ОПРЕДЕЛЕНИЕ ДИССИПАТИВНЫХ ХАРАКТЕРИСТИК ДЛЯ РЕШЕНИЯ ЗАДАЧ ДИНАМИЧЕСКОГО НАГРУЖЕНИЯ УПРУГИХ КОНСТРУКЦИЙ С ПРИМЕНЕНИЕМ МОДАЛЬНОГО ПОДХОДА
- Авторы: Бондаренко А.Ю.1,2, Лиходед А.И.1,2, Сидоров В.В.1,2
-
Учреждения:
- Центральный научно-исследовательский институт машиностроения
- Московский физико-технический институт (государственный университет)
- Выпуск: № 4 (2023)
- Страницы: 13-22
- Раздел: Статьи
- URL: https://journals.rcsi.science/1026-3519/article/view/137530
- DOI: https://doi.org/10.31857/S0572329922600426
- EDN: https://elibrary.ru/JLCTJN
- ID: 137530
Цитировать
Полный текст
Аннотация
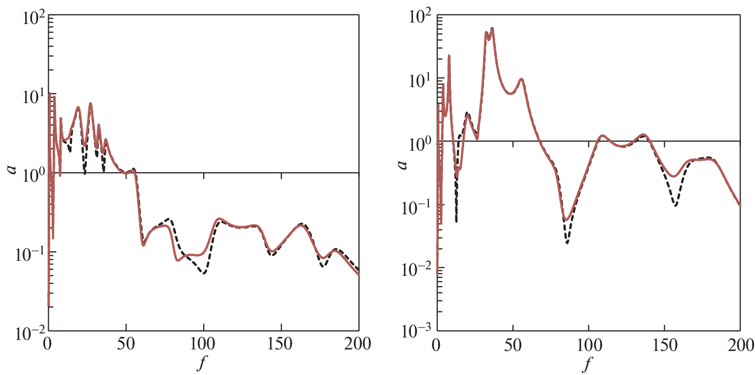
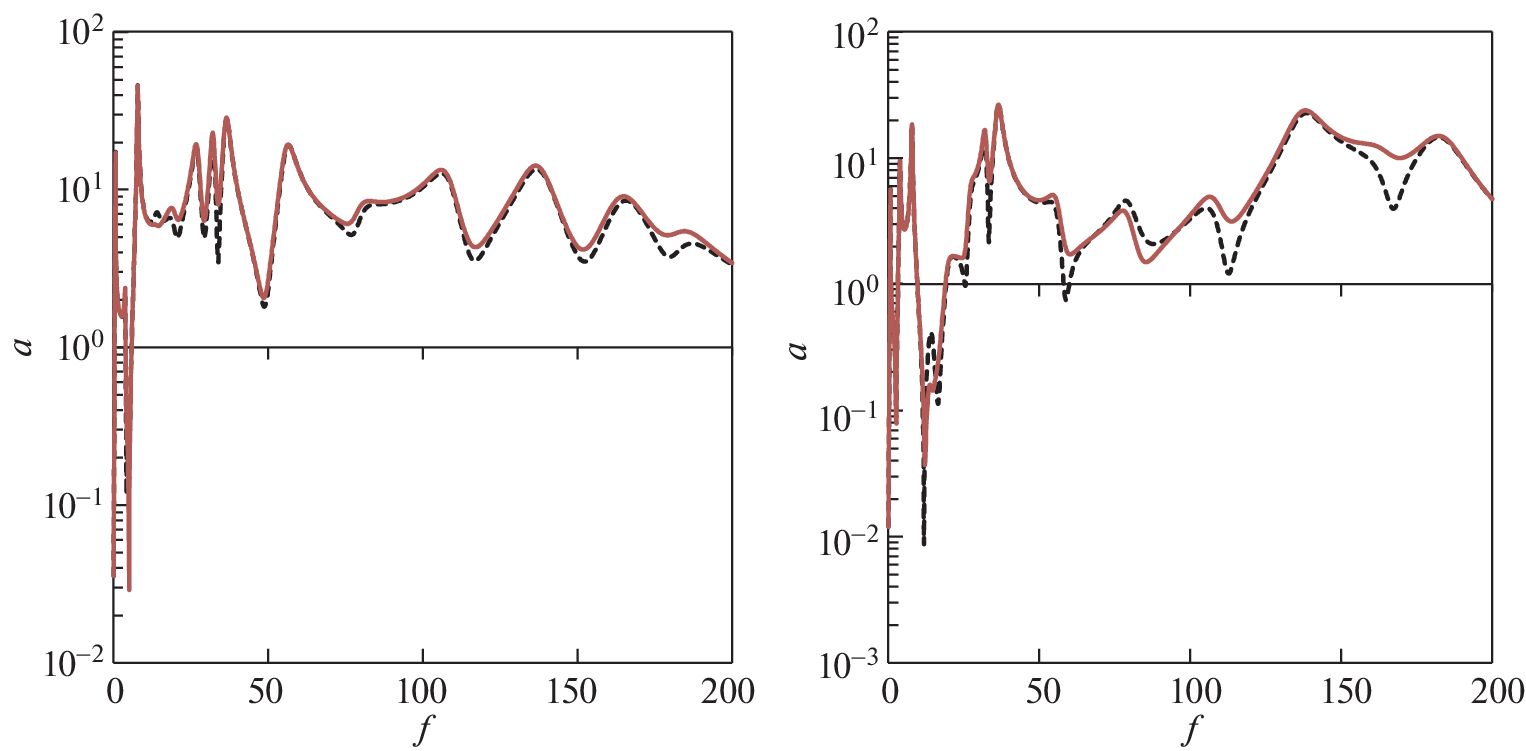
Предложен способ решения нестационарных динамических задач с комплексными модулями упругости или матрицами жесткостей, позволяющий учитывать локальные диссипативные свойства элементов конструкций. Показано, что в синтезированных конструкциях даже с существенно различными диссипативными свойствами динамическое поведение и параметры нагружения на резонансных частотах определяются едиными интегральными логарифмическими декрементами, получаемыми путем массово-энергетического осреднения диссипативных свойств конструкций.
Предложены две концепции оценки интегральных добротностей и логарифмических декрементов колебаний конструкций с различными диссипативными свойствами, одна из которых базируется на физических особенностях резонансных явлений в механических системах, а вторая на анализе поведения затухающих фундаментальных решений соответствующих однородных уравнений.
Совпадение интегральных логарифмических декрементов, полученных на основе различных концепций, позволяет решать нестационарные задачи для конструкций с различными диссипативными свойствами методом разложения кинематических параметров по собственным формам колебаний (модальным методом). Результаты расчетов динамического поведения конструкций с различными диссипативными свойствами продемонстрированы на модельных задачах.
Об авторах
А. Ю. Бондаренко
Центральный научно-исследовательский институт машиностроения; Московский физико-технический институт (государственный университет)
Email: andrei.bondarenko@phystech.edu
Россия, г.о. Королев; Россия, Долгопрудный
А. И. Лиходед
Центральный научно-исследовательский институт машиностроения; Московский физико-технический институт (государственный университет)
Email: Likhoded@tsniimash.ru
Россия, г.о. Королев; Россия, Долгопрудный
В. В. Сидоров
Центральный научно-исследовательский институт машиностроения; Московский физико-технический институт (государственный университет)
Автор, ответственный за переписку.
Email: Likhoded@tsniimash.ru
Россия, г.о. Королев; Россия, Долгопрудный
Список литературы
- Степанов В.В. Курс дифференциальных уравнений. Изд. 11, испр. М.: URSS, 2016. 512 с.
- Зенкевич О. Метод конечных элементов в технике. М.: Мир, 1975. 541 с.
- Сорокин Е.С. К вопросу неупругого сопротивления строительных материалов при колебаниях. Научное сообщение ЦНИИПС № 15. M.: Гос. изд-во лит. по стр-ву и архитектуре, 1954. 73 с.
- Лиходед А.И. Динамика конструкций и определение нагрузок. Учебное пособие. Королев: Изд. АО ЦНИИмаш, 2020. 239 с.
- Лиходед А.И., Малинин А.А. Колебания подкрепленных оболочек вращения с сосредоточенными массами и осцилляторами // Изв. АН СССР. МТТ. 1971. № 1. С. 42–47.
- Бондаренко А.Ю., Лиходед А.И., Сидоров В.В. Построение механических аналогов подконструкций с учетом действующих на них активных сил // Мат. модел. 2020. Т. 32. № 8. С. 106–118. https://doi.org/10.20948/mm-2020-08-07
- Craig Jr. R.R., Bampton M.C.C. Coupling of substructures for dynamic analysis // AIAA J. 1968. V. 6. № 7. P. 1313–1319.
- Nastran MD Dynamic Analysis User’s Guide. Version 2010 (Revision 0, June 25, 2010) / Ed. by D. M. McLean. (Santa Ana, CA: MSC Software Corp., 2010. 556 p.
- Lanczos C. An iteration method for the solution of the eigenvalue problem of linear differential and integral operators // J. Res. Nat. Bureau Stand. V. 45. 1950. C. 255–282.
Дополнительные файлы







