Participation of adrenoreceptors in the mechanisms of pathologic cardiac rhythm induced in newborn rats by nickel chloride administration
- Authors: Kuznetsov S.V.1, Kuznetsova N.N.1
-
Affiliations:
- Sechenov Institute of Evolutionary Physiology and Biochemistry Russian Academy of Sciences
- Issue: Vol 110, No 9 (2024)
- Pages: 1488-1509
- Section: EXPERIMENTAL ARTICLES
- URL: https://journals.rcsi.science/0869-8139/article/view/272872
- DOI: https://doi.org/10.31857/S0869813924090152
- EDN: https://elibrary.ru/AIQGPP
- ID: 272872
Cite item
Full Text
Abstract
In experiments on 3-day-old rats to identify the possible involvement of adrenoreceptors (AR) in the development of pathologic heart rhythm with high-amplitude (> 0.5 c) bradycardic complexes (PHRBC) occurring in newborn rats after NiCl2 administration, a comparative analysis of changes in heart rate variability (HRV), heart rate, and respiration after injection of nickel chloride and a high dose of the β-AR agonist isoproterenol was carried out. Injection of NiCl2, which blocks T-type voltage-dependent Ca2+ channels (T-VDCC), causes in 100% of rats the occurrence of PHRBC accompanied by a decrease in the role of neural influences and an increase in the role of neurohumoral factors in the mechanisms of heart rate regulation. Activation of β-AR causes shifts of physiological parameters qualitatively and quantitatively similar to those observed after NiCl2 poisoning in rats, but PHRBC does not occur. Pharmacological analysis with premedication of rats with β-AR antagonists (propranolol, atenolol) or α-AR antagonists (phentolamine) followed by NiCl2 administration showed that β-AR blockade with the nonselective adrenolytic propranolol prevents the development of PSRBC in half of the rats. In animals with pathologic arrhythmia occurring after NiCl2 injection, a rapid increase in the load on the sympathoadrenal system is noted, and the initial (background) instability of the mechanisms of heart rhythm regulation is revealed. Blockade of α- and β1-AR does not prevent the development of PHRBC during subsequent NiCl2 administration, which suggests the participation of β2-AR in the development of arrhythmia. Administration of the selective β2-AR agonist clenbuterol to rats leads to a decrease in HRV, including neurohumoral regulation and the appearance of low-amplitude (< 0.1 c) bradycardic complexes (BC) in 22% of rats. The results obtained by us together with the analysis of the literature suggest that β-AR plays an important role in the complex changes in the balance of regulatory influences in the occurrence of PHRBCs. Activation of β1-AR contributes to increased release of catecholamines by adrenal chromaffin cells, increased role of neurohumoral component of heart rhythm regulation and causes activation of β2-AR. Blockade of β2-AR, on the contrary, reduces the release of catecholamines and prevents the development of pathological arrhythmia. The second necessary factor leading to the development of arrhythmias with high-amplitude BCs is blockade of T-type calcium channels.
Full Text
ВВЕДЕНИЕ
Ранний постнатальный онтогенез крыс характеризуется незрелостью нисходящих тормозных влияний и функциональной незрелостью вегетативной нервной системы. Это приводит к тому, что изменение баланса регуляторных влияний легко вызывает нарушения ритмической активности соматомоторной и висцеромоторной систем. При определенных условиях периодически возникающие у интактных крысят низкоамплитудные брадикардические комплексы (БК) сердечного ритма могут усиливаться, трансформируясь в патологический сердечный ритм с высокоамплитудными брадикардическими комплексами (ПСРБК) [1–3].
Кальциевые потенциал-зависимые каналы Т-типа наиболее многочисленны в узловых и эмбриональных сердечных миоцитах и участвуют в работе сердечного пейсмекера [4]. Как правило, кальциевые каналы Т-типа экспрессируются в неонатальных кардиомиоцитах, клетках синоатриального и атриовентрикулярного узла, но практически не экспрессируются во взрослых желудочковых миоцитах [5, 6]. В спонтанно сокращающихся пейсмекерных клетках увеличение субсарколеммальной внутриклеточной концентрации Ca2+ происходит одновременно с последней третью диастолической деполяризации из-за локального спонтанного высвобождения Ca2+ из саркоплазматического ретикулума, т. е. быстрого подъема уровня ионов Са2+ (спарков). Усиление кальциевого тока Т-типа (ICaT) приводит к ускорению диастолической деполяризации и усиливает входящий ток натрий-кальциевого обменника (NCX). Инактивация изоформы Cav3.1 T-VDCC вызывает умеренную брадикардию и замедление атриовентрикулярной проводимости. Все это указывает на важную роль ICaT в нормальной деятельности сердечного пейсмекера, а при определенных условиях может способствовать развитию эктопических предсердных аритмий [7].
Ранее нами было установлено, что в первые две недели постнатального онтогенеза введение крысятам ингибитора ацетилхолинэстеразы (АХЭ) эзерина или Ni2+ вызывает возникновение феноменологически сходного ПСРБК [3, 8]. Сравнительный анализ показателей вариабельности сердечного ритма (ВСР) свидетельствует о том, что нарушение механизмов регуляции сердечного ритма при отравлении крысят NiCl2 и при активации холинореактивных структур, вызванных ингибированием АХЭ, развиваются по сходной схеме. В обоих случаях наблюдается падение общей мощности спектра периодограмм сердечного ритма и абсолютных значений мощности диапазонов LF (преимущественно симпатические с долей парасимпатических влияний) и HF (парасимпатические влияния). Значительное падение уровня нервных влияний приводит к тому, что доминирующую роль в регуляции сердечного ритма начинают играть нейрогуморальные факторы. Изменение баланса между нервными и нейрогуморальными факторами регуляции сердечного ритма может являться триггером для развития патологической аритмии [8]. Как увеличение выброса ацетилхолина, так и введение животным NiCl2 может провоцировать выброс катехоламинов из хромаффинных клеток [9–11]. Нельзя исключить, что колебания уровня нейрогуморальных влияний, наблюдаемые нами у крысят при развитии дизритмии, могут быть вызваны изменением секреторной активности хромаффинных клеток мозгового вещества надпочечников, находящихся под модулирующим влиянием β-АР.
Активация β-АР лежит в основе положительного хронотропного эффекта, оказываемого катехоламинами на сердечный автоматизм. Катехоламины усиливают активность ионных каналов, а также внутриклеточное высвобождение Ca2+ [7]. Установлено, что β1- и β2-АР связываются с Gs-белками, повышая уровень внутриклеточного цАМФ, активируя таким образом инотропию и хронотропию сердца. Было показано, что β-АР принимают непосредственное участие в регуляции ВСР [12]. К моменту рождения у крысы существует период потенциального вегетативного дисбаланса, когда парасимпатическая иннервация сердца установлена, но симпатическая иннервация еще не развита. В этот период у крысят в крови циркулируют катехоламины из мозгового слоя надпочечников [13, 14]. Способность β2-АР связываться не только с Gs-, но и Gi-белками создает предпосылки для осуществления гибких механизмов регуляции экзоцитоза катехоламинов хромаффинными клетками [15]. Таким образом, колебания уровня адренергических влияний на различные структуры незрелого организма могут вносить существенные изменения в механизмы регуляции сердечного ритма. Задачей нашего исследования стало изучение возможной роли адренореактивных структур в возникновении ПСРБК у новорожденных крысят после блокады кальциевых каналов Т-типа ионами никеля.
МЕТОДЫ ИССЛЕДОВАНИЯ
Объекты исследования
Работа выполнена на белых крысах Rattus norvegicus f. domestica 3-дневного возраста. Всего в опытах использовано 146 крысят с массой тела 9.2 ± 0.2 г без разделения по полу.
Экспериментальная установка и методы регистрации
Животных помещали в экранированную камеру с температурой 26 ± 0.5 ºС. Контроль температуры осуществляли с помощью цифрового термометра RST-02100 (RST, Швеция). Регистрацию физиологических показателей проводили на ненаркотизированных крысятах в условиях мягкой фиксации животных. Исследовали ЭКГ и показатели внешнего дыхания. В целях снижения уровня артефактов при регистрации ЭКГ у крысят применяли нестандартное отведение от теменной части головы и крестцовой области. Для анализа частоты дыхания (ЧДД) осуществляли регистрацию экскурсии грудной клетки с использованием пьезоэлектрического датчика VP-102 (RTF, Германия). В экспериментах использовали усилители биопотенциалов ИУ-40 (производство экспериментально-производственных мастерских Института экспериментальной медицины РАМН). ЧДД регистрировали при полосе пропускания усилителя от 0.15 до 30 Гц, ЭКГ – от 5 до 150 Гц. Для ввода аналоговых сигналов в компьютер использовали АЦП E14–440 (L-card, Россия) с периодом дискретизации 1 мс. Построение периодограмм сердечного ритма и анализ регистрируемых сигналов проводили в программе «PowerGraph 3.3.12» (ООО «ДИСофт», Россия) и «Origin 2019» (OriginLab Corporation, США). Для оценки характера моторной активности расчет мощности электромиограммы (ЭМГ) проводили в «PowerGraph 3.3.12» по специальному алгоритму, выделяя ЭМГ из канала записи ЭКГ. Спектральный анализ периодограмм осуществляли по алгоритму быстрого преобразования Фурье по 32768 точкам с использованием окна Уолша (Welch). Сердечную деятельность оценивали по двум параметрам – средней частоте сердечных сокращений (ЧСС) и показателям ВСР. Анализ ВСР осуществляли, исходя из адаптированного для новорожденных крысят [1] разделения спектра периодограмм на диапазоны: VLF – 0.03–0.3 Гц; LF – 0.3–0.8 Гц; HF – 0.8–2.5 Гц. При обсуждении результатов анализа ВСР придерживались следующей классификации: диапазон VLF отражает вклад различных нейрогуморальных (церебральных эрготропных, гуморально-метаболических и др.) факторов и центральных симпатоадреналовых влияний; LF формируется преимущественно симпатическими влияниями с возможным включением и парасимпатического элемента; HF-диапазон в значительной мере является отражением дыхательной аритмии и связан преимущественно с парасимпатическими влияниями [1, 16]. При расчетах абсолютных значений мощности диапазонов VLF, LF, HF, To осуществляли их нормирование (максимумы мощности индивидуальных спектров были приняты за 1 и затем усреднялись по группе). Нормированные показатели относительной мощности диапазонов VLF, LF, HF, рассчитанные в процентах от общей мощности спектра (То), а также значения коэффициента LF/HF и индекса централизации IC = (VLF + LF)/HF) получены путем усреднения индивидуальных значений этих показателей.
Использованные фармакологические препараты
В процессе исследования было проведено 6 серий экспериментов. У интактных крысят после 15-минутного периода адаптации в течение 30 мин регистрировали сердечный и дыхательный ритм. После регистрации фоновых физиологических показателей первой группе крысят внутрибрюшинно вводили шестиводный хлористый никель (7791–20–0 Sigma-Aldrich, США) в дозе 109 мг/кг (в пересчете на безводный NiCl2), вызывающей у 100% 3-дневных крысят однотипные изменения сердечного и дыхательного ритма. Регистрацию сердечного и дыхательного ритмов проводили в течение 30 мин. Данная эпоха анализа была выбрана, исходя из ранее полученных данных о длительности максимально выраженной реакции крысят на введение хлорида никеля [3]. Для оценки динамики развития изменений физиологических показателей (ЧСС, ВСР) 30-минутную запись разбивали на 3 фрагмента по 10 мин.
Во второй серии экспериментов осуществляли введение крысятам неселективного агониста β-АР изопротеренола (DL–Isoproterenol hemisulfate, 6078–56–4 MP Biomedical, Германия) в дозе 600 мг/кг.
В последующих сериях экспериментов перед введением крысятам NiCl2 проводили премедикацию одним из нижеперечисленных препаратов: неселективным блокатором β-АР пропранололом (DL-Propranolol hydrochloride, P0884 Sigma-Aldrich, США) в дозе 1 мг/кг в/бр, кардиоселективным блокатором β1-АР атенололом ((+/-)-Atenolol, A7655 Sigma-Aldrich, США) в дозе 10 мг/кг в/бр и неселективным блокатором α-АР фентоламином (Phentolamine methanesulfonate, P7561 Sigma-Aldrich, США) в дозе 5 мг/кг в/бр. Введение хлорида никеля проводили через 10 мин при премедикации атенололом, через 15 мин – пропранололом и через 20 мин – фентоламином. Расчеты показателей ЧДД, ЧСС и ВСР осуществляли по 10-минутным фрагментам записей, сделанным непосредственно перед инъекцией NiCl2. Общее время исследования каждого животного составляло от 90 до 95 мин.
В заключительной части работы была проведена серия экспериментов с внутрибрюшинной инъекцией селективного агониста β2-АР кленбутерола (Clenbuterol hydrochloride, C-5423 Sigma-Aldrich, США) в дозе 90 мг/кг.
Статистическая обработка данных
Статистическую обработку данных осуществляли в программе «Origin 2019». Статистически обработанные данные представлены как среднее ± стандартная ошибка (M ± SEM). После проверки нормальности распределения, выполненной по критерию Шапиро – Уилка, для определения достоверности различий между группами использовали парный тест Стьюдента и в ряде случаев однофакторный дисперсионный анализ, при отсутствии нормального распределения и при анализе показателей ВСР использовали непараметрический критерий Манна – Уитни. Все изменения рассматривали по отношению к фоновым показателям до введения препарата. Различия считали статистически значимыми при р < 0.05.
РЕЗУЛЬТАТЫ ИССЛЕДОВАНИЯ
Подробно развитие динамики нарушений сердечного и дыхательного ритма после инъекции хлорида никеля было описано нами ранее [3, 8]. Приблизительно через 3–4 мин после введения препарата у крысят возникает нарушение ритма дыхания и развитие брадикардии (табл. 1), переходящей в пачечную форму активности, при которой установившийся медленный сердечный ритм чередуется с периодами еще более медленных сердечных сокращений (рис. 1). Восстановление синусового ритма сердца и регулярного дыхания происходит через 15–25 мин после инъекции, но брадикардия и нарушение вагосимпатического баланса (ВСБ) сохраняются на протяжении 6–8 ч после инъекции.
Таблица 1. ЧСС и ЧДД у 3-дневных крысят до и после фармакологических воздействий
Показатели | Группа | ||||
Фон | Премедикация | % к фону | Препарат | % к фону | |
Изопротеренол (n = 12) | |||||
ЧСС в мин | 262.3 ± 19.3 | – | – | 202.0 ± 14.0* | 78 |
ЧДД в мин | 84.3 ± 7.8 | – | – | 35.2 ± 3.1* | 42 |
Кленбутерол, 90 мг/кг (n = 18) | |||||
ЧСС в мин | 339.3 ± 4.9 | – | – | 186.0 ± 12.3* | 55 |
ЧДД в мин | 87.2 ± 3.0 | – | – | 50.6 ± 5.7* | 58 |
NiCl2 (n = 12) | |||||
ЧСС в мин | 258.3 ± 10.9 | – | – | 185.8 ± 11.5* | 72 |
ЧДД в мин | 71.0 ± 4.5 | – | – | 37.1 ± 3.9* | 52 |
Пропранолол | |||||
с комплексами (n = 8) | |||||
ЧСС в мин | 247.0 ± 22.0 | 155.5 ± 11.6* | 63 | 111.7 ± 9.7* | 45 |
ЧДД в мин | 85.9 ± 8.3 | 52.7 ± 2.1* | 61 | 31.2 ± 1.9* | 36 |
без комплексов (n = 6) | |||||
ЧСС в мин | 271.8 ± 7.2 | 164.3 ± 4.5* | 61 | 121.5 ± 3.7* | 45 |
ЧДД в мин | 74.9 ± 6.1 | 53.8 ± 4.3* | 72 | 34.2 ± 2.2* | 46 |
Атенолол (n = 10) | |||||
ЧСС в мин | 317.2 ± 12.5 | 196.7 ± 3.6* | 62 | 138.4 ± 6.9* | 44 |
ЧДД в мин | 67.7 ± 4.4 | 48.7 ± 2.7* | 72 | 31.0 ± 1.6* | 46 |
Фентоламин (n = 8) | |||||
ЧСС в мин | 306.3 ± 9.7 | 244.1 ± 13.0* | 80 | 194.1 ± 7.9* | 63 |
ЧДД в мин | 94.6 ± 7.3 | 79.5 ± 9.6 | 84 | 43.0 ± 4.7* | 46 |
Примечание. Здесь и в табл. 2–8: *p < 0.05 – достоверность различий между фоном и опытом. ЧДД – частота дыхательных движений, ЧСС – частота сердечных сокращений.
Рис. 1. Нарушения сердечного ритма у 3-дневного крысенка через 14 мин после инъекции NiCl2 в дозе 109 мг/кг. Представлены периодограмма сердечного ритма (а), ЭКГ (b) и фрагмент записи ЭКГ с 30 по 50 с (c). По оси абсцисс – время (с), по оси ординат – амплитуда ЭКГ (мВ) и периодограммы ритма (с).
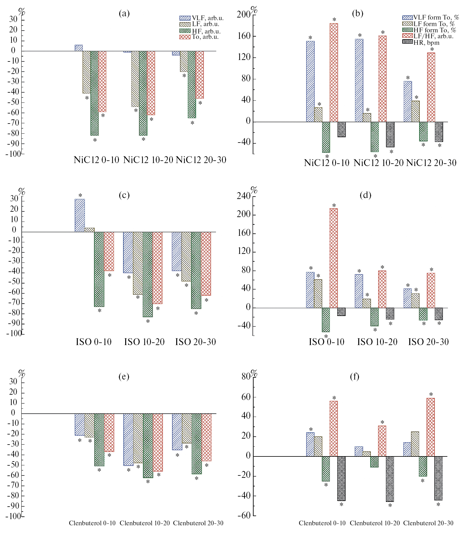
Анализ ВСР показал, что после введения крысятам NiCl2 наблюдается падение общей мощности спектра и абсолютных значений мощности диапазонов LF и HF (табл. 2, рис. 2a). Значительное снижение уровня нервных влияний приводит к тому, что доминирующую роль в регуляции сердечного ритма начинают играть нейрогуморальные факторы. В свою очередь, падение парасимпатических влияний приводит к смещению ВСБ в сторону усиления симпатических нервных влияний (табл. 2, рис. 2b). Учитывая, что показатель VLF, рассчитываемый за 10-минутную эпоху анализа, может показывать не только вклад гуморально-метаболических факторов, но и активность надсегментарных симпатических структур [17], мы провели оценку еще одного показателя ВСР – индекса централизации, который отражает степень преобладания недыхательных составляющих синусовой аритмии над дыхательными [16] и позволяет более полно судить о состоянии вагосимпатического баланса [18, 19]. Результаты, полученные на данной выборке животных, согласуются с полученными нами ранее и свидетельствуют о том, что изменение баланса между нервными и нейрогуморальными факторами регуляции сердечного ритма может являться триггером для развития патологической аритмии [8].
Таблица 2. Изменение показателей ВСР у 3-дневных крысят после введения NiCl2 (n = 12)
Показатели | Фон | NiCl2, период исследования | ||
0–10 | 10–20 | 20–30 | ||
VLF (у. е.) | 31.16 ± 3.35 | 32.97 ± 3.57 | 30.72 ± 3.99 | 30.04 ± 3.44 |
LF (у. е.) | 31.64 ± 3.63 | 18.55 ± 4.71* | 14.60 ± 3.32* | 25.25 ± 6.06* |
HF (у. е.) | 110.48 ± 17.53 | 19.53 ± 3.82* | 19.60 ± 5.17* | 38.98 ± 11.80* |
To (у. е.) | 173.27 ± 19.44 | 71.05 ± 11.65* | 64.92 ± 11.77* | 94.27 ± 19.35* |
VLF, % | 20.1 ± 2.8 | 50.4 ± 2.4* | 51.3 ± 2.1* | 35.3 ± 5.5* |
LF, % | 18.4 ± 1.2 | 23.4 ± 1.6* | 21.4 ± 1.1* | 25.6 ± 1.6* |
HF, % | 61.5 ± 3.1 | 26.2 ± 0.9* | 27.3 ± 2.0* | 39.1 ± 4.5* |
LF/HF, y. e. | 0.312 ± 0.030 | 0.887 ± 0.039* | 0.814 ± 0.052* | 0.714 ± 0.059* |
IC, y. e. | 0.682 ± 0.106 | 2.868 ± 0.126* | 2.811 ± 0.181* | 1.922 ± 0.322* |
ЧСС в мин | 262.3 ± 19.3 | 188.8 ± 19.3* | 140.0 ± 18.8* | 166.4 ± 13.8* |
Рис. 2. Сдвиг показателей ВСР у 3-дневных крысят после инъекции NiCl2 (a, b), изопротеренола (c, d) и кленбутерола (e, f), представленный в % от исходного (фонового) уровня, принятого за 100%. Значения показателей VLF, LF, HF, To (a, c, e) даны в нормированном виде (максимумы мощности индивидуальных спектров приняты за 1). Относительная мощность диапазонов VLF, LF, HF (b, d, f) представлена в % от общей (То) мощности спектра. Коэффициент LF/HF рассчитан, исходя из усредненных индивидуальных нормированных показателей LF и HF. ЧСС (HR) представлена в уд/мин.
*p < 0.05 – достоверность различий между фоном и опытом, представленная на основании данных табл. 2, 3, 8.
Здесь и в табл. 3–5, 7, 8: значения показателей VLF, LF, HF, To даны в нормированном виде (максимумы мощности индивидуальных спектров приняты за 1). Значения показателей нормированной относительной мощности диапазонов VLF, LF, HF, рассчитанных в процентах от общей мощности спектра (То), а также значения коэффициента LF/HF и индекса централизации (IC) получены путем усреднения индивидуальных значений этих показателей.
Сравнительный анализ действия NiCl2 и изопротеренола (ISO)
По данным литературы, LD50 для 1–3-дневных крысят при оральном введении ISO составляет от 610 до 1310 мг/кг [20]. Для определения эффективной дозы адреномиметика мы провели предварительное исследование с введением препарата в дозах 2, 4, 20, 100, 200, 400, 600 и 800 мг/кг. В результате для проведения дальнейшей работы нами была выбрана доза 600 мг/кг, которая вызывает у крысят достоверные сдвиги ЧСС и ЧДД, провоцирует появление медленноволновых колебаний сердечного ритма, но не приводит к гибели животных. Оказалось, что введение ISO в дозах 2 и 4 мг/кг (у 75% крысят) сопровождается увеличением ЧСС, а в более высоких дозах – снижением. Снижение ЧСС, артериального и пульсового давления наблюдали и в экспериментах на взрослых собаках при увеличении дозы ISO до смертельной, синусовый ритм сохранялся до тех пор, пока артериальное давление не становилось менее 50 мм рт. ст., а смерть наступала от асистолии [21].
Инъекции NiCl2 или ISO вызывали у крысят сопоставимое достоверное замедление ЧСС и ЧДД (табл. 1). Однако, если в случае NiCl2 высокоамплитудные брадикардические комплексы возникают у 100% 3-дневных крысят, то при введении ISO только у 1 из 12 крысят были зарегистрированы БК с амплитудой в 3 раза меньше, чем после инъекции NiCl2. Следует отметить, что у этого животного в фоне парасимпатические влияния носили более выраженный характер (LF/HF = 0.182, IC = 0.435), чем у других крысят.
Анализ показателей ВСР после введения ISO (табл. 3) выявил изменения, качественно сходные с наблюдаемыми после инъекции NiCl2 (рис. 2). Однако имеются и некоторые различия, касающиеся преимущественно VLF-диапазона. Более выраженное, достоверное усиление нейрогуморальных влияний, наблюдаемое в первые 10 мин после введения изопротеренола, сменяется их достоверным угнетением, в то время как после инъекции NiCl2 абсолютная мощность данного диапазона практически не меняется (рис. 2c). Быстрое снижение мощности LF-диапазона после введения NiCl2 отсутствует в случае адренергической активации. Соотношение представленности отдельных частотных диапазонов в общей мощности спектра периодограмм сердечного ритма изменяется сходным образом в обоих случаях (рис. 2b, d), а их количественные различия частично обусловлены отличиями ряда фоновых показателей ВСР (табл. 2, 3). Резкое увеличение индекса централизации после инъекции крысятам NiCl2 и изопротеренола (на 369% и 348% соответственно) свидетельствует о сопоставимом уровне активации симпатоадреналовой системы.
Таблица 3. Изменение показателей ВСР у 3-дневных крысят после введения изопротеренола (n = 12)
Показатели | Фон | Изопротеренол, период исследования | ||
0–10 | 10–20 | 20–30 | ||
VLF (у. е.) | 27.88 ± 1.83 | 36.69 ± 4.40* | 16.69 ± 1.40* | 17.39 ± 1.86* |
LF (у. е.) | 17.42 ± 2.09 | 18.19 ± 1.47 | 6.78 ± 1.52* | 9.10 ± 1.72* |
HF (у. е.) | 75.11 ± 16.22 | 20.32 ± 2.05* | 12.56 ± 1.24* | 19.19 ± 2.33* |
To (у. е.) | 120.41 ± 18.53 | 75.20 ± 4.66* | 36.03 ± 3.00* | 45.68 ± 3.92* |
VLF, % | 27.3 ± 6.4 | 48.4 ± 3.74* | 46.9 ± 3.3* | 38.4 ± 4.0* |
LF, % | 15.0 ± 1.2 | 24.2 ± 1.6* | 17.9 ± 2.7 | 19.7 ± 2.2* |
HF, % | 57.7 ± 6.7 | 27.4 ± 2.9* | 35.2 ± 2.3* | 41.9 ± 4.2* |
LF/HF, y. e. | 0.295 ± 0.060 | 0.925 ± 0.092* | 0.532 ± 0.103* | 0.515 ± 0.110* |
IC, y. e. | 0.941 ± 0.369 | 2.701 | 1.869 | 1.380 |
ЧСС в мин | 258.3 ± 10.9 | 215.8 ± 14.2* | 193.8 ± 13.7* | 190.8 ± 12.8* |
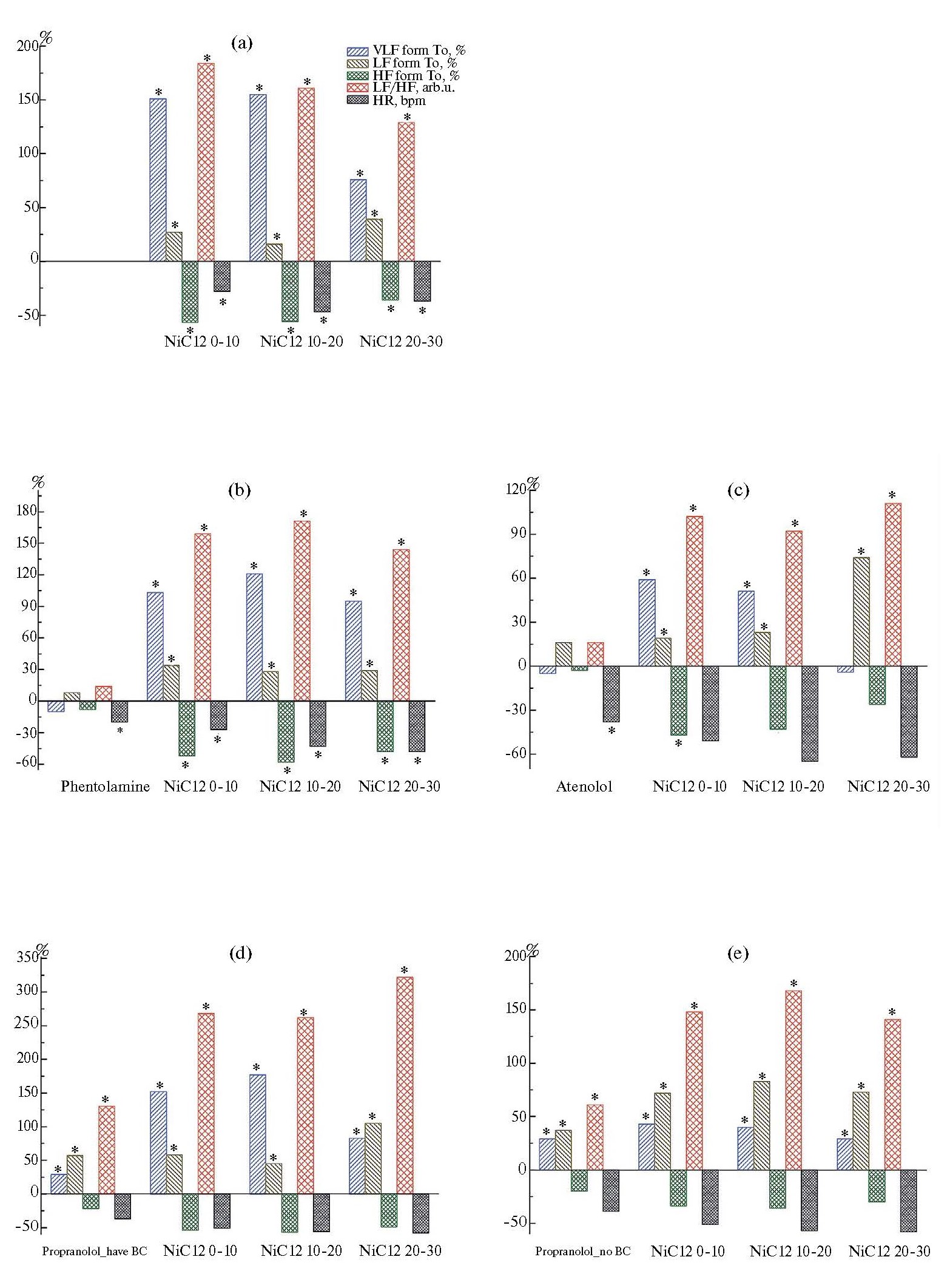
Примечание. Чтобы проверить, может ли предварительная блокада адренорецепторов предотвращать развитие ПСРБК, вызванное введением NiCl2, мы провели ряд опытов с премедикацией крысят блокаторами α- и β-АР.
Премедикация адренолитиками
Введение крысятам адреноблокаторов приводит к снижению ЧСС и ЧДД, которое продолжается и после инъекции NiCl2 (табл. 1).
Ранее было показано, что сердце неонатальной крысы экспрессирует полностью функциональные α- и β-АР, позволяющие осуществлять хронотропный ответ при их активации. После достижения функциональной зрелости симпатической системы, хронотропные эффекты α1-агонистов ослабевают в пользу более взрослого β-адренергического контроля ЧСС [14, 22].
Анализ показателей ВСР, проведенный после блокады α-АР фентоламином (табл. 4), показал достоверное увеличение абсолютной мощности всех диапазонов спектра периодограмм. Увеличение мощности VLF-диапазона сохраняется и при последующем введении крысятам NiCl2 (рис. 3b). Баланс регуляторных влияний остается практически неизменным после премедикации (рис. 4b) и затем смещается характерным для действия NiCl2 образом (рис. 4a, b). Динамика развития ПСРБК происходит по типичной для отравления NiCl2 схеме.
Таблица 4. Изменение показателей ВСР у 3-дневных крысят после введения NiCl2 на фоне премедикации фентоламином (n = 8)
Показатели | Препарат, период исследования | ||||
Фон | Фентоламин | NiCl2 | |||
0–10 | 10–20 | 20–30 | |||
VLF (у. е.) | 27.78 ± 4.27 | 35.31 ± 3.25* | 31.90 ± 2.51* | 29.48 ± 3.82* | 32.00 ± 4.95* |
LF (у. е.) | 19.89 ± 3.80 | 29.27 ± 8.36* | 14.48 ± 1.88* | 11.99 ± 2.74* | 16.27 ± 4.51* |
HF (у. е.) | 74.77 ± 15.37 | 98.88 ± 29.52* | 19.13 ± 3.61* | 14.02 ± 3.00* | 25.46 ± 8.26* |
To (у. е.) | 122.44 ± 20.54 | 163.45 ± 39.17* | 65.51 ± 6.54* | 55.49 ± 9.49* | 73.73 ± 14.83* |
VLF, % | 24.7 ± 4.1 | 22.1 ± 5.2 | 50.2 ± 3.0* | 54.6 ± 1.5* | 48.2 ± 4.9* |
LF, % | 16.2 ± 1.2 | 17.5 ± 1.0 | 21.7 ± 0.8* | 20.7 ± 0.8* | 20.9 ± 1.8* |
HF, % | 59.1 ± 5.1 | 54.4 ± 5.1 | 28.1 ± 2.7* | 24.7 ± 0.6* | 30.9 ± 5.1* |
LF/HF, y. e. | 0.311 ± 0.059 | 0.353 ± 0.049 | 0.805 ± 0.054* | 0.842 ± 0.021* | 0.759 ± 0.082* |
IC, y. e. | 0.821 ± 0.210 | 1.019 ± 0.279 | 2.727 ± 0.249* | 3.084 ± 0.099* | 2.024 ± 0.338* |
ЧСС в мин | 306.3 ± 9.7 | 244.1 ± 13.0* | 224.1 ± 12.9* | 173.0 ± 7.7* | 159.4 ± 13.0* |
Рис. 3. Сдвиг показателей ВСР у 3-дневных крысят, представленный в % от исходного (фонового) уровня, принятого за 100%, после инъекции NiCl2 без (a) и после премедикации животных фентоламином (b), атенололом (c) и пропранололом (d, e). Значения показателей абсолютной мощности диапазонов VLF, LF, HF, To даны в нормированном виде (максимумы мощности индивидуальных спектров приняты за 1). Здесь и на рис. 4: *p < 0.05 – достоверность различий между фоном и опытом, представленная на основании данных табл. 2, 4, 5, 7.
Рис. 4. Сдвиг показателей ВСР у 3-дневных крысят после фармакологических воздействий в % от исходного (фонового) уровня, принятого за 100%. Относительная мощность диапазонов VLF, LF, HF представлена в % от общей (То) мощности спектра. Коэффициент LF/HF рассчитан, исходя из усредненных индивидуальных нормированных показателей LF и HF. ЧСС (HR) представлена в уд/мин.
Принимая во внимание, что в клетках синоатриального узла кальциевый ток Т-типа (ICaT) может быть увеличен при β-адренергической стимуляции [23], мы провели серию экспериментов с блокадой β-АР пропранололом.
После предварительной блокады β-АР и последующим введением NiCl2 у части животных возникает ПСРБК, а у части – он отсутствует. Анализ ВСР не выявил качественных различий показателей у крысят 1-й и 2-й подгрупп (табл. 5), за исключением разнонаправленных сдвигов мощности диапазонов VLF и LF, возникающих после премедикации. После инъекции NiCl2 выявились количественные различия в величине сдвигов всех показателей ВСР, которые заключаются в более выраженном усилении нейрогуморальных влияний и более глубоком снижении парасимпатических влияний в подгруппе крысят с нарушениями ритма сердца (рис. 3d, e; 4d, e).
Таблица 5. Изменение показателей ВСР у 3-дневных крысят после введения NiCl2 на фоне премедикации пропранололом (n = 14)
Показатели | Препарат, период исследования | ||||
Фон | Пропранолол | NiCl2 | |||
0–10 | 10–20 | 20–30 | |||
Подгруппа 1 (n = 8) с брадикардическими комплексами | |||||
VLF (у. е.) | 27.56 ± 3.20 | 32.74 ± 4.90* | 34.59 ± 4.33* | 31.47 ± 3.33* | 45.76 ± 5.36* |
LF (у. е.) | 36.10 ± 8.11 | 48.93 ± 13.19* | 29.68 ± 10.81* | 22.43±9.03* | 71.55 ± 14.68* |
HF (у. е.) | 142.22 ± 34.92 | 80.18 ± 13.46* | 31.44 ± 10.23* | 24.28 ± 8.83* | 66.07 ± 12.88* |
To (у. е.) | 205.88 ± 45.43 | 161.85 ± 30.80 | 95.71±24.77* | 78.17 ± 20.72* | 183.37 ± 32.49 |
VLF, % | 16.8 ± 2.6 | 21.6 ± 1.3* | 42.3 ± 3.9* | 46.6 ± 3.5* | 30.7 ± 5.1* |
LF, % | 17.3 ± 1.1 | 27.2 ± 2.8* | 27.3 ± 2.2* | 25.1 ± 2.1* | 35.4 ± 3.3* |
HF, % | 65.9 ± 2.2 | 51.2 ± 2.6* | 30.4 ± 1.8* | 28.3 ± 1.5* | 33.9 ± 1.9* |
LF/HF, y. e. | 0.244 ± 0.023 | 0.560 ± 0.083* | 0.897 ± 0.039* | 0.882 ± 0.028* | 1.029 ± 0.057* |
IC, y. e. | 0.448 ± 0.067 | 0.989 ± 0.101* | 2.376 ± 0.197* | 2.594 ± 0.152* | 2.033 ± 0.204* |
ЧСС в мин | 247.0 ± 22.0 | 155.5 ± 11.6* | 122.0 ± 11.5* | 108.4 ± 9.6* | 104.8 ± 8.2* |
Подгруппа 2 (n = 6) без брадикардических комплексов | |||||
VLF (у. е.) | 27.19 ± 3.05 | 23.88 ± 1.01* | 34.21 ± 3.67* | 30.78 ± 4.04* | 37.42 ± 6.54* |
LF (у. е.) | 28.36 ± 6.54 | 26.37 ± 4.68 | 41.85 ± 6.28* | 53.11 ± 14.20* | 61.01 ± 14.67* |
HF (у. е.) | 96.23 ± 18.12 | 51.20 ± 5.45* | 55.63 ± 10.97* | 63.58 ± 17.98* | 72.69 ± 19.24* |
To (у. е.) | 151.78 ± 23.81 | 101.46 ± 10.26* | 131.69 ± 18.44 | 147.48 ± 35.65 | 186.35 ± 42.78* |
VLF, % | 18.9 ± 1.69 | 24.4 ± 1.9* | 27.1 ± 2.6* | 26.5 ± 5.6* | 24.3 ± 4.0* |
LF, % | 18.4 ± 3.2 | 25.2 ± 1.7* | 31.7 ± 0.5* | 33.7 ± 2.4* | 31.9 ± 1.5* |
HF, % | 62.7 ± 3.3 | 50.4 ± 1.5* | 41.2 ± 2.2* | 39.8 ± 3.4* | 43.8 ± 3.7* |
LF/HF, y. e. | 0.313 ± 0.078 | 0.504 ± 0.042* | 0.777 ± 0.033* | 0.838 ± 0.043* | 0.753 ± 0.067* |
IC, y. e. | 0.621 ± 0.096 | 0.993 ± 0.063* | 1.460 ± 0.127* | 1.319 ± 0.134* | 1.369 ± 0.202* |
ЧСС в мин | 271.8 ± 7.2 | 164.3 ± 4.5* | 132.7 ± 4.5* | 117.8 ± 4.1* | 114.0 ± 3.8* |
Наблюдаемые различия показателей ВСР после введения пропранолола и NiCl2 у крысят 1-й и 2-й подгрупп не могут быть объяснены какими-либо значимыми различиями исходных (фоновых) показателей ВСР или особенностями их индивидуального развития (масса тела 10.0 ± 0.9 и 10.2 ± 0.6 г соответственно). Однако статистический анализ фоновых периодограмм сердечного ритма у крысят выявил ряд различий между подгруппами животных (табл. 6).
Таблица 6. Сравнительный анализ вариабельности RR-интервалов у 3-дневных крысят в фоне и после введения пропранолола
Показатели | Подгруппа 1 (с БК) | Подгруппа 2 (без БК) | ||||
Фон | Пропранолол | Сдвиг, % | Фон | Пропранолол | Сдвиг, % | |
IQR, мс | 0.03 ± 0.005 | 0.057 ± 0.007* | 90 | 0.02 ± 0.003 | 0.033 ± 0.003* | 65 |
CoefVar, у. е. | 0.063 ± 0.008 | 0.075 ± 0.005 | 19 | 0.051 ± 0.008 | 0.056 ± 0.006 | 10 |
КА, у. е. | 0.232 ± 0.023 | 0.275 ± 0.015 | 19 | 0.221 ± 0.032 | 0.218 ± 0.025 | –1 |
Примечание. IQR (Interquartile range) – интерквартильный размах; CoefVar (coefficient of variation) – коэффициент вариации; КА – коэффициент аритмии, рассчитанный по формуле КА = (RRmax–RRmin)/RRmean, где RR – длительность кардиоинтервалов.
Видно, что у интактных крысят 2-й подгруппы диапазон колебаний RR-интервалов меньше и остается более устойчивым после введения пропранолола, чем у животных 1-й подгруппы. Коэффициент аритмии, сопоставимый в фоне у крысят обеих подгрупп, увеличивается у животных 1-й подгруппы после блокады адренорецепторов и практически не меняется у 2-й (табл. 6). Индекс централизации у крысят 1-й подгруппы возрастает после инъекции пропранолола на 178%, тогда как у крысят 2-й подгруппы – только на 70%. Последующее введение никеля сопровождается дальнейшим ростом индекса, который у крысят с патологической аритмией в среднем в 2.2 раза выше, чем у крысят без нарушения сердечного ритма (табл. 5). Можно полагать, что наблюдающаяся дивергенция характера реакции на инъекцию NiCl2 связана с первоначальной неустойчивостью механизмов регуляции сердечного ритма у части крысят, а также резким увеличением нагрузки на симпатоадреналовую систему.
Так как у новорожденных крысят в миокарде имеются функционально активные β1- и β2-АР [14, 23, 24], а неселективный адренолитик пропранолол может блокировать оба типа рецепторов, вызывая в период новорожденности снижение выброса катехоламинов [25], то следующим этапом нашей работы стала премедикация крысят селективным блокатором β1-АР атенололом. Оказалось, что введение атенолола вызывает достоверное увеличение общей мощности спектра и абсолютной мощности диапазонов, характеризующих нервные влияния (табл. 7, рис. 3c), но не снижает уровень нейрогуморальных влияний, практически не влияет на процентное соотношение трех частотных диапазонов спектра периодограмм после инъекции NiCl2 (рис. 4c) и не препятствует развитию ПСРБК.
Таблица 7. Изменение показателей ВСР у 3-дневных крысят после введения NiCl2 на фоне премедикации атенололом (n = 10)
Показатели | Препарат, период исследования | ||||
Фон | Атенолол | NiCl2 | |||
0–10 | 10–20 | 20–30 | |||
VLF (у. е.) | 27.86 ± 2.34 | 31.91 ± 3.05 | 22.88 ± 1.97* | 28.15 ± 3.49 | 32.12 ± 1.85* |
LF (у. е.) | 17.75 ± 2.86 | 22.92 ± 2.49* | 10.20 ± 1.45* | 20.61 ± 8.14* | 42.80 ± 8.75* |
HF (у. е.) | 48.26 ± 9.12 | 52.16 ± 8.02 | 11.49 ± 1.42* | 24.79 ± 10.30* | 47.02 ± 9.00 |
To (у. е.) | 93.86 ± 9.78 | 106.99 ± 11.15* | 44.57 ± 4.78* | 73.55 ± 21.06* | 121.94 ± 17.90* |
VLF, % | 32.9 ± 4.1 | 31.4 ± 2.7 | 52.4 ± 1.2* | 49.5 ± 4.6* | 31.6 ± 4.6 |
LF, % | 18.7 ± 1.8 | 21.7 ± 1.0 | 22.2 ± 0.8* | 22.9 ± 2.3* | 32.5 ± 2.3* |
HF, % | 48.4 ± 4.5 | 46.9 ± 3.5 | 25.4 ± 0.4* | 27.6 ± 2.4* | 35.9 ± 2.5* |
LF/HF, y. e. | 0.431 ± 0.067 | 0.499 ± 0.054 | 0.871 ± 0.024* | 0.826 ± 0.032* | 0.910 ± 0.037* |
IC, y. e. | 1.233 ± 0.202 | 1.242 ± 0.158 | 2.948 ± 0.073* | 2.833 ± 0.265* | 1.925 ± 0.225* |
ЧСС в мин | 317.2 ± 12.5 | 196.7 ± 3.6* | 155.3 ± 10.3* | 109.7 ± 8.8* | 119.3 ± 7.5* |
Учитывая установленную в наших экспериментах неэффективность премедикации крыс антагонистом β1-АР атенололом, можно полагать, что предотвращение развития патологической дизритмии при предварительном введении пропранолола связано с блокадой β2-АР. Данное предположение согласуется со сделанным ранее выводом о том, что у новорожденных крыс повышенное участие β2-АР в хронотропном ответе может компенсировать незрелую иннервацию сердца и сниженную эффективность β1-адренорецепторной сигнализации, повышая реактивность на эндогенные и экзогенные β2-агонисты [26].
Активация β2-адренорецепторов кленбутеролом
Мы установили, что блокада β1-АР не препятствует возникновению патологической аритмии, вызванной NiCl2. Для решения вопроса, может ли активация β2-АР провоцировать развитие ПСРБК, была проведена серия экспериментов с введением крысятам селективного β2-адреномиметика кленбутерола. В литературе нам не удалось найти информацию об использовании кленбутерола в экспериментах, выполненных на новорожденных крысятах в условиях in vivo. Острая токсичность кленбутерола для взрослых крыс при внутрибрюшинном введении составляет 70 мг/кг [27].
Для определения эффективной дозы адреномиметика мы провели предварительное исследование с введением препарата в дозах 1, 10, 20, 60, 90 и 120 мг/кг. Введение кленбутерола в дозе 1–20 мг/кг не вызывает у крысят достоверных изменений ЧСС, а в более высоких дозах приводит к развитию брадикардии (табл. 1, 8). В качестве рабочей была выбрана доза 90 мг/кг, при которой у крысят наблюдалось достоверное снижение ЧСС и в ряде случаев незначительное усиление брадикардических колебаний. Нарушения ритма дыхания, наблюдаемого при отравлении ингибиторами АХЭ или NiCl2, не возникало.
В первые 10 мин после инъекции у 4 из 18 крысят наблюдалось появление низкоамплитудных БК, которые совпадали с возникновением вспышек моторной активности. Следует отметить, что у этих крысят и в фоне отмечалась тенденция к замедлению сердечного ритма в момент двигательной активности (рис. 5).
Рис. 5. Синхронизация брадикардических комплексов сердечного ритма (a) у 3-дневного крысенка со вспышками моторной активности (b) в фоне и после инъекции кленбутерола в дозе 90 мг/кг (c, d). По оси абсцисс – время в секундах, по оси ординат на (a), (с) – длительность RR-интервалов (секунды); на b, d – мощность ЭМГ (В2•с).
Активация β2-АР вызывает снижение абсолютной мощности всех компонентов спектра периодограмм, но менее выраженное, чем после инъекции NiCl2 или изопротеренола. Уменьшение нейрогуморальных влияний начинается в первые же минуты после инъекции кленбутерола и на 10–30 мин становится сопоставимым с наблюдаемым после введения изопротеренола (рис. 2е). Изменение баланса регуляторных влияний (рис. 2f) качественно не отличается от представленных на рис. 2b, d, но имеет гораздо меньшую амплитуду. Индекс централизации увеличивается максимум на 62% (табл. 8), что говорит о довольно умеренном уровне активации симпатоадреналовой системы.
Таблица 8. Изменение показателей ВСР у 3-дневных крысят после введения кленбутерола в дозе 90 мг/кг (n = 18)
Показатели | Фон | Кленбутерол, период исследования | ||
0–10 | 10–20 | 20–30 | ||
VLF (у. е.) | 34.59 ± 3.66 | 27.29 ± 3.90* | 17.19 ± 2.11* | 22.41 ± 4.09* |
LF (у. е.) | 19.42 ± 3.74 | 14.96 ± 3.69* | 10.14 ± 2.35* | 13.88 ± 3.18* |
HF (у. е.) | 57.62 ± 6.92 | 28.29 ± 9.10* | 21.79 ± 5.13* | 23.95 ± 9.43* |
To (у. е.) | 111.67 ± 13.36 | 70.54 ± 16.49* | 49.13 ± 8.76* | 60.24 ± 16.31* |
VLF, % | 32.4 ± 2.6 | 40.1 ± 2.8* | 35.7 ± 1.5 | 37.0 ± 1.9 |
LF, % | 18.6 ± 0.9 | 22.2 ± 2.6 | 19.6 ± 1.8 | 23.2 ± 3.2 |
HF, % | 50.0 ± 3.7 | 37.7 ± 2.6* | 44.7 ± 2.9 | 39.8 ± 3.4* |
LF/HF, y. e. | 0.357 ± 0.026 | 0.555 ± 0.044* | 0.466 ± 0.039* | 0.568 ± 0.025* |
IC, y. e. | 0.937 ± 0.173 | 1.628 ± 0.204* | 1.335 ± 0.267* | 1.579 ± 0.177* |
ЧСС в мин | 339.3 ± 5.0 | 219.8 ± 11.8* | 177.4 ± 13.9* | 165.5 ± 17.9* |
ОБСУЖДЕНИЕ РЕЗУЛЬТАТОВ
Известно, что адреналин имеет высокое сродство к β2-АР, а наличие сильного β2-адренергического каскада у новорожденного животного предназначено для ответа на циркулирующие, а не на нейронные катехоламины. При β1- или β2-адренергической стимуляции в миоцитах возникают качественно сопоставимые реакции, в то время как во взрослом сердце β1- и β2-сигнальные трансдукционные каскады уже не идентичны. Причиной такого расхождения может быть начало функционирования ингибирующего пути, активируемого β2-адренергическими агонистами [14]. Инотропная и хронотропная чувствительность сердца плода и новорожденной крысы к адреналину и ISO снижается по мере того, как созревает симпатическая иннервация сердца. Возрастные различия в β-АР-опосредованном ответе могут быть обусловлены возрастным повышением эффективности связи рецептора с сигнальным путем цАМФ [28]. В нашем исследовании мы наблюдали дозо-зависимое изменение хронотропной реакции сердца на введение симпатомиметиков, что может быть связано как с взаимодействием β2-АР с ингибиторным Gi-белком, так и вовлечением холинореактивных структур. В электрофизиологическом исследовании, выполненном на 765 пациентах 15–85-летнего возраста, во время инфузии ISO у 7% людей было установлено возникновение парадоксальной брадикардии. Синусовая или узловая брадикардия ассоциировалась с гиперваготонией и преимущественно отмечалась у молодых (до 40 лет) пациентов. Вызванная инфузией ISO брадикардия была воспроизводимой у всех пациентов: после восстановления синусового ритма и артериального давления возобновление инфузии ISO приводило к повторной брадикардии. Наиболее вероятным объяснением является нервно-опосредованный вагусный рефлекс с гиперваготонией, вторичной по отношению к β-стимуляции [29].
Следует отметить, что снижение ЧСС и ЧДД, наблюдаемое нами в проведенном исследовании, может приводить к развитию у крысят гипоксического состояния, что, в свою очередь, будет способствовать увеличению выброса катехоламинов. Ранее в экспериментах, выполненных на тонких срезах надпочечников, было показано, что в первые 5 суток жизни крысят в ответ на острую гипоксию неонатальные хромаффинные клетки экспрессируют T-VDCC (подтип Cav3.2), которые необходимы для высвобождения катехоламинов, а селективная блокада этих каналов Ni2+ устраняет реакцию клеток на гипоксию. Последующее возрастное подавление экспрессии каналов Cav3.2 и снижение уровня ICaT уменьшает возбудимость хромаффинных клеток и их реакцию на раздражители [30].
Существуют значительные возрастные различия не только в электрофизиологическом ответе сердца на β-адренергические агонисты, но и в степени модуляции различных ионных токов. Агонисты β2-АР модулируют гомеостаз кальция и сократительную способность желудочковых миоцитов. Показано, что в неонатальных клетках наблюдается тесная корреляция между активацией β2-АР, способствующей внутриклеточному накоплению цАМФ, и увеличением амплитуды ICaT [23, 24, 31]. Эффекты, наблюдающиеся у взрослых крыс после острого воздействия NiCl2, вызваны комбинированным действием катехоламинов, высвобождаемых надпочечниками, и катехоламинов, высвобождаемых из эфферентных нервов [13]. Показано, что активация β-АР изопротеренолом увеличивает экспрессию T-VDCC в хромаффинных клетках взрослых крыс и способствует увеличению выброса катехоламинов [25], а введение Ni2+ в культуру хромаффинных клеток взрослой крысы регулирует их секреторную активность через цАМФ-рекрутированные кальциевые каналы Cav3.2 [11]. В свою очередь, уровень цАМФ, а значит и уровень секреции будет оставаться повышенным в течение длительного времени благодаря положительной обратной связи, возникающей в результате высвобождения катехоламинов и активации β1-АР, экспрессируемых в хромаффинных клетках [15].
Важным отличием последствий избирательной активации β2-АР кленбутиролом от неселективной, вызванной ISO, является достоверное снижение абсолютной мощности нейрогуморальных влияний, начинающееся с первых минут после инъекции (рис. 2). Это хорошо согласуется с результатами работы Cesetti с соавт., которые показали, что изолированные хромаффинные клетки взрослых крыс отвечают на активацию β-АР адреномиметиком ISO либо повышением, либо понижением амплитуды токов Ca2+ через два различных пути модуляции: (1) PKA-опосредованный путь, связанный с β1-АР, и (2) – связанный с β2-АР и Gi/Go-белками. β1-АР опосредуют медленное усиление ICaT в хромаффинных клетках крысы, а β2-АР вызывают его быстрое ингибирование в мозговом веществе надпочечников. Два кинетически и фармакологически различных пути β-адренергической сигнализации могут служить для аутокринного контроля Ca2+-зависимого экзоцитоза и других связанных с ним функций хромаффинных клеток крысы [15].
Спланхническая иннервация надпочечников крысы нефункциональна до конца первой недели постнатального периода. Реакция мозгового слоя надпочечников включает ненейрогенную секрецию катехоламинов, в которой ключевыми действующими лицами являются щелевые контакты и T-VDCC. Постнатальное развитие нейрогенного контроля снижает вклад щелевых соединений и T-VDCC и передает преобладающий контроль секреции катехоламинов никотиновым холинорецепторам, которые вызывают деполяризацию мембраны хромаффинных клеток и открытие высокопороговых кальциевых каналов (L, N, P/Q, R) [32, 33]. В мозговом веществе надпочечников ацетилхолин, высвобождаемый симпатическими нервами, активирует никотиновые холинорецепторы на мембране хромаффинных клеток, которые высвобождают катехоламины в кровоток [34]. Известно, что клетки надпочечников могут активироваться катехоламинами через гормональную, паракринную и/или аутокринную систему. В экспериментах на культуре ткани установлено, что ISO и агонист β2-АР сальбутамол стимулируют высвобождение адреналина и норадреналина из хромаффинных клеток надпочечников человека. Блокада β2- и β3-АР ингибирует высвобождение катехоламинов, стимулированное ISO и никотином. Антагонист β1-АР атенолол не изменяет ни изопротеренол-, ни никотин-индуцированное высвобождение катехоламинов из хромаффинных клеток. Авторы исследования сделали вывод, что активация β2- и β3-АР модулирует базальное и вызванное высвобождение катехоламинов через аутокринную петлю положительной обратной связи в хромаффинных клетках надпочечников человека, в то время как блокада этих рецепторов не изменяет базальный выброс катехоламинов [32]. Активация β3-АР у взрослых крыс не вызывает изменений уровня адреналина в плазме крови [35]. Нельзя исключить, что в раннем онтогенезе блокада β-АР пропранололом или блокада Н-холинорецепторов бензогексонием [8] способствует снижению выброса адреналина из хромаффинных клеток крысят и тем самым предотвращает развитие ПСРБК.
Быстрый рост индекса централизации и отсутствие снижения мощности VLF-диапазона спектра периодограмм сердечного ритма, которые мы наблюдали после введения NiCl2, позволяют сделать допущение, что в условиях нашего эксперимента быстрой и эффективной блокады T-VDCC в хромаффинных клетках крысят не наблюдается. Можно полагать, что эффекты Ni2+ связаны с его действием на кальциевые каналы кардиомиоцитов. Следует отметить, что ионы никеля могут блокировать не только кальциевые каналы Т-типа, но и натрий-кальциевый обменник. Однако, как мы уже указывали ранее [8], для блокады NCX концентрация никеля должна быть более чем в 10 раз выше, чем для блокады T-VDCC. Использованная нами доза NiCl2 109 мг/кг соответствует максимальному расчетному значению концентрации NiCl2 в цельной крови 5.1 мМ (~2.3 мМ в пересчете на плазму крови), что достаточно для ингибирования Cav3.2, но недостаточно для блокады NCX.
Снижение ЧСС и ЧДД, наблюдаемое нами в проведенном исследовании, может приводить к развитию у крысят гипоксического состояния, что, в свою очередь, будет способствовать увеличению выброса катехоламинов. Ранее в экспериментах, выполненных на тонких срезах надпочечников, было показано, что в первые 5 суток жизни крысят в ответ на острую гипоксию неонатальные хромаффинные клетки экспрессируют T-VDCC (подтип Cav3.2), которые необходимы для высвобождения катехоламинов, а селективная блокада этих каналов Ni2+ устраняет реакцию клеток на гипоксию. Последующее возрастное подавление экспрессии каналов Cav3.2 и снижение уровня ICaT уменьшает возбудимость хромаффинных клеток и их реакцию на раздражители [21, 36].
К сожалению, подавляющее большинство работ, посвященных механизмам функционального созревания рецепторного аппарата, выполнено в условиях ex vivo или in vitro, что затрудняет их использование для интерпретации данных, полученных на целом животном. Кроме того, не всегда можно сопоставлять данные, полученные на разных видах животных. Так, например, диаметрально противоположным образом происходит возрастное изменение плотности β-АР в миокарде: у крыс и собак она снижается, а у кроликов и овец – увеличивается. Несмотря на межвидовые различия, эволюционные изменения чувствительности сердца к агонистам β-АР могут существовать у всех млекопитающих в зависимости от степени созревания системы, участвующей в β-адренергической сигнализации. Существующие данные обращают внимание на возможные вредные последствия клинического применения агонистов β-АР на ранних этапах развития сердца. Нельзя исключить и отдаленные последствия ранних нарушений в работе сердечной мышцы [28].
ЗАКЛЮЧЕНИЕ
В ходе проведения настоящего и предшествующих исследований [3, 8] установлено, что у крысят первых двух недель постнатального онтогенеза при блокаде кальциевых каналов Т-типа, повышении уровня холинергических или адренергических регуляторных влияний могут возникать значительные нарушения ритмогенеза, приводящие к возникновению патологического сердечного ритма. Активация холинореактивных структур сопровождается падением общей мощности спектра и абсолютных значений мощности диапазонов LF и HF. Значительное падение уровня нервных влияний приводит к тому, что доминирующую роль в регуляции сердечного ритма начинают играть нейрогуморальные факторы. Если после премедикации Н- или М-холинолитиками мощность спектра VLF-диапазона снижается, то развития ПСРБК у крысят не происходит. Если же мощность спектра VLF-диапазона увеличивается, то в дальнейшем происходит снижение доли нервных влияний и у крысят возникает ПСРБК. В сложной совокупности изменений баланса регулирующих влияний важная роль принадлежит β-АР. Активация β1-АР может способствовать усилению выброса катехоламинов хромаффинными клетками надпочечников и возрастанию роли нейрогуморального звена регуляции сердечного ритма, а блокада β2-АР, наоборот, снижает выброс катехоламинов и препятствует развитию патологической аритмии. Вторым необходимым фактором, приводящим к развитию аритмии, является блокада кальциевых каналов Т-типа. Предварительная блокада никотиновых холинорецепторов или β2-АР может предотвратить возникновение ПСРБК.
ВКЛАДЫ АВТОРОВ
С. В. К. осуществлял планирование, сбор и обработку данных, написание статьи. Н. Н. К. осуществляла подготовку и проведение экспериментов, а также обработку данных.
ФИНАНСИРОВАНИЕ РАБОТЫ
Данная работа финансировалась за счет средств бюджета государственного задания № 075–00264–24–00 Института эволюционной физиологии и биохимии им. И.М. Сеченова РАН. Никаких дополнительных грантов на проведение или руководство данным конкретным исследованием получено не было.
СОБЛЮДЕНИЕ ЭТИЧЕСКИХ СТАНДАРТОВ
Эксперименты с животными проводились в соответствии с международными рекомендациями по проведению биомедицинских исследований с лабораторными животными и были одобрены Комиссией по биоэтике Института эволюционной физиологии и биохимии им. И.М. Сеченова Российской академии наук, протокол № 3–2/2022 от 24.03.2022 г.
КОНФЛИКТ ИНТЕРЕСОВ
Авторы данной работы заявляют, что у них нет конфликта интересов.
About the authors
S. V. Kuznetsov
Sechenov Institute of Evolutionary Physiology and Biochemistry Russian Academy of Sciences
Author for correspondence.
Email: ksv@iephb.ru
Russian Federation, Saint Petersburg
N. N. Kuznetsova
Sechenov Institute of Evolutionary Physiology and Biochemistry Russian Academy of Sciences
Email: ksv@iephb.ru
Russian Federation, Saint Petersburg
References
- Kuznetsov SV, Goncharov NV, Glashkina LM (2005) Change of parameters of functioning of the cardiovascular and respiratory systems in rats of different ages under effects of low doses of the cholinesterase inhibitor phosphacol. J Evol Biochem Physiol 41(2): 201–210. https://doi.org/10.1007/s10893-005-0055x
- Sizonov VА, Dmitrieva LE (2018) Heart Rhythm Disturbances Caused by Injection of Cholinesterase Inhibitor Physostigmine to Rats during the Early Ontogeny. Bull Exp Biol Med 165(1): 44–47. https://doi.org/10.1007/s10517-018-4095-9
- Kuznetsov SV, Kuznetsova NN (2022) Effects of Ni2+ on Heart and Respiratory Rhythms in Newborn Rats. J Evol Biochem Physiol 58(5): 1367–1380. https://doi.org/10.1134/S0022093022050088
- Massie BM (1997) Mibefradil: A Selective T-Type Calcium Antagonist. Am J Cardiol 80 (9A): 23I-32I. https://doi.org/10.1016/s0002-9149(97)00791-1
- Ferron L, Capuano V, Ruchon Y, Deroubaix E, Coulombe A, Renaud JF (2003) Angiotensin II signaling pathways mediate expression of cardiac T-type calcium channels. Circ Res 93: 1241–1248. https://doi.org/10.1161/01.RES.0000106134.69300.B7
- Schaffer SW, Jong CJ (2015) Regulation of Cardiac Hypertrophy by T-Type Ca2+ Channel. In: T-type Calcium Channels in Basic and Clinical Science. Springer-Verlag Wien. 73–84. https://doi.org/10.1007/978-3-7091-1413-1
- Mangoni ME, Nargeot J (2008) Genesis and regulation of the heart automaticity. Physiol Rev 88(3): 919–982. https://doi.org/10.1152/physrev.00018.2007
- Кузнецов СВ, Кузнецова НН (2023) Сравнительный анализ нарушений механизмов регуляции сердечного ритма, вызванных у новорожденных крыс хлоридом никеля и ингибитором ацетилхолинэстеразы эзерином. Рос физиол журн им ИМ Сеченова 109(8): 1024–1039. [Kuznetsov SV, Kuznetsova NN (2023) Comparative Analysis of Disorders of Heart Rhythm Regulation Mechanisms Induced in Newborn Rats by Nickel Chloride and the Acetylcholinesterase Inhibitor Physostigmine (Eserine). Russ Physiol J 109(8): 1024–1039. (In Russ)].
- De Diego AM, Gandía L, García AG (2008) A physiological view of the central and peripheral mechanisms that regulate the release of catecholamines at the adrenal medulla. Acta Physiol (Oxf) 192(2): 287–301. https://doi.org/10.1111/j.1748-1716.2007.01807.x
- Criado M (2018) Acetylcholine nicotinic receptor subtypes in chromaffin cells. Pflugers Arch – Eur J Physiol 470: 13–20. https://doi.org/10.1007/s00424-017-2050-7
- Giancippoli A, Novara M, de Luca A, Baldelli P, Marcantoni A, Carbone E, Carabelli V (2006) Low-threshold exocytosis induced by cAMP-recruited CaV3.2 (alpha1H) channels in rat chromaffin cells. Biophys J 90(5): 1830–1841. https://doi.org/10.1529/biophysj.105.071647
- Ecker PM, Lin CC, Powers J, Kobilka BK, Dubin AM, Bernstein D (2006) Effect of targeted deletions of beta1- and beta2-adrenergic-receptor subtypes on heart rate variability. Am J Physiol Heart Circ Physiol 290(1): H192–H199. https://doi.org/10.1152/ajpheart.00032.2005
- Alvarez C, Bladé C, Cartañà J (1993) α2-adrenergic blockade prevents hyperglycemia and hepatic glutathione depletion in nickel-injected rats. Toxicol Appl Pharmacol 121(1): 112–117. https://doi.org/10.1006/taap.1993.1135
- Robinson RB (1996) Autonomic receptor – effector coupling during post-natal development. Cardiovasc Res 31(Issue supp1): E68–E76. https://doi.org/10.1016/S0008-6363(95)00151-4
- Cesetti T, Hernández-Guijo JM, Baldelli P, Carabelli V, Carbone E (2003) Opposite action of beta1- and beta2-adrenergic receptors on Ca(V)1 L-channel current in rat adrenal chromaffin cells. J Neurosci 23(1): 73–83. https://doi.org/10.1523/JNEUROSCI.23-01-00073.2003
- Baevsky RM, Chernikova AG (2017) Heart rate variability analysis: physiological foundations and main methods. Cardiometry 10: 66–76. https://doi.org/10.12710/CARDIOMETRY.2017.10.6676
- Altimiras J (1999) Understanding autonomic sympathovagal balance from short-term heart rate variations. Are we analyzing noise? Comp Biochem Physiol. A Mol Integr Physiol 124(4): 447–460. https://doi.org/10.1016/s1095-6433(99)00137-3
- Diveky T, Prasko J, Kamaradova D, Grambal A, Latalova K, Silhan P, Obereigneru R, Salinger J, Opavsky J, Tonhajzerova I (2013) Сomparison of heart rate variability in patients with panic disorder during cognitive behavioral therapy program. Psychiatria Danubina 25(1): 62–67.
- Kuznetsov SV, Kuznetsova NN (2016) Application of Cortexin for Correcting the Consequences of Hypoxic-Ischemic Damage in the Brain of Infant Rats. J Evol Biochem Physiol 52(3): 217–227. https://doi.org/10.1134/S0022093016030042
- Goldenthal EI (1971) A compilation of LD50 values in newborn and adult animals. Toxicol Appl Pharmacol 18(1): 185–207. https://doi.org/10.1016/0041-008x(71)90328-0
- Collins JM, McDevitt DG, Shanks RG, Swanton JG (1969) The cardio-toxicity of isoprenaline during hypoxia. Br J Pharmacol 36(1): 35–45. https://doi.org/10.1111/j.1476-5381.1969.tb08301.x
- Natarajan AR, Rong Q, Katchman AN, Ebert SN (2004) Intrinsic cardiac catecholamines help maintain beating activity in neonatal rat cardiomyocyte cultures. Pediatr Res 56(3): 411–417. https://doi.org/10.1203/01.PDR.0000136279.80897.4C
- Li Y, Zhang X, Zhang C, Zhang X, Li Y, Qi Z, Szeto C, Tang M, Peng Y, Molkentin JD, Houser SR, Xie M, Chen X (2018) Increasing T-type calcium channel activity by β-adrenergic stimulation contributes to β-adrenergic regulation of heart rates. J Physiol 596(7): 1137–1151. https://doi.org/10.1113/JP274756
- Kuznetsov V, Pak E, Robinson RB, Steinberg SF (1995) Beta2-adrenergic receptor actions in neonatal and adult rat ventricular myocytes. Circ Res 76(1): 40–52. https://doi.org/10.1161/01.res.76.1.40
- Novara M, Baldelli P, Cavallari D, Carabelli V, Giancippoli A, Carbone E (2004) Exposure to cAMP and β-adrenergic stimulation recruits CaV3 T-type channels in rat chromaffin cells through Epac cAMP-receptor proteins. J Physiol 558(Pt 2): 433–449. https://doi.org/10.1113/jphysiol.2004.061184
- Oliveira ES, Pereira AH, Cardoso AC, Franchini KG, Bassani JWM, Bassani RA (2015) Atrial chronotropic reactivity to catecholamines in neonatal rats: Contribution of β-adrenoceptor subtypes. Eur J Pharmacol 64: 385–394. https://doi.org/10.1016/j.ejphar.2015.07.031
- Woodward KN Clenbuterol (WHO Food Additives Series 38). Adrenoceptor agonists. Clenbuterol. https://www.inchem.org/documents/jecfa/jecmono/v38je02.htm
- Ostadal B, Parizek A, Ostadalova I, Kolar F (2018) Cardiotoxicity of β-mimetic catecholamines during ontogenetic development – possible risks of antenatal therapy. Can J Physiol Pharmacol 96(7): 639–646. https://doi.org/10.1139/cjpp-2017–0774
- Brembilla-Perrot B, Muhanna I, Nippert M, Popovic B, Beurrier D, Houriez P, Terrier de la Chaise A, Claudon O, Louis P, Abdelaal A, State S, Andronache M, Suty-Selton C (2005) Paradoxical effect of isoprenaline infusion. Europace 7(6): 621–627. https://doi.org/10.1016/j.eupc.2005.06.012
- Levitsky KL, López-Barneo J (2009) Developmental change of T-type Ca2+ channel expression and its role in rat chromaffin cell responsiveness to acute hypoxia. J Physiol 587(Pt 9): 1917–1929. https://doi.org/10.1113/jphysiol.2009.168989
- Tanaka H, Shigenobu K (1990) Role of beta-adrenoceptor-adenylate cyclase system in the developmental decrease in sensitivity to isoprenaline in foetal and neonatal rat heart. Br J Pharmacol 100(1): 138–142. https://doi.org/10.1111/j.1476-5381.1990.tb12065.x
- Cortez V, Santana M, Marques AP, Mota A, Rosmaninho-Salgado J, Cavadas C (2012) Regulation of catecholamine release in human adrenal chromaffin cells by β-adrenoceptors. Neurochem Int 60(4): 387–393. https://doi.org/10.1016/j.neuint.2011.12.018
- Guérineau NC, Desarménien MG, Carabelli V, Carbone E (2012) Functional chromaffin cell plasticity in response to stress: focus on nicotinic, gap junction, and voltage-gated Ca2+ channels. J Mol Neurosci 48(2): 368–386. https://doi.org/10.1007/s12031-012-9707-7
- Nagayama T, Matsumoto T, Kuwakubo F, Fukushima Y, Yoshida M, Suzuki-Kusaba M, Hisa H, Kimura T, Satoh S (1999) Role of calcium channels in catecholamine secretion in the rat adrenal gland. J Physiol 520(2): 503–512. https://doi.org/10.1111/j.1469-7793.1999.00503.x
- Berg T (2014) β3-adrenoceptors inhibit stimulated norepinephrine release in spontaneously hypertensive rats. Front Physiol 5: 499. https://doi.org/10.3389/fphys.2014.00499
- Carbone E, Borges R, Eiden LE, García AG, Hernández-Cruz A (2019) Chromaffin Cells of the Adrenal Medulla: Physiology, Pharmacology and Disease. Compr Physiol 9(4): 1443–1502. https://doi.org/10.1002/cphy.c190003
Supplementary files







