Studying the Involvement of Ghrelin in the Mechanism of Gambling Addiction in Rats after Exposure to Psychogenic Stressors in Early Ontogenesis
- Authors: Lebedev A.A.1, Purveev S.S.1,2, Sexte E.A.1, Reichardt B.A.1, Bychkov E.R.1, Shabanov P.D.1
-
Affiliations:
- Institute of Experimental Medicine
- St. Petersburg State Pediatric Medical University
- Issue: Vol 109, No 8 (2023)
- Pages: 1080-1093
- Section: EXPERIMENTAL ARTICLES
- URL: https://journals.rcsi.science/0869-8139/article/view/137980
- DOI: https://doi.org/10.31857/S086981392308006X
- EDN: https://elibrary.ru/FCMBCJ
- ID: 137980
Cite item
Full Text
Abstract
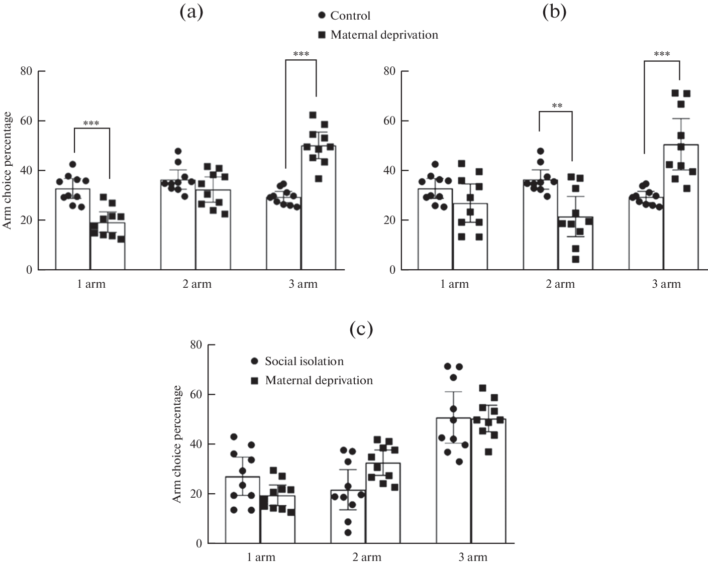
We investigated the role of ghrelin and its receptors in the manifestation of gambling a-ddiction elements in rats exposed to early psychogenic stress. Rearing in conditions of social isolation or maternal deprivation in early ontogeny increased risk behavior and impulsivity in the Iowa Gambling Task test: animals sought more food reinforcement, but with a low probability. Maternal deprivation or rearing in social isolation increased expression of Ghsr in the amygdala and hypothalamus respectively. The level of expression of the gene under study in the prefrontal cortex did not change. It is concluded that early psychogenic stress causes an imbalance in the brain ghrelin regulatory system, which manifests itself in increased of Ghsr level as well as elements of gambling addiction. The scheme of the effect of chronic stress on the hypothalamic ghrelin system and on the extrahypothalamic regulation of ghrelin is presented.
About the authors
A. A. Lebedev
Institute of Experimental Medicine
Author for correspondence.
Email: aalebedev-iem@rambler.ru
Russia, Saint Petersburg
S. S. Purveev
Institute of Experimental Medicine; St. Petersburg State Pediatric Medical University
Email: aalebedev-iem@rambler.ru
Russia, Saint Petersburg; Russia, Saint Petersburg
E. A. Sexte
Institute of Experimental Medicine
Email: aalebedev-iem@rambler.ru
Russia, Saint Petersburg
B. A. Reichardt
Institute of Experimental Medicine
Email: aalebedev-iem@rambler.ru
Russia, Saint Petersburg
E. R. Bychkov
Institute of Experimental Medicine
Email: aalebedev-iem@rambler.ru
Russia, Saint Petersburg
P. D. Shabanov
Institute of Experimental Medicine
Email: aalebedev-iem@rambler.ru
Russia, Saint Petersburg
References
- Fenoglio KA, Brunson KL, Baram TZ (2006) Hippocampal neuroplasticity induced by early-life stress: functional and molecular aspects. Front Neuroendocrinol 27(2): 180–192. https://doi.org/10.1016/j.yfrne.2006.02.001
- Catani C, Jacob N, Schauer E, Kohila M, Neuner F (2008) Family violence, war, and natural disasters: a study of the effect of extreme stress on children’s mental health in Sri Lanka. BMC Psychiatry 8(33). https://doi.org/10.1186/1471-244X-8-33
- Lang AJ, Aarons GA, Gearity J, Laffaye C, Satz L, Dresselhaus TR, Stein MB (2008) Direct and indirect links between childhood maltreatment, posttraumatic stress disorder, and women’s health. Behav Med 33(4): 125–135. https://doi.org/10.3200/BMED.33.4.125-136
- Tata D (2012) Maternal separation as a model of early stress: Effects on aspects of emotional behavior and neuroendocrine function. Hellenic J Psychol 9: 84–101.
- Naqavi MR, Mohammadi M, Salari V, Nakhaee N (2011) The relationship between childhood maltreatment and opiate dependency in adolescence and middle age. Addict Health 3(3–4): 92–98.
- Nishi M, Horii-Hayashi N, Sasagawa T, Matsunaga W (2013) Effects of early life stress on brain activity: implications from maternal separation model in rodents. Gen Comp Endocrinol 181: 306–309.
- Moffett MC, Vicentic A, Kozel M, Plotsky P, Francis DD, Kuhar MJ (2007) Maternal separation alters drug intake patterns in adulthood in rats. Biochem Pharmacol 73(3): 321–330.
- Krupina NA, ShISenova SD, Khlebnikova NN (2020) Prolonged social isolation, started early in life, impairs cognitive abilities in rats depending on sex. Brain Sci 10(11): 1–29.
- Kojima M, Hosoda H, Date Y, Nakazato M, Matsuo H, Kangawa K (1999) Ghrelin is a growth-hormone-releasing acylated peptide from stomach. Nature 402(6762): 656–660. https://doi.org/10.1038/45230
- Chen CY, Asakawa A, Fujimiya M, Lee SD, Inui A (2009) Ghrelin gene products and the regulation of food intake and gut motility. Pharmacol Rev 61(4): 430–481. https://doi.org/10.1124/pr.109.001958
- Gnanapavan S, Kola B, Bustin SA, Morris DG, McGee P, Fairclough P, Bhattacharya S, Carpenter R, Grossman AB, Korbonits M (2002) The tissue distribution of the mRNA of ghrelin and subtypes of its receptor, GHS-R, in humans. J Clin Endocrinol Metabol 87(6): 2988. https://doi.org/10.1210/jcem.87.6.8739
- Perello M, Sakata I, Birnbaum S, Chuang JC, Osborne-Lawrence S, Rovinsky SA, Woloszyn J, Yanagisawa M, Lutter M, Zigman JM (2010) Ghrelin increases the rewarding value of high-fat diet in an orexin-dependent manner. Biol Psychiatr 67(9): 880–886. https://doi.org/10.1016/j.biopsych.2009.10.030
- Carroll ME, France CP, Meisch RA (1979) Food deprivation increases oral and intravenous drug intake in rats. Science (New York) 205(4403): 319–321. https://doi.org/10.1126/science.36665
- Kharbanda KK, Farokhnia M, Deschaine SL, Bhargava R, Rodriguez-Flores M, Casey C A, Goldstone AP, Jerlhag E, Leggio L, Rasineni K (2022) Role of the ghrelin system in alcohol use disorder and alcohol-associated liver disease: A narrative review. Alcoholism, Clin and Exp Res 46(12): 2149–2159. https://doi.org/10.1111/acer.14967
- Jerlhag E, Egecioglu E, Dickson SL, Engel JA (2011) Glutamatergic regulation of ghrelin-induced activation of the mesolimbic dopamine system. Addiction Biol 16(1): 82–91. https://doi.org/10.1111/j.1369-1600.2010.00231.x
- Ducharme R, Anisman H, Abizaid A (2010) Altered metabolic and neurochemical responses tochronic unpredictable stressors in ghrelin receptor-deficient mice. Eur J Neurosci 32(4): 632–639. https://doi.org/10.1111/j.1460-9568.2010.07310
- Шабанов ПД, Якушина НД, Лебедев АА (2020) Фармакология пептидных механизмов игрового поведения у крыс. Вопр наркол 4(187): 24–44. [Shabanov PD, Yakushina ND, Lebedev AA (2020) Pharmacology of peptide mechanisms of gambling behavior in rats. Vopr Narkol 4(187): 24–44. (In Russ)].
- Geisel O, Panneck P, Hellweg R, Wiedemann K, Muller CA (2015) Hypothalamic-pituitary-adrenal axis activity in patients with pathological gambling and internet use disorder. Psychiatry Res 226: 97–102. https://doi.org/10.1016/j.psychres.2014.11.078
- Lebedev AA, Karpova IV, Bychkov ER, Yakushina ND, Thyssen IY, Gramota KE, Efimov NS, Shabanov PD (2022) The ghrelin antagonist [D-LYS3]-GHRP-6 decreases signs of risk behavior in a model of gambling addiction in rats by altering dopamine and serotonin metabolism. Neurosci Behav Physiol 52(3): 415–421. https://doi.org/10.1007/s11055-022-01255-x
- Сексте ЭА, Лебедев АА, Бычков ЕР, Айрапетов МИ, Грамота КЕ, Тиссен ИЮ, Шабанов ПД (2021) Повышение уровня мРНК рецептора орексина первого типа (OX1R) в структурах головного мозга у крыс, склонных к импульсивности в поведении. Биомед химия 67(5): 411–417. [Sekste EA, Lebedev AA, Bychkov ER, Airapetov MI, Gramota KE, Tissen IY, Shabanov PD (2021) Increase in the level of orexin receptor 1 (OX1R) mRNA in the brain structures of rats prone to impulsivity in behavior. Biomed Chem 67(5): 411–417. (In Russ)].
- Лебедев АА, Хохлов ПП, Якушина НД, Грамота КЕ, Тиссен ИЮ, Бычков ЕР, Айрапетов МИ, Шабанов ПД (2019) Фармакологический и биохимический анализ участия пептидной системы грелина в поведенческих проявлениях игровой зависимости у крыс. Экспер клин фармакол 82(6): 16–20. [Lebedev AA, Khokhlov PP, Yakushina ND, Gramota KE, Tissen IYu, Bychkov ER, Airapetov MI, Shabanov PD (2021) Pharmacological and biochemical analysis of participation of the ghrelin peptide system in behavioral manifestations of gambling in rats. Eksper klin farmakol 82(6): 16–20. (In Russ)].
- Балакина МЕ, Дегтярева ЕВ, Некрасов МС, Брус ТВ, Пюрвеев СС (2021) Воздействие раннего постнатального стресса на психоэмоциональное состояние и развитие склонности к чрезмерному употреблению высокоуглеводной пищи у крыс. Рос биомед исследов 6(2): 27–37. [Balakina ME, Degtyareva EV, Nekrasov MS, Brus TV, Purveev SS (2021) Effect of early postnatal stress upon psychoemotional state and development of excessive consumption of high-carbohydrate food in rats. Russ Biomed Res 6(2): 27–37. (In Russ)].
- Wang S, Wang J, Lv X (2018) Selection of reference genes for expression analysis in mouse models of acute alcoholic liver injury. Int J Mol Med 41(6): 3527–3536. https://doi.org/10.3892/ijmm.2018.3527
- Yang B, Cai G, Xiong C, Huang J (2021) Relative Deprivation and Game Addiction in Left-Behind Children: A Moderated Mediation. Front Psychol 12: 639051. https://doi.org/10.3389/fpsyg.2021.639051
- Sekste EA, Lebedev AA, Bychkov ER, Airapetov MI, Gramota KE, Thyssen IY, Shabanov PD (2021) Increase in the level of orexin receptor 1 (OX1R) mRNA in the brain structures of rats prone to impulsivity in behavior. Biomed Chem 67(5): 411–417. https://doi.org/10.18097/PBMC20216705411
- Alvarez-Crespo M, Skibicka KP, Farkas I, Molnár CS, Egecioglu E, Hrabovszky E, Liposits Z, Dickson SL (2012) The amygdala as a neurobiological target for ghrelin in rats: neuroanatomical, electrophysiological and behavioral evidence. PloS One 7(10): e46321. https://doi.org/10.1371/journal.pone.0046321
- Ветлугин ЭА, Бычков ЕР, Абросимов МЕ, Москалев АР, Пшеничная АГ, Пюрвеев СС, Лебедев ВА, Лебедев АА, Шабанов ПД (2022) Анксиолитическое и антидепрессивное действие SNAP 94847, антагониста рецептора 1-го типа меланин-концентрирующего гормона. Педиатрия 13(1): 25–34 [Vetlugin EA, Bychkov ER, Abrosimov ME, Moskalyev AR, Pshenichnaya AG, Pyurveev SS, Lebedev VA, Lebedev AA, Shabanov PD (2022) Anxiolytic and antidepressant effects of melanin-concentrating hormone 1 receptor antagonist SNAP 94847. Pediatriya 82(6): 16–20. (In Russ)].
- Andrews ZB (2011) The extra-hypothalamic actions of ghrelin on neuronal function. Trends Neurosci 34(1): 31–40. https://doi.org/10.1016/j.tins.2010.10.001
- Airapetov MI, Eresko SO, Lebedev AA, Bychkov ER, Shabanov PD (2021) Expression of the growth hormone secretagogue receptor 1a (GHS-R1a) in the brain. Physiol Rep 9(21): e15113. https://doi.org/10.14814/phy2.15113
- Leggio L, Zywiak WH, Fricchione SR, Edwards SM, de la Monte SM, Swift RM, Kenna GA (2014) Intravenous ghrelin administration increases alcohol craving in alcohol-dependent heavy drinkers: a preliminary investigation. Biol Psychiatry 76(9): 734–741. https://doi.org/10.1016/j.biopsych.2014.03.019
- Hemmann K, Raekallio M, Kanerva K, Hänninen L, Pastell M, Palviainen M, Vainio O (2012) Circadian variation in ghrelin and certain stress hormones in crib-biting horses. Veterin J 193(1): 97–102. https://doi.org/10.1016/j.tvjl.2011.09.027
- Lutter M, Sakata I, Osborne-Lawrence S, Rovinsky SA, Anderson JG, Jung S, Birnbaum S, Yanagisawa M, Elmquist JK, Nestler EJ, Zigman JM (2008) The orexigenic hormone ghrelin defends against depressive symptoms of chronic stress. Nature Neurosci 11(7): 752–753. https://doi.org/10.1038/nn.2139
- Cabral A, Suescun O, Zigman JM, Perello M (2012) Ghrelin indirectly activates hypophysiotropic CRF neurons in rodents. PloS One 7(2): e31462. https://doi.org/10.1371/journal.pone.0031462
- Cabral A, Portiansky E, Sánchez-Jaramillo E, Zigman JM, Perello M (2016) Ghrelin activates hypophysiotropic corticotropin-releasing factor neurons independently of the arcuate nucleus. Psychoneuroendocrinology 67: 27–39. https://doi.org/10.1016/j.psyneuen.2016.01.027
- Roik RO, Lebedev AA, Shabanov PD (2019) The value of extended amygdala structures in emotive effects of narcogenic with diverse chemical structure. Res Pharmacol 5(3): 11–19. https://doi.org/10.3897/npharmacology.5.38389
- Koob GF (2009) Neurobiological substrates for the dark side of compulsivity in addiction. Neuropharmacology 56(1): 18–31. https://doi.org/10.1016/j.neuropharm.2008.07.043
- Klein AK, Brito MA, Akhavan S, Flanagan DR, Le N, Ohana T, Patil AS, Purvis EM, Provenzano C, Wei A, Zhou L, Ettenberg A (2017) Attenuation of the anxiogenic effects of cocaine by 5-HT1B autoreceptor stimulation in the bed nucleus of the stria terminalis of rats. Psychopharmacology 234(3): 485–495. https://doi.org/10.1007/s00213-016-4479-3
- Pina MM, Cunningham CL (2017) Ethanol-seeking behavior is expressed directly through an extended amygdala to midbrain neural circuit. Neurobiol Learning and Memory 137: 83–91. https://doi.org/10.1016/j.nlm.2016.11.013
- Aguilera G, Liu Y (2012) The molecular physiology of CRH neurons. Front Neuroendocrinol 33(1): 67–84. https://doi.org/10.1016/j.yfrne.2011.08.002
- Cabral A, Suescun O, Zigman JM, Perello M (2012) Ghrelin indirectly activates hypophysiotropic CRF neurons in rodents. PLoS One 7(2): e31462. https://doi.org/10.1371/journal.pone.0031462
- Willesen MG, Kristensen P, Rømer J (1999) Co-localization of growth hormone secretagogue receptor and NPY mRNA in the arcuate nucleus of the rat. Neuroendocrinology 70(5): 306–316. https://doi.org/10.1159/000054491
- Marais L, van Rensburg SJ, van Zyl JM, Stein DJ, Daniels WM (2008). Maternal separation of rat pups increases the risk of developing depressive-like behavior after subsequent chronic stress by altering corticosterone and neurotrophin levels in the hippocampus. Neurosci Res 61(1): 106–112. https://doi.org/10.1016/j.neures.2008.01.011
- Zoicas I, Neumann ID (2016) Material separation facilitates extinction of social fear in adult male mice. Behav Brain Res 297: 323–328. https://doi.org/10.1016/j.bbr.2015.10.034
- Plotsky PM, Thrivikraman KV, Nemeroff CB, Caldji C, Sharma S, Meaney MJ (2005) Long-term consequences of neonatal rearing on central corticotropin-releasing factor systems in adult male rat offspring. Neuropsychopharmacology 30(12): 2192–2204. https://doi.org/10.1038/sj.npp.1300769
- Salzmann C, Otis M, Long H, Roberge C, Gallo-Payet N, Walker CD (2004) Inhibition of steroidogenic response to adrenocorticotropin by leptin: implications for the adrenal response to maternal separation in neonatal rats. Endocrinology 145(4): 1810–1822. https://doi.org/10.1210/en.2003-1514
- Schmidt MV, Levine S, Alam S, Harbich D, Sterlemann V, Ganea K, de Kloet ER, Holsboer F, Müller MB (2006) Metabolic signals modulate hypothalamic-pituitary-adrenal axis activation during maternal separation of the neonatal mouse. J Neuroendocrinol 18(11): 865–874. https://doi.org/10.1111/j.1365-2826.2006.01482.x
- Шабанов ПД, Лебедев АА, Мещеров ШК (2002) Дофамин и подкрепляющие системы мозга. Санкт-Петербург. [Shabanov PD, Lebedev AA, Mescherov ShK (2002) Dopamine and thereinforcing systems of the brain. Saint Petersburg. (In Russ)].
- Лебедев АА, Москалев АР, Абросимов МЕ, Ветлугин ЭА, Пшеничная АГ, Лебедев ВА, Евдокимова НР, Бычков ЕР, Шабанов ПД (2021) Действие антагониста нейропептида Y BMS193885 на переедание и эмоциональные реакции, вызванные социальной изоляцией у крыс. Обзоры клин фармакол и лекарств терапии 19(2): 189–202. [Lebedev AA, Moskalev AR, Abrosimov ME, Vetlugin EA, Pshenichnaya AG, Lebedev VA, Evdokimova NR, Bychkov ER, Shabanov PD (2021) Effect of neuropeptide antagonist BMS193885 on overeating and emotional responses induced by social isolation in rats. Rev Clin Pharmacol and Drug Therapy 19(2): 189–202. (In Russ)].
- Рейхардт БА, Шабанов ПД (2022) Грелиновые механизмы пищевого вознаграждения. Часть 2. Взаимодействие грелина с гормонами, нейропептидами и другими эндогенными лигандами. Обзоры клин фармакол и лекарств терапии 20(3): 229–254. [Reichardt BA, Shabanov PD (2022) Ghrelin mechanisms of nutritional reward. Part 2. Interaction of ghrelin with hormones, neuropeptides and other endogenous ligands. Rev Clin Pharmacol and Drug Therapy 20(3): 229–254. (In Russ)]. https://doi.org/10.17816/RCF203229-254
Supplementary files






