On proper motions of the flat cosserat type structure

Cover Page

Cite item

Full Text

Abstract

The problem of natural vibrations of a flat strip of anisotropic two-dimensional Cosserat medium under the assumption of small deformations and in the absence of external forces and moments is investigated. It is shown that two natural frequencies correspond to each wave number. The natural forms of oscillations and the relationship between them are found. It is concluded that at oscillations with the lower of the two frequencies the inclusion rotations accompany the longitudinal displacement of the strip, and at oscillations with a higher frequency they prevent it. The obtained results are illustrated on the example of a medium model with specific parameter values. The plots show the dependences of natural frequencies, phase and group velocities on the wave number, and their asymptotic behavior is studied.

Full Text

1. Введение. Научное наследие А.А. Ильюшина [1 MathType@MTEF@5@5@+= feaahGart1ev3aqatCvAUfeBSjuyZL2yd9gzLbvyNv2Caerbov2D09 MBdbqedmvETj2BSbqeeuuDJXwAKbsr4rNCHbGeaGqipCI8FfYJH8Wr peeuY=Hhbbf9v8qqaqFr0xc9pk0xbba9q8WqFfea0=yr0RYxir=Jbb a9q8aq0=yq=He9q8qqQ8frFve9Fve9Ff0dmeaabaqaciaacaGaaeqa baqabeGadaaakeaaruavP1wzZbItLDhis9wBH5gaiqaajugqbabaaa aaaaaapeGaa83eGaaa@36D2@ 3] является важной частью российской (советской) науки и истории. Объединяя теоретические исследования с тонко поставленными опытными наблюдениями, при больших организаторских способностях, Алексею Антоновичу удалось решить сложнейшие технические проблемы XX в., достигнуть существенного продвижения в науке. С его именем связан необычайно широкий спектр исследуемых задач и проблем [3 MathType@MTEF@5@5@+= feaahGart1ev3aqatCvAUfeBSjuyZL2yd9gzLbvyNv2Caerbov2D09 MBdbqedmvETj2BSbqeeuuDJXwAKbsr4rNCHbGeaGqipCI8FfYJH8Wr peeuY=Hhbbf9v8qqaqFr0xc9pk0xbba9q8WqFfea0=yr0RYxir=Jbb a9q8aq0=yq=He9q8qqQ8frFve9Fve9Ff0dmeaabaqaciaacaGaaeqa baqabeGadaaakeaaruavP1wzZbItLDhis9wBH5gaiqaajugqbabaaa aaaaaapeGaa83eGaaa@36D2@ 5], в частности фундаментальные исследования, направленные на развитие основ моделирования и методики описания сложных структур и сред [3, 4, 6, 7].

А.А. Ильюшин обратил внимание на проблемы феноменологического описания сложных сред, уделил особое внимание топологии микроструктуры представительного объема и возможным внутренним взаимодействиям частиц среды, включая моментные [4, 6, 7]. Подходы и методы, разработанные Алексеем Антоновичем, нашли своёприменение и развитие в работах его учеников, научной школы и в последние годы активно используются исследователями: при построении моментных теорий [8, 9], моделей гетерогенных сред с разнотипными фазами [10], в том числе с различными степенями свободы [11 MathType@MTEF@5@5@+= feaahGart1ev3aqatCvAUfeBSjuyZL2yd9gzLbvyNv2Caerbov2D09 MBdbqedmvETj2BSbqeeuuDJXwAKbsr4rNCHbGeaGqipCI8FfYJH8Wr peeuY=Hhbbf9v8qqaqFr0xc9pk0xbba9q8WqFfea0=yr0RYxir=Jbb a9q8aq0=yq=He9q8qqQ8frFve9Fve9Ff0dmeaabaqaciaacaGaaeqa baqabeGadaaakeaaruavP1wzZbItLDhis9wBH5gaiqaajugqbabaaa aaaaaapeGaa83eGaaa@36D2@ 14], в построении уравнений состояния нелокальных сред [15, 16] и др.

Метод механического моделирования, предложенный в работе [17], был реализован в исследовании процессов в теплообменниках атомных электростанций, в построении неклассических моделей сплошной среды [9, 13, 14, 18]. Продолжая работу по изучению неклассических моделей сред, с учетом интереса в отечественной и зарубежной литературе [19 MathType@MTEF@5@5@+= feaahGart1ev3aqatCvAUfeBSjuyZL2yd9gzLbvyNv2Caerbov2D09 MBdbqedmvETj2BSbqeeuuDJXwAKbsr4rNCHbGeaGqipCI8FfYJH8Wr peeuY=Hhbbf9v8qqaqFr0xc9pk0xbba9q8WqFfea0=yr0RYxir=Jbb a9q8aq0=yq=He9q8qqQ8frFve9Fve9Ff0dmeaabaqaciaacaGaaeqa baqabeGadaaakeaaruavP1wzZbItLDhis9wBH5gaiqaajugqbabaaa aaaaaapeGaa83eGaaa@36D2@ 21] к данному типу, нами было решено вернуться к более детальному изучению модели, рассмотренной в работе [9], на примере задачи о собственных колебаниях конструкции типа Коссера при отсутствии внешних сил и моментов.

2. Постановка задачи. В плоских движениях при малых деформациях и поворотах система уравнений (относительно неизвестных перемещений и угла поворота), описывающих плоские движения коссератовского континуума (осредненной модели исходной дискретной конструкции), имеет вид [9]:

E mat 1 2 u 1 x 1 2 + G mat  +2 G r G mix  2 u 1 x 2 2 ρ 2 u 1 t 2 + + G mat  2 u 2 x 1 x 2 +2 G r G mix  φ x 2 +ρ f ex 1 =0, MathType@MTEF@5@5@+= feaahGart1ev3aqatCvAUfeBSjuyZL2yd9gzLbvyNv2Caerbov2D09 MBdbqef4uz3r3BUbqedmvETj2BSbqefm0B1jxALjhiov2DaerbuLwB Lnhiov2DGi1BTfMBaebbnrfifHhDYfgasaacH8Wrpu0dbbf9q8qqaq pepec8Eeeu0xXdbba9frFj0=OqFfea0dXdd9vqaq=JfrVkFHe9pgea 0dXdar=Jb9hs0dXdbPYxe9vr0=vr0=vqpWqaaiaaciWaamaadaGabi aaeaqbayaaaOabaiqabaaeaaaaaaaaa8qacaWGfbWdamaaBaaaleaa peGaaeyBaiaabggacaqG0bWdamaaBaaameaapeGaaGymaaWdaeqaaa Wcbeaak8qadaWcaaWdaeaapeGaeyOaIy7damaaCaaaleqabaWdbiaa ikdaaaGccaWG1bWdamaaBaaaleaapeGaaGymaaWdaeqaaaGcbaWdbi abgkGi2kaadIhapaWaa0baaSqaa8qacaaIXaaapaqaa8qacaaIYaaa aaaakiabgUcaRmaadmaapaqaa8qacaWGhbWdamaaBaaaleaapeGaae yBaiaabggacaqG0bGaaqoOaaWdaeqaaOWdbiabgUcaRiaaikdadaqa daWdaeaapeGaam4ra8aadaWgaaWcbaWdbiaadkhaa8aabeaak8qacq GHsislcaWGhbWdamaaBaaaleaapeGaaeyBaiaabMgacaqG4bGaaqoO aaWdaeqaaaGcpeGaayjkaiaawMcaaaGaay5waiaaw2faamaalaaapa qaa8qacqGHciITpaWaaWbaaSqabeaapeGaaGOmaaaakiaadwhapaWa aSbaaSqaa8qacaaIXaaapaqabaaakeaapeGaeyOaIyRaamiEa8aada qhaaWcbaWdbiaaikdaa8aabaWdbiaaikdaaaaaaOGaeyOeI0IaeqyW di3aaSaaa8aabaWdbiabgkGi2+aadaahaaWcbeqaa8qacaaIYaaaaO GaamyDa8aadaWgaaWcbaWdbiaaigdaa8aabeaaaOqaa8qacqGHciIT caWG0bWdamaaCaaaleqabaWdbiaaikdaaaaaaOGaey4kaScabaGaey 4kaSIaaGjbVlaadEeapaWaaSbaaSqaa8qacaqGTbGaaeyyaiaabsha caa5GcaapaqabaGcpeWaaSaaa8aabaWdbiabgkGi2+aadaahaaWcbe qaa8qacaaIYaaaaOGaamyDa8aadaWgaaWcbaWdbiaaikdaa8aabeaa aOqaa8qacqGHciITcaWG4bWdamaaBaaaleaapeGaaGymaaWdaeqaaO WdbiabgkGi2kaadIhapaWaaSbaaSqaa8qacaaIYaaapaqabaaaaOWd biabgUcaRiaaikdadaqadaWdaeaapeGaam4ra8aadaWgaaWcbaWdbi aabkhaa8aabeaak8qacqGHsislcaWGhbWdamaaBaaaleaapeGaaeyB aiaabMgacaqG4bGaaqoOaaWdaeqaaaGcpeGaayjkaiaawMcaamaala aapaqaa8qacqGHciITcqaHgpGAa8aabaWdbiabgkGi2kaadIhapaWa aSbaaSqaa8qacaaIYaaapaqabaaaaOWdbiabgUcaRiabeg8aYjaayI W7caWGMbWdamaaBaaaleaapeGaaeyzaiaabIhapaWaaSbaaWqaa8qa caaIXaaapaqabaaaleqaaOGaaGPaV=qacqGH9aqpcaaIWaGaaiilaa aaaa@A627@

E mat 2 2 u 2 x 2 2 + G mat  +2 G r + G mix 2 u 2 x 1 2 ρ 2 u 2 t 2 + + G mat 2 u 1 x 1 x 2 2 G r + G mix φ x 1 +ρ f ex 2 =0, MathType@MTEF@5@5@+= feaahGart1ev3aqatCvAUfeBSjuyZL2yd9gzLbvyNv2Caerbov2D09 MBdbqedmvETj2BSbqefm0B1jxALjhiov2DaerbuLwBLnhiov2DGi1B TfMBaebbnrfifHhDYfgasaacH8Wrpu0dbbf9q8qqaqpepec8Eeeu0x Xdbba9frFj0=OqFfea0dXdd9vqaq=JfrVkFHe9pgea0dXdar=Jb9hs 0dXdbPYxe9vr0=vr0=vqpWqaaeaabiGaaiaacaqabeaadaabauaaaO abaiqabaaeaaaaaaaaa8qacaWGfbWdamaaBaaaleaapeGaaeyBaiaa bggacaqG0bWdamaaBaaameaapeGaaGOmaaWdaeqaaaWcbeaak8qada WcaaWdaeaapeGaeyOaIy7damaaCaaaleqabaWdbiaaikdaaaGccaWG 1bWdamaaBaaaleaapeGaaGOmaaWdaeqaaaGcbaWdbiabgkGi2kaadI hapaWaa0baaSqaa8qacaaIYaaapaqaa8qacaaIYaaaaaaakiabgUca Rmaadmaapaqaa8qacaWGhbWdamaaBaaaleaapeGaaeyBaiaabggaca qG0bGaaqoOaaWdaeqaaOWdbiabgUcaRiaaikdadaqadaWdaeaapeGa am4ra8aadaWgaaWcbaWdbiaabkhaa8aabeaak8qacqGHRaWkcaWGhb WdamaaBaaaleaapeGaaeyBaiaabMgacaqG4baapaqabaaak8qacaGL OaGaayzkaaaacaGLBbGaayzxaaWaaSaaa8aabaWdbiabgkGi2+aada ahaaWcbeqaa8qacaaIYaaaaOGaamyDa8aadaWgaaWcbaWdbiaaikda a8aabeaaaOqaa8qacqGHciITcaWG4bWdamaaDaaaleaapeGaaGymaa WdaeaapeGaaGOmaaaaaaGccqGHsislcqaHbpGCdaWcaaWdaeaapeGa eyOaIy7damaaCaaaleqabaWdbiaaikdaaaGccaWG1bWdamaaBaaale aapeGaaGOmaaWdaeqaaaGcbaWdbiabgkGi2kaadshapaWaaWbaaSqa beaapeGaaGOmaaaaaaGccqGHRaWkaeaacqGHRaWkcaaMe8Uaam4ra8 aadaWgaaWcbaWdbiaab2gacaqGHbGaaeiDaaWdaeqaaOWdbmaalaaa paqaa8qacqGHciITpaWaaWbaaSqabeaapeGaaGOmaaaakiaadwhapa WaaSbaaSqaa8qacaaIXaaapaqabaaakeaapeGaeyOaIyRaamiEa8aa daWgaaWcbaWdbiaaigdaa8aabeaak8qacqGHciITcaWG4bWdamaaBa aaleaapeGaaGOmaaWdaeqaaaaak8qacqGHsislcaaIYaWaaeWaa8aa baWdbiaadEeapaWaaSbaaSqaa8qacaqGYbaapaqabaGcpeGaey4kaS Iaam4ra8aadaWgaaWcbaWdbiaab2gacaqGPbGaaeiEaaWdaeqaaaGc peGaayjkaiaawMcaamaalaaapaqaa8qacqGHciITcqaHgpGAa8aaba WdbiabgkGi2kaadIhapaWaaSbaaSqaa8qacaaIXaaapaqabaaaaOWd biabgUcaRiabeg8aYjaayIW7caWGMbWdamaaBaaaleaapeGaaeyzai aabIhapaWaaSbaaWqaa8qacaaIYaaapaqabaaaleqaaOWdbiabg2da 9iaaicdacaGGSaaaaaa@9D65@                                 (2.1)

H 1 2 φ x 1 2 + H 2 2 φ x 2 2 ρj 2 φ t 2 4 G r φ 2 G r G mix u 1 x 2 +2 G r G mix u 2 x 1 +ρ g ex 3 =0, MathType@MTEF@5@5@+= feaahGart1ev3aqatCvAUfeBSjuyZL2yd9gzLbvyNv2Caerbov2D09 MBdbqedmvETj2BSbqeeuuDJXwAKbsr4rNCHbGeaGqik8fkY=xipgYl h9vqqj=hEeeu0xXdi9arFj0xirFj0dXdbba91qpK0=yr0RYxfr=Jbb f9q8aq0=yq=He9q8qqQ8frFve9Fve9Ff0dmeaabaqaciaacaGaaeqa baqabeGadaaakqaaceqaaabaaaaaaaaapeGaamisa8aadaWgaaWcba Wdbiaaigdaa8aabeaak8qadaWcaaWdaeaapeGaeyOaIy7damaaCaaa leqabaWdbiaaikdaaaGccqaHgpGAa8aabaWdbiabgkGi2kaadIhapa Waa0baaSqaa8qacaaIXaaapaqaa8qacaaIYaaaaaaakiabgUcaRiaa dIeapaWaaSbaaSqaa8qacaaIYaaapaqabaGcpeWaaSaaa8aabaWdbi abgkGi2+aadaahaaWcbeqaa8qacaaIYaaaaOGaeqOXdOgapaqaa8qa cqGHciITcaWG4bWdamaaDaaaleaapeGaaGOmaaWdaeaapeGaaGOmaa aaaaGccqGHsislcqaHbpGCcaWGQbWaaSaaa8aabaWdbiabgkGi2+aa daahaaWcbeqaa8qacaaIYaaaaOGaeqOXdOgapaqaa8qacqGHciITca WG0bWdamaaCaaaleqabaWdbiaaikdaaaaaaOGaeyOeI0IaaGinaiaa dEeapaWaaSbaaSqaa8qacaWGYbaapaqabaGcpeGaeqOXdOMaeyOeI0 cabaGaeyOeI0IaaGjbVlaaikdadaqadaWdaeaapeGaam4ra8aadaWg aaWcbaWdbiaadkhaa8aabeaak8qacqGHsislcaWGhbWdamaaBaaale aapeGaaeyBaiaabMgacaqG4baapaqabaaak8qacaGLOaGaayzkaaWa aSaaa8aabaWdbiabgkGi2kaadwhapaWaaSbaaSqaa8qacaaIXaaapa qabaaakeaapeGaeyOaIyRaamiEa8aadaWgaaWcbaWdbiaaikdaa8aa beaaaaGcpeGaey4kaSIaaGOmamaabmaapaqaa8qacaWGhbWdamaaBa aaleaapeGaamOCaaWdaeqaaOWdbiabgkHiTiaadEeapaWaaSbaaSqa a8qacaqGTbGaaeyAaiaabIhaa8aabeaaaOWdbiaawIcacaGLPaaada WcaaWdaeaapeGaeyOaIyRaamyDa8aadaWgaaWcbaWdbiaaikdaa8aa beaaaOqaa8qacqGHciITcaWG4bWdamaaBaaaleaapeGaaGymaaWdae qaaaaak8qacqGHRaWkcqaHbpGCcaaMi8Uaam4za8aadaWgaaWcbaWd biaabwgacaqG4bWdamaaBaaameaapeGaaG4maaWdaeqaaaWcbeaaki aaykW7peGaeyypa0JaaGimaiaacYcaaaaa@8B90@

где j MathType@MTEF@5@5@+= feaahGart1ev3aqatCvAUfeBSjuyZL2yd9gzLbvyNv2Caerbov2D09 MBdbqedmvETj2BSbqeeuuDJXwAKbsr4rNCHbGeaGqipCI8FfYJH8Wr peeuY=Hhbbf9v8qqaqFr0xc9pk0xbba9q8WqFfea0=yr0RYxir=Jbb a9q8aq0=yq=He9q8qqQ8frFve9Fve9Ff0dmeaabaqaciaacaGaaeqa baqabeGadaaakeaaruavP1wzZbItLDhis9wBH5gaiqaajugqbabaaa aaaaaapeGaa83eGaaa@36D2@  массовая плотность момента инерции включений относительно оси Ox3, ρ  MathType@MTEF@5@5@+= feaahGart1ev3aqatCvAUfeBSjuyZL2yd9gzLbvyNv2Caerbov2D09 MBdbqedmvETj2BSbqeeuuDJXwAKbsr4rNCHbGeaGqipCI8FfYJH8Wr peeuY=Hhbbf9v8qqaqFr0xc9pk0xbba9q8WqFfea0=yr0RYxir=Jbb a9q8aq0=yq=He9q8qqQ8frFve9Fve9Ff0dmeaabaqaciaacaGaaeqa baqabeGadaaakeaaruavP1wzZbItLDhis9wBH5gaiqaajugqbabaaa aaaaaapeGaa83eGaaa@36D2@  средняя плотность массы ячейки (принимается в качестве массовой плотности модели среды в актуальной конфигурации), fex1, fex2, gex3  MathType@MTEF@5@5@+= feaahGart1ev3aqatCvAUfeBSjuyZL2yd9gzLbvyNv2Caerbov2D09 MBdbqedmvETj2BSbqeeuuDJXwAKbsr4rNCHbGeaGqipCI8FfYJH8Wr peeuY=Hhbbf9v8qqaqFr0xc9pk0xbba9q8WqFfea0=yr0RYxir=Jbb a9q8aq0=yq=He9q8qqQ8frFve9Fve9Ff0dmeaabaqaciaacaGaaeqa baqabeGadaaakeaaruavP1wzZbItLDhis9wBH5gaiqaajugqbabaaa aaaaaapeGaa83eGaaa@36D2@  соответствующие проекции внешних сил и моментов, Emat1 = E1b1Δl1/Δl2, Emat2 = E2b2Δl2/Δl1, Gmat = 2Cfr /(Δl1Δl2), Gr = (C1 + C2)/(2Δl1Δl2), Gmix = (C1 MathType@MTEF@5@5@+= feaahGart1ev3aqatCvAUfeBSjuyZL2yd9gzLbvyNv2Caerbov2D09 MBdbqedmvETj2BSbqeeuuDJXwAKbsr4rNCHbGeaGqipCI8FfYJH8Wr peeuY=Hhbbf9v8qqaqFr0xc9pk0xbba9q8WqFfea0=yr0RYxir=Jbb a9q8aq0=yq=He9q8qqQ8frFve9Fve9Ff0dmeaabaqaciaacaGaaeqa baqabeGadaaakeaaruavP1wzZbItLDhis9wBH5gaiqaajugqbabaaa aaaaaapeGaa83eGaaa@36D2@  C2)/(2Δl1Δl2), H1 = = Δ1Δl1/Δl2, H2 = Δ2Δl2/Δl1 MathType@MTEF@5@5@+= feaahGart1ev3aqatCvAUfeBSjuyZL2yd9gzLbvyNv2Caerbov2D09 MBdbqedmvETj2BSbqeeuuDJXwAKbsr4rNCHbGeaGqipCI8FfYJH8Wr peeuY=Hhbbf9v8qqaqFr0xc9pk0xbba9q8WqFfea0=yr0RYxir=Jbb a9q8aq0=yq=He9q8qqQ8frFve9Fve9Ff0dmeaabaqaciaacaGaaeqa baqabeGadaaakeaaruavP1wzZbItLDhis9wBH5gaiqaajugqbabaaa aaaaaapeGaa83eGaaa@36D2@  константы плоской модели среды, отвечающие свойствам исходной дискретной конструкции, а именно здесь Cfr = (2/(E1b13Δl12)) + (2/(E1b13Δl12)) MathType@MTEF@5@5@+= feaahGart1ev3aqatCvAUfeBSjuyZL2yd9gzLbvyNv2Caerbov2D09 MBdbqedmvETj2BSbqeeuuDJXwAKbsr4rNCHbGeaGqipCI8FfYJH8Wr peeuY=Hhbbf9v8qqaqFr0xc9pk0xbba9q8WqFfea0=yr0RYxir=Jbb a9q8aq0=yq=He9q8qqQ8frFve9Fve9Ff0dmeaabaqaciaacaGaaeqa baqabeGadaaakeaaruavP1wzZbItLDhis9wBH5gaiqaaju20aabaaa aaaaaapeGaa83eGaaa@3764@ 1 MathType@MTEF@5@5@+= feaahGart1ev3aqatCvAUfeBSjuyZL2yd9gzLbvyNv2Caerbov2D09 MBdbqedmvETj2BSbqeeuuDJXwAKbsr4rNCHbGeaGqipCI8FfYJH8Wr peeuY=Hhbbf9v8qqaqFr0xc9pk0xbba9q8WqFfea0=yr0RYxir=Jbb a9q8aq0=yq=He9q8qqQ8frFve9Fve9Ff0dmeaabaqaciaacaGaaeqa baqabeGadaaakeaaruavP1wzZbItLDhis9wBH5gaiqaajugqbabaaa aaaaaapeGaa83eGaaa@36D2@  жесткость каркаса на сдвиг, Ci MathType@MTEF@5@5@+= feaahGart1ev3aqatCvAUfeBSjuyZL2yd9gzLbvyNv2Caerbov2D09 MBdbqedmvETj2BSbqeeuuDJXwAKbsr4rNCHbGeaGqipCI8FfYJH8Wr peeuY=Hhbbf9v8qqaqFr0xc9pk0xbba9q8WqFfea0=yr0RYxir=Jbb a9q8aq0=yq=He9q8qqQ8frFve9Fve9Ff0dmeaabaqaciaacaGaaeqa baqabeGadaaakeaaruavP1wzZbItLDhis9wBH5gaiqaajugqbabaaa aaaaaapeGaa83eGaaa@36D2@  жесткость упругого шарнира крепления диска MathType@MTEF@5@5@+= feaahGart1ev3aqatCvAUfeBSjuyZL2yd9gzLbvyNv2Caerbov2D09 MBdbqedmvETj2BSbqeeuuDJXwAKbsr4rNCHbGeaGqipCI8FfYJH8Wr peeuY=Hhbbf9v8qqaqFr0xc9pk0xbba9q8WqFfea0=yr0RYxir=Jbb a9q8aq0=yq=He9q8qqQ8frFve9Fve9Ff0dmeaabaqaciaacaGaaeqa baqabeGadaaakeaaruavP1wzZbItLDhis9wBH5gaiqaajugqbabaaa aaaaaapeGaa83eGaaa@36D2@ включения к полустержню i-го направления (i = 1, 2), Δi MathType@MTEF@5@5@+= feaahGart1ev3aqatCvAUfeBSjuyZL2yd9gzLbvyNv2Caerbov2D09 MBdbqedmvETj2BSbqeeuuDJXwAKbsr4rNCHbGeaGqipCI8FfYJH8Wr peeuY=Hhbbf9v8qqaqFr0xc9pk0xbba9q8WqFfea0=yr0RYxir=Jbb a9q8aq0=yq=He9q8qqQ8frFve9Fve9Ff0dmeaabaqaciaacaGaaeqa baqabeGadaaakeaaruavP1wzZbItLDhis9wBH5gaiqaajugqbabaaa aaaaaapeGaa83eGaaa@36D2@  жесткость ременной передачи i-го направления, Ei MathType@MTEF@5@5@+= feaahGart1ev3aqatCvAUfeBSjuyZL2yd9gzLbvyNv2Caerbov2D09 MBdbqedmvETj2BSbqeeuuDJXwAKbsr4rNCHbGeaGqipCI8FfYJH8Wr peeuY=Hhbbf9v8qqaqFr0xc9pk0xbba9q8WqFfea0=yr0RYxir=Jbb a9q8aq0=yq=He9q8qqQ8frFve9Fve9Ff0dmeaabaqaciaacaGaaeqa baqabeGadaaakeaaruavP1wzZbItLDhis9wBH5gaiqaajugqbabaaa aaaaaapeGaa83eGaaa@36D2@  модуль Юнга материала стержня i-ого направления, bi MathType@MTEF@5@5@+= feaahGart1ev3aqatCvAUfeBSjuyZL2yd9gzLbvyNv2Caerbov2D09 MBdbqedmvETj2BSbqeeuuDJXwAKbsr4rNCHbGeaGqipCI8FfYJH8Wr peeuY=Hhbbf9v8qqaqFr0xc9pk0xbba9q8WqFfea0=yr0RYxir=Jbb a9q8aq0=yq=He9q8qqQ8frFve9Fve9Ff0dmeaabaqaciaacaGaaeqa baqabeGadaaakeaaruavP1wzZbItLDhis9wBH5gaiqaajugqbabaaa aaaaaapeGaa83eGaaa@36D2@  отношение толщины в плане к длине i-ого стержня, Δli MathType@MTEF@5@5@+= feaahGart1ev3aqatCvAUfeBSjuyZL2yd9gzLbvyNv2Caerbov2D09 MBdbqedmvETj2BSbqeeuuDJXwAKbsr4rNCHbGeaGqipCI8FfYJH8Wr peeuY=Hhbbf9v8qqaqFr0xc9pk0xbba9q8WqFfea0=yr0RYxir=Jbb a9q8aq0=yq=He9q8qqQ8frFve9Fve9Ff0dmeaabaqaciaacaGaaeqa baqabeGadaaakeaaruavP1wzZbItLDhis9wBH5gaiqaajugqbabaaa aaaaaapeGaa83eGaaa@36D2@  длина i-го стержня на ячейке. Будем считать все указанные здесь константы дискретной конструкции положительными числами.

3. Частные случаи плоских движений, неограниченной рассматриваемой среды при отсутствии внешних сил и моментов. Рассмотрим задачу о собственных колебаниях конструкции (континуальной модели) при отсутствии внешних сил и моментов в плоскости Ox1x2, где x1 направлена горизонтально.

Случай 1. Пусть перемещения и повороты включений зависят только от времени, т.е. u = u(t) и φ = φ(t). Тогда система (2.1) принимает вид:

2 u 1 2 t =0, 2 u 2 2 t =0, ρj 2 φ 2 t +4 G r φ=0. MathType@MTEF@5@5@+= feaahGart1ev3aqatCvAUfeBSjuyZL2yd9gzLbvyNv2Caerbov2D09 MBdbqedmvETj2BSbqeeuuDJXwAKbsr4rNCHbGeaGqik8fkY=xipgYl h9vqqj=hEeeu0xXdi9arFj0xirFj0dXdbba91qpK0=yr0RYxfr=Jbb f9q8aq0=yq=He9q8qqQ8frFve9Fve9Ff0dmeaabaqaciaacaGaaeqa baqabeGadaaakqaaceqaaabaaaaaaaaapeWaaSaaa8aabaWdbiabgk Gi2+aadaahaaWcbeqaa8qacaaIYaaaaOGaamyDa8aadaWgaaWcbaWd biaaigdaa8aabeaaaOqaa8qacqGHciITpaWaaWbaaSqabeaapeGaaG OmaaaakiaadshaaaGaeyypa0JaaGimaiaacYcaaeaadaWcaaWdaeaa peGaeyOaIy7damaaCaaaleqabaWdbiaaikdaaaGccaWG1bWdamaaBa aaleaapeGaaGOmaaWdaeqaaaGcbaWdbiabgkGi2+aadaahaaWcbeqa a8qacaaIYaaaaOGaamiDaaaacqGH9aqpcaaIWaGaaiilaaqaaiabeg 8aYjaayIW7caWGQbWaaSaaa8aabaWdbiabgkGi2+aadaahaaWcbeqa a8qacaaIYaaaaOGaeqOXdOgapaqaa8qacqGHciITpaWaaWbaaSqabe aapeGaaGOmaaaakiaadshaaaGaey4kaSIaaGinaiaadEeapaWaaSba aSqaa8qacaWGYbaapaqabaGcpeGaeqOXdOMaeyypa0JaaGimaiaac6 caaaaa@5AD1@                                                                                      (3.1)

Отсюда следует, что

u= v 0 t+ u 0 , φ= A 1 sin 4 G r ρj t+ A 2 cos 4 G r ρj t, MathType@MTEF@5@5@+= feaahGart1ev3aqatCvAUfeBSjuyZL2yd9gzLbvyNv2Caerbov2D09 MBdbqedmvETj2BSbqeeuuDJXwAKbsr4rNCHbGeaGqik8fkY=xipgYl h9vqqj=hEeeu0xXdi9arFj0xirFj0dXdbba91qpK0=yr0RYxfr=Jbb f9q8aq0=yq=He9q8qqQ8frFve9Fve9Ff0dmeaabaqaciaacaGaaeqa baqabeGadaaakqaaceqaaabaaaaaaaaapeGaaCyDaiabg2da9iaahA hapaWaaSbaaSqaa8qacaaIWaaapaqabaGcpeGaamiDaiabgUcaRiaa hwhapaWaaSbaaSqaa8qacaaIWaaapaqabaGccaGGSaaabaWdbiabeA 8aQjabg2da9iaadgeapaWaaSbaaSqaa8qacaaIXaaapaqabaGcpeGa ae4CaiaabMgacaqGUbWaaOaaa8aabaWdbmaalaaapaqaa8qacaaI0a Gaam4ra8aadaWgaaWcbaWdbiaadkhaa8aabeaaaOqaa8qacqaHbpGC caWGQbaaaaWcbeaakiaadshacqGHRaWkcaWGbbWdamaaBaaaleaape GaaGOmaaWdaeqaaOWdbiaabogacaqGVbGaae4Camaakaaapaqaa8qa daWcaaWdaeaapeGaaGinaiaadEeapaWaaSbaaSqaa8qacaWGYbaapa qabaaakeaapeGaeqyWdiNaamOAaaaaaSqabaGccaWG0bGaaiilaaaa aa@561C@                                                          (3.2)

где v0, u0, A1 и A2 задаются начальными условиями.

Случай 2. Теперь пусть перемещения и повороты включений зависят от времени и координаты x1, т.е. u = u(x1, t) и φ = φ(x1, t), кроме того, потребуем, чтобы u2 = 0. Тогда система (2.1) принимает вид:

E mat 1 2 u 1 x 1 2 ρ 2 u 1 t 2 =0, φ x 1 =0, H 1 2 φ x 1 2 ρj 2 φ t 2 4 G r φ=0. MathType@MTEF@5@5@+= feaahGart1ev3aqatCvAUfeBSjuyZL2yd9gzLbvyNv2Caerbov2D09 MBdbqedmvETj2BSbqeeuuDJXwAKbsr4rNCHbGeaGqik8fkY=xipgYl h9vqqj=hEeeu0xXdi9arFj0xirFj0dXdbba91qpK0=yr0RYxfr=Jbb f9q8aq0=yq=He9q8qqQ8frFve9Fve9Ff0dmeaabaqaciaacaGaaeqa baqabeGadaaakqaaceqaaabaaaaaaaaapeGaamyra8aadaWgaaWcba Wdbiaab2gacaqGHbGaaeiDa8aadaWgaaadbaWdbiaaigdaa8aabeaa aSqabaGcpeWaaSaaa8aabaWdbiabgkGi2+aadaahaaWcbeqaa8qaca aIYaaaaOGaamyDa8aadaWgaaWcbaWdbiaaigdaa8aabeaaaOqaa8qa cqGHciITcaWG4bWdamaaDaaaleaapeGaaGymaaWdaeaapeGaaGOmaa aaaaGccqGHsislcqaHbpGCdaWcaaWdaeaapeGaeyOaIy7damaaCaaa leqabaWdbiaaikdaaaGccaWG1bWdamaaBaaaleaapeGaaGymaaWdae qaaaGcbaWdbiabgkGi2kaadshapaWaaWbaaSqabeaapeGaaGOmaaaa aaGccqGH9aqpcaaIWaGaaiilaaqaamaalaaapaqaa8qacqGHciITcq aHgpGAa8aabaWdbiabgkGi2kaadIhapaWaaSbaaSqaa8qacaaIXaaa paqabaaaaOWdbiabg2da9iaaicdacaGGSaaabaGaamisa8aadaWgaa WcbaWdbiaaigdaa8aabeaak8qadaWcaaWdaeaapeGaeyOaIy7damaa CaaaleqabaWdbiaaikdaaaGccqaHgpGAa8aabaWdbiabgkGi2kaadI hapaWaa0baaSqaa8qacaaIXaaapaqaa8qacaaIYaaaaaaakiabgkHi Tiabeg8aYjaadQgadaWcaaWdaeaapeGaeyOaIy7damaaCaaaleqaba WdbiaaikdaaaGccqaHgpGAa8aabaWdbiabgkGi2kaadshapaWaaWba aSqabeaapeGaaGOmaaaaaaGccqGHsislcaaI0aGaam4ra8aadaWgaa WcbaWdbiaadkhaa8aabeaak8qacqaHgpGAcqGH9aqpcaaIWaGaaiOl aaaaaa@74AE@                                                                (3.3)

Разрешая эту систему, получим:

u 1 x 1 ,t = f 1 x 1 a 1 t + f 2 x 1 + a 1 t , φ x 1 ,t = A 1 sin 4 G r ρj t+ A 2 cos 4 G r ρj t, MathType@MTEF@5@5@+= feaahGart1ev3aqatCvAUfeBSjuyZL2yd9gzLbvyNv2Caerbov2D09 MBdbqedmvETj2BSbqeeuuDJXwAKbsr4rNCHbGeaGqik8fkY=xipgYl h9vqqj=hEeeu0xXdi9arFj0xirFj0dXdbba91qpK0=yr0RYxfr=Jbb f9q8aq0=yq=He9q8qqQ8frFve9Fve9Ff0dmeaabaqaciaacaGaaeqa baqabeGadaaakeaafaqaaeqabaaabaqbaeaabiqaaaqaaabaaaaaaa aapeGaamyDa8aadaWgaaWcbaWdbiaaigdaa8aabeaak8qadaqadaWd aeaapeGaamiEa8aadaWgaaWcbaWdbiaaigdaa8aabeaak8qacaGGSa GaamiDaaGaayjkaiaawMcaaiabg2da9iaadAgapaWaaSbaaSqaa8qa caaIXaaapaqabaGcpeWaaeWaa8aabaWdbiaadIhapaWaaSbaaSqaa8 qacaaIXaaapaqabaGcpeGaeyOeI0Iaamyya8aadaWgaaWcbaWdbiaa igdaa8aabeaak8qacaWG0baacaGLOaGaayzkaaGaey4kaSIaamOza8 aadaWgaaWcbaWdbiaaikdaa8aabeaak8qadaqadaWdaeaapeGaamiE a8aadaWgaaWcbaWdbiaaigdaa8aabeaak8qacqGHRaWkcaWGHbWdam aaBaaaleaapeGaaGymaaWdaeqaaOWdbiaadshaaiaawIcacaGLPaaa caGGSaaapaqaa8qacqaHgpGAdaqadaWdaeaapeGaamiEa8aadaWgaa WcbaWdbiaaigdaa8aabeaak8qacaGGSaGaamiDaaGaayjkaiaawMca aiabg2da9iaadgeapaWaaSbaaSqaa8qacaaIXaaapaqabaGcpeGaae 4CaiaabMgacaqGUbWaaOaaa8aabaWdbmaalaaapaqaa8qacaaI0aGa am4ra8aadaWgaaWcbaWdbiaadkhaa8aabeaaaOqaa8qacqaHbpGCca WGQbaaaaWcbeaakiaadshacqGHRaWkcaWGbbWdamaaBaaaleaapeGa aGOmaaWdaeqaaOWdbiaabogacaqGVbGaae4Camaakaaapaqaa8qada WcaaWdaeaapeGaaGinaiaadEeapaWaaSbaaSqaa8qacaWGYbaapaqa baaakeaapeGaeqyWdiNaamOAaaaaaSqabaGccaWG0bGaaiilaaaaaa aaaa@70E4@ (3.4)

где f1 и f2 MathType@MTEF@5@5@+= feaahGart1ev3aqatCvAUfeBSjuyZL2yd9gzLbvyNv2Caerbov2D09 MBdbqedmvETj2BSbqeeuuDJXwAKbsr4rNCHbGeaGqipCI8FfYJH8Wr peeuY=Hhbbf9v8qqaqFr0xc9pk0xbba9q8WqFfea0=yr0RYxir=Jbb a9q8aq0=yq=He9q8qqQ8frFve9Fve9Ff0dmeaabaqaciaacaGaaeqa baqabeGadaaakeaaruavP1wzZbItLDhis9wBH5gaiqaajugqbabaaa aaaaaapeGaa83eGaaa@36D2@  произвольные функции, a1 (Emat1 /r)1/2 MathType@MTEF@5@5@+= feaahGart1ev3aqatCvAUfeBSjuyZL2yd9gzLbvyNv2Caerbov2D09 MBdbqedmvETj2BSbqeeuuDJXwAKbsr4rNCHbGeaGqipCI8FfYJH8Wr peeuY=Hhbbf9v8qqaqFr0xc9pk0xbba9q8WqFfea0=yr0RYxir=Jbb a9q8aq0=yq=He9q8qqQ8frFve9Fve9Ff0dmeaabaqaciaacaGaaeqa baqabeGadaaakeaaruavP1wzZbItLDhis9wBH5gaiqaajugqbabaaa aaaaaapeGaa83eGaaa@36D2@  скорость распространения продольных волн.

Случай 3. Пусть перемещения зависят от времени и координаты x1, т.е. u = u(x1, t), а повороты включений зависят от времени и координаты x2, т.е. φ = φ(x2, t), кроме того, потребуем, чтобы u2 = 0. Тогда система (2.1) принимает вид:

E mat 1 2 u 1 x 1 2 ρ 2 u 1 t 2 +2 G r G mix φ x 2 =0, H 2 2 φ x 2 2 ρj 2 φ t 2 4 G r φ=0. MathType@MTEF@5@5@+= feaahGart1ev3aqatCvAUfeBSjuyZL2yd9gzLbvyNv2Caerbov2D09 MBdbqedmvETj2BSbqeeuuDJXwAKbsr4rNCHbGeaGqik8fkY=xipgYl h9vqqj=hEeeu0xXdi9arFj0xirFj0dXdbba91qpK0=yr0RYxfr=Jbb f9q8aq0=yq=He9q8qqQ8frFve9Fve9Ff0dmeaabaqaciaacaGaaeqa baqabeGadaaakqaaceqaaabaaaaaaaaapeGaamyra8aadaWgaaWcba Wdbiaab2gacaqGHbGaaeiDa8aadaWgaaadbaWdbiaaigdaa8aabeaa aSqabaGcpeWaaSaaa8aabaWdbiabgkGi2+aadaahaaWcbeqaa8qaca aIYaaaaOGaamyDa8aadaWgaaWcbaWdbiaaigdaa8aabeaaaOqaa8qa cqGHciITcaWG4bWdamaaDaaaleaapeGaaGymaaWdaeaapeGaaGOmaa aaaaGccqGHsislcqaHbpGCdaWcaaWdaeaapeGaeyOaIy7damaaCaaa leqabaWdbiaaikdaaaGccaWG1bWdamaaBaaaleaapeGaaGymaaWdae qaaaGcbaWdbiabgkGi2kaadshapaWaaWbaaSqabeaapeGaaGOmaaaa aaGccqGHRaWkcaaIYaWaaeWaa8aabaWdbiaadEeapaWaaSbaaSqaa8 qacaWGYbaapaqabaGcpeGaeyOeI0Iaam4ra8aadaWgaaWcbaWdbiaa d2gacaWGPbGaamiEaaWdaeqaaaGcpeGaayjkaiaawMcaamaalaaapa qaa8qacqGHciITcqaHgpGAa8aabaWdbiabgkGi2kaadIhapaWaaSba aSqaa8qacaaIYaaapaqabaaaaOWdbiabg2da9iaaicdacaGGSaaaba Gaamisa8aadaWgaaWcbaWdbiaaikdaa8aabeaak8qadaWcaaWdaeaa peGaeyOaIy7damaaCaaaleqabaWdbiaaikdaaaGccqaHgpGAa8aaba WdbiabgkGi2kaadIhapaWaa0baaSqaa8qacaaIYaaapaqaa8qacaaI YaaaaaaakiadmcOHsislcWaMasyWdiNaaGjcVlaadQgadaWcaaWdae aapeGaeyOaIy7damaaCaaaleqabaWdbiaaikdaaaGccqaHgpGAa8aa baWdbiabgkGi2kaadshapaWaaWbaaSqabeaapeGaaGOmaaaaaaGccq GHsislcaaI0aGaam4ra8aadaWgaaWcbaWdbiaadkhaa8aabeaak8qa cqaHgpGAcqGH9aqpcaaIWaGaaiOlaaaaaa@808C@                                                             (3.5)

Решая систему, получим:

u 1 x 1 ,t = f 1 x 1 a 1 t + f 2 x 1 + a 1 t + C 1 ρj 4 G r sin 4 G r ρj t+ C 2 ρj 4 G r cos 4 G r ρj t, φ x 2 ,t = A 1 + C 1 2 G r G mix x 2 sin 4 G r ρj t+ + A 2 + C 2 2 G r G mix x 2 cos 4 G r ρj t. MathType@MTEF@5@5@+= feaahGart1ev3aaatCvAUfeBSjuyZL2yd9gzLbvyNv2Caerbov2D09 MBdbqedmvETj2BSbqeeuuDJXwAKbsr4rNCHbGeaGqik8fkY=xipgYl h9vqqj=hEeeu0xXdi9arFj0xirFj0dXdbba91qpK0=yr0RYxfr=Jbb f9q8aq0=yq=He9q8qqQ8frFve9Fve9Ff0dmeaabaqaciaacaGaaeqa baqabeGadaaakqaaceqaaabaaaaaaaaapeGaamyDa8aadaWgaaWcba Wdbiaaigdaa8aabeaak8qadaqadaWdaeaapeGaamiEa8aadaWgaaWc baWdbiaaigdaa8aabeaak8qacaGGSaGaamiDaaGaayjkaiaawMcaai abg2da9iaadAgapaWaaSbaaSqaa8qacaaIXaaapaqabaGcpeWaaeWa a8aabaWdbiaadIhapaWaaSbaaSqaa8qacaaIXaaapaqabaGccaaMc8 +dbiabgkHiTiaaysW7caWGHbWdamaaBaaaleaapeGaaGymaaWdaeqa aOWdbiaadshaaiaawIcacaGLPaaacqGHRaWkcaWGMbWdamaaBaaale aapeGaaGOmaaWdaeqaaOWdbmaabmaapaqaa8qacaWG4bWdamaaBaaa leaapeGaaGymaaWdaeqaaOGaaGPaV=qacqGHRaWkcaaMe8Uaamyya8 aadaWgaaWcbaWdbiaaigdaa8aabeaak8qacaWG0baacaGLOaGaayzk aaGaey4kaSIaaGjbVlaadoeapaWaaSbaaSqaa8qacaaIXaaapaqaba GcpeWaaSaaa8aabaWdbiabeg8aYjaadQgaa8aabaWdbiaaisdacaWG hbWdamaaBaaaleaapeGaamOCaaWdaeqaaaaak8qacaqGZbGaaeyAai aab6gadaGcaaWdaeaapeWaaSaaa8aabaWdbiaaisdacaWGhbWdamaa BaaaleaapeGaamOCaaWdaeqaaaGcbaWdbiabeg8aYjaadQgaaaaale qaaOGaamiDaiabgUcaRiaadoeapaWaaSbaaSqaa8qacaaIYaaapaqa baGcpeWaaSaaa8aabaWdbiabeg8aYjaadQgaa8aabaWdbiaaisdaca WGhbWdamaaBaaaleaapeGaamOCaaWdaeqaaaaak8qacaqGJbGaae4B aiaabohadaGcaaWdaeaapeWaaSaaa8aabaWdbiaaisdacaWGhbWdam aaBaaaleaapeGaamOCaaWdaeqaaaGcbaWdbiabeg8aYjaadQgaaaaa leqaaOGaamiDaiaacYcaaeaacqaHgpGAdaqadaWdaeaapeGaamiEa8 aadaWgaaWcbaWdbiaaikdaa8aabeaak8qacaGGSaGaamiDaaGaayjk aiaawMcaaiabg2da9maabmaapaqaa8qacaWGbbWdamaaBaaaleaape GaaGymaaWdaeqaaOWdbiabgUcaRmaalaaapaqaa8qacaWGdbWdamaa BaaaleaapeGaaGymaaWdaeqaaaGcbaWdbiaaikdadaqadaWdaeaape Gaam4ra8aadaWgaaWcbaWdbiaadkhaa8aabeaak8qacqGHsislcaWG hbWdamaaBaaaleaapeGaamyBaiaadMgacaWG4baapaqabaaak8qaca GLOaGaayzkaaaaaiaadIhapaWaaSbaaSqaa8qacaaIYaaapaqabaaa k8qacaGLOaGaayzkaaGaae4CaiaabMgacaqGUbWaaOaaa8aabaWdbm aalaaapaqaa8qacaaI0aGaam4ra8aadaWgaaWcbaWdbiaadkhaa8aa beaaaOqaa8qacqaHbpGCcaWGQbaaaaWcbeaakiaadshacqGHRaWkae aacqGHRaWkcaaMe8+aaeWaa8aabaWdbiaadgeapaWaaSbaaSqaa8qa caaIYaaapaqabaGcpeGaey4kaSYaaSaaa8aabaWdbiaadoeapaWaaS baaSqaa8qacaaIYaaapaqabaaakeaapeGaaGOmamaabmaapaqaa8qa caWGhbWdamaaBaaaleaapeGaamOCaaWdaeqaaOWdbiabgkHiTiaadE eapaWaaSbaaSqaa8qacaWGTbGaamyAaiaadIhaa8aabeaaaOWdbiaa wIcacaGLPaaaaaGaamiEa8aadaWgaaWcbaWdbiaaikdaa8aabeaaaO WdbiaawIcacaGLPaaacaqGJbGaae4BaiaabohadaGcaaWdaeaapeWa aSaaa8aabaWdbiaaisdacaWGhbWdamaaBaaaleaapeGaamOCaaWdae qaaaGcbaWdbiabeg8aYjaadQgaaaaaleqaaOGaamiDaiaac6caaaaa @C143@     (3.6)

Если φ(∞,t) < , то C1 = C2 = 0 в (3.6), а значит, выражения для φ и u1 совпадают с (3.4).

Случай 4. Рассмотрим одномерные плоские сдвиговые движения среды при отсутствии внешних сил и моментов. Будем считать, что u = (u1(x2, t),0,0) и φ = φ(x2, t). Для краткости далее под x и u будем понимать x2 и u1. С учетом сказанного система (2.1) принимает вид:

N a 2 u x 2 + N b φ x ρ 2 u t 2 =0, H 2 2 φ x 2 N c φ N b u x ρj 2 φ t 2 =0. MathType@MTEF@5@5@+= feaahGart1ev3aqatCvAUfeBSjuyZL2yd9gzLbvyNv2Caerbov2D09 MBdbqedmvETj2BSbqeeuuDJXwAKbsr4rNCHbGeaGqik8fkY=xipgYl h9vqqj=hEeeu0xXdi9arFj0xirFj0dXdbba91qpK0=yr0RYxfr=Jbb f9q8aq0=yq=He9q8qqQ8frFve9Fve9Ff0dmeaabaqaciaacaGaaeqa baqabeGadaaakqaaceqaaabaaaaaaaaapeGaamOta8aadaWgaaWcba Wdbiaadggaa8aabeaak8qadaWcaaWdaeaapeGaeyOaIy7damaaCaaa leqabaWdbiaaikdaaaGccaWG1baapaqaa8qacqGHciITcaWG4bWdam aaDaaaleaapeGaaGzaVdWdaeaapeGaaGOmaaaaaaGccqGHRaWkcaWG obWdamaaBaaaleaapeGaamOyaaWdaeqaaOWdbmaalaaapaqaa8qacq GHciITcqaHgpGAa8aabaWdbiabgkGi2kaadIhapaWaaSbaaSqaa8qa caaMb8oapaqabaaaaOWdbiabgkHiTiabeg8aYnaalaaapaqaa8qacq GHciITpaWaaWbaaSqabeaapeGaaGOmaaaakiaadwhaa8aabaWdbiab gkGi2kaadshapaWaaWbaaSqabeaapeGaaGOmaaaaaaGccqGH9aqpca aIWaGaaiilaaqaaiaadIeapaWaaSbaaSqaa8qacaaIYaaapaqabaGc peWaaSaaa8aabaWdbiabgkGi2+aadaahaaWcbeqaa8qacaaIYaaaaO GaeqOXdOgapaqaa8qacqGHciITcaWG4bWdamaaDaaaleaapeGaaGza VdWdaeaapeGaaGOmaaaaaaGccqGHsislcaWGobWdamaaBaaaleaape Gaam4yaaWdaeqaaOWdbiabeA8aQjabgkHiTiaad6eapaWaaSbaaSqa a8qacaWGIbaapaqabaGcpeWaaSaaa8aabaWdbiabgkGi2kaadwhaa8 aabaWdbiabgkGi2kaadIhapaWaaSbaaSqaa8qacaaMb8oapaqabaaa aOWdbiabgkHiTiadKciHbpGCcaaMi8UaamOAamaalaaapaqaa8qacq GHciITpaWaaWbaaSqabeaapeGaaGOmaaaakiabeA8aQbWdaeaapeGa eyOaIyRaamiDa8aadaahaaWcbeqaa8qacaaIYaaaaaaakiabg2da9i aaicdacaGGUaaaaaa@7ECE@                                                            (3.7)

Здесь использованы следующие обозначения: NaGmat + 2(Gr MathType@MTEF@5@5@+= feaahGart1ev3aqatCvAUfeBSjuyZL2yd9gzLbvyNv2Caerbov2D09 MBdbqedmvETj2BSbqeeuuDJXwAKbsr4rNCHbGeaGqipCI8FfYJH8Wr peeuY=Hhbbf9v8qqaqFr0xc9pk0xbba9q8WqFfea0=yr0RYxir=Jbb a9q8aq0=yq=He9q8qqQ8frFve9Fve9Ff0dmeaabaqaciaacaGaaeqa baqabeGadaaakeaaruavP1wzZbItLDhis9wBH5gaiqaajugqbabaaa aaaaaapeGaa83eGaaa@36D2@  Gmix), Nb ≡ 2(Gr MathType@MTEF@5@5@+= feaahGart1ev3aqatCvAUfeBSjuyZL2yd9gzLbvyNv2Caerbov2D09 MBdbqedmvETj2BSbqeeuuDJXwAKbsr4rNCHbGeaGqipCI8FfYJH8Wr peeuY=Hhbbf9v8qqaqFr0xc9pk0xbba9q8WqFfea0=yr0RYxir=Jbb a9q8aq0=yq=He9q8qqQ8frFve9Fve9Ff0dmeaabaqaciaacaGaaeqa baqabeGadaaakeaaruavP1wzZbItLDhis9wBH5gaiqaajugqbabaaa aaaaaapeGaa83eGaaa@36D2@  Gmix), Nc ≡ 4Gr .

Решение системы уравнений (3.7) ищем в виде пары функций [22]:

u x,t = A 1 cos px+ωt + A 2 sin px+ωt , φ x,t = B 1 cos px+ωt + B 2 sin px+ωt . MathType@MTEF@5@5@+= feaahGart1ev3aqatCvAUfeBSjuyZL2yd9gzLbvyNv2Caerbov2D09 MBdbqedmvETj2BSbqeeuuDJXwAKbsr4rNCHbGeaGqik8fkY=xipgYl h9vqqj=hEeeu0xXdi9arFj0xirFj0dXdbba91qpK0=yr0RYxfr=Jbb f9q8aq0=yq=He9q8qqQ8frFve9Fve9Ff0dmeaabaqaciaacaGaaeqa baqabeGadaaakeaafaqaaeqabaaabaqbaeaabiqaaaqaaabaaaaaaa aapeGaamyDamaabmaapaqaa8qacaWG4bGaaiilaiaadshaaiaawIca caGLPaaacqGH9aqpcaWGbbWdamaaBaaaleaapeGaaGymaaWdaeqaaO WdbiaabogacaqGVbGaae4Camaabmaapaqaa8qacaWGWbGaamiEaiab gUcaRiabeM8a3jaadshaaiaawIcacaGLPaaacqGHRaWkcaWGbbWdam aaBaaaleaapeGaaGOmaaWdaeqaaOWdbiaabohacaqGPbGaaeOBamaa bmaapaqaa8qacaWGWbGaamiEaiabgUcaRiabeM8a3jaadshaaiaawI cacaGLPaaacaGGSaaapaqaa8qacqaHgpGAdaqadaWdaeaapeGaamiE aiaacYcacaWG0baacaGLOaGaayzkaaGaeyypa0JaamOqa8aadaWgaa WcbaWdbiaaigdaa8aabeaak8qacaqGJbGaae4BaiaabohadaqadaWd aeaapeGaamiCaiaadIhacqGHRaWkcqaHjpWDcaWG0baacaGLOaGaay zkaaGaey4kaSIaamOqa8aadaWgaaWcbaWdbiaaikdaa8aabeaak8qa caqGZbGaaeyAaiaab6gadaqadaWdaeaapeGaamiCaiaadIhacqGHRa WkcqaHjpWDcaWG0baacaGLOaGaayzkaaGaaiOlaaaaaaaaaa@7207@                                                         (3.8)

Подставим выражение (3.8) в (3.7):

cos(px+ωt)( N a p 2 A 1 +ρ ω 2 A 1 + N b p B 2 )+ +sin(px+ωt)( N b p B 1 p 2 N a A 2 +ρ A 2 ω 2 )=0, cos(px+ωt)( H 2 p 2 B 1 N c B 1 p N b A 2 +ρj ω 2 B 1 )+ +sin(px+ωt)( N b p A 1 H 2 p 2 B 2 N c B 2 +ρj ω 2 B 2 )=0. MathType@MTEF@5@5@+= feaahGart1ev3aaatCvAUfeBSjuyZL2yd9gzLbvyNv2Caerbov2D09 MBdbqedmvETj2BSbqeeuuDJXwAKbsr4rNCHbGeaGqik8fkY=xipgYl h9vqqj=hEeeu0xXdi9arFj0xirFj0dXdbba91qpK0=yr0RYxfr=Jbb f9q8aq0=yq=He9q8qqQ8frFve9Fve9Ff0dmeaabaqaciaacaGaaeqa baqabeGadaaakqaaceqaaabaaaaaaaaapeGaae4yaiaab+gacaqGZb GaaiikaiaadchacaWG4bGaey4kaSIaeqyYdCNaamiDaiaacMcacaGG OaGaeyOeI0IaamOta8aadaWgaaWcbaWdbiaadggaa8aabeaak8qaca WGWbWdamaaCaaaleqabaWdbiaaikdaaaGccaWGbbWdamaaBaaaleaa peGaaGymaaWdaeqaaOWdbiabgUcaRiabeg8aYjabeM8a39aadaahaa Wcbeqaa8qacaaIYaaaaOGaamyqa8aadaWgaaWcbaWdbiaaigdaa8aa beaak8qacqGHRaWkcaWGobWdamaaBaaaleaapeGaamOyaaWdaeqaaO WdbiaadchacaWGcbWdamaaBaaaleaapeGaaGOmaaWdaeqaaOWdbiaa cMcacqGHRaWkaeaacqGHRaWkcaaMe8Uaae4CaiaabMgacaqGUbGaai ikaiaadchacaWG4bGaey4kaSIaeqyYdCNaamiDaiaacMcapaGaaiik a8qacqGHsislcaWGobWdamaaBaaaleaapeGaamOyaaWdaeqaaOWdbi aadchacaWGcbWdamaaBaaaleaapeGaaGymaaWdaeqaaOWdbiabgkHi TiaadchapaWaaWbaaSqabeaapeGaaGOmaaaakiaad6eapaWaaSbaaS qaa8qacaWGHbaapaqabaGcpeGaamyqa8aadaWgaaWcbaWdbiaaikda a8aabeaak8qacqGHRaWkcqaHbpGCcaWGbbWdamaaBaaaleaapeGaaG OmaaWdaeqaaOWdbiabeM8a39aadaahaaWcbeqaa8qacaaIYaaaaOWd aiaacMcapeGaeyypa0JaaGimaiaacYcaaeaacaqGJbGaae4Baiaabo hacaGGOaGaamiCaiaadIhacqGHRaWkcqaHjpWDcaWG0bGaaiykaiaa cIcacqGHsislcaWGibWdamaaBaaaleaapeGaaGOmaaWdaeqaaOWdbi aadchapaWaaWbaaSqabeaapeGaaGOmaaaakiaadkeapaWaaSbaaSqa a8qacaaIXaaapaqabaGcpeGaeyOeI0IaamOta8aadaWgaaWcbaWdbi aadogaa8aabeaak8qacaWGcbWdamaaBaaaleaapeGaaGymaaWdaeqa aOWdbiabgkHiTiaadchacaWGobWdamaaBaaaleaapeGaamOyaaWdae qaaOWdbiaadgeapaWaaSbaaSqaa8qacaaIYaaapaqabaGcpeGaey4k aSIaeqyWdiNaamOAaiabeM8a39aadaahaaWcbeqaa8qacaaIYaaaaO GaamOqa8aadaWgaaWcbaWdbiaaigdaa8aabeaak8qacaGGPaGaey4k aScabaGaey4kaSIaaGjbVlaabohacaqGPbGaaeOBaiaacIcacaWGWb GaamiEaiabgUcaRiabeM8a3jaadshacaGGPaGaaiikaiaad6eapaWa aSbaaSqaa8qacaWGIbaapaqabaGcpeGaamiCaiaadgeapaWaaSbaaS qaa8qacaaIXaaapaqabaGcpeGaeyOeI0Iaamisa8aadaWgaaWcbaWd biaaikdaa8aabeaak8qacaWGWbWdamaaCaaaleqabaWdbiaaikdaaa GccaWGcbWdamaaBaaaleaapeGaaGOmaaWdaeqaaOWdbiabgkHiTiaa d6eapaWaaSbaaSqaa8qacaWGJbaapaqabaGcpeGaamOqa8aadaWgaa WcbaWdbiaaikdaa8aabeaak8qacqGHRaWkcqaHbpGCcaWGQbGaeqyY dC3damaaCaaaleqabaWdbiaaikdaaaGccaWGcbWdamaaBaaaleaape GaaGOmaaWdaeqaaOWdbiaacMcacqGH9aqpcaaIWaGaaiOlaaaaaa@C663@                                   (3.9)

Так как равенства выполняются при любых x и t, получаем системы уравнений для A1, B2 и A2, B1:

( N a p 2 +ρ ω 2 ) A 1 + N b p B 2 =0, N b p A 1 ( H 2 p 2 + N c ρj ω 2 ) B 2 =0, MathType@MTEF@5@5@+= feaahGart1ev3aqatCvAUfeBSjuyZL2yd9gzLbvyNv2Caerbov2D09 MBdbqedmvETj2BSbqeeuuDJXwAKbsr4rNCHbGeaGqik8fkY=xipgYl h9vqqj=hEeeu0xXdi9arFj0xirFj0dXdbba91qpK0=yr0RYxfr=Jbb f9q8aq0=yq=He9q8qqQ8frFve9Fve9Ff0dmeaabaqaciaacaGaaeqa baqabeGadaaakeaafaqaaeqabaaabaqbaeqabiqaaaqaaiaacIcaqa aaaaaaaaWdbiabgkHiTiaad6eapaWaaSbaaSqaa8qacaWGHbaapaqa baGcpeGaamiCa8aadaahaaWcbeqaa8qacaaIYaaaaOWdaiaaykW7pe Gaey4kaSIaeqyWdiNaeqyYdC3damaaCaaaleqabaWdbiaaikdaaaGc paGaaiyka8qacaWGbbWdamaaBaaaleaapeGaaGymaaWdaeqaaOGaaG PaV=qacqGHRaWkcaaMe8UaamOta8aadaWgaaWcbaWdbiaadkgaa8aa beaak8qacaWGWbGaamOqa8aadaWgaaWcbaWdbiaaikdaa8aabeaaki aaykW7peGaeyypa0JaaGimaiaacYcaa8aabaWdbiaad6eapaWaaSba aSqaa8qacaWGIbaapaqabaGcpeGaamiCaiaadgeapaWaaSbaaSqaa8 qacaaIXaaapaqabaGccaaMe8+dbiabgkHiT8aacaGGOaWdbiaadIea paWaaSbaaSqaa8qacaaIYaaapaqabaGcpeGaamiCa8aadaahaaWcbe qaa8qacaaIYaaaaOWdaiaaykW7peGaey4kaSIaaGjbVlaad6eapaWa aSbaaSqaa8qacaWGJbaapaqabaGccaaMc8+dbiabgkHiTiabeg8aYj aadQgacqaHjpWDpaWaaWbaaSqabeaapeGaaGOmaaaak8aacaGGPaWd biaadkeapaWaaSbaaSqaa8qacaaIYaaapaqabaGccaaMc8+dbiabg2 da9iaaicdacaGGSaaaaaaaaaa@6F96@                                                         (3.10)

( p 2 N a ρ ω 2 ) A 2 N b p B 1 =0, p N b A 2 ( H 2 p 2 + N c ρj ω 2 ) B 1 =0. MathType@MTEF@5@5@+= feaahGart1ev3aqatCvAUfeBSjuyZL2yd9gzLbvyNv2Caerbov2D09 MBdbqedmvETj2BSbqeeuuDJXwAKbsr4rNCHbGeaGqik8fkY=xipgYl h9vqqj=hEeeu0xXdi9arFj0xirFj0dXdbba91qpK0=yr0RYxfr=Jbb f9q8aq0=yq=He9q8qqQ8frFve9Fve9Ff0dmeaabaqaciaacaGaaeqa baqabeGadaaakeaafaqaaeqabaaabaqbaeqabiqaaaqaaabaaaaaaa aapeGaeyOeI0IaaGPaVlaacIcacaWGWbWdamaaCaaaleqabaWdbiaa ikdaaaGccaWGobWdamaaBaaaleaapeGaamyyaaWdaeqaaOGaaGPaV= qacqGHsislcqaHbpGCcqaHjpWDpaWaaWbaaSqabeaapeGaaGOmaaaa kiaacMcacaWGbbWdamaaBaaaleaapeGaaGOmaaWdaeqaaOGaaGPaV= qacqGHsislcaaMe8UaamOta8aadaWgaaWcbaWdbiaadkgaa8aabeaa k8qacaWGWbGaamOqa8aadaWgaaWcbaWdbiaaigdaa8aabeaakiaays W7peGaeyypa0JaaGjbVlaaicdacaGGSaaapaqaa8qacqGHsislcaWG WbGaamOta8aadaWgaaWcbaWdbiaadkgaa8aabeaak8qacaWGbbWdam aaBaaaleaapeGaaGOmaaWdaeqaaOGaaGPaV=qacqGHsislpaGaaiik a8qacaWGibWdamaaBaaaleaapeGaaGOmaaWdaeqaaOWdbiaadchapa WaaWbaaSqabeaapeGaaGOmaaaak8aacaaMc8+dbiabgUcaRiaaysW7 caWGobWdamaaBaaaleaapeGaam4yaaWdaeqaaOGaaGPaV=qacqGHsi slcqaHbpGCcaWGQbGaeqyYdC3damaaCaaaleqabaWdbiaaikdaaaGc paGaaiyka8qacaWGcbWdamaaBaaaleaapeGaaGymaaWdaeqaaOGaaG jbV=qacqGH9aqpcaaMe8UaaGimaiaac6caaaaaaaaa@7504@                                                    (3.11)

Нетривиальное решение каждой из этих систем существует при условии

det N a p 2 +ρ ω 2 p N b p N b N c H 2 p 2 +jρ ω 2 =0. MathType@MTEF@5@5@+= feaahGart1ev3aqatCvAUfeBSjuyZL2yd9gzLbvyNv2Caerbov2D09 MBdbqedmvETj2BSbqeeuuDJXwAKbsr4rNCHbGeaGqik8fkY=xipgYl h9vqqj=hEeeu0xXdi9arFj0xirFj0dXdbba91qpK0=yr0RYxfr=Jbb f9q8aq0=yq=He9q8qqQ8frFve9Fve9Ff0dmeaabaqaciaacaGaaeqa baqabeGadaaakeaaqaaaaaaaaaWdbiaabsgacaqGLbGaaeiDamaabm qapaqaauaabeqaciaaaeaapeGaeyOeI0IaamOta8aadaWgaaWcbaWd biaadggaa8aabeaak8qacaWGWbWdamaaCaaaleqabaWdbiaaikdaaa GccqGHRaWkcqaHbpGCcqaHjpWDpaWaaWbaaSqabeaapeGaaGOmaaaa aOWdaeaapeGaamiCaiaad6eapaWaaSbaaSqaa8qacaWGIbaapaqaba aakeaapeGaamiCaiaad6eapaWaaSbaaSqaa8qacaWGIbaapaqabaaa keaapeGaeyOeI0IaamOta8aadaWgaaWcbaWdbiaadogaa8aabeaak8 qacqGHsislcaWGibWdamaaBaaaleaapeGaaGOmaaWdaeqaaOWdbiaa dchapaWaaWbaaSqabeaapeGaaGOmaaaakiabgUcaRiaadQgacqaHbp GCcqaHjpWDpaWaaWbaaSqabeaapeGaaGOmaaaaaaaakiaawIcacaGL PaaacqGH9aqpcaaIWaGaaiOlaaaa@57A0@                                         (3.12)

Откуда

j ρ 2 ω 4 ( p 2 H 2 + N c +j p 2 N a )ρ ω 2 + p 2 N a N c + H 2 p 4 N a p 2 N b 2 =0. MathType@MTEF@5@5@+= feaahGart1ev3aqatCvAUfeBSjuyZL2yd9gzLbvyNv2Caerbov2D09 MBdbqedmvETj2BSbqeeuuDJXwAKbsr4rNCHbGeaGqik8fkY=xipgYl h9vqqj=hEeeu0xXdi9arFj0xirFj0dXdbba91qpK0=yr0RYxfr=Jbb f9q8aq0=yq=He9q8qqQ8frFve9Fve9Ff0dmeaabaqaciaacaGaaeqa baqabeGadaaakeaaqaaaaaaaaaWdbiaadQgacqaHbpGCpaWaaWbaaS qabeaapeGaaGOmaaaakiabeM8a39aadaahaaWcbeqaa8qacaaI0aaa aOWdaiaaykW7peGaeyOeI0IaaiikaiaadchapaWaaWbaaSqabeaape GaaGOmaaaakiaadIeapaWaaSbaaSqaa8qacaaIYaaapaqabaGccaaM c8+dbiabgUcaRiaaysW7caWGobWdamaaBaaaleaapeGaam4yaaWdae qaaOGaaGPaV=qacqGHRaWkcaaMe8UaamOAaiaadchapaWaaWbaaSqa beaapeGaaGOmaaaakiaad6eapaWaaSbaaSqaa8qacaWGHbaapaqaba GcpeGaaiykaiaaykW7cqaHbpGCcqaHjpWDpaWaaWbaaSqabeaapeGa aGOmaaaak8aacaaMc8+dbiabgUcaRiaaysW7caWGWbWdamaaCaaale qabaWdbiaaikdaaaGccaWGobWdamaaBaaaleaapeGaamyyaaWdaeqa aOWdbiaad6eapaWaaSbaaSqaa8qacaWGJbaapaqabaGccaaMc8+dbi abgUcaRiaaysW7caWGibWdamaaBaaaleaapeGaaGOmaaWdaeqaaOWd biaadchapaWaaWbaaSqabeaapeGaaGinaaaakiaad6eapaWaaSbaaS qaa8qacaWGHbaapaqabaGccaaMc8+dbiabgkHiTiaaysW7caWGWbWd amaaCaaaleqabaWdbiaaikdaaaGccaWGobWdamaaDaaaleaapeGaam OyaaWdaeaapeGaaGOmaaaak8aacaaMe8+dbiabg2da9iaaysW7caaI WaGaaiOlaaaa@787C@     (3.13)

Введя следующие обозначения a ≡ φr2, b ≡ (- φρp2Na MathType@MTEF@5@5@+= feaahGart1ev3aqatCvAUfeBSjuyZL2yd9gzLbvyNv2Caerbov2D09 MBdbqedmvETj2BSbqeeuuDJXwAKbsr4rNCHbGeaGqipCI8FfYJH8Wr peeuY=Hhbbf9v8qqaqFr0xc9pk0xbba9q8WqFfea0=yr0RYxir=Jbb a9q8aq0=yq=He9q8qqQ8frFve9Fve9Ff0dmeaabaqaciaacaGaaeqa baqabeGadaaakeaaruavP1wzZbItLDhis9wBH5gaiqaajugqbabaaa aaaaaapeGaa83eGaaa@36D2@ ρNc MathType@MTEF@5@5@+= feaahGart1ev3aqatCvAUfeBSjuyZL2yd9gzLbvyNv2Caerbov2D09 MBdbqedmvETj2BSbqeeuuDJXwAKbsr4rNCHbGeaGqipCI8FfYJH8Wr peeuY=Hhbbf9v8qqaqFr0xc9pk0xbba9q8WqFfea0=yr0RYxir=Jbb a9q8aq0=yq=He9q8qqQ8frFve9Fve9Ff0dmeaabaqaciaacaGaaeqa baqabeGadaaakeaaruavP1wzZbItLDhis9wBH5gaiqaajugqbabaaa aaaaaapeGaa83eGaaa@36D2@  H2p2ρ), cp2NaNc + H2 p4Na MathType@MTEF@5@5@+= feaahGart1ev3aqatCvAUfeBSjuyZL2yd9gzLbvyNv2Caerbov2D09 MBdbqedmvETj2BSbqeeuuDJXwAKbsr4rNCHbGeaGqipCI8FfYJH8Wr peeuY=Hhbbf9v8qqaqFr0xc9pk0xbba9q8WqFfea0=yr0RYxir=Jbb a9q8aq0=yq=He9q8qqQ8frFve9Fve9Ff0dmeaabaqaciaacaGaaeqa baqabeGadaaakeaaruavP1wzZbItLDhis9wBH5gaiqaajugqbabaaa aaaaaapeGaa83eGaaa@36D2@  p2Nb2, (3.13) перепишем в виде:

a ω 4 +b ω 2 +c=0. MathType@MTEF@5@5@+= feaahGart1ev3aqatCvAUfeBSjuyZL2yd9gzLbvyNv2Caerbov2D09 MBdbqedmvETj2BSbqeeuuDJXwAKbsr4rNCHbGeaGqik8fkY=xipgYl h9vqqj=hEeeu0xXdi9arFj0xirFj0dXdbba91qpK0=yr0RYxfr=Jbb f9q8aq0=yq=He9q8qqQ8frFve9Fve9Ff0dmeaabaqaciaacaGaaeqa baqabeGadaaakeaaqaaaaaaaaaWdbiaadggacqaHjpWDpaWaaWbaaS qabeaapeGaaGinaaaak8aacaaMc8+dbiabgUcaRiaadkgacqaHjpWD paWaaWbaaSqabeaapeGaaGOmaaaak8aacaaMc8+dbiabgUcaRiaado gacqGH9aqpcaaIWaGaaiOlaaaa@412A@                                                                                      (3.14)

Заметим, что старший член уравнения (3.14) всегда положителен, член при ω2 отрицателен, если

1 2 ( N c + H 2 p 2 /(j p 2 )+ G mat  +2 G r )> G mix  , MathType@MTEF@5@5@+= feaahGart1ev3aqatCvAUfeBSjuyZL2yd9gzLbvyNv2Caerbov2D09 MBdbqedmvETj2BSbqeeuuDJXwAKbsr4rNCHbGeaGqik8fkY=xipgYl h9vqqj=hEeeu0xXdi9arFj0xirFj0dXdbba91qpK0=yr0RYxfr=Jbb f9q8aq0=yq=He9q8qqQ8frFve9Fve9Ff0dmeaabaqaciaacaGaaeqa baqabeGadaaakeaaqaaaaaaaaaWdbmaalaaapaqaa8qacaaIXaaapa qaa8qacaaIYaaaa8aacaGGOaWdbiaad6eapaWaaSbaaSqaa8qacaWG JbaapaqabaGcpeGaey4kaSIaamisa8aadaWgaaWcbaWdbiaaikdaa8 aabeaak8qacaWGWbWdamaaCaaaleqabaWdbiaaikdaaaGcpaGaaGza V=qacaGGVaGaaGjcV=aacaGGOaWdbiaadQgacaWGWbWdamaaCaaale qabaWdbiaaikdaaaGcpaGaaiyka8qacqGHRaWkcaWGhbWdamaaBaaa leaapeGaaeyBaiaabggacaqG0bGaaqoOaaWdaeqaaOWdbiabgUcaRi aaikdacaWGhbWdamaaBaaaleaapeGaamOCaaWdaeqaaOGaaiyka8qa cqGH+aGpcaWGhbWdamaaBaaaleaapeGaaeyBaiaabMgacaqG4bGaaq oOaaWdaeqaaOGaiWfGcYcaaaa@5668@

а свободный член (3.14) положителен при p2NaNc + H2 p4Na > p2Nb2. Уравнение (3.14) имеет положительный дискриминант как квадратное уравнение относительно ω2 при (jp2Na + Nc + H2p2)2 > 4jp2(NaNc + H2p2Na MathType@MTEF@5@5@+= feaahGart1ev3aqatCvAUfeBSjuyZL2yd9gzLbvyNv2Caerbov2D09 MBdbqedmvETj2BSbqeeuuDJXwAKbsr4rNCHbGeaGqipCI8FfYJH8Wr peeuY=Hhbbf9v8qqaqFr0xc9pk0xbba9q8WqFfea0=yr0RYxir=Jbb a9q8aq0=yq=He9q8qqQ8frFve9Fve9Ff0dmeaabaqaciaacaGaaeqa baqabeGadaaakeaaruavP1wzZbItLDhis9wBH5gaiqaajugqbabaaa aaaaaapeGaa83eGaaa@36D2@  Nb2). Если все эти условия выполнены, тогда положительные корни (3.13) можно записать в виде

ω 1,2 p = b 2a ± b 2a 2 c a MathType@MTEF@5@5@+= feaahGart1ev3aqatCvAUfeBSjuyZL2yd9gzLbvyNv2Caerbov2D09 MBdbqedmvETj2BSbqeeuuDJXwAKbsr4rNCHbGeaGqik8fkY=xipgYl h9vqqj=hEeeu0xXdi9arFj0xirFj0dXdbba91qpK0=yr0RYxfr=Jbb f9q8aq0=yq=He9q8qqQ8frFve9Fve9Ff0dmeaabaqaciaacaGaaeqa baqabeGadaaakeaaqaaaaaaaaaWdbiabeM8a39aadaWgaaWcbaWdbi aaigdacaGGSaGaaGOmaaWdaeqaaOWdbmaabmaapaqaa8qacaWGWbaa caGLOaGaayzkaaGaeyypa0ZaaOaaa8aabaWdbiabgkHiTmaalaaapa qaa8qacaWGIbaapaqaa8qacaaIYaGaamyyaaaacqGHXcqSdaGcaaWd aeaapeWaaeWaa8aabaWdbmaalaaapaqaa8qacaWGIbaapaqaa8qaca aIYaGaamyyaaaaaiaawIcacaGLPaaapaWaaWbaaSqabeaapeGaaGOm aaaakiabgkHiTmaalaaapaqaa8qacaWGJbaapaqaa8qacaWGHbaaaa Wcbeaaaeqaaaaa@47EB@                                                               (3.15)

Примем без ограничения общности в (3.15), что 0 < ω1(p) < ω2(p). При p → ∞ и предположении, что H2 > jNa, корень ω1 имеет асимптоту p N a /ρ  MathType@MTEF@5@5@+= feaahGart1ev3aqatCvAUfeBSjuyZL2yd9gzLbvyNv2Caerbov2D09 MBdbqedmvETj2BSbqefm0B1jxALjhiov2DaerbuLwBLnhiov2DGi1B TfMBaebbnrfifHhDYfgasaacH8Wrpu0dbbf9q8qqaqpepec8Eeeu0x Xdbba9frFj0=OqFfea0dXdd9vqaq=JfrVkFHe9pgea0dXdar=Jb9hs 0dXdbPYxe9vr0=vr0=vqpWqaaeaabiGaaiaacaqabeaadaabauaaaO qaaabaaaaaaaaapeGaamiCamaakaaapaqaa8qacaWGobWdamaaBaaa leaapeGaamyyaaWdaeqaaOGaaGjcV=qacaGGVaGaaGjcVlabeg8aYj aaKdkaaSqabaaaaa@42C5@ , а корень ω2 имеет асимптоту p H 2 /(jρ) . MathType@MTEF@5@5@+= feaahGart1ev3aqatCvAUfeBSjuyZL2yd9gzLbvyNv2Caerbov2D09 MBdbqedmvETj2BSbqeeuuDJXwAKbsr4rNCHbGeaGqik8fkY=xipgYl h9vqqj=hEeeu0xXdi9arFj0xirFj0dXdbba91qpK0=yr0RYxfr=Jbb f9q8aq0=yq=He9q8qqQ8frFve9Fve9Ff0dmeaabaqaciaacaGaaeqa baqabeGadaaakeaaqaaaaaaaaaWdbiaadchadaGcaaWdaeaapeGaam isa8aadaWgaaWcbaWdbiaaikdaa8aabeaakiaayIW7peGaai4laiaa yIW7caGGOaGaamOAaiabeg8aYjaacMcaaSqabaGccaGGUaaaaa@3CF0@

В терминах фазовой скорости (vɸ ≡ ω/p) решение (3.15) может быть переформулировано:

v ϕ 1,2 = b 2a p 2 ± b 2a p 2 2 c a p 4 . MathType@MTEF@5@5@+= feaahGart1ev3aqatCvAUfeBSjuyZL2yd9gzLbvyNv2Caerbov2D09 MBdbqedmvETj2BSbqeeuuDJXwAKbsr4rNCHbGeaGqik8fkY=xipgYl h9vqqj=hEeeu0xXdi9arFj0xirFj0dXdbba91qpK0=yr0RYxfr=Jbb f9q8aq0=yq=He9q8qqQ8frFve9Fve9Ff0dmeaabaqaciaacaGaaeqa baqabeGadaaakeaaqaaaaaaaaaWdbiaadAhapaWaaSbaaSqaa8qacq aHvpGzpaWaaSbaaWqaa8qacaaIXaGaaiilaiaaikdaa8aabeaaaSqa baGccaaMc8+dbiabg2da9maakaaapaqaa8qacqGHsisldaWcaaWdae aapeGaamOyaaWdaeaapeGaaGOmaiaadggacaWGWbWdamaaCaaaleqa baWdbiaaikdaaaaaaOGaeyySae7aaOaaa8aabaWdbmaabmqapaqaa8 qadaWcaaWdaeaapeGaamOyaaWdaeaapeGaaGOmaiaadggacaWGWbWd amaaCaaaleqabaWdbiaaikdaaaaaaaGccaGLOaGaayzkaaWdamaaCa aaleqabaWdbiaaikdaaaGcpaGaaGPaV=qacqGHsisldaWcaaWdaeaa peGaam4yaaWdaeaapeGaamyyaiaadchapaWaaWbaaSqabeaapeGaaG inaaaaaaaabeaaaeqaaOGaaiOlaaaa@508F@                                                        (3.16)

Корни (3.15) можно записать в виде групповой скорости волны, когда vg ≡  ω/p. Фазовая и групповая скорости волны имеют две одинаковые асимптоты при p → ∞, а именно: (Na/ρ)1/2 для vg1, vɸ1 и (H2/( ))1/2 для vg2, vɸ2.

Соответственно уравнения движения (3.7) имеют два решения вида (3.8):

u i = A 1i cos px+ ω i t + A 2i sin px+ ω i t , φ i = B 1i cos px+ ω i t + B 1i sin px+ ω i t , MathType@MTEF@5@5@+= feaahGart1ev3aqatCvAUfeBSjuyZL2yd9gzLbvyNv2Caerbov2D09 MBdbqedmvETj2BSbqeeuuDJXwAKbsr4rNCHbGeaGqik8fkY=xipgYl h9vqqj=hEeeu0xXdi9arFj0xirFj0dXdbba91qpK0=yr0RYxfr=Jbb f9q8aq0=yq=He9q8qqQ8frFve9Fve9Ff0dmeaabaqaciaacaGaaeqa baqabeGadaaakeaafaqaaeqabaaabaqbaeaabiqaaaqaaabaaaaaaa aapeGaamyDa8aadaWgaaWcbaWdbiaadMgaa8aabeaak8qacqGH9aqp caWGbbWdamaaBaaaleaapeGaaGymaiaadMgaa8aabeaak8qacaqGJb Gaae4BaiaabohadaqadaWdaeaapeGaamiCaiaadIhacqGHRaWkcqaH jpWDpaWaaSbaaSqaa8qacaWGPbaapaqabaGcpeGaamiDaaGaayjkai aawMcaaiabgUcaRiaadgeapaWaaSbaaSqaa8qacaaIYaGaamyAaaWd aeqaaOWdbiaabohacaqGPbGaaeOBamaabmaapaqaa8qacaWGWbGaam iEaiabgUcaRiabeM8a39aadaWgaaWcbaWdbiaadMgaa8aabeaak8qa caWG0baacaGLOaGaayzkaaGaaiilaaWdaeaapeGaeqOXdO2damaaBa aaleaapeGaamyAaaWdaeqaaOWdbiabg2da9iaadkeapaWaaSbaaSqa a8qacaaIXaGaamyAaaWdaeqaaOWdbiaabogacaqGVbGaae4Camaabm aapaqaa8qacaWGWbGaamiEaiabgUcaRiabeM8a39aadaWgaaWcbaWd biaadMgaa8aabeaak8qacaWG0baacaGLOaGaayzkaaGaey4kaSIaam Oqa8aadaWgaaWcbaWdbiaaigdacaWGPbaapaqabaGcpeGaae4Caiaa bMgacaqGUbWaaeWaa8aabaWdbiaadchacaWG4bGaey4kaSIaeqyYdC 3damaaBaaaleaapeGaamyAaaWdaeqaaOWdbiaadshaaiaawIcacaGL PaaacaGGSaaaaaaaaaa@756C@                                                   (3.17)

где i = 1, 2, причем A1i, B2i находятся из системы (3.10) при ω = ωi, а A2i, B1i MathType@MTEF@5@5@+= feaahGart1ev3aqatCvAUfeBSjuyZL2yd9gzLbvyNv2Caerbov2D09 MBdbqedmvETj2BSbqeeuuDJXwAKbsr4rNCHbGeaGqipCI8FfYJH8Wr peeuY=Hhbbf9v8qqaqFr0xc9pk0xbba9q8WqFfea0=yr0RYxir=Jbb a9q8aq0=yq=He9q8qqQ8frFve9Fve9Ff0dmeaabaqaciaacaGaaeqa baqabeGadaaakeaaruavP1wzZbItLDhis9wBH5gaiqaajugqbabaaa aaaaaapeGaa83eGaaa@36D2@  из системы (3.11) при ω = ωi . Из этих систем получим:

B 1i = A 2i κ i , MathType@MTEF@5@5@+= feaahGart1ev3aaatCvAUfeBSjuyZL2yd9gzLbvyNv2Caerbov2D09 MBdbqedmvETj2BSbqefm0B1jxALjhiov2DaerbuLwBLnhiov2DGi1B TfMBaebbnrfifHhDYfgasaacH8Wrpu0dbbf9q8qqaqpepec8Eeeu0x Xdbba9frFj0=OqFfea0dXdd9vqaq=JfrVkFHe9pgea0dXdar=Jb9hs 0dXdbPYxe9vr0=vr0=vqpWqaaeaabiGaaiaacaqabeaadaabauaaaO qaaabaaaaaaaaapeGaamOqa8aadaWgaaWcbaWdbiaaigdacaWGPbaa paqabaGcpeGaeyypa0Jaamyqa8aadaWgaaWcbaWdbiaaikdacaWGPb aapaqabaGcpeGaaOOUd8aadaWgaaWcbaWdbiaadMgaa8aabeaakiaa cYcaaaa@4266@                                                                                                     (3.18)

B 2i = A 1i κ i , MathType@MTEF@5@5@+= feaahGart1ev3aqatCvAUfeBSjuyZL2yd9gzLbvyNv2Caerbov2D09 MBdbqedmvETj2BSbqefm0B1jxALjhiov2DaerbuLwBLnhiov2DGi1B TfMBaebbnrfifHhDYfgasaacH8Wrpu0dbbf9q8qqaqpepec8Eeeu0x Xdbba9frFj0=OqFfea0dXdd9vqaq=JfrVkFHe9pgea0dXdar=Jb9hs 0dXdbPYxe9vr0=vr0=vqpWqaaeaabiGaaiaacaqabeaadaabauaaaO qaaabaaaaaaaaapeGaamOqa8aadaWgaaWcbaWdbiaaikdacaWGPbaa paqabaGcpeGaeyypa0JaeyOeI0Iaamyqa8aadaWgaaWcbiqaaKncpe GaaGjcVlaaigdacaWGPbaapaqabaGcpeGaaOOUd8aadaWgaaWcbaWd biaadMgaa8aabeaakiaacYcaaaa@45C9@

где

κ i   ρ ω i 2 p 2 N a p N b = p N b N c H 2 p 2 +jρ ω i 2 . MathType@MTEF@5@5@+= feaahGart1ev3aqatCvAUfeBSjuyZL2yd9gzLbvyNv2Caerbov2D09 MBdbqedmvETj2BSbqefm0B1jxALjhiov2DaerbuLwBLnhiov2DGi1B TfMBaebbnrfifHhDYfgasaacH8Wrpu0dbbf9q8qqaqpepec8Eeeu0x Xdbba9frFj0=OqFfea0dXdd9vqaq=JfrVkFHe9pgea0dXdar=Jb9hs 0dXdbPYxe9vr0=vr0=vqpWqaaeaabiGaaiaacaqabeaadaabauaaaO qaaabaaaaaaaaapeGaaOOUd8aadaWgaaWcbaWdbiaadMgaa8aabeaa kmaaBaaaleaapeGaaiiOaaWdaeqaaOWdbiabggMi6kabgkHiTmaala aapaqaa8qacqaHbpGCcaaMi8UaeqyYdC3damaaDaaaleaapeGaamyA aaWdaeaapeGaaGOmaaaakiabgkHiTiaadchapaWaaWbaaSqabeaape GaaGOmaaaakiaad6eapaWaaSbaaSqaa8qacaWGHbaapaqabaaakeaa peGaamiCaiaad6eapaWaaSbaaSqaa8qacaWGIbaapaqabaaaaOWdbi abg2da9maalaaapaqaa8qacaWGWbGaamOta8aadaWgaaWcbaWdbiaa dkgaa8aabeaaaOqaa8qacqGHsislcaWGobWdamaaBaaaleaapeGaam 4yaaWdaeqaaOWdbiabgkHiTiaadIeapaWaaSbaaSqaa8qacaaIYaaa paqabaGcpeGaamiCa8aadaahaaWcbeqaa8qacaaIYaaaaOGaey4kaS IaamOAaiabeg8aYjaayIW7cqaHjpWDpaWaa0baaSqaa8qacaWGPbaa paqaa8qacaaIYaaaaaaakiaac6caaaa@64FD@                                                 (3.19)

Проанализируем величины ϰ1 и ϰ2. Введем обозначение ξ = H2 p2 + Nc и подставим (3.15) в (3.19), тогда

ρ ω 1 2 p 2 N a p N b = ξjρp N a ξjρp N a 2 +4jρ p 2 N b 2jp N b , ρ ω 2 2 p 2 N a p N b = ξjρp N a + ξjρp N a 2 +4jρ p 2 N b 2jp N b . MathType@MTEF@5@5@+= feaahGart1ev3aqatCvAUfeBSjuyZL2yd9gzLbvyNv2Caerbov2D09 MBdbqedmvETj2BSbqefm0B1jxALjhiov2DaerbuLwBLnhiov2DGi1B TfMBaebbnrfifHhDYfgasaacH8Wrpu0dbbf9q8qqaqpepec8Eeeu0x Xdbba9frFj0=OqFfea0dXdd9vqaq=JfrVkFHe9pgea0dXdar=Jb9hs 0dXdbPYxe9vr0=vr0=vqpWqaaeaabiGaaiaacaqabeaadaabauaaaO qaauaabaqaceaaaeaaqaaaaaaaaaWdbiabgkHiTmaalaaapaqaa8qa cqaHbpGCcqaHjpWDpaWaa0baaSqaa8qacaaIXaaapaqaa8qacaaIYa aaaOGaeyOeI0IaamiCa8aadaahaaWcbeqaa8qacaaIYaaaaOGaamOt a8aadaWgaaWcbaWdbiaadggaa8aabeaaaOqaa8qacaWGWbGaamOta8 aadaWgaaWcbaWdbiaadkgaa8aabeaaaaGcpeGaeyypa0ZaaSaaa8aa baWdbiabe67a4jabgkHiTiaadQgacqaHbpGCcaWGWbGaamOta8aada WgaaWcbaWdbiaadggaa8aabeaak8qacqGHsisldaGcaaWdaeaapeWa aeWaa8aabaWdbiabe67a4jabgkHiTiaadQgacqaHbpGCcaWGWbGaam Ota8aadaWgaaWcbaWdbiaadggaa8aabeaaaOWdbiaawIcacaGLPaaa paWaaWbaaSqabeaapeGaaGOmaaaakiabgUcaRiaaisdacaWGQbGaeq yWdiNaamiCa8aadaahaaWcbeqaa8qacaaIYaaaaOGaamOta8aadaWg aaWcbaWdbiaadkgaa8aabeaaa8qabeaaaOWdaeaapeGaeyOeI0IaaG OmaiaadQgacaWGWbGaamOta8aadaWgaaWcbaWdbiaadkgaa8aabeaa aaGcpeGaaiilaaWdaeaapeGaeyOeI0YaaSaaa8aabaWdbiabeg8aYj abeM8a39aadaqhaaWcbaWdbiaaikdaa8aabaWdbiaaikdaaaGccqGH sislcaWGWbWdamaaCaaaleqabaWdbiaaikdaaaGccaWGobWdamaaBa aaleaapeGaamyyaaWdaeqaaaGcbaWdbiaadchacaWGobWdamaaBaaa leaapeGaamOyaaWdaeqaaaaak8qacqGH9aqpdaWcaaWdaeaapeGaeq OVdGNaeyOeI0IaamOAaiabeg8aYjaadchacaWGobWdamaaBaaaleaa peGaamyyaaWdaeqaaOWdbiabgUcaRmaakaaapaqaa8qadaqadaWdae aapeGaeqOVdGNaeyOeI0IaamOAaiabeg8aYjaadchacaWGobWdamaa BaaaleaapeGaamyyaaWdaeqaaaGcpeGaayjkaiaawMcaa8aadaahaa Wcbeqaa8qacaaIYaaaaOGaey4kaSIaaGinaiaadQgacqaHbpGCcaWG WbWdamaaCaaaleqabaWdbiaaikdaaaGccaWGobWdamaaBaaaleaape GaamOyaaWdaeqaaaWdbeqaaaGcpaqaa8qacqGHsislcaaIYaGaamOA aiaadchacaWGobWdamaaBaaaleaapeGaamOyaaWdaeqaaaaak8qaca GGUaaaaaaa@A059@                                (3.20)

Справедлива оценка

κ 1 p = ρ ω 1 2 p 2 N a p 2 N b < 1 p 2 N b ξj p 2 N a |ξj p 2 N a |  0, MathType@MTEF@5@5@+= feaahGart1ev3aqatCvAUfeBSjuyZL2yd9gzLbvyNv2Caerbov2D09 MBdbqedmvETj2BSbqefm0B1jxALjhiov2DaerbuLwBLnhiov2DGi1B TfMBaebbnrfifHhDYfgasaacH8Wrpu0dbbf9q8qqaqpepec8Eeeu0x Xdbba9frFj0=OqFfea0dXdd9vqaq=JfrVkFHe9pgea0dXdar=Jb9hs 0dXdbPYxe9vr0=vr0=vqpWqaaeaabiGaaiaacaqabeaadaabauaaaO qaaabaaaaaaaaapeWaaSaaa8aabaWdbiaakQ7apaWaaSbaaSqaa8qa caaIXaaapaqabaaakeaapeGaamiCaaaacqGH9aqpcqGHsisldaWcaa WdaeaapeGaeqyWdiNaeqyYdC3damaaDaaaleaapeGaaGymaaWdaeaa peGaaGOmaaaakiabgkHiTiaadchapaWaaWbaaSqabeaapeGaaGOmaa aakiaad6eapaWaaSbaaSqaa8qacaWGHbaapaqabaaakeaapeGaamiC a8aadaahaaWcbeqaa8qacaaIYaaaaOGaamOta8aadaWgaaWcbaWdbi aadkgaa8aabeaaaaGcpeGaeyipaWZaaSaaa8aabaWdbiaaigdaa8aa baWdbiaadchapaWaaWbaaSqabeaapeGaaGOmaaaakiaad6eapaWaaS baaSqaa8qacaWGIbaapaqabaaaaOWdbmaabmaapaqaa8qacqaH+oaE cqGHsislcaWGQbGaamiCa8aadaahaaWcbeqaa8qacaaIYaaaaOGaam Ota8aadaWgaaWcbaWdbiaadggaa8aabeaak8qacqGHsislcaaMe8Ua aiiFaiaaykW7cqaH+oaEcqGHsislcaWGQbGaamiCa8aadaahaaWcbe qaa8qacaaIYaaaaOGaamOta8aadaWgaaWcbaWdbiaadggaa8aabeaa kiaaykW7peGaaiiFaaGaayjkaiaawMcaaiaacckacaaMe8UaeyizIm QaaGjbVlaaicdacaGGSaaaaa@7358@                          (3.21)

κ 2 p = ρ ω 2 2 p 2 N a p 2 N b > 1 p 2 N b ξj p 2 N a +|ξj p 2 N a | 0. MathType@MTEF@5@5@+= feaahGart1ev3aqatCvAUfeBSjuyZL2yd9gzLbvyNv2Caerbov2D09 MBdbqedmvETj2BSbqefm0B1jxALjhiov2DaerbuLwBLnhiov2DGi1B TfMBaebbnrfifHhDYfgasaacH8Wrpu0dbbf9q8qqaqpepec8Eeeu0x Xdbba9frFj0=OqFfea0dXdd9vqaq=JfrVkFHe9pgea0dXdar=Jb9hs 0dXdbPYxe9vr0=vr0=vqpWqaaeaabiGaaiaacaqabeaadaabauaaaO qaaabaaaaaaaaapeWaaSaaa8aabaWdbiaakQ7apaWaaSbaaSqaa8qa caaIYaaapaqabaaakeaapeGaamiCaaaacqGH9aqpcqGHsisldaWcaa WdaeaapeGaeqyWdiNaaGjcVlabeM8a39aadaqhaaWcbaWdbiaaikda a8aabaWdbiaaikdaaaGccqGHsislcaWGWbWdamaaCaaaleqabaWdbi aaikdaaaGccaWGobWdamaaBaaaleaapeGaamyyaaWdaeqaaaGcbaWd biaadchapaWaaWbaaSqabeaapeGaaGOmaaaakiaad6eapaWaaSbaaS qaa8qacaWGIbaapaqabaaaaOWdbiabg6da+maalaaapaqaa8qacaaI Xaaapaqaa8qacaWGWbWdamaaCaaaleqabaWdbiaaikdaaaGccaWGob WdamaaBaaaleaapeGaamOyaaWdaeqaaaaak8qadaqadaWdaeaapeGa eqOVdGNaeyOeI0IaamOAaiaadchapaWaaWbaaSqabeaapeGaaGOmaa aakiaad6eapaWaaSbaaSqaa8qacaWGHbaapaqabaGcpeGaey4kaSIa aGjbVlaacYhacaaMc8UaeqOVdGNaeyOeI0IaamOAaiaadchapaWaaW baaSqabeaapeGaaGOmaaaakiaad6eapaWaaSbaaSqaa8qacaWGHbaa paqabaGccaaMc8+dbiaacYhaaiaawIcacaGLPaaacaaMe8UaeyyzIm RaaGjbVlaaicdacaGGUaaaaa@73D3@

Следовательно, ϰ1/p < 0, ϰ2/p > 0 при Nb > 0. Кроме того, заметим, что если умножить ϰ1 (ω1 подставляем в левую часть (3.19)) на ϰ2 (ω2 подставляем в правую часть (3.19)), то подобные множители сократятся, и в итоге получим

ϰ1ϰ2=1j,                                                                                                      (3.22)

что означает существование связи между параметрами ϰ1 и ϰ2.

Аналогичный результат может быть получен в работе [12]:

a ˜ 1 = J ˜ ρ ˜ a ˜ 2 1 , MathType@MTEF@5@5@+= feaahGart1ev3aqatCvAUfeBSjuyZL2yd9gzLbvyNv2Caerbov2D09 MBdbqedmvETj2BSbqeeuuDJXwAKbsr4rNCHbGeaGqik8fkY=xipgYl h9vqqj=hEeeu0xXdi9arFj0xirFj0dXdbba91qpK0=yr0RYxfr=Jbb f9q8aq0=yq=He9q8qqQ8frFve9Fve9Ff0dmeaabaqaciaacaGaaeqa baqabeGadaaakeaaqaaaaaaaaaWdbiqadggapaGbaGaadaWgaaWcba Wdbiaaigdaa8aabeaak8qacqGH9aqpcqGHsisldaWcaaWdaeaapeGa bmOsa8aagaacaaqaa8qacuaHbpGCpaGbaGaaaaWdbiabgwSixpaabm aapaqaa8qaceWGHbWdayaaiaWaaSbaaSqaa8qacaaIYaaapaqabaaa k8qacaGLOaGaayzkaaWdamaaCaaaleqabaWdbiabgkHiTiaaigdaaa GcpaGaaiilaaaa@4130@                                                                                                  (3.23)

где ρ ˜ MathType@MTEF@5@5@+= feaahGart1ev3aqatCvAUfeBSjuyZL2yd9gzLbvyNv2Caerbov2D09 MBdbqedmvETj2BSbqefm0B1jxALjhiov2DaerbuLwBLnhiov2DGi1B TfMBaebbnrfifHhDYfgasaacH8Wrpu0dbbf9q8qqaqpepec8Eeeu0x Xdbba9frFj0=OqFfea0dXdd9vqaq=JfrVkFHe9pgea0dXdar=Jb9hs 0dXdbPYxe9vr0=vr0=vqpWqaaeaabiGaaiaacaqabeaadaabauaaaO qaaabaaaaaaaaapeGafqyWdi3dayaaiaaaaa@3A2C@   MathType@MTEF@5@5@+= feaahGart1ev3aqatCvAUfeBSjuyZL2yd9gzLbvyNv2Caerbov2D09 MBdbqedmvETj2BSbqeeuuDJXwAKbsr4rNCHbGeaGqipCI8FfYJH8Wr peeuY=Hhbbf9v8qqaqFr0xc9pk0xbba9q8WqFfea0=yr0RYxir=Jbb a9q8aq0=yq=He9q8qqQ8frFve9Fve9Ff0dmeaabaqaciaacaGaaeqa baqabeGadaaakeaaruavP1wzZbItLDhis9wBH5gaiqaajugqbabaaa aaaaaapeGaa83eGaaa@36D2@  удельная плотность массы конструкции, J ˜ MathType@MTEF@5@5@+= feaahGart1ev3aqatCvAUfeBSjuyZL2yd9gzLbvyNv2Caerbov2D09 MBdbqedmvETj2BSbqefm0B1jxALjhiov2DaerbuLwBLnhiov2DGi1B TfMBaebbnrfifHhDYfgasaacH8Wrpu0dbbf9q8qqaqpepec8Eeeu0x Xdbba9frFj0=OqFfea0dXdd9vqaq=JfrVkFHe9pgea0dXdar=Jb9hs 0dXdbPYxe9vr0=vr0=vqpWqaaeaabiGaaiaacaqabeaadaabauaaaO qaaabaaaaaaaaapeGabmOsa8aagaacaaaa@393B@   MathType@MTEF@5@5@+= feaahGart1ev3aqatCvAUfeBSjuyZL2yd9gzLbvyNv2Caerbov2D09 MBdbqedmvETj2BSbqeeuuDJXwAKbsr4rNCHbGeaGqipCI8FfYJH8Wr peeuY=Hhbbf9v8qqaqFr0xc9pk0xbba9q8WqFfea0=yr0RYxir=Jbb a9q8aq0=yq=He9q8qqQ8frFve9Fve9Ff0dmeaabaqaciaacaGaaeqa baqabeGadaaakeaaruavP1wzZbItLDhis9wBH5gaiqaajugqbabaaa aaaaaapeGaa83eGaaa@36D2@  удельный момент инерции включений, a ˜ i MathType@MTEF@5@5@+= feaahGart1ev3aqatCvAUfeBSjuyZL2yd9gzLbvyNv2Caerbov2D09 MBdbqedmvETj2BSbqefm0B1jxALjhiov2DaerbuLwBLnhiov2DGi1B TfMBaebbnrfifHhDYfgasaacH8Wrpu0dbbf9q8qqaqpepec8Eeeu0x Xdbba9frFj0=OqFfea0dXdd9vqaq=JfrVkFHe9pgea0dXdar=Jb9hs 0dXdbPYxe9vr0=vr0=vqpWqaaeaabiGaaiaacaqabeaadaabauaaaO qaaabaaaaaaaaapeGabmyya8aagaacamaaBaaaleaapeGaamyAaaWd aeqaaaaa@3A8B@   MathType@MTEF@5@5@+= feaahGart1ev3aqatCvAUfeBSjuyZL2yd9gzLbvyNv2Caerbov2D09 MBdbqedmvETj2BSbqeeuuDJXwAKbsr4rNCHbGeaGqipCI8FfYJH8Wr peeuY=Hhbbf9v8qqaqFr0xc9pk0xbba9q8WqFfea0=yr0RYxir=Jbb a9q8aq0=yq=He9q8qqQ8frFve9Fve9Ff0dmeaabaqaciaacaGaaeqa baqabeGadaaakeaaruavP1wzZbItLDhis9wBH5gaiqaajugqbabaaa aaaaaapeGaa83eGaaa@36D2@  соответствует введенному обозначению в работе [12].

Учитывая соотношения (3.17) и (3.18) получим:

u i = A 1i cos px+ ω i t + A 2i sin px+ ω i t , MathType@MTEF@5@5@+= feaahGart1ev3aqatCvAUfeBSjuyZL2yd9gzLbvyNv2Caerbov2D09 MBdbqedmvETj2BSbqefm0B1jxALjhiov2DaerbuLwBLnhiov2DGi1B TfMBaebbnrfifHhDYfgasaacH8Wrpu0dbbf9q8qqaqpepec8Eeeu0x Xdbba9frFj0=OqFfea0dXdd9vqaq=JfrVkFHe9pgea0dXdar=Jb9hs 0dXdbPYxe9vr0=vr0=vqpWqaaeaabiGaaiaacaqabeaadaabauaaaO qaaabaaaaaaaaapeGaamyDa8aadaWgaaWcbaWdbiaadMgaa8aabeaa k8qacqGH9aqpcaWGbbWdamaaBaaaleaapeGaaGymaiaadMgaa8aabe aak8qaciGGJbGaai4BaiaacohadaqadaWdaeaapeGaamiCaiaadIha cqGHRaWkcqaHjpWDpaWaaSbaaSqaa8qacaWGPbaapaqabaGcpeGaam iDaaGaayjkaiaawMcaaiabgUcaRiaadgeapaWaaSbaaSqaa8qacaaI YaGaamyAaaWdaeqaaOWdbiGacohacaGGPbGaaiOBamaabmaapaqaa8 qacaWGWbGaamiEaiabgUcaRiabeM8a39aadaWgaaWcbaWdbiaadMga a8aabeaak8qacaWG0baacaGLOaGaayzkaaGaaiilaaaa@59FC@

φ i = κ   i A 2i cos px+ ω i t A 1i sin px+ ω i t . MathType@MTEF@5@5@+= feaahGart1ev3aqatCvAUfeBSjuyZL2yd9gzLbvyNv2Caerbov2D09 MBdbqedmvETj2BSbqefm0B1jxALjhiov2DaerbuLwBLnhiov2DGi1B TfMBaebbnrfifHhDYfgasaacH8Wrpu0dbbf9q8qqaqpepec8Eeeu0x Xdbba9frFj0=OqFfea0dXdd9vqaq=JfrVkFHe9pgea0dXdar=Jb9hs 0dXdbPYxe9vr0=vr0=vqpWqaaeaabiGaaiaacaqabeaadaabauaaaO qaaabaaaaaaaaapeGaeqOXdO2damaaBaaaleaapeGaamyAaaWdaeqa aOWdbiabg2da9iaakQ7apaWaaSbaaSqaa8qacaGGGcaapaqabaGcda WgaaWcbaWdbiaadMgaa8aabeaak8qadaqadaWdaeaapeGaamyqa8aa daWgaaWcbaWdbiaaikdacaWGPbaapaqabaGcpeGaci4yaiaac+gaca GGZbWaaeWaa8aabaWdbiaadchacaWG4bGaey4kaSIaeqyYdC3damaa BaaaleaapeGaamyAaaWdaeqaaOWdbiaadshaaiaawIcacaGLPaaacq GHsislcaWGbbWdamaaBaaaleaapeGaaGymaiaadMgaa8aabeaak8qa ciGGZbGaaiyAaiaac6gadaqadaWdaeaapeGaamiCaiaadIhacqGHRa WkcqaHjpWDpaWaaSbaaSqaa8qacaWGPbaapaqabaGcpeGaamiDaaGa ayjkaiaawMcaaaGaayjkaiaawMcaaiaac6caaaa@6098@                                                     (3.24)

Отсюда легко заметить, что

φ i x,t = κ   i p u i (x,t) x = κ   i ω i u i (x,t) t . MathType@MTEF@5@5@+= feaahGart1ev3aqatCvAUfeBSjuyZL2yd9gzLbvyNv2Caerbov2D09 MBdbqedmvETj2BSbqefm0B1jxALjhiov2DaerbuLwBLnhiov2DGi1B TfMBaebbnrfifHhDYfgasaacH8Wrpu0dbbf9q8qqaqpepec8Eeeu0x Xdbba9frFj0=OqFfea0dXdd9vqaq=JfrVkFHe9pgea0dXdar=Jb9hs 0dXdbPYxe9vr0=vr0=vqpWqaaeaabiGaaiaacaqabeaadaabauaaaO qaaabaaaaaaaaapeGaeqOXdO2damaaBaaaleaapeGaamyAaaWdaeqa aOWdbmaabmaapaqaa8qacaWG4bGaaiilaiaadshaaiaawIcacaGLPa aacqGH9aqpdaWcaaWdaeaapeGaaOOUd8aadaWgaaWcbaWdbiaaccka a8aabeaakmaaBaaaleaapeGaamyAaaWdaeqaaaGcbaWdbiaadchaaa WaaSaaa8aabaWdbiabgkGi2kaadwhapaWaaSbaaSqaa8qacaWGPbaa paqabaGcpeGaaiikaiaadIhacaGGSaGaamiDaiaacMcaa8aabaWdbi abgkGi2kaadIhaaaGaeyypa0ZaaSaaa8aabaWdbiaakQ7apaWaaSba aSqaa8qacaGGGcaapaqabaGcdaWgaaWcbaWdbiaadMgaa8aabeaaaO qaa8qacqaHjpWDpaWaaSbaaSqaa8qacaWGPbaapaqabaaaaOWdbmaa laaapaqaa8qacqGHciITcaWG1bWdamaaBaaaleaapeGaamyAaaWdae qaaOWdbiaacIcacaWG4bGaaiilaiaadshacaGGPaaapaqaa8qacqGH ciITcaWG0baaaiaac6caaaa@6423@         (3.25)

Из (3.22) и соотношения (3.25) следует, что при движениях с меньшей частотой sign φ 1 (x,t) =sign u 1 (x,t)/x , MathType@MTEF@5@5@+= feaahGart1ev3aqatCvAUfeBSjuyZL2yd9gzLbvyNv2Caerbov2D09 MBdbqedmvETj2BSbqefm0B1jxALjhiov2DaerbuLwBLnhiov2DGi1B TfMBaebbnrfifHhDYfgasaacH8Wrpu0dbbf9q8qqaqpepec8Eeeu0x Xdbba9frFj0=OqFfea0dXdd9vqaq=JfrVkFHe9pgea0dXdar=Jb9hs 0dXdbPYxe9vr0=vr0=vqpWqaaeaabiGaaiaacaqabeaadaabauaaaO qaaabaaaaaaaaapeGaae4CaiaabMgacaqGNbGaaeOBamaabmaapaqa a8qacqaHgpGApaWaaSbaaSqaa8qacaaIXaaapaqabaGcpeGaaiikai aadIhacaGGSaGaamiDaiaacMcaaiaawIcacaGLPaaacqGH9aqpcqGH sislcaqGZbGaaeyAaiaabEgacaqGUbWaaeWaa8aabaWdbiabgkGi2k aadwhapaWaaSbaaSqaa8qacaaIXaaapaqabaGcpeGaaiikaiaadIha caGGSaGaamiDaiaacMcacaaMc8Uaai4laiaaykW7cqGHciITcaWG4b aacaGLOaGaayzkaaGaaiilaaaa@5A60@  и значит, повороты включений сонаправлены со смещением полосы, а при движениях с большей частотой sign φ 2 (x,t) =sign u 2 (x,t)/x , MathType@MTEF@5@5@+= feaahGart1ev3aqatCvAUfeBSjuyZL2yd9gzLbvyNv2Caerbov2D09 MBdbqedmvETj2BSbqefm0B1jxALjhiov2DaerbuLwBLnhiov2DGi1B TfMBaebbnrfifHhDYfgasaacH8Wrpu0dbbf9q8qqaqpepec8Eeeu0x Xdbba9frFj0=OqFfea0dXdd9vqaq=JfrVkFHe9pgea0dXdar=Jb9hs 0dXdbPYxe9vr0=vr0=vqpWqaaeaabiGaaiaacaqabeaadaabauaaaO qaaabaaaaaaaaapeGaae4CaiaabMgacaqGNbGaaeOBamaabmaapaqa a8qacqaHgpGApaWaaSbaaSqaa8qacaaIYaaapaqabaGcpeGaaiikai aadIhacaGGSaGaamiDaiaacMcaaiaawIcacaGLPaaacqGH9aqpcaqG ZbGaaeyAaiaabEgacaqGUbWaaeWaa8aabaWdbiabgkGi2kaadwhapa WaaSbaaSqaa8qacaaIYaaapaqabaGcpeGaaiikaiaadIhacaGGSaGa amiDaiaacMcacaaMc8Uaai4laiaaykW7cqGHciITcaWG4baacaGLOa GaayzkaaGaaiilaaaa@5975@  направление поворота включений противонаправлено смещению полосы.

Система уравнений (3.7) является линейной относительно u(x, t) и φ(x, t) и однородной. Следовательно, линейные комбинации функций ui(x, t) и φi(x, t) из (3.24), соответствующие разным p и i, также являются решениями системы.

4. Моделирование сдвига полосы. Применим полученный выше результат для изучения собственных колебаний бесконечной в направлении оси Ox1 полосы ширины l (рис. 1). Сохраняя введенные выше обозначения, зададим граничные условия при x = 0 и x = l положим u(0, t) = 0 и u(l, t) = 0, а также потребуем, чтобы ∂φ/x(0, t) = 0 и ∂φ/x(l, t) = 0.

 

Рис. 1. Рассматриваемая бесконечная полоса в отсчетной конфигурации.

 

Для данных граничных условий будем искать решение (3.7) в виде суммы двух выражений вида (3.24): первое соответствует волновому числу p, второе MathType@MTEF@5@5@+= feaahGart1ev3aqatCvAUfeBSjuyZL2yd9gzLbvyNv2Caerbov2D09 MBdbqedmvETj2BSbqeeuuDJXwAKbsr4rNCHbGeaGqipCI8FfYJH8Wr peeuY=Hhbbf9v8qqaqFr0xc9pk0xbba9q8WqFfea0=yr0RYxir=Jbb a9q8aq0=yq=He9q8qqQ8frFve9Fve9Ff0dmeaabaqaciaacaGaaeqa baqabeGadaaakeaaruavP1wzZbItLDhis9wBH5gaiqaajugqbabaaa aaaaaapeGaa83eGaaa@36D2@ p. Для удобства записи далее опустим индекс i, помня, что волновым числам ±p по формулам (3.15) соответствуют частоты ω1 и ω2, ω1( p) = ω1( MathType@MTEF@5@5@+= feaahGart1ev3aqatCvAUfeBSjuyZL2yd9gzLbvyNv2Caerbov2D09 MBdbqedmvETj2BSbqeeuuDJXwAKbsr4rNCHbGeaGqipCI8FfYJH8Wr peeuY=Hhbbf9v8qqaqFr0xc9pk0xbba9q8WqFfea0=yr0RYxir=Jbb a9q8aq0=yq=He9q8qqQ8frFve9Fve9Ff0dmeaabaqaciaacaGaaeqa baqabeGadaaakeaaruavP1wzZbItLDhis9wBH5gaiqaajugqbabaaa aaaaaapeGaa83eGaaa@36D2@ p) и ω2( p) = ω2( MathType@MTEF@5@5@+= feaahGart1ev3aqatCvAUfeBSjuyZL2yd9gzLbvyNv2Caerbov2D09 MBdbqedmvETj2BSbqeeuuDJXwAKbsr4rNCHbGeaGqipCI8FfYJH8Wr peeuY=Hhbbf9v8qqaqFr0xc9pk0xbba9q8WqFfea0=yr0RYxir=Jbb a9q8aq0=yq=He9q8qqQ8frFve9Fve9Ff0dmeaabaqaciaacaGaaeqa baqabeGadaaakeaaruavP1wzZbItLDhis9wBH5gaiqaajugqbabaaa aaaaaapeGaa83eGaaa@36D2@ p). Тогда

u x,t =cos ωt A 1 cos px+ A 2 sin px+ B 1 cos px B 2 sin px + +sin ωt A 1 sin px+ A 2 cos px+ B 1 sin px+ B 2 cos px , φ x,t = κ p u x,t x . MathType@MTEF@5@5@+= feaahGart1ev3aqatCvAUfeBSjuyZL2yd9gzLbvyNv2Caerbov2D09 MBdbqedmvETj2BSbqefm0B1jxALjhiov2DaerbuLwBLnhiov2DGi1B TfMBaebbnrfifHhDYfgasaacH8Wrpu0dbbf9q8qqaqpepec8Eeeu0x Xdbba9frFj0=OqFfea0dXdd9vqaq=JfrVkFHe9pgea0dXdar=Jb9hs 0dXdbPYxe9vr0=vr0=vqpWqaaeaabiGaaiaacaqabeaadaabauaaaO abaiqabaaeaaaaaaaaa8qacaWG1bWaaeWaa8aabaWdbiaadIhacaGG SaGaamiDaaGaayjkaiaawMcaaiabg2da9iaabogacaqGVbGaae4Cam aabmaapaqaa8qacqaHjpWDcaWG0baacaGLOaGaayzkaaWaaeWaa8aa baWdbiaadgeapaWaaSbaaSqaa8qacaaIXaaapaqabaGcpeGaae4yai aab+gacaqGZbGaaqoOaiaadchacaWG4bGaey4kaSIaamyqa8aadaWg aaWcbaWdbiaaikdaa8aabeaak8qacaqGZbGaaeyAaiaab6gacaa5Gc GaamiCaiaadIhacqGHRaWkcaWGcbWdamaaBaaaleaapeGaaGymaaWd aeqaaOWdbiaabogacaqGVbGaae4CaiaaKdkacaWGWbGaamiEaiabgk HiTiaadkeapaWaaSbaaSqaa8qacaaIYaaapaqabaGcpeGaae4Caiaa bMgacaqGUbGaaqoOaiaadchacaWG4baacaGLOaGaayzkaaGaey4kaS cabaGaey4kaSIaaGjbVlaabohacaqGPbGaaeOBamaabmaapaqaa8qa cqaHjpWDcaWG0baacaGLOaGaayzkaaWaaeWaa8aabaWdbiabgkHiTi aadgeapaWaaSbaaSqaa8qacaaIXaaapaqabaGcpeGaae4CaiaabMga caqGUbGaaqoOaiaadchacaWG4bGaey4kaSIaamyqa8aadaWgaaWcba Wdbiaaikdaa8aabeaak8qacaqGJbGaae4Baiaabohacaa5GcGaamiC aiaadIhacqGHRaWkcaWGcbWdamaaBaaaleaapeGaaGymaaWdaeqaaO WdbiaabohacaqGPbGaaeOBaiaaKdkacaWGWbGaamiEaiabgUcaRiaa dkeapaWaaSbaaSqaa8qacaaIYaaapaqabaGcpeGaae4yaiaab+gaca qGZbGaaqoOaiaadchacaWG4baacaGLOaGaayzkaaGaaiilaaqaaiab eA8aQnaabmaapaqaa8qacaWG4bGaaiilaiaadshaaiaawIcacaGLPa aacqGH9aqpdaWcaaWdaeaapeGaaOOUdaWdaeaapeGaamiCaaaadaWc aaWdaeaapeGaeyOaIyRaamyDamaabmaapaqaa8qacaWG4bGaaiilai aadshaaiaawIcacaGLPaaaa8aabaWdbiabgkGi2kaadIhaaaGaaiOl aaaaaa@B059@                                    (4.1)

Учитывая первую пару граничных условий, получим:

A 1 cos pl+ A 2 sin pl+ B 1 cos pl B 2 sin pl=0, A 1 sin pl+ A 2 cos pl+ B 1 sin pl+ B 2 cos pl=0, A 1 + B 1 =0, A 2 + B 2 =0. MathType@MTEF@5@5@+= feaahGart1ev3aqatCvAUfeBSjuyZL2yd9gzLbvyNv2Caerbov2D09 MBdbqedmvETj2BSbqefm0B1jxALjhiov2DaerbuLwBLnhiov2DGi1B TfMBaebbnrfifHhDYfgasaacH8Wrpu0dbbf9q8qqaqpepec8Eeeu0x Xdbba9frFj0=OqFfea0dXdd9vqaq=JfrVkFHe9pgea0dXdar=Jb9hs 0dXdbPYxe9vr0=vr0=vqpWqaaeaabiGaaiaacaqabeaadaabauaaaO abaiqabaaeaaaaaaaaa8qacaWGbbWdamaaBaaaleaapeGaaGymaaWd aeqaaOWdbiaabogacaqGVbGaae4CaiaaKdkacaWGWbGaamiBaiabgU caRiaadgeapaWaaSbaaSqaa8qacaaIYaaapaqabaGcpeGaae4Caiaa bMgacaqGUbGaaqoOaiaadchacaWGSbGaey4kaSIaamOqa8aadaWgaa WcbaWdbiaaigdaa8aabeaak8qacaqGJbGaae4Baiaabohacaa5GcGa amiCaiaadYgacqGHsislcaWGcbWdamaaBaaaleaapeGaaGOmaaWdae qaaOWdbiaabohacaqGPbGaaeOBaiaaKdkacaWGWbGaamiBaiabg2da 9iaaicdacaGGSaaabaGaeyOeI0Iaamyqa8aadaWgaaWcbaWdbiaaig daa8aabeaak8qacaqGZbGaaeyAaiaab6gacaa5GcGaamiCaiaadYga cqGHRaWkcaWGbbWdamaaBaaaleaapeGaaGOmaaWdaeqaaOWdbiaabo gacaqGVbGaae4CaiaaKdkacaWGWbGaamiBaiabgUcaRiaadkeapaWa aSbaaSqaa8qacaaIXaaapaqabaGcpeGaae4CaiaabMgacaqGUbGaaq oOaiaadchacaWGSbGaey4kaSIaamOqa8aadaWgaaWcbaWdbiaaikda a8aabeaak8qacaqGJbGaae4Baiaabohacaa5GcGaamiCaiaadYgacq GH9aqpcaaIWaGaaiilaaqaaiaadgeapaWaaSbaaSqaa8qacaaIXaaa paqabaGcpeGaey4kaSIaamOqa8aadaWgaaWcbaWdbiaaigdaa8aabe aak8qacqGH9aqpcaaIWaGaaiilaaqaaiaadgeapaWaaSbaaSqaa8qa caaIYaaapaqabaGcpeGaey4kaSIaamOqa8aadaWgaaWcbaWdbiaaik daa8aabeaak8qacqGH9aqpcaaIWaGaaiOlaaaaaa@938E@                                                           (4.2)

Отсюда

A 1 = B 1 , A 2 = B 2 , 2 B 1 sin pl=0, 2 B 2 sin pl=0. MathType@MTEF@5@5@+= feaahGart1ev3aqatCvAUfeBSjuyZL2yd9gzLbvyNv2Caerbov2D09 MBdbqedmvETj2BSbqeeuuDJXwAKbsr4rNCHbGeaGqik8fkY=xipgYl h9vqqj=hEeeu0xXdi9arFj0xirFj0dXdbba91qpK0=yr0RYxfr=Jbb f9q8aq0=yq=He9q8qqQ8frFve9Fve9Ff0dmeaabaqaciaacaGaaeqa baqabeGadaaakeaafaqabeabbaaaaeaaqaaaaaaaaaWdbiaadgeapa WaaSbaaSqaa8qacaaIXaaapaqabaGccaaMe8+dbiabg2da9iaaysW7 cqGHsislcaaMc8UaamOqa8aadaWgaaWcbaWdbiaaigdaa8aabeaaki aacYcaaeaapeGaamyqa8aadaWgaaWcbaWdbiaaikdaa8aabeaakiaa ysW7peGaeyypa0JaaGjbVlabgkHiTiaaykW7caWGcbWdamaaBaaale aapeGaaGOmaaWdaeqaaOGaaiilaaqaa8qacaaIYaGaamOqa8aadaWg aaWcbaWdbiaaigdaa8aabeaak8qacaqGZbGaaeyAaiaab6gacaa5Gc GaamiCaiaadYgacqGH9aqpcaaIWaGaaiilaaWdaeaapeGaaGOmaiaa dkeapaWaaSbaaSqaa8qacaaIYaaapaqabaGcpeGaae4CaiaabMgaca qGUbGaaqoOaiaadchacaWGSbGaeyypa0JaaGimaiaac6caaaaaaa@5E88@                                                                                                               (4.3)

Нетривиальное решение этой системы получается при

p=p(k)=πkl, где k.                                                                                      (4.4)

В случае, когда k = 0, решение системы уравнений (3.7) с учетом граничных условий имеет вид:

u=0, φ= A 1 sin 4 G r ρj t+ A 2 cos 4 G r ρj t. MathType@MTEF@5@5@+= feaahGart1ev3aqatCvAUfeBSjuyZL2yd9gzLbvyNv2Caerbov2D09 MBdbqedmvETj2BSbqefm0B1jxALjhiov2DaerbuLwBLnhiov2DGi1B TfMBaebbnrfifHhDYfgasaacH8Wrpu0dbbf9q8qqaqpepec8Eeeu0x Xdbba9frFj0=OqFfea0dXdd9vqaq=JfrVkFHe9pgea0dXdar=Jb9hs 0dXdbPYxe9vr0=vr0=vqpWqaaeaabiGaaiaacaqabeaadaabauaaaO abaiqabaaeaaaaaaaaa8qacaWG1bGaeyypa0JaaGimaiaacYcaaeaa cqaHgpGAcqGH9aqpcaWGbbWdamaaBaaaleaapeGaaGjcVlaaigdaa8 aabeaak8qacaqGZbGaaeyAaiaab6gadaGcaaWdaeaapeWaaSaaa8aa baWdbiaaisdacaWGhbWdamaaBaaaleaapeGaamOCaaWdaeqaaaGcba Wdbiabeg8aYjaadQgaaaaaleqaaOGaamiDaiabgUcaRiaadgeapaWa aSbaaSqaa8qacaaIYaaapaqabaGcpeGaae4yaiaab+gacaqGZbWaaO aaa8aabaWdbmaalaaapaqaa8qacaaI0aGaam4ra8aadaWgaaWcbaWd biaadkhaa8aabeaaaOqaa8qacqaHbpGCcaWGQbaaaaWcbeaakiaads hacaGGUaaaaaa@5954@                                                                              (4.5)

Также отметим, что из (3.15) при p = 0

ω 1 (0) =0, ω 2 (0) = 4 G r ρj . MathType@MTEF@5@5@+= feaahGart1ev3aqatCvAUfeBSjuyZL2yd9gzLbvyNv2Caerbov2D09 MBdbqedmvETj2BSbqefm0B1jxALjhiov2DaerbuLwBLnhiov2DGi1B TfMBaebbnrfifHhDYfgasaacH8Wrpu0dbbf9q8qqaqpepec8Eeeu0x Xdbba9frFj0=OqFfea0dXdd9vqaq=JfrVkFHe9pgea0dXdar=Jb9hs 0dXdbPYxe9vr0=vr0=vqpWqaaeaabiGaaiaacaqabeaadaabauaaaO qaaabaaaaaaaaapeGaeqyYdC3damaaDaaaleaapeGaaGymaaWdaeaa peGaaiikaiaaicdacaGGPaaaaOWdaiaaysW7peGaeyypa0JaaGimai aacYcacaaMe8UaaGjbVlabeM8a39aadaqhaaWcbaWdbiaaikdaa8aa baWdbiaacIcacaaIWaGaaiykaaaakiabg2da9maakaaapaqaa8qada WcaaWdaeaapeGaaGinaiaadEeapaWaaSbaaSqaa8qacaWGYbaapaqa baaakeaapeGaeqyWdiNaaGjcVlaadQgaaaaaleqaaOGaaiOlaaaa@5305@                                                                                              (4.6)

Вторая пара граничных условий также будет выполняться при волновых числах (4.4), поскольку

φx=ϰp2u2x=ϰpu(x,t).                                                                                       (4.7)

Таким образом, собственные сдвиговые колебания полосы из рассматриваемого материала Коссера при заданных граничных условиях описываются функциями:

u i (k) (x,t)=sin( p (k) x)( A 1i (k) sin ω i (k) t+ A 2i (k) cos ω i (k) t), φ (k) (x,t)= k i (k) p k u i (k) x . MathType@MTEF@5@5@+= feaahGart1ev3aqatCvAUfeBSjuyZL2yd9gzLbvyNv2Caerbov2D09 MBdbqedmvETj2BSbqefm0B1jxALjhiov2DaerbuLwBLnhiov2DGi1B TfMBaebbnrfifHhDYfgasaacH8Wrpu0dbbf9q8qqaqpepec8Eeeu0x Xdbba9frFj0=OqFfea0dXdd9vqaq=JfrVkFHe9pgea0dXdar=Jb9hs 0dXdbPYxe9vr0=vr0=vqpWqaaeaabiGaaiaacaqabeaadaabauaaaO qaauaabaqabeaaaeaafaqabeGabaaabaaeaaaaaaaaa8qacaWG1bWd amaaDaaaleaapeGaamyAaaWdaeaapeGaaiikaiaadUgacaGGPaaaaO GaaiikaiaadIhacaGGSaGaamiDaiaacMcacqGH9aqpcaqGZbGaaeyA aiaab6gacaGGOaGaamiCa8aadaahaaWcbeqaa8qacaGGOaGaam4Aai aacMcaaaGccaWG4bGaaiykaiaacIcacaWGbbWdamaaDaaaleaapeGa aGymaiaadMgaa8aabaWdbiaacIcacaWGRbGaaiykaaaakiaabohaca qGPbGaaeOBaiabeM8a39aadaqhaaWcbaWdbiaadMgaa8aabaWdbiaa cIcacaWGRbGaaiykaaaakiaadshacqGHRaWkcaWGbbWdamaaDaaale aapeGaaGOmaiaadMgaa8aabaWdbiaacIcacaWGRbGaaiykaaaakiaa bogacaqGVbGaae4CaiabeM8a39aadaqhaaWcbaWdbiaadMgaa8aaba WdbiaacIcacaWGRbGaaiykaaaakiaadshacaGGPaGaaiilaaWdaeaa peGaeqOXdO2damaaCaaaleqabaWdbiaacIcacaWGRbGaaiykaaaaki aacIcacaWG4bGaaiilaiaadshacaGGPaGaeyypa0ZaaSaaa8aabaWd biaaMVgapaWaa0baaSqaa8qacaWGPbaapaqaa8qacaGGOaGaam4Aai aacMcaaaaak8aabaWdbiaadchapaWaaWbaaSqabeaapeWaaeWaa8aa baWdbiaadUgaaiaawIcacaGLPaaaaaaaaOGaaGjbVpaalaaapaqaa8 qacqGHciITcaWG1bWdamaaDaaaleaapeGaamyAaaWdaeaapeGaaiik aiaadUgacaGGPaaaaaGcpaqaa8qacqGHciITcaWG4baaaiaac6caaa aaaaaa@8844@                                                    (4.8)

Общее решение рассматриваемой задачи можно записать в виде:

u(x,t)= i=1 2 k sin p (k) x A 1i (k) sin ω i (k) t+ A 2i (k) cos ω i (k) t , φ x,t = i=1 2 k κ i (k) p (k) u i (k) x , MathType@MTEF@5@5@+= feaahGart1ev3aqatCvAUfeBSjuyZL2yd9gzLbvyNv2Caerbov2D09 MBdbqedmvETj2BSbqefm0B1jxALjhiov2DaerbuLwBLnhiov2DGi1B TfMBaebbnrfifHhDYfgasaacH8Wrpu0dbbf9q8qqaqpepec8Eeeu0x Xdbba9frFj0=OqFfea0dXdd9vqaq=JfrVkFHe9pgea0dXdar=Jb9hs 0dXdbPYxe9vr0=vr0=vqpWqaaeaabiGaaiaacaqabeaadaabauaaaO qaauaabiqabeaaaeaafaqabeGabaaabaaeaaaaaaaaa8qacaWG1bGa aiikaiaadIhacaGGSaGaamiDaiaacMcacqGH9aqpdaGfWbqabSWdae aapeGaamyAaiabg2da9iaaigdaa8aabaWdbiaaikdaa0WdaeaapeGa eyyeIuoaaOWaaybuaeqal8aabaWdbiaadUgaaeqan8aabaWdbiabgg HiLdaakiaabohacaqGPbGaaeOBamaabmqapaqaa8qacaWGWbWdamaa CaaaleqabaWdbiaacIcacaWGRbGaaiykaaaakiaadIhaaiaawIcaca GLPaaadaqadeWdaeaapeGaamyqa8aadaqhaaWcbaWdbiaaigdacaWG Pbaapaqaa8qacaGGOaGaam4AaiaacMcaaaGccaqGZbGaaeyAaiaab6 gacqaHjpWDpaWaa0baaSqaa8qacaWGPbaapaqaa8qacaGGOaGaam4A aiaacMcaaaGccaWG0bGaey4kaSIaamyqa8aadaqhaaWcbaWdbiaaik dacaWGPbaapaqaa8qacaGGOaGaam4AaiaacMcaaaGccaqGJbGaae4B aiaabohacqaHjpWDpaWaa0baaSqaa8qacaWGPbaapaqaa8qacaGGOa Gaam4AaiaacMcaaaGccaWG0baacaGLOaGaayzkaaGaaiilaaWdaeaa peGaeqOXdO2aaeWaa8aabaWdbiaadIhacaGGSaGaamiDaaGaayjkai aawMcaaiabg2da9maawahabeWcpaqaa8qacaWGPbGaeyypa0JaaGym aaWdaeaapeGaaGOmaaqdpaqaa8qacqGHris5aaGcdaGfqbqabSWdae aapeGaam4Aaaqab0WdaeaapeGaeyyeIuoaaOWaaSaaa8aabaWdbiaa kQ7apaWaa0baaSqaa8qacaWGPbaapaqaa8qacaGGOaGaam4AaiaacM caaaaak8aabaWdbiaadchapaWaaWbaaSqabeaapeGaaiikaiaadUga caGGPaaaaaaakmaalaaapaqaa8qacqGHciITcaWG1bWdamaaDaaale aapeGaamyAaaWdaeaapeGaaiikaiaadUgacaGGPaaaaaGcpaqaa8qa cqGHciITcaWG4baaaiaacYcaaaaaaaaa@9400@                                        (4.9)

где A1i(k), A2i(k) MathType@MTEF@5@5@+= feaahGart1ev3aqatCvAUfeBSjuyZL2yd9gzLbvyNv2Caerbov2D09 MBdbqedmvETj2BSbqeeuuDJXwAKbsr4rNCHbGeaGqipCI8FfYJH8Wr peeuY=Hhbbf9v8qqaqFr0xc9pk0xbba9q8WqFfea0=yr0RYxir=Jbb a9q8aq0=yq=He9q8qqQ8frFve9Fve9Ff0dmeaabaqaciaacaGaaeqa baqabeGadaaakeaaruavP1wzZbItLDhis9wBH5gaiqaajugqbabaaa aaaaaapeGaa83eGaaa@36D2@  произвольные константы (i = 1, 2).

Если A1i(k), A2i(k) MathType@MTEF@5@5@+= feaahGart1ev3aqatCvAUfeBSjuyZL2yd9gzLbvyNv2Caerbov2D09 MBdbqedmvETj2BSbqeeuuDJXwAKbsr4rNCHbGeaGqipCI8FfYJH8Wr peeuY=Hhbbf9v8qqaqFr0xc9pk0xbba9q8WqFfea0=yr0RYxir=Jbb a9q8aq0=yq=He9q8qqQ8frFve9Fve9Ff0dmeaabaqaciaacaGaaeqa baqabeGadaaakeaaruavP1wzZbItLDhis9wBH5gaiqaajugqbabaaa aaaaaapeGaa83eGaaa@36D2@ ненулевые константы, то движение (4.9) определяется не двумя различными ϰi(k), а зависит лишь от одной из них, так как по формуле (3.22) можно выразить одну через другую.

5. Пример численного расчета конструкции. Выбор числовых значений констант параметров модели очень деликатное дело, особенно в связи с рассмотрением неклассических сред. В ряде работ такие константы определяются из эксперимента [23], [24], в других работах числовые значения констант выбираются на основе теоретических предположений, аналогий между классичеcкими и неклассическими средами [10], [12], [14], [18], [22], [24 MathType@MTEF@5@5@+= feaahGart1ev3aqatCvAUfeBSjuyZL2yd9gzLbvyNv2Caerbov2D09 MBdbqedmvETj2BSbqeeuuDJXwAKbsr4rNCHbGeaGqipCI8FfYJH8Wr peeuY=Hhbbf9v8qqaqFr0xc9pk0xbba9q8WqFfea0=yr0RYxir=Jbb a9q8aq0=yq=He9q8qqQ8frFve9Fve9Ff0dmeaabaqaciaacaGaaeqa baqabeGadaaakeaaruavP1wzZbItLDhis9wBH5gaiqaajugqbabaaa aaaaaapeGaa83eGaaa@36D2@ 31]. В качестве примера возьмем следующие значения параметров модели [9]: Gmat = 6 · 107 [Па/м], Gr = 3 · 107 [Па/м], H2 = 99 [Па/м], ρ = 2259 [кг/м3], j = 9.99 · 10 MathType@MTEF@5@5@+= feaahGart1ev3aqatCvAUfeBSjuyZL2yd9gzLbvyNv2Caerbov2D09 MBdbqedmvETj2BSbqeeuuDJXwAKbsr4rNCHbGeaGqipCI8FfYJH8Wr peeuY=Hhbbf9v8qqaqFr0xc9pk0xbba9q8WqFfea0=yr0RYxir=Jbb a9q8aq0=yq=He9q8qqQ8frFve9Fve9Ff0dmeaabaqaciaacaGaaeqa baqabeGadaaakeaaruavP1wzZbItLDhis9wBH5gaiqaaju20aabaaa aaaaaapeGaa83eGaaa@3764@ 32], Gmix = 0 [Па/м].

 

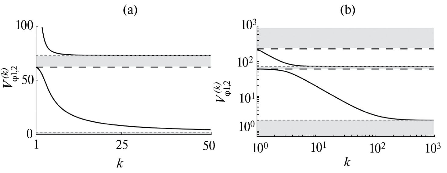
Рис. 2. Графики зависимости собственных частот от k: (а) линейный масштаб, (b) логарифмический масштаб.

 

На рис. 2 изображены зависимости собственных частот среды от параметра k, определяющего волновое число (черная сплошная линия). Здесь и далее на графиках: для областей, где рассматриваемый параметр не определен, примем серую заливку, асимптоты функций обозначаются серым штрихом, а сами функции черными сплошными линиями (значения функции дискретны и определены при натуральных k). На бесконечности верхняя ветвь, соответствующая ω2, ведется себя как p(H2 /(jρ))1/2 (серая пунктирная линия), а нижняя ветвь, соответствующая ω1, MathType@MTEF@5@5@+= feaahGart1ev3aqatCvAUfeBSjuyZL2yd9gzLbvyNv2Caerbov2D09 MBdbqedmvETj2BSbqeeuuDJXwAKbsr4rNCHbGeaGqipCI8FfYJH8Wr peeuY=Hhbbf9v8qqaqFr0xc9pk0xbba9q8WqFfea0=yr0RYxir=Jbb a9q8aq0=yq=He9q8qqQ8frFve9Fve9Ff0dmeaabaqaciaacaGaaeqa baqabeGadaaakeaaruavP1wzZbItLDhis9wBH5gaiqaajugqbabaaa aaaaaapeGaa83eGaaa@36D2@  как p(Na /ρ)1/2. Из графика видно, что при k = 0, частоты ω1, ω2 достигают минимальных значений.

 

Рис. 3. Графики зависимости фазовых скоростей от k: (а) линейный масштаб, (b) логарифмический масштаб.

 

На рис. 3 изображена фазовая скорость от параметра k (черная сплошная линия). Ветвь, соответствующая ω2, расположена выше ветви, соответствующей ω1. Ветвь vφ2(k) на бесконечности подходит к своей асимптоте сверху (H2 /( ))1/2, ветвь vφ1(k) на бесконечности MathType@MTEF@5@5@+= feaahGart1ev3aqatCvAUfeBSjuyZL2yd9gzLbvyNv2Caerbov2D09 MBdbqedmvETj2BSbqeeuuDJXwAKbsr4rNCHbGeaGqipCI8FfYJH8Wr peeuY=Hhbbf9v8qqaqFr0xc9pk0xbba9q8WqFfea0=yr0RYxir=Jbb a9q8aq0=yq=He9q8qqQ8frFve9Fve9Ff0dmeaabaqaciaacaGaaeqa baqabeGadaaakeaaruavP1wzZbItLDhis9wBH5gaiqaajugqbabaaa aaaaaapeGaa83eGaaa@36D2@  к (Na /ρ)1/2 сверху. Отметим, что область изменения vφi(k)  распадается на три части: ветвь vφ2(k) ограничена сверху значением при k = 1 (на рис. 3, b черная пунктирная линия) и асимптотой на бесконечности (серая пунктирная линия), аналогично vφ1(k) со своими значениями.

 

Рис. 4. Графики зависимости групповых скоростей от k: (а) линейный масштаб, (b) логарифмический масштаб.

 

На рис. 4 показана зависимость групповой скорости от волнового числа (черная сплошная линия). При этом ветвь, соответствующая ω2 при k = 1, расположена ниже ветви, соответствующей ω1. Однако на бесконечности ветвь, соответствующая ω2, расположена выше ветви, соответствующей ω1. Обратим внимание, что ветвь vg2(k) на бесконечности подходит к своей асимптоте снизу (H2/( jρ))1/2, как и vg1(k) к (Na /ρ)1/2 тоже снизу, однако последняя вначале пересекает асимптоту, имеет точку перегиба и только после этого уходит на бесконечность снизу к своей асимптоте. Особенно отчетливо это видно в логарифмическом масштабе на рис. 4, b.

 

Рис. 5. Графики зависимости собственных частот от k при H2 = 0: (а) линейный масштаб, (b) логарифмический масштаб.

 

Заметим, что параметр H2 входит в выражение для асимптоты ω2. Предположим, что H2 = 0. Это соответствует тому, что у исходной конструкции отсутствует жесткость ременной передачи в направлении x2. У собственных частот появляется область, где значение ωi(k) не определено (рис. 5). Кроме того, видно, что все собственные частоты ω1(k) расположены ниже ω2(k). Асимптотой у ветви, соответствующей ω2(k), является прямая p N a /ρ  , MathType@MTEF@5@5@+= feaahGart1ev3aaatCvAUfeBSjuyZL2yd9gzLbvyNv2Caerbov2D09 MBdbqedmvETj2BSbqefm0B1jxALjhiov2DaerbuLwBLnhiov2DGi1B TfMBaebbnrfifHhDYfgasaacH8Wrpu0dbbf9q8qqaqpepec8Eeeu0x Xdbba9frFj0=OqFfea0dXdd9vqaq=JfrVkFHe9pgea0dXdar=Jb9hs 0dXdbPYxe9vr0=vr0=vqpWqaaeaabiGaaiaacaqabeaadaabauaaaO qaaabaaaaaaaaapeGaamiCamaakaaapaqaa8qacaWGobWdamaaBaaa leaapeGaamyyaaWdaeqaaOGaaGPaV=qacaGGVaGaaGjcVlabeg8aYj aaKdkaaSqabaGccaGGSaaaaa@4378@  а у ветви низкой частоты асимптотой является комбинация констант N a N c N b 2 / jρ N a . MathType@MTEF@5@5@+= feaahGart1ev3aqatCvAUfeBSjuyZL2yd9gzLbvyNv2Caerbov2D09 MBdbqedmvETj2BSbqefm0B1jxALjhiov2DaerbuLwBLnhiov2DGi1B TfMBaebbnrfifHhDYfgasaacH8Wrpu0dbbf9q8qqaqpepec8Eeeu0x Xdbba9frFj0=OqFfea0dXdd9vqaq=JfrVkFHe9pgea0dXdar=Jb9hs 0dXdbPYxe9vr0=vr0=vqpWqaaeaabiGaaiaacaqabeaadaabauaaaO qaceaau2beaaaaaaaaa8qadaGcaaWdaeaapeGaamOta8aadaWgaaWc baWdbiaadggaa8aabeaak8qacaWGobWdamaaBaaaleaapeGaam4yaa WdaeqaaOGaaGPaV=qacqGHsislcaWGobWdamaaDaaaleaapeGaamOy aaWdaeaapeGaaGOmaaaaaeqaaOGaaGzaVlaac+cacaaMi8+aaOaaa8 aabaWdbiaadQgacqaHbpGCcaWGobWdamaaBaaaleaapeGaamyyaaWd aeqaaaWdbeqaaOGaaiOlaaaa@4C7B@

Ветвь фазовой скорости vφ1(k) асимптотически приближается к нулю сверху при стремлении k к бесконечности (рис. 6). Асимптотой для vφ2(k) является N a /ρ  . MathType@MTEF@5@5@+= feaahGart1ev3aqatCvAUfeBSjuyZL2yd9gzLbvyNv2Caerbov2D09 MBdbqedmvETj2BSbqefm0B1jxALjhiov2DaerbuLwBLnhiov2DGi1B TfMBaebbnrfifHhDYfgasaacH8Wrpu0dbbf9q8qqaqpepec8Eeeu0x Xdbba9frFj0=OqFfea0dXdd9vqaq=JfrVkFHe9pgea0dXdar=Jb9hs 0dXdbPYxe9vr0=vr0=vqpWqaaeaabiGaaiaacaqabeaadaabauaaaO qaaabaaaaaaaaapeWaaOaaa8aabaWdbiaad6eapaWaaSbaaSqaa8qa caWGHbaapaqabaGccaaMc8+dbiaac+cacaaMi8UaeqyWdiNaaqoOaa Wcbeaakiaac6caaaa@4286@  При этом область изменения vφi(k) распадается на две части.

 

Рис. 6. Графики зависимости фазовых скоростей от k при H2 = 0: (а) линейный масштаб, (b) логарифмический масштаб.

 

Рис. 7. Графики зависимости групповых скоростей от k при H2 = 0: (а) линейный масштаб, (b) логарифмический масштаб.

 

Аналогичным образом ведет себя групповая скорость vgi(k) (рис. 7). При стремлении волнового числа к бесконечности ветвь vg1(k) асимптотически приближается к нулю сверху, а ветвь vg2(k) имеет асимптоту N a /ρ  , MathType@MTEF@5@5@+= feaahGart1ev3aqatCvAUfeBSjuyZL2yd9gzLbvyNv2Caerbov2D09 MBdbqedmvETj2BSbqefm0B1jxALjhiov2DaerbuLwBLnhiov2DGi1B TfMBaebbnrfifHhDYfgasaacH8Wrpu0dbbf9q8qqaqpepec8Eeeu0x Xdbba9frFj0=OqFfea0dXdd9vqaq=JfrVkFHe9pgea0dXdar=Jb9hs 0dXdbPYxe9vr0=vr0=vqpWqaaeaabiGaaiaacaqabeaadaabauaaaO qaaabaaaaaaaaapeWaaOaaa8aabiqaaSoepeGaamOta8aadaWgaaWc baWdbiaadggaa8aabeaakiaaykW7peGaai4laiaayIW7cqaHbpGCca a5GcaaleqaaOGaaiilaaaa@4382@  приближаясь к ней снизу.

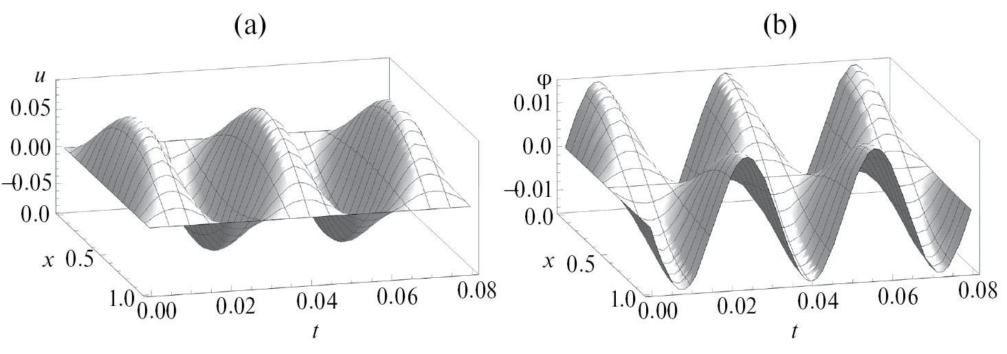
Рассмотрим движения, соответствующие первой моде колебаний с k = 1, положив для наглядности A2i(k) = 0 (i = 1, 2). В этом случае существуют ровно две формы колебаний. Примем A11(1) = 0.0872 для первой формы колебаний с частотой ω1(1), а для второй формы колебаний с частотой ω2(1) примем A12(1) = 0.0872. Согласно (4.9) получим для первой и второй форм колебаний:

u1(2)=A111sinπx/lsinω11t,φ11= ϰ11A111cosπx/lsinω11t,u2(1)=A121sinπx/lsinω21t,φ21=ϰ21A121cosπx/lsinω21t.                                    (5.1)

 

Рис. 8. Первая форма колебаний: (а) перемещения u2(1) в зависимости от времени t, (b) повороты φ2(1) в зависимости от времени t.

 

На рис. 8, a и 9, а изображены перемещения в зависимости от поперечной координаты и времени t в соответствии с (5.1). На рис. 8, b и 9, b изображены повороты включений. Первая форма колебаний (с низкой частотой MathType@MTEF@5@5@+= feaahGart1ev3aqatCvAUfeBSjuyZL2yd9gzLbvyNv2Caerbov2D09 MBdbqedmvETj2BSbqeeuuDJXwAKbsr4rNCHbGeaGqipCI8FfYJH8Wr peeuY=Hhbbf9v8qqaqFr0xc9pk0xbba9q8WqFfea0=yr0RYxir=Jbb a9q8aq0=yq=He9q8qqQ8frFve9Fve9Ff0dmeaabaqaciaacaGaaeqa baqabeGadaaakeaaruavP1wzZbItLDhis9wBH5gaiqaajugqbabaaa aaaaaapeGaa83eGaaa@36D2@  ω1) соответствует поворотам включений, которые сопутствуют продольному смещению полосы. Вторая форма (с высокой частотой MathType@MTEF@5@5@+= feaahGart1ev3aqatCvAUfeBSjuyZL2yd9gzLbvyNv2Caerbov2D09 MBdbqedmvETj2BSbqeeuuDJXwAKbsr4rNCHbGeaGqipCI8FfYJH8Wr peeuY=Hhbbf9v8qqaqFr0xc9pk0xbba9q8WqFfea0=yr0RYxir=Jbb a9q8aq0=yq=He9q8qqQ8frFve9Fve9Ff0dmeaabaqaciaacaGaaeqa baqabeGadaaakeaaruavP1wzZbItLDhis9wBH5gaiqaajugqbabaaa aaaaaapeGaa83eGaaa@36D2@  ω2) соответствует «встречным» (противоположным по знаку) поворотам включений.

 

Рис. 9. Вторая форма колебаний: (а) перемещения u2(1) в зависимости от времени t, (b) повороты φ2(1) в зависимости от времени t.

 

Таким образом можно сделать вывод, что при колебаниях с низкой частотой включения «содействуют» продольному смещению полосы, а при колебаниях с более высокой частотой MathType@MTEF@5@5@+= feaahGart1ev3aqatCvAUfeBSjuyZL2yd9gzLbvyNv2Caerbov2D09 MBdbqedmvETj2BSbqeeuuDJXwAKbsr4rNCHbGeaGqipCI8FfYJH8Wr peeuY=Hhbbf9v8qqaqFr0xc9pk0xbba9q8WqFfea0=yr0RYxir=Jbb a9q8aq0=yq=He9q8qqQ8frFve9Fve9Ff0dmeaabaqaciaacaGaaeqa baqabeGadaaakeaaruavP1wzZbItLDhis9wBH5gaiqaajugqbabaaa aaaaaapeGaa83eGaaa@36D2@  «препятствуют». Схематически это изображено на рис. 10, где черными стрелками обозначены повороты включений, серыми стрелками направления перемещения точек полосы. Математически данный эффект объясняется тем, что ki(k) связаны друг с другом и отличаются знаком, поэтому в (5.1) ji(k) всегда разного знака.

5. Заключение. В работе продолжено развитие структурного (механического) метода моделирования сложных свойств сопротивления материалов деформированию, предложенного А.А. Ильюшиным [17]. Решена задача о собственных колебаниях бесконечной полосы, механические свойства которой описываются моделью [9].

 

Рис. 10. Формы колебания полосы в зависимости от частоты (верхний рисунок – с частотой ω1, нижний рисунок – с частотой ω2).

 

Получен общий вид решения в предположении, что функции u1 и j зависят только от координаты x2 и времени t, а перемещения u2 отсутствуют. Формулы (4.9) показывают существенную особенность решения, состоящую в том, что каждому волновому числу, определяемому числом k, соответствуют ровно две частоты и две формы колебаний.

Проведены численные расчеты для конкретной конструкции. На графиках в линейном и логарифмическом масштабах представлены зависимости собственных частот, фазовых и групповых скоростей от волнового числа, указаны соответствующие особенности, в том числе асимптотическое поведение. Показано, что при H2 = 0 на графиках появляются области, через которые не проходят дисперсионные кривые. Отмечено, что групповая скорость низкой собственной частоты стремится к нулю при больших значениях параметра k, в отличие от случая, когда H2≠0.

Приведены рисунки, иллюстрирующие первую моду колебаний в зависимости от времени. Рассмотрено поведение полосы и включений при каждой из частот, сделан вывод, что при колебаниях с низкой частотой включения сопутствуют продольному смещению полосы, а при колебаниях с более высокой частотой MathType@MTEF@5@5@+= feaahGart1ev3aqatCvAUfeBSjuyZL2yd9gzLbvyNv2Caerbov2D09 MBdbqedmvETj2BSbqeeuuDJXwAKbsr4rNCHbGeaGqipCI8FfYJH8Wr peeuY=Hhbbf9v8qqaqFr0xc9pk0xbba9q8WqFfea0=yr0RYxir=Jbb a9q8aq0=yq=He9q8qqQ8frFve9Fve9Ff0dmeaabaqaciaacaGaaeqa baqabeGadaaakeaaruavP1wzZbItLDhis9wBH5gaiqaajugqbabaaa aaaaaapeGaa83eGaaa@36D2@  препятствуют. В случае, когда Ai(k) MathType@MTEF@5@5@+= feaahGart1ev3aqatCvAUfeBSjuyZL2yd9gzLbvyNv2Caerbov2D09 MBdbqedmvETj2BSbqeeuuDJXwAKbsr4rNCHbGeaGqipCI8FfYJH8Wr peeuY=Hhbbf9v8qqaqFr0xc9pk0xbba9q8WqFfea0=yr0RYxir=Jbb a9q8aq0=yq=He9q8qqQ8frFve9Fve9Ff0dmeaabaqaciaacaGaaeqa baqabeGadaaakeaaruavP1wzZbItLDhis9wBH5gaiqaajugqbabaaa aaaaaapeGaa83eGaaa@36D2@ ненулевые константы, показано, что собственные движения конструкции определяется не двумя различными ϰi(k), а зависят лишь от одного из них.

×

About the authors

G. L. Brovko

Lomonosov Moscow State University

Author for correspondence.
Email: glb@mech.math.msu.su
Russian Federation, Moscow

V. V. Kozhukhov

Lomonosov Moscow State University

Email: vladislav.kozhukhov@student.msu.ru
Russian Federation, Moscow

E. D. Martynova

Lomonosov Moscow State University

Email: glb@mech.math.msu.su
Russian Federation, Moscow

References

  1. Alexei Antonovich Ilyushin (to the seventieth anniversary of his birth) // Bulletin of Moscow University. Series 1. Mathematics. Mechanics. 1981. № 1. P. 104.
  2. Kiyko I.A. Alexey Antonovich Ilyushin (2.0. 01.11-31.05. 98) // Bulletin of Moscow University. Series 1: Mathematics. Mechanics. 1999. № 3. P. 63–65.
  3. Brovko G.L., Bykov D.L., Vasin R.A. et al. Scientific Heritage of A.A. Ilyushin and Development of His Ideas in Mechanics // Izv. RAS. MTT. 2011. № 1. P. 5–18.
  4. Ilyushin A.A. Dynamics // Bulletin of Moscow University. Series 1: Mathematics. Me-chanics. 1994. № 3. P. 79–87.
  5. Alexey Antonovich Ilyushin (to the 100th anniversary of his birth) // Bulletin of Tyumen State University. Physico-mathematical modeling. Oil, gas, energetica. 2010. № 6. P. 198–203.
  6. Ilyushin A.A. Non-symmetry of strain and stress tensors in continuum mechanics // Bulletin of Moscow University. Series 1: Mathematics. Mechanics. 1996. № 5. P. 6–14.
  7. Ilyushin A.A., Lomakin V.A. Moment theories in mechanics of solid deformable bodies // Strength and Plasticity. Moscow: Nauka. 1971. P. 54–61.
  8. Brovko G.L. Modeling of inhomogeneous media of complex structure and Cosser continuum (in Russian) // Bulletin of Moscow University. Series 1: Mathematics. Mechanics. 1996. № 5. P. 55–63.
  9. Brovko G.L. About one structural model of the Kosser medium (in Russian) // Izv. RAS. MTT. 2002. № 1. P. 75–91.
  10. Brovko G.L. Models and problems for filled porous media // Bulletin of Moscow University. Series 1. Mathematics. Mechanics. 2010. № 6. P. 33–44.
  11. Atoyan A.A., Sarkisyan S.O. Study of free vibrations of micropolar elastic thin plates // Dokl. of NAS of Armenia. 2004. Т. 104. № 2. P. 18–33.
  12. Brovko G.L., Ivanova O.A. Modeling of properties and motions of an inhomogeneous one-dimensional continuum of a complex microstructure of the Kosser type (in Russian) // Izv. RAS. MTT. 2008. № 1. P. 22–36.
  13. Brovko G.L., Kuzichev S.A. Stability of the forced torsional oscillations of the equipped rod (in Russian) // Moscow University Vestnik. Series 1. Mathematics. Mechanics. 2010. № 1. P. 57–62.
  14. Ivanova O.A. About limit forms of equilibrium of the model of one-dimensional Cosser continuum with plastic properties // Mechanics of composite materials and structures. 2017. Т. 23. № 1. P. 52–68.
  15. Kantor M.M., Nikabadze M.U., Ulukhanyan A.R. Equations of motion and physical boundary conditions of the micropolar theory of thin bodies with two small dimensions // Izv. RAS. MTT. 2013. № 3. P. 96–110.
  16. Sarkisyan S.O. Micropolar rod model for nanocrystalline material consisting of linear chains of atoms // Physical Mesomechanics. 2016. V. 19. № 4. P. 14–20.
  17. Brovko G.L., Ilyushin A.A. About one plane model of perforated plates (in Russian) // Bulletin of Moscow University. Series 1: Mathematics. Mechanics. 1993. № 2. P. 83–91.
  18. Ivanova O.A. Model of the equipped rod with viscoelastic internal interactions // Mechanics of composite materials and structures. 2018. V. 24. № 1. P. 70–81.
  19. Carta G., Jones I.S., Movchan N.V. et al. “Deflecting elastic prism” and unidirectional localisation for waves in chiral elastic systems // Scientific reports. 2017. V. 7. № 1. P. 1–11. https://doi.org/10.1038/s41598-017-00054-6
  20. Carta G., Nieves M.J., Jones I.S. et al. Elastic chiral waveguides with gyro-hinges // The Quarterly Journal of Mechanics and Applied Mathematics. 2018. V. 71. № 2. P. 157–185. https://doi.org/10.1093/qjmam/hby001
  21. Garau M., Nieves M.J., Carta G., Brun M. Transient response of a gyro-elastic structured medium: Unidirectional waveforms and cloaking // International Journal of Engineering Science. 2019. V. 143. P. 115–141. https://doi.org/10.1016/j.ijengsci.2019.05.007
  22. De Borst R., Sluys L.J. Localisation in a Cosserat continuum under static and dynamic loading conditions // Computer Methods in Applied Mechanics and Engineering. 1991. V. 90. № 1–3. P. 805–827. https://doi.org/10.1016/0045-7825(91)90185-9
  23. Lakes R. Experimental methods for study of Cosserat elastic solids and other generalized elastic continua // Continuum models for materials with microstructure. 1995. V. 70. P. 1–25.
  24. Sadati S.M., Naghibi S.E., Shiva A. et al. Mechanics of continuum manipulators, a comparative study of five methods with experiments. 2017. P. 686–702. https://doi.org/10.1007/978-3-319-64107-2
  25. Wang J. Rubin M.B., Dong H. A nonlinear Cosserat interphase model for residual stresses in an inclusion and the interphase that bonds it to an infinite matrix // International Journal of Solids and Structures. 2015. V. 62. P. 186–206. https://doi.org/10.1016/j.ijsolstr.2015.02.028.
  26. Suiker A.S.J., De Borst R., Chang C.S. Micro-mechanical modelling of granular material. Part 2: Plane wave propagation in infinite media // Acta Mechanica. 2001. V. 149. № 1. P. 181–200. https://doi.org/10.1007/bf01261671
  27. Madeo A., Neff P., Ghiba I.-D. et al. Wave propagation in relaxed micromorphic continua: modeling metamaterials with frequency band-gaps // Continuum Mechanics and Thermodynamics. 2015. V. 27. № 4. P. 551–570.https://doi.org/10.1007/s00161-013-0329-2
  28. Grekova E.F., Kulesh M.A., Herman G.C. Waves in linear elastic media with microrotations, part 2: Isotropic reduced Cosserat model // Bulletin of the Seismological Society of America. 2009. V. 99. № 2B. P. 1423–1428. https://doi.org/10.1785/0120080154
  29. Grekova E.F. Plane waves in the linear elastic reduced Cosserat medium with a finite axially symmetric coupling between volumetric and rotational strains // Mathematics and Mechanics of Solids. 2016. V. 21. № 1. P. 73–93. https://doi.org/10.1177/1081286515577042
  30. Abreu R., Thomas C., Durand S. Effect of observed micropolar motions on wave propagation in deep Earth minerals // Physics of the Earth and Planetary Interiors. 2018. V. 276. P. 215–225. https://doi.org/101016/j.pepi.2017.04.006
  31. Xiu Chenxi, Chu Xihua, Wang Jiao et al. A micromechanics-based micromorphic model for granular materials and prediction on dispersion behaviors // Granular Matter. 2020. V. 22. № 4. P. 1–22. https://doi.org/10.1007/s10035-020-01044-8

Supplementary files

Supplementary Files
Action
1. JATS XML
2. Fig. 1. The infinite strip under consideration in the reference configuration.

Download (35KB)
3. Fig. 2. Graphs of the dependence of natural frequencies on k: (a) linear scale, (b) logarithmic scale.

Download (60KB)
4. Fig. 3. Graphs of the dependence of phase velocities on k: (a) linear scale, (b) logarithmic scale.

Download (63KB)
5. Fig. 4. Graphs of the dependence of group velocities on k: (a) linear scale, (b) logarithmic scale.

Download (61KB)
6. Fig. 5. Graphs of the dependence of natural frequencies on k at H2 = 0: (a) linear scale, (b) logarithmic scale.

Download (65KB)
7. Fig. 6. Graphs of the dependence of phase velocities on k at H2 = 0: (a) linear scale, (b) logarithmic scale.

Download (62KB)
8. Fig. 7. Graphs of the dependence of group velocities on k at H2 = 0: (a) linear scale, (b) logarithmic scale.

Download (62KB)
9. Fig. 8. The first form of oscillations: (a) displacements u2(1) depending on time t, (b) rotations φ2(1) depending on time t.

Download (105KB)
10. Fig. 9. The second form of oscillations: (a) displacements u2(1) depending on time t, (b) rotations φ2(1) depending on time t.

Download (101KB)
11. Fig. 10. Band oscillation shapes depending on frequency (upper figure – with frequency ω1, lower figure – with frequency ω2).

Download (118KB)

Copyright (c) 2024 Russian Academy of Sciences

Согласие на обработку персональных данных с помощью сервиса «Яндекс.Метрика»

1. Я (далее – «Пользователь» или «Субъект персональных данных»), осуществляя использование сайта https://journals.rcsi.science/ (далее – «Сайт»), подтверждая свою полную дееспособность даю согласие на обработку персональных данных с использованием средств автоматизации Оператору - федеральному государственному бюджетному учреждению «Российский центр научной информации» (РЦНИ), далее – «Оператор», расположенному по адресу: 119991, г. Москва, Ленинский просп., д.32А, со следующими условиями.

2. Категории обрабатываемых данных: файлы «cookies» (куки-файлы). Файлы «cookie» – это небольшой текстовый файл, который веб-сервер может хранить в браузере Пользователя. Данные файлы веб-сервер загружает на устройство Пользователя при посещении им Сайта. При каждом следующем посещении Пользователем Сайта «cookie» файлы отправляются на Сайт Оператора. Данные файлы позволяют Сайту распознавать устройство Пользователя. Содержимое такого файла может как относиться, так и не относиться к персональным данным, в зависимости от того, содержит ли такой файл персональные данные или содержит обезличенные технические данные.

3. Цель обработки персональных данных: анализ пользовательской активности с помощью сервиса «Яндекс.Метрика».

4. Категории субъектов персональных данных: все Пользователи Сайта, которые дали согласие на обработку файлов «cookie».

5. Способы обработки: сбор, запись, систематизация, накопление, хранение, уточнение (обновление, изменение), извлечение, использование, передача (доступ, предоставление), блокирование, удаление, уничтожение персональных данных.

6. Срок обработки и хранения: до получения от Субъекта персональных данных требования о прекращении обработки/отзыва согласия.

7. Способ отзыва: заявление об отзыве в письменном виде путём его направления на адрес электронной почты Оператора: info@rcsi.science или путем письменного обращения по юридическому адресу: 119991, г. Москва, Ленинский просп., д.32А

8. Субъект персональных данных вправе запретить своему оборудованию прием этих данных или ограничить прием этих данных. При отказе от получения таких данных или при ограничении приема данных некоторые функции Сайта могут работать некорректно. Субъект персональных данных обязуется сам настроить свое оборудование таким способом, чтобы оно обеспечивало адекватный его желаниям режим работы и уровень защиты данных файлов «cookie», Оператор не предоставляет технологических и правовых консультаций на темы подобного характера.

9. Порядок уничтожения персональных данных при достижении цели их обработки или при наступлении иных законных оснований определяется Оператором в соответствии с законодательством Российской Федерации.

10. Я согласен/согласна квалифицировать в качестве своей простой электронной подписи под настоящим Согласием и под Политикой обработки персональных данных выполнение мною следующего действия на сайте: https://journals.rcsi.science/ нажатие мною на интерфейсе с текстом: «Сайт использует сервис «Яндекс.Метрика» (который использует файлы «cookie») на элемент с текстом «Принять и продолжить».