An investigation of the spontaneous tonic activity of the rat soleus muscle following hindlimb suspension, with a focus on the effects of CLP290, a novel activator of the spinal cord potassium-chloride co-transporter
- 作者: Kalashnikov V.E.1, Sergeeva K.V.1, Turtikova O.V.1, Tyganov S.A.1, Mirzoev T.M.1, Shenkman B.S.1
-
隶属关系:
- Institute of Biomedical Problems, Russian Academy of Sciences
- 期: 卷 110, 编号 9 (2024)
- 页面: 1337-1348
- 栏目: EXPERIMENTAL ARTICLES
- URL: https://journals.rcsi.science/0869-8139/article/view/272670
- DOI: https://doi.org/10.31857/S0869813924080048
- EDN: https://elibrary.ru/BDCUCD
- ID: 272670
如何引用文章
全文:
详细
The electromyographic activity of the soleus muscle is a reliable indicator of its functional status. Unloading of support causes an immediate cessation of electrical activity in the soleus muscle, which resumes upon restoration of the support load. Prolonged support unloading, however, results in the emergence of spontaneous electrical activity in the soleus muscle. Previous research has established a correlation between this activity and the presence of the potassium-chloride cotransporter (KCC2) on the membranes of spinal cord motor neurons. Additionally, it has been demonstrated that the introduction of the KCC2 activator prochlorperazine can eliminate spontaneous muscle activity. This study aimed to investigate the impact of CLP290, an alternative KCC2 activator, on the spontaneous tonic activity of the rat soleus muscle. The results indicated that daily administration of CLP290 to rats during a 14-day period of hindlimb suspension prevented the reduction in KCC2 levels in the motor neurons of the lumbar spinal cord and the increase in spontaneous tonic activity in the soleus muscle. Notably, there were no significant differences in the cross-sectional area of slow-type fibers between the antiorthostatic suspension groups with and without CLP290 administration.
全文:
ВВЕДЕНИЕ
В ряде работ было показано [1, 2], что в случае, когда разгрузка носит длительный (более 3 суток) характер, электрическая активность в m. soleus появляется и в отсутствие опоры. Амплитуда этой активности после третьих суток разгрузки постепенно нарастает к 14-м суткам, достигая значений, характерных для контрольных животных. Это явление получило название спонтанной тонической активности. При этом вопрос о природе такой активности и лежащих в ее основе физиологических механизмах до некоторых пор оставался открытым.
Вместе с тем в последнее десятилетие в связи с изучением механизмов развития спастичности после спинальной травмы или инсульта активно исследуются механизмы изменения возбудимости мотонейронов в этих патологических состояниях. Показано, что снижение содержания в мотонейронах спинного мозга калий-хлоридного котранспортера (potassium chloride cotransporter 2, KCC2) приводит к сдвигу мембранного потенциала покоя в положительную сторону (с –75 до –65 мВ), что, в свою очередь, заменяет тормозные эффекты глицина и ГАМК возбуждающими и вызывает повышение мышечной активности, а впоследствии приводит к мышечной спастичности [3, 4].
Ранее нами было обнаружено, что нарастание спонтанной тонической активности в камбаловидной мышце крысы на фоне 7-суточной функциональной разгрузки задних конечностей также сопровождается снижением содержания KCC2 в поясничном отделе спинного мозга [5]. Как и при спинальной травме, такое снижение должно приводить к сдвигу мембранного потенциала мотонейронов, повышать возбудимость мотонейронов и соответственно порождать спонтанную электрическую активность мышцы. Мы показали, что введение активатора KCC2 прохлорперазина предотвращает как снижение содержания KCC2 в спинном мозге, так и нарастание интегральной электромиографической активности (ЭМГ-активность) камбаловидной мышцы, что позволило нам сделать выводы о ключевой роли KCC2 в механизме генерации спонтанной тонической активности.
Несмотря на полученные результаты, в отношении некоторых параметров введение прохлорперазина показало неоднозначные эффекты, поднимающие вопрос о возможном неспецифическом системном воздействии прохлорперазина непосредственно на камбаловидную мышцу, в обход КСС2-зависимого механизма [6]. Для выяснения того, в какой мере эффекты введения прохлорперазина обусловлены его влиянием на содержание КСС2 в мотонейронах спинного мозга, а не иными причинами, было решено использовать внутрибрюшинное введение другого активатора KCC2, CLP290. Названный препарат является высокоселективным активатором KCC2 [7], в отличие от менее селективного прохлорперазина. Сравнение действия CLP290 и прохлорперазина позволит выявить эффекты, связанные непосредственно с активацией KCC2 (эти эффекты будут общими в группах с введением CLP290 и прохлорперазина, поскольку оба препарата активируют KCC2); эффекты, уникальные для той или иной группы с введением препарата будут вызваны побочными действиями препаратов.
МЕТОДЫ ИССЛЕДОВАНИЯ
Дизайн эксперимента. В двух экспериментальных сериях самцы крыс Вистар в возрасте 1.5–2 месяцев и массой тела 180–200 г были распределены на следующие группы по 14 животных в каждой: C – группа контроля с ежедневным введением физиологического раствора; СL – группа контроля с ежедневным введением CLP290; HS – группа антиортостатического вывешивания с ежедневным введением физиологического раствора; HSL – группа вывешивания с ежедневным введением CLP290. CLP290 (Macklin, Китай) вводили внутрибрюшинно один раз в день в дозировке 100 мг/кг в 15%-ном растворе циклодекстрина. Раствор фильтровали через бактериальный фильтр с размером пор 0.22 мкм.
В первой экспериментальной серии после эвтаназии животных камбаловидные мышцы и поясничный отдел спинного мозга извлекались и замораживались в жидком азоте для проведения биохимического анализа. Во второй экспериментальной серии производилось вживление электродов в камбаловидную мышцу с последующей записью электромиограммы. Температуру и влажность в помещении вивария поддерживали на уровне 24 °C и 50% соответственно при 12/12-часовом цикле свет/темнота. Все крысы имели доступ к стандартной диете и воде. Эвтаназия животных проводилась посредством внутрибрюшинного введения 10%-ного раствора авертина (10 мл/кг).
Имплантация электродов в камбаловидную мышцу. Электромиограмму m. soleus крысы записывали с использованием внутримышечных электродов. В качестве электродов использовались многожильные провода из нержавеющей стали с тефлоновым покрытием (A-M Systems, США). С проводов снималась изоляция на участке в 2 мм, после чего их имплантировали в камбаловидную мышцу правой задней конечности крысы и подкожно вели от мышцы к розетке, расположенной на спине крысы. В широких полях розетки имеются отверстия для пришивания ее к коже спины крысы. Операцию по вживлению электродов в m. soleus крыс проводили под общим наркозом с соблюдением правил асептики и антисептики. Использовали Zoletil-100 в дозе 28 мг/кг внутримышечно и ксилазина гидрохлорид (XylaVET 20 мг/мл) в дозе 0.28 мл/кг массы внутримышечно. Шерстный покров в местах доступа к мышцам удаляли ветеринарным триммером Codos. Для доступа к m. soleus делали разрез около 1.5 см на боковой поверхности голени. Для установки розетки делали разрез около 1.5 см над поясничным отделом позвоночника. Кровотечение из сосудов кожи спины останавливали электрокоагулятором. Провода фиксировали с помощью узлов из этилона (Ethilon 4–0, игла 19 мм, 3/8, обратно-режущая игла, W1619T, Ethicon, США) выше и ниже места выхода из мышцы. Розетка с пришитым к ней овалом из тонкого силикона устанавливалась в рану на пояснице и пришивалась к коже этилоном. Мышцы и фасции на ноге ушивались викрилом (Vicril 5–0, игла 11 мм, 3/8, обратно-режущая игла, W9501T, Ethicon, США), а кожа – этилоном. После операции крысе подкожно вводили около 5 мл физраствора и бициллин-3 однократно в дозе 120 тыс. ед/кг. Далее животное восстанавливалось в течение 7 дней до проведения электрофизиологических исследований.
Обработка ЭМГ. Усиление электромиографического сигнала осуществлялось с помощью усилителя AM-Systems 1700 DIFFERENTIAL AC AMPLIFIER с частотой дискретизации в 5 кГц. Сырой сигнал фильтровался с помощью low cut-off (100 Гц) и high cut-off (5000 Гц) фильтров. В течение 1 суток проводилась запись контрольных значений ЭМГ, после чего животные вывешивались. Запись ЭМГ проводилась ежедневно по 45 мин. Обработка полученного сигнала проводилась с помощью АЦП модуля L–CARD E14–440D и программного обеспечения LGRAPH2 и Powergraph 3.3. Для оценки спектральной характеристики полученного сигнала использовалось быстрое преобразование Фурье (FFT), после чего применялись дополнительные цифровые bandpass фильтры. После этого строилась RMS-огибающая модуля значений полученного сигнала и высчитывался интеграл этой огибающей.
Анализ содержания белков в нервной ткани поясничного отдела спинного мозга. Замороженные образцы поясничного отдела спинного мозга крыс гомогенизировали в буфере RIPA (cat #sc-24948; Santa Cruz Biotechnology, Даллас, Техас, США), после чего центрифугировали в течение 15 мин при 12000 об/мин при температуре 4 °C. Супернатант отделяли и измеряли концентрацию белка методом Брэдфорда. Электрофорез проводили в 10%-ном полиакриламидном геле с использованием мини-системы Bio-Rad (Bio-Rad, Hercules, Калифорния, США) в течение 1 ч при токе 17 мА на гель. Перенос белков на нитроцеллюлозную мембрану (Bio-Rad, Hercules, Калифорния, США) осуществляли в мини-системе транс-блоттинга (Bio-Rad, Hercules, Калифорния, США) в течение 2 ч при температуре 4 °C и постоянном напряжении 100 В. Затем проводили инкубацию мембраны (15 ч, 4 °C) с первичными антителами против KCC2 (1:1000, кат. № 07–432; Merck, Берлингтон, Массачусетс, США), NKCC (1:1000, регистрационный номер ab_528406; DSHB, Айова-Сити, IA, США) и тубулина (cat #ab176560; Abcam, Бостон, Массачусетс, США). После этого мембраны промывали в PBST (3 раза по 5 мин) и инкубировали со вторичными антителами к иммуноглобулинам кролика (1:30 000, #111–035–003; Jackson ImmunoResearch, Уэст-Гроув, Пенсильвания, США). Белковые бэнды на мембране визуализировались с использованием Clarity Western ECL (№ 1705061; Bio-Rad, Hercules, Калифорния, США). Белковые полосы определяли количественно с помощью блот-сканера C-DiGit (LI–COR Biotechnology, Линкольн, Северная Каролина, США) и программного обеспечения Image Studio Digits. Содержание КСС2 и NKCC1 нормировалось на референсный белок, в качестве которого использовался тубулин.
Морфометрический анализ. Анализ размеров мышечных волокон проводили на срезах, окрашенных с помощью моноклональных антител против быстрых и медленных изоформ тяжелых цепей миозина. C помощью криомикротома фирмы Leica изготавливали поперечные срезы замороженной мышцы толщиной 9 мкм. Срезы высушивали на воздухе и хранили при –20 °C. Перед окрашиванием срезы оттаивали и регидратировали при комнатной температуре в фосфатно-буферном растворе (PBS) в течение 20 мин, а затем инкубировали с антителами против тяжелых цепей миозина быстрого или медленного типов (MHCI и MHCII, Sigma, США) 1: 400 в PBS во влажной камере при 37 °С в течение часа (или при 4 °С на ночь). Затем антитела отмывали в PBS 3 раза по 5 мин. Инкубацию со вторичными антителами, конъюгированными с AlexaFluor, 1:500 в PBS проводили в течение 40 мин при комнатной температуре. После отмывки вторичных антител срезы заключали в среду (Fluoromount Aqueous Mounting Medium, Sigma Aldrich, США), стабилизирующую флуоресцентную метку. Срезы анализировали с использованием флуоресцентного микроскопа Leica Q500MC с встроенной цифровой фотокамерой (TCM 300F, Leica, Германия), с увеличением х200. Анализ изображений проводился с помощью программы ImageJ. Измеряли площадь поперечного сечения (ППС) по крайней мере 100 волокон, подсчитывали число волокон медленного и быстрого типов и их количественное соотношение.
Статистический анализ. Для сравнения групп друг с другом был использован непараметрический критерий Крускала – Уоллиса. Для статистического анализа использовался программный пакет SigmaPlot 12.5. Данные представлены в виде среднего значения ± стандартной ошибки среднего значения (выраженной в процентах от среднего значения контрольной группы). Значение p < 0.05 считалось статистически значимым.
РЕЗУЛЬТАТЫ ИССЛЕДОВАНИЯ
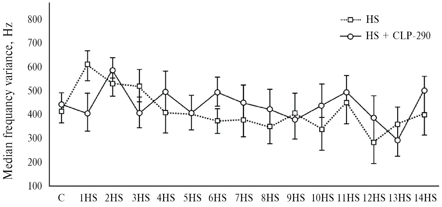
Влияние CLP290 на динамику электрической активности камбаловидной мышцы при антиортостатическом вывешивании. Интегральная ЭМГ-активность камбаловидной мышцы в первые сутки антиортостатического вывешивания снизилась до 20% от контрольных значений. Начиная с третьих суток вывешивания, наблюдалось статистически значимое отличие в уровне интегральной ЭМГ-активности между группами с введением и без введения CLP290. В группе «чистого» вывешивания интегральная ЭМГ-активность нарастала, к 12-м суткам достигая 90% от уровня контроля. В группе с внутрибрюшинным введением CLP290 уровень интегральной ЭМГ-активности за все время антиортостатического вывешивания не превысил 30% от уровня контроля (рис. 1, 2). Анализ ЭМГ-сигнала камбаловидной мышцы также показал, что средние значения величины медианной частоты (рис. 3) существенно не отличались между группами с введением и без введения CLP290 в течение всего периода антиортостатического вывешивания.
Рис. 1. Динамика интегральной ЭМГ-активности камбаловидной мышцы на фоне 14-суточного антиортостатического вывешивания с введением и без введения CLP290. * статистически значимое между группами с введением и без введения препарата (p < 0.05).
Рис. 2. Типичные паттерны ЭМГ-активности камбаловидной мышцы перед антиортостатическим вывешиванием (С) и во время 14-дневного вывешивания (1–14HS) у крыс без введения и с введением CLP290.
Рис. 3. Медианная частота ЭМГ-активности камбаловидной мышцы на фоне 14-суточного антиортостатического вывешивания с введением и без введения CLP290.
Воздействие CLP290 на содержание KCC2 в мотонейронах спинного мозга. Содержание хлоридного котранспортера KCC2 в поясничном отделе спинного мозга экспериментальных животных статистически значимо снизилось после 7-суточного вывешивания в сравнении с группой контроля, при этом в группе вывешивания с введением CLP290 отличий от группы контроля не было (рис. 4).
Рис. 4. Содержание KCC2 в спинном мозге экспериментальных животных. C – контроль; CL – контроль + введение CLP290 в течение 7 суток; HS – вывешивание в течение 7 суток; HSL – вывешивание в течение 7 суток с ежедневным введением CLP290. Данные представлены как среднее ± σ. * – отличие от контроля (p < 0.05).
Воздействие CLP290 на массу мышц и размеры мышечных волокон. После проведения эксперимента с антиортостатическим 7-суточным вывешиванием крыс на фоне введения препарата CLP290 масса тела животных не имела статистически значимых отличий между экспериментальными группами (табл. 1). Масса m. soleus снижалась в группах с моделируемой гравитационной разгрузкой «HS» и «HSL» по сравнению с контрольными группами «C» и «CL» при отсутствии межгрупповых отличий у вывешенных животных. Параметр «масса мышцы / масса тела» традиционно применяется как достаточно простой критерий оценки развития атрофических процессов в мышце. Через 7 суток вывешивания этот параметр был значимо снижен в группах «HS» и «HSL» по сравнению с контролем «С» и группой «CL» (табл. 1).
Таблица 1. Абсолютная масса m. soleus и масса m. soleus, нормированная на массу тела
C | CL | HS | HSL | |
Масса тела крыс, г | 225.43 ± 7.61 | 211.25 ± 7.69 | 212.25 ± 4.86 | 210.88 ± 6.75 |
Масса m. soleus, мг | 104.29 ± 3.57 | 103.13 ± 5.31 | 66.13 ± 2.05* | 72.13 ± 3.94* |
Масса m. soleus/масса тела крысы, мг/г | 0.46 ± 0.02 | 0.49 ± 0.02 | 0.31 ± 0.01* | 0.34 ± 0.02* |
ППС «быстрых» и «медленных» мышечных волокон была статистически значимо снижена в группе чистого вывешивания «НS» в сравнении с группами «С» и «СL». В группе «HSL» ППС волокон обоих типов была также статистически значимо снижена в сравнении с группами «С» и «CL» (рис. 5). Между группами HS и HSL статистически значимых отличий по этим параметрам не было обнаружено.
Рис. 5. Площадь поперечного сечения медленных (a) и быстрых (b) мышечных волокон в m. soleus крысы. C – контроль; CL ‒ вывешивание + введение CLP290 7 дней; HS ‒ вывешивание 7 дней; HSL – вывешивание + введение CLP290 7 дней. * – отличие от контроля (p < 0.05).
ОБСУЖДЕНИЕ РЕЗУЛЬТАТОВ
Известно, что ЭМГ-активность камбаловидной мышцы в большей степени, чем любой другой мышцы голени, коррелирует с опорной нагрузкой задней конечности [8]. При функциональной разгрузке конечности ЭМГ-активность m. soleus моментально угасает до нуля, возобновляясь сразу же после того, как конечность обретает опору [1, 2, 5, 9, 10]. Эта особенность камбаловидной мышцы объясняется спецификой выполняемой ею работы: одной из основных функций m. soleus является поддержание стабильности угла голеностопного сустава при статической позе животного и осуществление его тыльного разгибания при локомоции. Часто эта мышца полностью принимает на себя опорную нагрузку задней конечности, что предполагает ее длительную, почти непрерывную активность [11]. Фактически m. soleus активна не менее 11 ч в сутки, прерываясь только во время сна и покоя животного [11]. Учитывая вышесказанное, вполне ожидаемо было бы наблюдать полное отсутствие ЭМГ-активности камбаловидной мышцы при устранении опоры. Однако, как показали в 1987 г. Alford с соавт., ЭМГ-активность камбаловидной мышцы крысы отсутствует только в первые двое – трое суток антиортостатического вывешивания. Начиная с третьих суток вывешивания, ЭМГ-активность появляется и в отсутствие опоры [1]. При этом интегральная ЭМГ-активность нарастает, достигая значений, характерных для нагруженной мышцы к 14-м суткам вывешивания [1]. В дальнейшем этот эффект, получивший название спонтанной тонической активности, в том или ином виде воспроизводился в работах различных авторов [2, 5, 9, 10].
В настоящем исследовании мы наблюдали аналогичный рост ЭМГ-активности камбаловидной мышцы на протяжении 14 суток антиортостатического вывешивания. К пятым суткам вывешивания электрическая активность мышцы возросла до 50% от контрольных значений; к двенадцатым суткам достигнув 90%. Важным, однако, является вопрос о физиологической природе спонтанной тонической активности и лежащих в ее основе молекулярных механизмах. Схожесть сигнальных процессов, обуславливающих перестройку тонической мускулатуры при различных моделях функциональной разгрузки конечности, позволила нам обратить внимание на известный феномен возникновения непроизвольных мышечных сокращений, приводящих к спастичности при спинальных травмах.
Как показали в 2010 г. на модели спинальной травматизации животных Boulenguez с соавт., причиной возникновения этой спастичности является снижение содержания в мотонейронах спинного мозга калий-хлоридного котранспортера КСС2 и его антагониста NKCC1 [3]. Важной функцией КСС2, активно экспрессирующегося в зрелых мотонейронах, является установление необходимого для постсинаптического ингибирования градиента хлорид-ионов посредством трансмембранного ионного транспорта [12]. Молекулы KCC2 и NKCC1 транспортируют хлорид-ионы в противоположных направлениях: KCC2 – из клетки, а NKCC1 – в клетку. Таким образом, баланс хлорид-ионов на мембране нейрона находится в зависимости от относительных уровней экспрессии этих ионных котранспортеров. В неповрежденных зрелых мотонейронах экспрессия KCC2 выше экспрессии NKCC1, что приводит к повышению концентрации ионов Cl– с наружной стороны мембраны нейрона. Связывание ГАМК с рецепторами на поверхности мембраны открывает мембранные ионные каналы, в результате чего происходит приток ионов Cl– в нейрон в соответствии с градиентом концентрации. Это вызывает гиперполяризацию мембраны, что и обуславливает тормозные эффекты ГАМК.
В поврежденных нейронах уровень экспрессии NKCC1 растет, а уровень экспрессии KCC2 снижается. Более высокий уровень NKCC1 и более низкий уровень KCC2 приводят к накоплению ионов Cl– с внутренней стороны мембраны. Открытие ионных каналов, вызванное связыванием ГАМК, таким образом, приводит к оттоку ионов Cl– из цитоплазмы (в соответствии с градиентом концентрации ионов Cl–) и деполяризации мембраны. В этом случае воздействие тормозных медиаторов на нейрон приводит не к торможению, а, напротив, к возникновению потенциала действия в мотонейронах и последующему развитию мышечной спастичности. Такое снижение содержания KCC2 было обнаружено не только при повреждении спинного мозга выше поясничной области [3], но и после аксотомии периферических нервов [13], то есть было связано с нарушением двигательной иннервации скелетных мышц.
Мы предположили, что аналогичный механизм лежит в основе феномена спонтанной тонической активности. Ранее нами было показано [5], что содержание КСС2 в мотонейронах поясничного отдела спинного мозга на фоне развивающейся тонической активности камбаловидной мышцы снижается и что внутрибрюшинное введение активатора КСС2 прохлорперазина приводит к устранению спонтанной тонической активности [3, 4, 14]. Полученные нами данные [5] полностью подтверждают вывод Akhter с соавт., что экспрессия KCC2 определяется нервно-мышечной активностью [13].
В настоящем исследовании мы применили новый активатор KCC2 – CLP290, что позволило подтвердить связь спонтанной электрической активности камбаловидной мышцы при разгрузке со снижением экспрессии KCC2 в спинном мозге и исключить возможные артефакты. Мы обнаружили, что внутрибрюшинное введение альтернативного активатора КСС2 – CLP290 на фоне антиортостатического вывешивания, так же как и введение прохлорперазина, предотвращает снижение содержания KCC2 в поясничном отделе спинного мозга. В группе «чистого» 7-суточного вывешивания содержание КСС2 в мотонейронах снизилось на 70% относительно контроля; при этом в группе, в которой вывешивание сочеталось с введением CLP290, содержание КСС2 за тот же период снижалось до уровня 80% от контрольных значений (статистически незначимо). Спонтанная электрическая активность камбаловидной мышцы при этом подавлялась введением CLP290, активирующего экспрессию KCC2. В группе «чистого» антиортостатического вывешивания интегральная ЭМГ-активность камбаловидной мышцы в течение 14 суток возрастала до 90% от контрольной ЭМГ-активности, записанной до вывешивания; в группе с введением CLP290 интегральная ЭМГ-активность за весь период вывешивания не превышала 30% от контроля, статистически значимо отличаясь от «чистого» вывешивания, начиная с третьих суток, что соответствует аналогичному действию прохлорперазина [5]. Из этого следует, что ранее обнаруженное нами при действии прохлорперазина подавление спонтанной электрической активности мышцы обусловлено повышением содержания КСС2 в мотонейронах спинного мозга и не связано с прямым действием прохлорперазина на рецепторы камбаловидной мышцы.
Исходя из того, что наши данные были получены в модели разгрузки, характеризующейся глубоким снижением или полным устранением нервно-мышечной активности камбаловидной мышцы крысы на начальном этапе [1, 3, 9, 10], мы предполагаем, что экспрессия KCC2 поддерживается на определенном уровне до тех пор, пока мотонейроны получают сигналы из иннервируемой мышцы о нормальной активности. Ранее нами было показано, что внутрибрюшинное введение прохлорперазина статистически значимо предотвращало снижение ППС волокон «медленного» типа на фоне 7-суточного вывешивания. В настоящем эксперименте не обнаружено статистически значимых отличий ППС волокон медленного типа в группах антиортостатического вывешивания с введением и без введения CLP290. Из этого следует, что антиатрофический эффект внутрибрюшинного введения прохлорперазина, по-видимому, не имеет прямого отношения к активации KCC2.
В настоящем исследовании был получен ряд новых данных о физиологических эффектах хронического введения CLP290, в частности, о влиянии препарата на спонтанную тоническую активность и морфологические параметры камбаловидной мышцы на фоне антиортостатического вывешивания. Полученные данные дополнили и уточнили представления о воздействии на камбаловидную мышцу сигнальных механизмов, ассоциированных с балансом содержания ионных котранспортеров KCC2/NKCC1 на мембранах мотонейронов. Сравнительный анализ новых и ранее полученных данных позволил выявить изменения, связанные непосредственно с активацией KCC2, исключив эффекты, вызванные неспецифическим действием ранее использовавшегося препарата. Главным образом было показано, что устранение спонтанной тонической активности при введении прохлорперазина обусловлено именно изменением в KCC2-зависимом сигналинге и не связано с неспецифическим действием препарата; напротив, антиатрофическое действие прохлорперазина, по-видимому, вызвано прямым действием препарата на мышцу.
Результаты настоящего исследования, таким образом, подтверждают наши представления о влиянии КСС2 на спонтанную тоническую активность m. soleus при гравитационной разгрузке и позволяют высказать предположение о возможной зависимости экспрессии KCC2 в мотонейронах поясничного отдела спинного мозга от функциональной активности камбаловидной мышцы.
БЛАГОДАРНОСТЬ
Авторы выражают глубокую благодарность Маргарите Владимировне Глазовой, заведующей лабораторией Института эволюционной физиологии и биохимии им. И. М. Сеченова РАН за бесценную методическую помощь при подготовке и проведении экспериментов.
ВКЛАДЫ АВТОРОВ
Идея работы и планирование эксперимента – Б. С. Ш., Т. М. М., В. Е. К.; сбор данных – В. Е. К., C. A. T., О. В. Т., К. В. С.; обработка данных – В. Е. К., C. A. T., О. В. Т., К. В. С., написание и редактирование манускрипта – В. Е. К., C. A. T., Т. М. М., Б. С. Ш.
ФИНАНСИРОВАНИЕ РАБОТЫ
Данная работа финансировалась за счет средств Российского научного фонда, грант № 22–15–00151. Никаких дополнительных грантов на проведение или руководство данным конкретным исследованием получено не было.
СОБЛЮДЕНИЕ ЭТИЧЕСКИХ СТАНДАРТОВ
Эксперименты с животными проводились в соответствии с международными рекомендациями по проведению биомедицинских исследований с лабораторными животными и были одобрены Комиссией по этике Института медико-биологических проблем РАН, протокол № 638 от 18.04.2023 г.
КОНФЛИКТ ИНТЕРЕСОВ
Авторы данной работы заявляют, что у них нет конфликта интересов.
作者简介
V. Kalashnikov
Institute of Biomedical Problems, Russian Academy of Sciences
编辑信件的主要联系方式.
Email: vitaliy.kalasxnikov@yandex.ru
俄罗斯联邦, Moscow
K. Sergeeva
Institute of Biomedical Problems, Russian Academy of Sciences
Email: vitaliy.kalasxnikov@yandex.ru
俄罗斯联邦, Moscow
O. Turtikova
Institute of Biomedical Problems, Russian Academy of Sciences
Email: vitaliy.kalasxnikov@yandex.ru
俄罗斯联邦, Moscow
S. Tyganov
Institute of Biomedical Problems, Russian Academy of Sciences
Email: vitaliy.kalasxnikov@yandex.ru
俄罗斯联邦, Moscow
T. Mirzoev
Institute of Biomedical Problems, Russian Academy of Sciences
Email: vitaliy.kalasxnikov@yandex.ru
俄罗斯联邦, Moscow
B. Shenkman
Institute of Biomedical Problems, Russian Academy of Sciences
Email: vitaliy.kalasxnikov@yandex.ru
俄罗斯联邦, Moscow
参考
- Alford EK, Roy RR, Hodgson JA, Edgerton VR (1987) Electromyography of rat soleus, medial gastrocnemius, and tibialis anterior during hind limb suspension. Exp Neurol 96(3): 635–649. https://doi.org/10.1016/0014-4886(87)90225-1
- De-Doncker L, Kasri M, Picquet F, Falempin M (2005) Physiologically adaptive changes of the L5 afferent neurogram and of the rat soleus EMG activity during 14 days of hindlimb unloading and recovery. J Exp Biol 208(Pt 24): 4585–4592. https://doi.org/10.1242/jeb.01931
- Boulenguez P, Liabeuf S, Bos R, Bras H, Jean-Xavier C, Brocard C, Stil A, Darbon P, Cattaert D, Delpire E, Marsala M, Vinay L (2010) Down-regulation of the potassium-chloride cotransporter KCC2 contributes to spasticity after spinal cord injury. Nat Med 16(3): 302–307. https://doi.org/10.1038/nm.2107
- Edgerton VR, Roy RR (2010) Spasticity: a switch from inhibition to excitation. Nat Med 16(3): 270–271. https://doi.org/10.1038/nm0310-270
- Kalashnikov VE, Tyganov SA, Turtikova OV, Kalashnikova EP, Glazova MV, Mirzoev TM, Shenkman BS (2021) Prochlorperazine Withdraws the Delayed Onset Tonic Activity of Unloaded Rat Soleus Muscle: A Pilot Study. Life 11(11): 1161. https://doi.org/10.3390/life11111161
- Сергеева КВ, Шарло КА, Калашников ВЕ, Туртикова ОВ, Тыганов СА, Шенкман БC (2023) Влияние спонтанной нервно-мышечной активности на развитие атрофии камбаловидной мышцы в условиях функциональной разгрузки. Рос физиол журн им ИМ Сеченова 109(10): 1430–1442. [Sergeeva KV, Sharlo KA, Kalashnikov VE, Turtikova OV, Tyganov SA, Shenkman BS (2023) The effect of spontaneous neuromuscular activity on the development of atrophy of the soleus muscle in conditions of functional unloading. Russ J Phisiol 109(10): 1430–1442. (In Russ)]. https://doi.org/10.31857/S0869813923100102
- Gagnon M, Bergeron MJ, Lavertu G, Castonguay A, Tripathy S, Bonin RP, Perez-Sanchez J, Boudreau D, Wang B, Dumas L, Valade I, Bachand K, Jacob-Wagner M, Tardif C, Kianicka I, Isenring P, Attardo G, Coull JA, De Koninck Y (2013) Chloride extrusion enhancers as novel therapeutics for neurological diseases. Nat Med 19(11): 1524–1528. https://doi.org/10.1038/nm.3356
- Григорьев АИ, Козловская ИБ, Шенкман БС (2004) Роль опорной афферентации в организации тонической мышечной системы. Рос физиол журн им ИМ Сеченова 90(5): 508–521. [Grigoriev AI, Kozlovskaya IB, Shenkman BS (2004) The role of supporting afferentation in the organization of the tonic muscular system. Russ J Phisiol 90(5): 508–521. (In Russ)].
- Kawano F, Ishihara A, Stevens JL, Wang XD, Ohshima S, Horisaka M, Maeda Y, Nonaka I, Ohira Y (2004) Tension- and afferent input-associated responses of neuromuscular system of rats to hindlimb unloading and/or tenotomy. Am J Physiol Regul Integr Comp Physiol 287(1): R76–R86. https://doi.org/10.1152/ajpregu.00694.2003
- Kawano F, Nomura T, Ishihara A, Nonaka I, Ohira Y (2002) Afferent input-associated reduction of muscle activity in microgravity environment. Neuroscience 114(4): 1133–1138. https://doi.org/10.1016/s0306-4522(02)00304-4
- Шенкман БС, Мирзоев ТМ, Козловская ИБ (2020) Тоническая активность и гравитационный контроль постуральной мышцы. Авиакосм и экол мед 54(6): 58–72. [Shenkman BS, Mirzoev TM, Kozlovskaya IB (2020) Tonic activity and gravitational control of the postural muscle. Aerospace and enviroment med54(6): 58–72. (In Russ). https://doi.org/10.21687/0233-528X-2020-54-6-58-72
- Blaesse P, Airaksinen MS, Rivera C, Kaila K (2009) Cation-chloride cotransporters and neuronal function. Neuron 61(6): 820–838. https://doi.org/10.1016/j.neuron.2009.03.003
- Akhter ET, Griffith RW, English AW, Alvarez FJ (2019) Removal of the Potassium Chloride Co-Transporter from the Somatodendritic Membrane of Axotomized Motoneurons Is Independent of BDNF/TrkB Signaling But Is Controlled by Neuromuscular Innervation. eNeuro 6(5): 1–23. https://doi.org/10.1523/ENEURO.0172-19.2019
- Lu Y, Zheng J, Xiong L, Zimmermann M, Yang J (2008) Spinal cord injury-induced attenuation of GABAergic inhibition in spinal dorsal horn circuits is associated with down-regulation of the chloride transporter KCC2 in rat. J Physiol 586(23): 5701–5715. https://doi.org/10.1113/jphysiol.2008.152348
补充文件







