Model of a Micromechanical Modal-Localized Accelerometer with a Sensitive Element in the Form of a Beam with an Initial Deflection
- Authors: Indeytsev D.A.1,2, Mozhgova N.V.2, Lukin A.V.2, Popov I.A.2
-
Affiliations:
- Institute for Problems in Mechanical Engineering of the RAS
- Peter the Great St. Petersburg Polytechnic University
- Issue: No 3 (2023)
- Pages: 135-151
- Section: Articles
- URL: https://journals.rcsi.science/1026-3519/article/view/137525
- DOI: https://doi.org/10.31857/S0572329922600645
- EDN: https://elibrary.ru/JLSWBB
- ID: 137525
Cite item
Full Text
Abstract
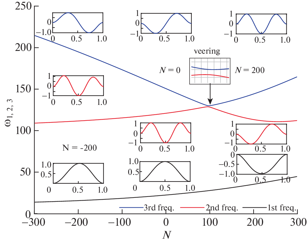
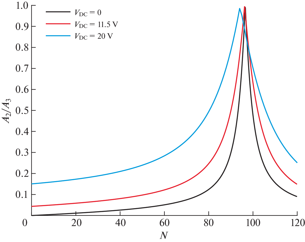
The present study is devoted to mathematical modeling of the proposed new architecture of a microelectromechanical modally localized acceleration sensor (MEMS accelerometer/gravimeter) with a sensitive element in the form of a microbeam pinched at both ends with an initial deflection, made in the form of the first asymmetric mode of free vibrations. The article demonstrates that with an asymmetric form of the initial deflection in the region of positive axial forces, there are zones of proximity of the frequency branches corresponding to the second symmetric and the first asymmetric vibration modes. When the required value of the axial tensile force in the microbeam is provided structurally, this effect can be used, in particular, to measure the axial component of the transfer acceleration according to the principle of amplitude modal localization. The possibility of heating the sensitive element with the help of an electric current flowing through the microbeam, provided in the sensor layout, makes it possible to control the operating point of the oscillation mode and, thus, to vary the range of measured accelerations and the degree of sensor sensitivity within a very wide range. The configuration of the oscillation excitation and output signal pickup electrodes proposed in the article makes it possible, with the help of a feedback loop, to stabilize the oscillation amplitude at the required level in the working (third) symmetrical form and, at the same time, to measure the oscillation amplitude associated with the change in the value of the measured component of the portable acceleration according to the asymmetric form. Thus, a mathematical model of an original modal-localized accelerometer (gravimeter) containing a single sensitive microbeam element and involving the effect of energy exchange between its various modes of vibration is proposed and investigated in the article.
About the authors
D. A. Indeytsev
Institute for Problems in Mechanical Engineering of the RAS; Peter the Great St. Petersburg Polytechnic University
Email: popov_ia@spbstu.ru
St.-Petersburg, 199178 Russia; St.-Petersburg, 195251 Russia
N. V. Mozhgova
Peter the Great St. Petersburg Polytechnic University
Email: nmojgova@yandex.ru
St.-Petersburg, 195251 Russia
A. V. Lukin
Peter the Great St. Petersburg Polytechnic University
Email: lukin_av@spbstu.ru
St.-Petersburg, 195251 Russia
I. A. Popov
Peter the Great St. Petersburg Polytechnic University
Author for correspondence.
Email: popov_ia@spbstu.ru
St.-Petersburg, 195251 Russia
References
- Hajjaj A.Z., Jaber N., Ilyas S. et al. Linear and nonlinear dynamics of micro and nanoresonators: Review of recent advances // Int. J. Non-Lin. Mech. 2019. V. 119. https://doi.org/10.1016/j.ijnonlinmec.2019.103328
- Belyaev Ya.V., Belogurov A.A., Bocharov A.N. et al. Design of a micromechanical accelerometer. // 25th Saint Petersburg Int. Conference on Integrated Navigation Systems (ICINS). IEEE, 2018. P. 1–7. https://doi.org/10.23919/ICINS.2018.8405921
- Wang C., Chen F., Wang Y. et al. Micromachined Accelerometers with Sub-μg/Hz Noise Floor: A Review // Sensors. 2020. V. 20. P. 4054. https://doi.org/10.3390/s20144054
- Morozov N.F., Indeitsev D.A., Igumnova V.S. et al. Nonlinear dynamics of mode-localized MEMS accelerometer with two electrostatically coupled microbeam sensing elements // Int. J. Non-Lin. Mech. 2022. V. 138. P. 103852. https://doi.org/10.1016/j.ijnonlinmec.2021.103852
- Morozov N.F., Indeitsev D.A., Igumnova V.S. et al. A novel model of a mode-localized MEMS accelerometer // Dokl. Phys. 2020. V. 65. P. 371–375.
- Morozov N.F., Indeitsev D.A., Igumnova V.S. et al. Effect of Nonlinearity on Mode Localization Phenomena in Dynamics of MEMS Resonant Sensor with Two Electrostatically Coupled Microbeams // Vest. St. Petersburg Univ. Math. 2021. V. 54. № 2. P. 135–144. https://doi.org/10.1134/S1063454121020072
- Yang J., Zhong J., Chang H. A Closed-Loop Mode-Localized Accelerometer // J. Microelectromech. Syst. 2018. V. 27. № 2. P. 210–217. https://doi.org/10.1109/JMEMS.2017.2787544
- Benjamin E., Lullinsky S., Krylov S. Bistable force/acceleration sensor based on pull-in voltage monitoring // 2016 IEEE International Symposium on Inertial Sensors and Systems. IEEE, 2016. P. 109–112. https://doi.org/10.1109/ISISS.2016.7435557
- Benjamin E., Lullinsky S., Krylov S. Design and Implementation of a Bistable Force/Acceleration Sensing Device Considering Fabrication Tolerances // J. Microelectromech. Syst. 2018. V. 27. No. 5. P. 854–865. https://doi.org/10.1109/JMEMS.2018.2852621
- Krakover N., Ilic B., Krylov S. Displacement Sensing Based on Resonant Frequency Monitoring of Electrostatically Actuated Curved Micro Beams // J. Micromech. Microeng. 2016. V. 26. P. 115006. https://doi.org/10.1088/0960-1317/26/11/115006
- Kessler Y., Ilic B., Krylov S., Liberzon A. Flow Sensor Based on the Snap-Through Detection of a Curved Micromechanical Beam // J. Microelectromech. Syst. 2018. V. 27. № 6. P. 945–947. https://doi.org/10.1109/JMEMS.2018.2868776
- Kessler Y., Liberzon A., Krylov S. Flow Velocity Gradient Sensing Using a Single Curved Bistable Microbeam // J. Microelectromech. Syst. 2020. V. 29. № 5. P. 1020–1025. https://doi.org/10.1109/JMEMS.2020.3012690
- Hajjaj A., Jaber N., Alcheikh N., Younis M. A Resonant Gas Sensor Based on Multimode Excitation of a Buckled Microbeam // IEEE Sensors J. 2019. V. 20. № 4. P. 1778–1785. https://doi.org/10.1109/JSEN.2019.2950495
- Najar F., Ghommem M., Abdel-Rahman E. Arch microbeam bifurcation gas sensors // Nonlin. Dyn. 2021. V. 104. P. 923–940. https://doi.org/10.1007/s11071-021-06319-0
- Zhu R., Wallrabe U., Woias P. et al. Semi-rigid ring-shaped electrode dielectric electroactive polymer membrane as buckling actuator // J. Micromech. Microeng. 2019. V. 29. P. 055001. https://doi.org/10.1088/1361-6439/ab078d
- Tella S., Younis M.I. Toward cascadable MEMS logic device based on mode localization // Sens. Actuators, A. 2020. V. 315. P. 112367. https://doi.org/10.1016/j.sna.2020.112367
- Rega G., Lacarbonara W., Nayfeh A. Reduction Methods for Nonlinear Vibrations of Spatially Continuous Systems with Initial Curvature// IUTAM Symposium on Recent Developments in Non-linear Oscillations of Mechanical Systems. Solid Mechanics and Its Applications. Vol. 77 / Ed. by N.Van Dao, E.J.Kreuzer Dordrecht: Springer, 2000. P. 235–246. https://doi.org/10.1007/978-94-011-4150-5_24.
- Cao D.Q., Liu D., Wang C. Nonlinear dynamic modelling for MEMS components via the Cosserat rod element approach // J. Micromech. Microeng. 2005. V. 15. P. 1334. https://doi.org/10.1088/0960-1317/15/6/027
- Lacarbonara W., Yabuno H. Refined models of elastic beams undergoing large in-plane motions: Theory and experiment // Int. J. Solids Struct. 2005. V. 43. № 17. P. 5066–5084. https://doi.org/10.1016/j.ijsolstr.2005.07.018
- Srinil N., Rega G., Chucheepsakul S. Two-to-one resonant multi-modal dynamics of horizontal/inclined cables. Part I: Theoretical formulation and model validation // Nonlin. Dyn. 2007. V. 48. P. 231–252. https://doi.org/10.1007/s11071-006-9086-0
- Srinil N., Rega G. Two-to-one resonant multi-modal dynamics of horizontal/inclined cables. Part II: Internal resonance activation, reduced-order models and nonlinear normal modes // Nonlin. Dyn. 2007. V. 48. P. 253–274. https://doi.org/10.1007/s11071-006-9087-z
- Cao D.Q., Tucker R. Nonlinear dynamics of elastic rods using the Cosserat theory: Modelling and simulation // J. Solids Struct. 2008. V. 45. P. 460–477. https://doi.org/10.1016/j.ijsolstr.2007.08.016
- Luo A.C.J. On a nonlinear theory of thin rods // Communications in Nonlinear Science and Numerical Simulation. 2010. V. 15. № 12. P. 4181–4197. https://doi.org/10.1016/j.cnsns.2010.01.043
- Vlajic N., Fitzgerald T., Nguyen V., Balachandran B. Geometrically exact planar beams with initial pre-stress and large curvature: Static configurations, natural frequencies, and mode shapes // Int. J. Solids Struct. 2014. V. 51. P. 3361–3371. https://doi.org/10.1016/j.ijsolstr.2014.05.026
- Lembo M. Exact solutions for post-buckling deformations of nanorods // Acta Mech. 2017. V. 228. P. 2283–2298. https://doi.org/10.1007/s00707-017-1834-3
- Zhou Y., Yi Z., Stanciulescu I. Nonlinear Buckling and Postbuckling of Shallow Arches With Vertical Elastic Supports // J. Appl. Mech. 2019. V. 86. № 6. P. 0610011. https://doi.org/10.1115/1.4042572
- Nicoletti R. On the natural frequencies of simply supported beams curved in mode shapes // J. Sound Vibr. 2020. V. 485. P. 115597. https://doi.org/10.1016/j.jsv.2020.115597
- Pandurangi S., Elliott R., Healey T., Triantafyllidis N. Stable Spatially Localized Configurations in a Simple Structure – A Global Symmetry-Breaking Approach // J. Elasticity. 2020. V. 142. P. 163–199. https://doi.org/10.1007/s10659-020-09794-5
- Emam S., Lacarbonara W. Buckling and postbuckling of extensible, shear-deformable beams: Some exact solutions and new insights // Int. J. Non-Lin. Mech. 2021. V. 129. P. 103667. https://doi.org/10.1016/j.ijnonlinmec.2021.103667
- Medina L., Gilat R., Krylov S. Symmetry breaking in an initially curved micro beam loaded by a distributed electrostatic force // Int. J. Solids Struct. 2012. V. 49. P. 1864–1876. https://doi.org/10.1016/j.ijsolstr.2012.03.040
- Medina L., Gilat R., Krylov S. Symmetry breaking in an initially curved pre-stressed micro beam loaded by a distributed electrostatic force // Int. J. Solids Struct. 2014. V. 51. P. 2047. https://doi.org/10.1016/j.ijsolstr.2014.02.010
- Shojaeian M., Beni T.Y., Ataei H. Size-dependent snap-through and pull-in instabilities of initially curved pre-stressed electrostatic nano-bridges // J. Phys. D: Appl. Phys. 2016. V. 49. P. 295303. https://doi.org/10.1088/0022-3727/49/29/295303
- Medina L., Gilat R., Krylov S. Latching in bistable electrostatically actuated curved micro beams // Int. J. Eng. Sci. 2017. V. 110. P. 15–34. https://doi.org/10.1016/j.ijengsci.2016.10.001
- Medina L., Gilat R., Krylov S. Bow Actuator: Low Voltage Switching in Electrostatically Actuated Bistable Beams // Proc. of the ASME 2018 Int. Design Engineering Technical Conferences and Computers and Information in Engineering Conference. Volume 4: 23rd Design for Manufacturing and the Life Cycle Conference; 12th International Conference on Micro- and Nanosystems. ASME, 2018. P.V004T08A009.https://doi.org/10.1115/DETC2018-85534
- Sharma A., Godara R.K., Joglekar M. Static and DC dynamic pull-in analysis of curled microcantilevers with a compliant support // Microsyst. Technol. 2019. V. 25. P. 965–975. https://doi.org/10.1007/s00542-018-4046-4
- Medina L., Gilat R., Krylov S. Dynamic release condition in latched curved micro beams // Commun. Nonlin. Sci. Numeric. Simulat. 2019. V. 73. P. 291–306. https://doi.org/10.1016/j.cnsns.2019.01.022
- Medina L., Seshia A. Bistability and simultaneous mode actuation in electrostatically actuated initially curved coupled micro beams // Int. J. Non-Lin. Mech. 2020. V. 126. P. 103549. https://doi.org/10.1016/j.ijnonlinmec.2020.103549
- Medina L., Seshia A. Tristable properties and limit point behaviour in electrostatically actuated initially curved coupled micro beams // Int. J. Mech. Sci. 2021. V. 204. P. 106543. https://doi.org/10.1016/j.ijmecsci.2021.106543
- Medina L., Gilat R., Ilic B., Krylov S. Single Electrode Bidirectional Switching of Latchable Prestressed Bistable Micromechanical Beams // IEEE Sens. J. 2021. V. 21. № 19, P. 21349–21358. https://doi.org/10.1109/JSEN.2021.3103265
- Lacarbonara W., Arafat H., Nayfeh A. Non-linear interactions in imperfect beams at veering // Int. J. Non-Lin. Mech. 2005. V. 40. P. 987–1003. https://doi.org/10.1016/j.ijnonlinmec.2004.10.006
- Alkharabsheh S., Younis M. Statics and Dynamics of MEMS Arches Under Axial Forces // J. Vibr. Acoust. 2013. V. 135. P. 021007. https://doi.org/10.1115/1.4023055
- Hajjaj A., Alcheikh N., Younis M. The static and dynamic behavior of MEMS arch resonators near veering and the impact of initial shapes // Int. J. Non-Lin. Mech. 2017. V. 95. P. 277–286 https://doi.org/10.1016/j.ijnonlinmec.2017.07.002
- Alqasimi E.J., Ouakad M.H. Vibrational Response of Initially Deformed Bi-stable Microbeams Under the Combined Effect of Mechanical Shock Loads and Electrostatic Forces // J. Vibr. Acoust. 2017. V. 140. № 2. P. 021013. https://doi.org/10.1115/1.4038107
- Ghayesh M., Farokhi H. Bistable nonlinear response of MEMS resonators // Nonlin. Dyn. 2017. V. 90. P. 1627–1645. https://doi.org/10.1007/s11071-017-3753-1
- Alfosail K.F., Hajjaj Z.A., Younis I.M. Theoretical and Experimental Investigation of Two-to-One Internal Resonance in MEMS Arch Resonators // J. Computat. Nonlin. Dyn. 2018. V. 14. P. 011001. https://doi.org/10.1115/1.4041771
- Tausiff M., Ouakad H.M., Alqahtani H., Alofi A. Local nonlinear dynamics of MEMS arches actuated by fringing-field electrostatic actuation // Nonlin. Dyn. 2019. V. 95. https://doi.org/10.1007/s11071-018-4731-y
- Ouakad M.H., Najar F. Nonlinear Dynamics of MEMS Arches Assuming Out-of-Plane Actuation Arrangement // J. Vibr. Acoust. 2019. V. 141. № 4. P. 041010. https://doi.org/10.1115/1.4043064
- Hajjaj A., Alfosail F., Jaber N. et al. Theoretical and experimental investigations of the crossover phenomenon in micromachined arch resonator: part I – linear problem // Nonlin. Dyn. 2020. V. 99, P. 393–405.https://doi.org/10.1007/s11071-019-05251-8
- Hajjaj A., Alfosail F., Jaber N. et al. Theoretical and experimental investigations of the crossover phenomenon in micromachined arch resonator: part II – simultaneous 1:1 and 2:1 internal resonances // Nonlin. Dyn. 2020. V. 99. P. 407–432. https://doi.org/10.1007/s11071-019-05242-9
- Alneamy A.M., Khater M.E., Al-Ghamdi M.S. et al. Large Oscillation of Electrostatically Actuated Curved Beams // J. Micromech. Microeng. 2020. V. 30. P. 095005. https://doi.org/10.1088/1361-6439/ab94d1
- Alcheikh N., Ouakad H.M., Ben Mbarek S., Younis M.I. Investigations Into the Linear Coupling Between Symmetric and Anti-Symmetric Modes of V-Shaped MEMS Resonators Under Electrostatic Perturbation. // Proceedings of the ASME 2021 International Mechanical Engineering Congress and Exposition. Volume 7A: Dynamics, Vibration, and Control. ASME, 2021. P. V07AT07A029.https://doi.org/10.1115/IMECE2021-73535
- Alcheikh N., Ouakad H.M., Ben Mbarek S., Younis M.I. Crossover/Veering in V-Shaped MEMS Resonators // J. Microelectromech. Syst. 2021. V. 31. № 1. P. 74–86. https://doi.org/10.1109/JMEMS.2021.3126551
- Rosenberg S., Shoshani O. Zero-dispersion point in curved micro-mechanical beams // Nonlin. Dyn. 2022. V. 107. P. 1–14. https://doi.org/10.1007/s11071-021-07015-9
- Medina L., Gilat R., Ilic R., Krylov S. Open Loop, Self-Excitation in a Bistable Micromechanical Beam Actuated By a DC Electrostatic Load // Proceedings of the ASME 2017 International Design Engineering Technical Conferences and Computers and Information in Engineering Conference. Volume 4: 22nd Design for Manufacturing and the Life Cycle Conference; 11th International Conference on Micro- and Nanosystems. ASME, 2017. P. V004T09A006.https://doi.org/10.1109/MEMSYS.2017.7863525
- Rajaei A., Vahidi-Moghaddam A., Ayati M., Baghani M. Integral sliding mode control for nonlinear damped model of arch microbeams // Microsyst. Technol. 2019. V. 25. P. 57–68. https://doi.org/10.1007/s00542-018-3931-1
- Kessler Y., Liberzon A., Krylov S. On Sampling Rate Limits in Bistable Microbeam Sensors // J. Microelectromech. Syst. 2021. V. 6. P. 980–989.https://doi.org/10.1109/JMEMS.2021.3117838
- Medina L., Gilat R., Krylov S. Bistable behavior of electrostatically actuated initially curved micro plate // Sens. Actuat. A: Phys. 2016. V. 248. https://doi.org/10.1016/j.sna.2016.07.027
- Saghir S., Bellaredj M.L., Ramini A., Younis M.I. Initially curved microplates under electrostatic actuation: Theory and experiment // J. Micromech. Microeng. 2016. V. 26. https://doi.org/10.1088/0960-1317/26/9/095004
- Medina L., Gilat R., Krylov S. On The Usage of Berger’s Model for Electrostatically Actuated Circular Curved Micro Plates. // Proceedings of the ASME 2017 International Design Engineering Technical Conferences and Computers and Information in Engineering Conference. Volume 4: 22nd Design for Manufacturing and the Life Cycle Conference; 11th International Conference on Micro- and Nanosystems. ASME, 2017. P.V004T09A006. https://doi.org/10.1115/DETC2017-67523
- Medina L., Gilat R., Krylov S. Bistability criterion for electrostatically actuated initially curved micro plates // Int. J. Eng. Sci. 2018. V. 130. P. 75–92. https://doi.org/10.1016/j.ijengsci.2018.05.006
- Saghir S., Younis I.M. An investigation of the mechanical behavior of initially curved microplates under electrostatic actuation // Acta Mech. 2018. V. 229. P. 2909–2922. V. 229. https://doi.org/10.1007/s00707-018-2141-3
- Ghayesh H.M., Farokhi H. Nonlinear behaviour of electrically actuated microplate-based MEMS resonators // Mech. Syst. Signal Proc. 2018. V. 109. P. 220–234. https://doi.org/10.1016/j.ymssp.2017.11.043
- Dorfmeister M., Kossl B., Schneider M. et al. Switching performance of bistable membranes activated with integrated piezoelectric thin film transducers // J. Micromech. Microeng. 2019. V. 29. P. 105008. https://doi.org/10.1088/1361-6439/ab3185
- Asher A., Benjamin E., Medina L. et al. Bistable Micro Caps Fabricated by Sheet Metal Forming // J. Micromech. Microeng. 2020. V. 30. P. 065002. https://doi.org/10.1088/1361-6439/ab7f52
- Dhooge A., Govaerts W., Kuznetsov A. Y. MATCONT: a MATLAB package for numerical bifurcation analysis of ODEs // ACM Transactions on Mathematical Software (TOMS). 2003. V. 29. № 2. P. 141–164.
- Guo X., Yang B., Li C., Liang Z. Enhancing output linearity of weakly coupled resonators by simple algebraic operations // Sens. Actuat. A: Phys. 2021. V. 325. P. 112696.
- Kang H., Yang J., Chang H. A closed-loop accelerometer based on three degree-of-freedom weakly coupled resonator with self-elimination of feedthrough signal // IEEE Sensors J. 2018. V. 18. № 10. P. 3960–3967.
- Zhang H.M., Yuan W.Z., Li B.Y. et al. A novel resonant accelerometer based on mode localization of weakly coupled resonators // Transducers-2015 18th International Conference on Solid-State Sensors, Actuators and Microsystems (TRANSDUCERS). IEEE, 2015. P. 1073–1076.
Supplementary files










