Conceptual Design of a Time-of-Flight Powder Diffractometer for a Compact Neutron Source
- Authors: Moskvin E.V.1,2, Grigoryeva N.A.1, Kovalenko N.A.1,2, Grigoriev S.V.1,2
-
Affiliations:
- Saint-Petersburg State University
- Petersburg Nuclear Physics Institute named by B.P. Konstantinov of NRC “Kurchatov Institute”
- Issue: No 7 (2023)
- Pages: 77-83
- Section: Articles
- URL: https://journals.rcsi.science/1028-0960/article/view/137785
- DOI: https://doi.org/10.31857/S1028096023070105
- EDN: https://elibrary.ru/TCSHSM
- ID: 137785
Cite item
Full Text
Abstract
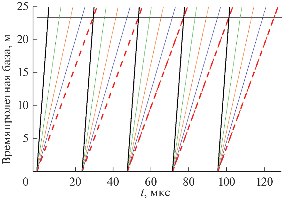
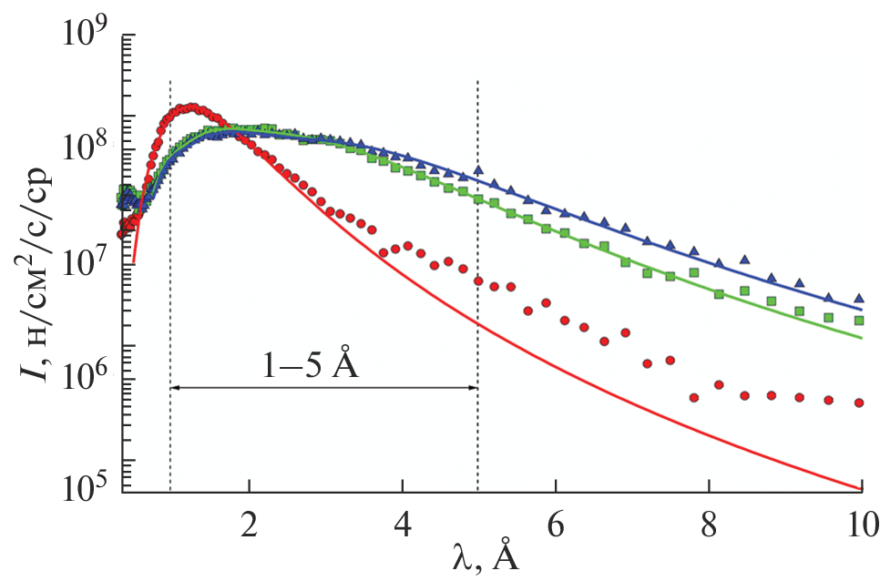
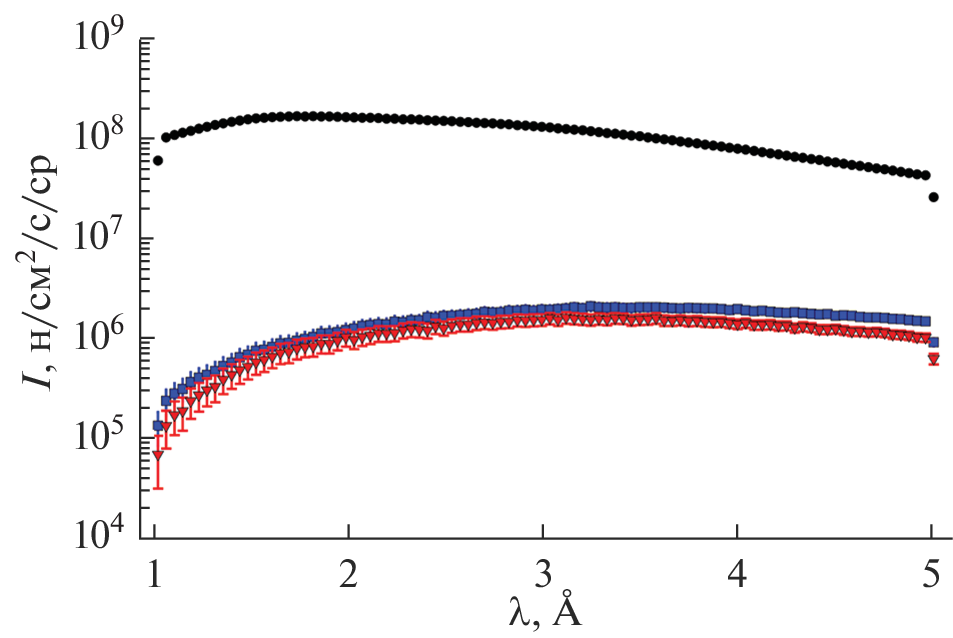
A conceptual design of a powder diffractometer for a compact neutron source DARIA based on a linear proton accelerator is presented. The proposed concept extends the possibilities of optimizing the device performance not only by varying the diffractometer parameters, but also the neutron source parameters, such as the moderator temperature, repetition rate, and duration of neutron pulses. The results of calculating the spectrum of the target assembly for different types of moderators are presented. The efficiency of the neutron source system for increasing the neutron flux on the sample is evaluated in the McStas software package. The calculation results show the principal possibility of implementing the neutron diffraction method under conditions of limited luminosity of the compact neutron source.
About the authors
E. V. Moskvin
Saint-Petersburg State University; Petersburg Nuclear Physics Institute named by B.P. Konstantinov of NRC “Kurchatov Institute”
Author for correspondence.
Email: moskvin_ev@pnpi.nrcki.ru
Russia, 199034, Saint-Petersburg; Russia, 188300, Gatchina
N. A. Grigoryeva
Saint-Petersburg State University
Email: moskvin_ev@pnpi.nrcki.ru
Russia, 199034, Saint-Petersburg
N. A. Kovalenko
Saint-Petersburg State University; Petersburg Nuclear Physics Institute named by B.P. Konstantinov of NRC “Kurchatov Institute”
Email: moskvin_ev@pnpi.nrcki.ru
Russia, 199034, Saint-Petersburg; Russia, 188300, Gatchina
S. V. Grigoriev
Saint-Petersburg State University; Petersburg Nuclear Physics Institute named by B.P. Konstantinov of NRC “Kurchatov Institute”
Email: moskvin_ev@pnpi.nrcki.ru
Russia, 199034, Saint-Petersburg; Russia, 188300, Gatchina
References
- Silverman I., Arenshtam A., Berkovits D. et al. // AIP Conf. Proceed. 2018. V. 1962. P. 020002. https://doi.org/10.1063/1.5035515
- Furusaka M., Sato H., Takashi K., Ohnuma M., Kiyanagi Y. // Phys. Procedia. 2014. V. 60. P. 167. https://doi.org/10.1016/j.phpro.2014.11.024
- Beyer R., Birgersson E., Elekes Z., Ferrari A., Grosse E., Hannaske R., Junghans A., Kögler T., Massarczyk R., Matić A. et al. // Nucl. Instrum. Methods Phys. Res. A. 2013. V. 23. P. 151. https://doi.org/10.1016/j.nima.2013.05.010
- Kobayashi T., Ikeda S., Otake Y., Ikeda Y., Hayashizaki N. // Nucl. Instrum. Methods Phys. Res. A. 2021. V. 994. P. 65091. https://doi.org/10.1016/j.nima.2021.165091
- Baxter D. // The Eur. Phys. J. Plus. 2016. V. 131. P. 83. https://doi.org/10.1140/epjp/i2016-16083-9
- Ene D., Borcea C., Flaska M., Kopecky S., Negret A., Mondelaers W., Plompen A.J.M. // Int. Conf. on Nuclear Data for Science and Technology. 2008. V. ND 2007. https://doi.org/10.1051/ndata:07330
- Wei J., Chen H.B., Huang W.H., Tang C.X., Xing Q.Z., Loong C.-K., Fu S.N., Tao J.Z., Guan X.L., Shimizu H.M. // Proceed. PAC09, Vancouver, BC, Canada, 2009. https://s3.cern.ch/inspire-prod-files-f/f4fca313b2051-fb1e4e7bf3650e70af1
- Ikeda Y., Taketani A., Takamura M., Sunaga H., Kumagai M., Oba Y., Otake Y., Suzuki H. // Nucl. Instrum. Methods Phys. Res. A. 2016. V. 833. P. 61. https://doi.org/10.1016/j.nima.2016.06.127
- Iwamoto C., Takamura M., Ueno K., Kataoka M., Kurihara R., Xu P., Otake Y. // ISIJ Int. 2022. V. 62. № 5. P. 1013. https://doi.org/10.2355/isijinternational.ISIJINT-2021-420
- Niita K., Sato T., Iwase H., Nose H., Nakashima H., Sihver L. // Rad. Measur. 2006. V. 41. № 9–10. P. 1080. https://doi.org/10.1016/j.radmeas.2006.07.013
- Lefmann K., Nielsen N.K. // Neutron News. 1999. V. 10. № 3. P. 20.https://doi.org/10.1080/10448639908233684
- Павлов К.А., Коник П.И., Коваленко Н.А., Кулевой Т.В., Серебренников Д.А., Субботина В.В., Павлова А.Е., Григорьев С.В. // Кристаллография. 2022. Т. 67. № 1. С. 5. https://doi.org/10.31857/S002347612201009X
- Pavlova A.E., Petrova A.O., Konik P.I., Pavlov K.A., Grigoriev S.V. // J. Surf. Invest.: X-Ray, Synchrotron Neutron Tech. 2021. V. 15. № 1. P. 70. https://doi.org/10.1134/S1027451021010122
- Carpenter J.M. // Nucl. Instrum. Methods. 1967. V. 47. P. 179. https://deepblue.lib.umich.edu/bitstream/handle/2027.42/33373/0000771.pdf?sequence=1
- Hannon A.C. // Nucl. Instrum. Methods Phys. Res. A. 2005. V. 551. P. 88. https://doi.org/10.1016/j.nima.2005.07.053
- Maier-Leibnitz H., Springer T. // J. Nucl. En. 1963. V. 17. № 4–5. P. 217. https://doi.org/10.1016/0368-3230(63)90022-3
Supplementary files







