.G. et al. // Roman. Rep. Phys. 2016. V. 68. P. S37.
- Habs D., Köster U. // Appl. Phys. B. 2010. V. 103. № 2. P. 501. https://doi.org/10.1007/s00340-010-4278-1
- Ma Z., Lan H., Liu W., Wu S., Xu Y., Zhu Z., Luo W. // Matt. Radiat. Extremes. 2019. V. 4. № 6. P. 064401. https://doi.org/10.1063/1.5100925
- Willingale L., Nilson P.M., Thomas A.G.R., Bulanov S.S., Maksimchuk A., Nazarov W., Sangster T.C., Stoeckl C., Krushelnick K. // Phys. Plasmas. 2011. V. 18. № 5. P. 056706. https://doi.org/10.1063/1.3563438
- Willingale L., Thomas A.G.R., Nilson P.M., Chen H., Cobble J., Craxton R.S., Maksimchuk A., Norreys P.A., Sangster T.C., Scott R.H.H., Stoeckl C., Zulick C., Krushelnick K. // New J. Phys. 2013. V. 15. № 2. P. 025023. https://doi.org/10.1088/1367-2630/15/2/025023
- Toncian T., Wang C., McCary E. et al. // Matt. Radiat. Extremes. 2016. V. 1. № 1. P. 82. https://doi.org/10.1016/j.mre.2015.11.001
- Pukhov A., Sheng Z.-M., Meyer-ter-Vehn J. // Phys. Plasmas. 1999. V. 6. № 7. P. 2847. https://doi.org/10.1063/1.873242
- Willingale L., Arefiev A.V., Williams G.J., Chen H., Dollar F., Hazi A. U., Maksimchuk A., Manuel M. J.-E., Marley E., Nazarov W., Zhao T. Z., Zulick C. // New J. Phys. 2018. V. 20. № 9. P. 093024. https://doi.org/10.1088/1367-2630/aae034
- Arefiev A.V., Khudik V.N., Robinson A.P.L., Shvets G., Willingale L., Schollmeier M. // Phys. Plasmas. 2016. V. 23. № 5. P. 056704. https://doi.org/10.1063/1.4946024
- Khudik V., Arefiev A., Zhang X., Shvets G. // Phys. Plasmas. 2016. V. 23. P. 103108. https://doi.org/10.1063/1.4964901
- Pugachev L., Andreev N., Levashov P., Rosmej O. // Nucl. Instrum. Methods Phys. Res. A. 2016. V. 829. P. 88. https://doi.org/10.1016/j.nima.2016.02.053
- Rosmej O.N., Andreev N.E., Zaehter S., Zahn N., Christ P., Borm B., Radon T., Sokolov A., Pugachev L.P., Khaghani D., Horst F., Borisenko N.G., Sklizkov G., Pimenov V.G. // New J. Phys. 2019. V. 21. № 4. P. 043044. https://doi.org/10.1088/1367-2630/ab1047
- Rosmej O.N., Gyrdymov M., Günther M.M., Andreev N.E., Tavana P., Neumayer P., Zähter S., Zahn N., Popov V.S., Borisenko N.G., Kantsyrev A., Skobliakov A., Panyushkin V., Bogdanov A., Consoli F., Shen X.F., Pukhov A. // Plasma Phys. Controlled Fusion. 2020. V. 62. № 11. P. 115024. https://doi.org/10.1088/1361-6587/abb24e
- Andreev N., Popov V., Rosmej O., Kuzmin A., Shaykin A., Khazanov E., Kotov A., Borisenko N., Starodubtsev M., Soloviev A. // Quantum Electronics. 2021. V. 51. № 11. P. 1019. https://doi.org/10.1070/qel17648
- Rosmej O.N., Suslov N., Martsovenko D. et al. // Plasma Phys. Controlled Fusion. 2015. V. 57. № 9. P. 094001.
- Esarey E., Schroeder C.B., Leemans W.P. // Rev. Mod. Phys. 2009. V. 81. № 3. P. 1229. https://doi.org/10.1103/RevModPhys. 81.1229
- Gonsalves A.J., Nakamura K., Daniels J. et al. // Phys. Rev. Lett. 2019. V. 122. № 8. P. 084801. https://doi.org/10.1103/PhysRevLett.122.084801
- Pukhov A. // J. Plasma Phys. 1999. V. 61. № 3. P. 425. https://doi.org/10.1017/S0022377899007515
- Borisenko N.G., Akimova I.V., Gromov A.I., Khalenkov A.M., Merkuliev Y.A., Kondrashov V.N., Limpouch J., Kuba J., Krousky E., Masek K., Nazarov W., Pimenov V.G. // Fusion Sci. Technol. 2006. V. 49. № 4. P. 676. https://doi.org/10.13182/FST06-A1185
- Agostinelli S., Allison J., Amako K. et al. // Nucl. Instrum. Methods Phys. Res. A. 2003. V. 506. № 3. P. 250. https://doi.org/10.1016/S01689002(03)01368-8
- Stoyer M.A., Sangster T.C., Henry E.A., Cable M.D., Cowan T.E., Hatchett S.P., Key M., Moran M.J., Pennington D.M., Perry M.D., Phillips T.W., Singh M.S., Snavely R.A., Tabak M., Wilks S.C. // Rev. Sci. Instrum. 2001. V. 72. № 1. P. 767. https://doi.org/10.1063/1.1319355
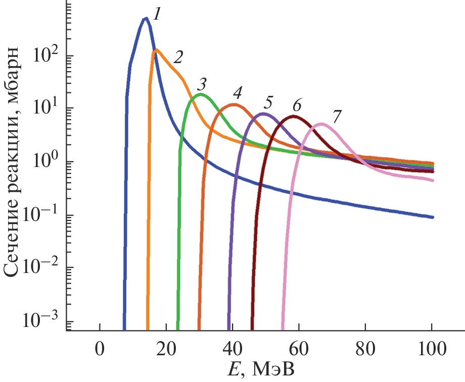
- Spicer B.M. // Advances in Nuclear Physics. V. 2. N.Y.: Springer, 1969. P. 1. https://doi.org/10.1007/978-1-4684-8343-7_1
- Zerkin V., Pritychenko B. // Nucl. Instrum. Methods Phys. Res. A. 2018. V. 888. P. 31. https://doi.org/10.1016/j.nima.2018.01.045
- Koning A.J., Hilaire S., Duijvestijn M.C. // AIP Conf. Proc. 2005. V. 769. P. 1154.
Дополнительные файлы








