14-3-3η Cytokine as a New Rheumatoid Arthritis Activity Assessing Biomarker
- Authors: Korolkova A.A.1, Shevaldina M.E.2, Rybakov A.V.3,2, Ballyzek M.F.4, Vavilova T.V.5, Maslyansky A.L.5, Vasiliev D.S.3, Kozlova D.I.3, Khizha V.V.3, Yurieva K.A.6
-
Affiliations:
- Pitirim Sorokin Syktyvkar State University
- Peter the Great St.Petersburg Polytechnic University
- Sechenov Institute of Evolutionary Physiology and Biochemistry of the Russian Academy of Sciences
- St. Petersburg Clinical Hospital of the Russian Academy of Sciences
- Almazov National Medical Research Centre of the Ministry of Health of the Russian Federation
- St. Petersburg State University
- Issue: Vol 109, No 1 (2023)
- Pages: 46-60
- Section: EXPERIMENTAL ARTICLES
- URL: https://journals.rcsi.science/0869-8139/article/view/137884
- DOI: https://doi.org/10.31857/S0869813923010090
- EDN: https://elibrary.ru/IZJWJC
- ID: 137884
Cite item
Full Text
Abstract
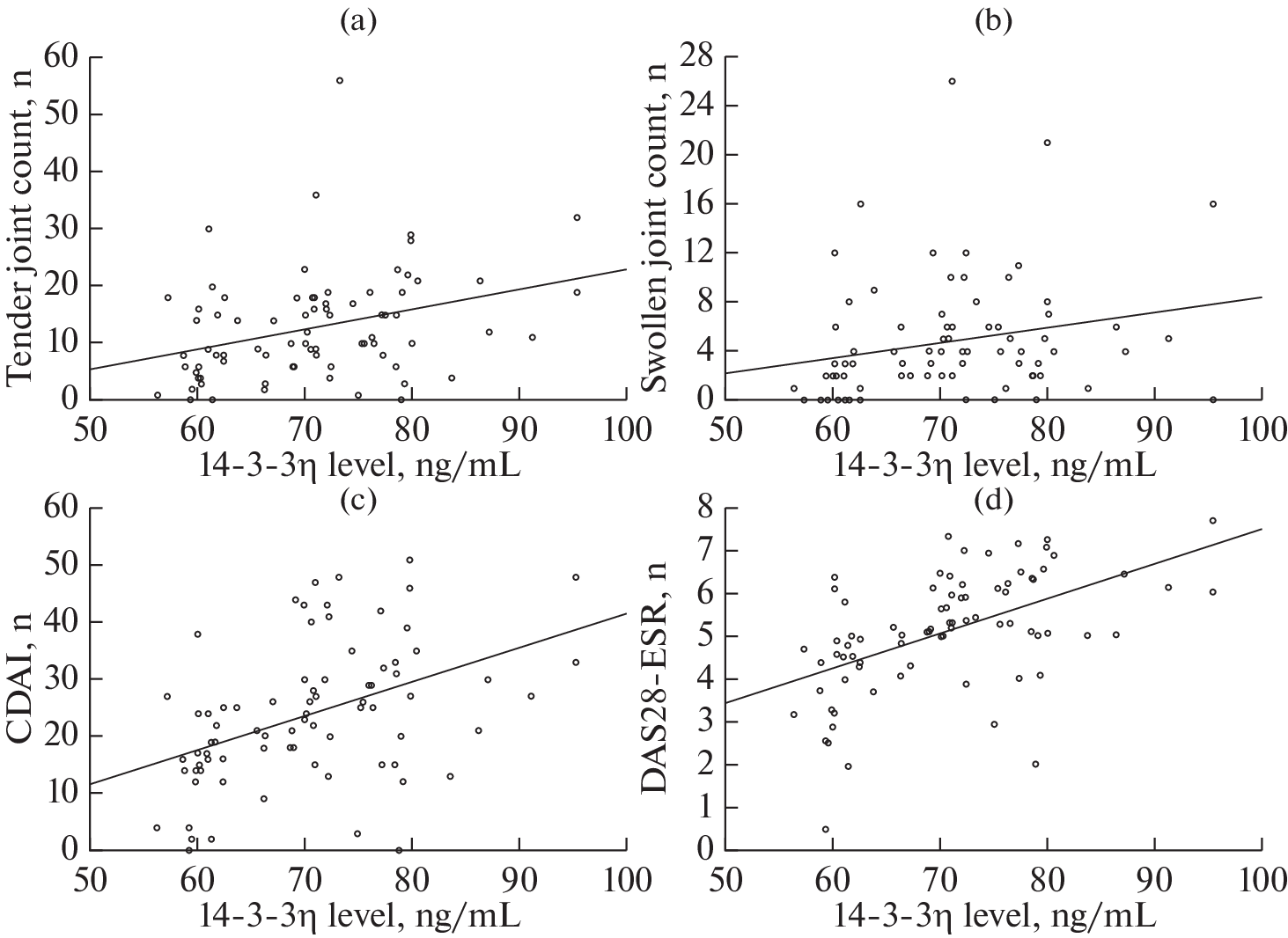
Currently, rheumatoid arthritis routine diagnosis includes joint syndrome indicator determination such as tender and swollen joints count, as well as a number of laboratory indicators. The most interesting are the second ones, which include rheumatoid factor, antibodies to cyclic citrullinated peptide and a some acute-phase indicators, but they have low sensitivity and specificity, especially in the disease early stages, when it is still possible to normalize bring the age-norm indicators and get stable disease remission. Additionally, some of these medical tests are expensive enough and compulsory health insurance not-included. But, most importantly, there are no reliable rheumatologist modern practice disease activity assessing tools depending on the current-used treatment strategy. The article evaluates 14-3-3η protein usage possibility as a promising biomarker for rheumatoid arthritis immuno-inflammatory process activity in joints assessment. It was shown a higher studied indicator informative value (in terms of accuracy, sensitivity, specificity) in comparison with traditional acute-phase indicators, such as the erythrocyte sedimentation rate and C-reactive protein.
Keywords
About the authors
A. A. Korolkova
Pitirim Sorokin Syktyvkar State University
Email: di.kozlova.official@gmail.com
Russia, Komi Republic, Syktyvkar
M. E. Shevaldina
Peter the Great St.Petersburg Polytechnic University
Email: di.kozlova.official@gmail.com
Russia, St. Petersburg
A. V. Rybakov
Sechenov Institute of Evolutionary Physiology and Biochemistry of the Russian Academy of Sciences; Peter the Great St.Petersburg Polytechnic University
Email: di.kozlova.official@gmail.com
Russia, St. Petersburg; Russia, St. Petersburg
M. F. Ballyzek
St. Petersburg Clinical Hospital of the Russian Academy of Sciences
Email: di.kozlova.official@gmail.com
Russia, St. Petersburg
T. V. Vavilova
Almazov National Medical Research Centre of the Ministry of Health of the Russian Federation
Email: di.kozlova.official@gmail.com
Russia, St. Petersburg
A. L. Maslyansky
Almazov National Medical Research Centre of the Ministry of Health of the Russian Federation
Email: di.kozlova.official@gmail.com
Russia, St. Petersburg
D. S. Vasiliev
Sechenov Institute of Evolutionary Physiology and Biochemistry of the Russian Academy of Sciences
Email: di.kozlova.official@gmail.com
Russia, St. Petersburg
D. I. Kozlova
Sechenov Institute of Evolutionary Physiology and Biochemistry of the Russian Academy of Sciences
Author for correspondence.
Email: di.kozlova.official@gmail.com
Russia, St. Petersburg
V. V. Khizha
Sechenov Institute of Evolutionary Physiology and Biochemistry of the Russian Academy of Sciences
Email: di.kozlova.official@gmail.com
Russia, St. Petersburg
K. A. Yurieva
St. Petersburg State University
Email: di.kozlova.official@gmail.com
Russia, St. Petersburg
References
- Smolen JS, Aletaha D, Bijlsma JWJ, Breedveld FC, Boumpas D, Burmester G, Combe B, Cutolo M, de Wit M, Dougados M, Emery P, Gibofsky A, Gomez-Reino JJ, Haraoui B, Kalden J, Keystone EC, Kvien TK, McInnes I, Martin-Mola E, Montecucco C, Schoels M, van der Heijde D (2010) Treating rheumatoid arthritis to target: recommendations of an international task force. Ann Rheumat Disease 69(4): 631–637. https://doi.org/10.1136/ard.2009.123919
- Karateev DE, Olunin YA (2008) About classification of rheumatoid arthritis. Rheumatol Sci Pract 5. https://doi.org/10.14412/1995-4484-2008-848
- Smolen JS, Landewé R, Bijlsma J, Burmester G, Chatzidionysiou K, Dougados M, Nam J, Ramiro S, Voshaar M, van Vollenhoven R, Aletaha D, Aringer M, Boers M, Buckley CD, Buttgereit F, Bykerk V, Cardiel M, Combe B, Cutolo M, van Eijk-Hustings Y, Emery P, Finckh A, Gabay C, Gomez-Reino J, Gossec L, Gottenberg J, Hazes JMW, Huizinga T, Jani M, Karateev D, Kouloumas M, Kvien T, Li Z, Mariette X, McInnes I, Mysler E, Nash P, Pavelka K, Poór G, Richez C, van Riel P, Rubbert-Roth A, Saag K, da Silva J, Stamm T, Takeuchi T, Westhovens R, de Wit M, van der Heijde D (2017) Eular recommendations for the management of rheumatoid arthritis with synthetic and biological disease-modifying antirheumatic drugs: 2016 update. Ann Rheumat Disease 76: 960–977. https://doi.org/10.1136/annrheumdis-2016-210715
- Fransen J, Stucki G, van Riel P (2003) Rheumatoid arthritis measures: Disease activity score (DAS), disease activity score-28 (DAS28), rapid assessment of disease activity in rheumatology (radar), and rheumatoid arthritis disease activity index (Radai). Arthrit & Rheumat 49(S5): S214–S224. https://doi.org/10.1002/art.11407
- Prevoo MLL, van’t Hof MA, Kuper HH, van Leeuwen MA, van de Putte LBA, van Riel PLCM (1995) Modified disease activity scores that include twenty-eight-joint counts development and validation in a prospective longitudinal study of patients with rheumatoid arthritis. Arthrit & Rheumat 38(1): 44–48. https://doi.org/10.1002/art.1780380107
- van der Heijde DM, van’t Hof MA, van Riel PL, Theunisse LA, Lubberts EW, van Leeuwen MA, van Rijswijk MH, van de Putte LB (1990) Judging disease activity in clinical practice in rheumatoid arthritis: first step in the development of a disease activity score. Ann Rheumat Disease 49(11): 916–920. https://doi.org/10.1136/ard.49.11.916
- Inoue E, Yamanaka H, Hara M, Tomatsu T, Kamatani N (2007) Comparison of Disease Activity Score (DAS)28- erythrocyte sedimentation rate and DAS28- C-reactive protein threshold values. Ann Rheumat Disease 66(3): 407–409. https://doi.org/10.1136/ard.2006.054205
- Boers M, Tugwell P (1993) OMERACT conference questionnaire results. OMERACT Committee. J Rheumat 20(3): 552–554.
- Boers M, Riel PLCM, Felson DT, Tugwell P (1995) Assessing the activity of rheumatoid arthritis. Baillière's Clin Rheumat 9: 305–317. https://doi.org/10.1016/s0950-3579(05)80192-x
- Bombardier CPACGW, Tugwell P, Sinclair A, Dok C, Anderson G, Buchanan W (1982) Preference for endpoint measures in clinical trials: results of structured workshops. J Rheumat 9(5): 798–801.
- Pincus T (2008) Limitations of a quantitative swollen and tender joint count to assess and monitor patients with rheumatoid arthritis. Bull NYU Hospital Jt Disease 66(3).
- Marhadour T, Jousse-Joulin S, Chalès G., Grange L, Hacquard C, Loeuille D, Sellam J, Albert JD, Bentin J, Chary Valckenaere I, D’agostino MA, Etchepare F, Gaudin P, Hudry C, Dougados M, Saraux A (2010) Reproducibility of Joint Swelling Assessments in Long-lasting Rheumatoid Arthritis: Influence on Disease Activity Score-28 Values (SEA-Repro Study Part I). J Rheumat 37(5): 932–937. https://doi.org/10.3899/jrheum.090879
- Wells G, Li T, Maxwell L, Maclean R, Tugwell P (2008) Responsiveness of patient reported outcomes including fatigue, sleep quality, activity limitation, and quality of life following treatment with abatacept for rheumatoid arthritis. Ann Rheumat Disease 67(2): 260–265. https://doi.org/10.1136/ard.2007.069690
- Svedberg CA (1967) Normal erythrocyte sedimentation rate and age. Br Med J 2(5544): 85.
- Ramírez J, Narváez JA, Ruiz-Esquide V, Hernández-Gañán J, Cuervo A, Inciarte-Mundo J, Hernández MV, Sampayo-Cordero M, Pablos JL, Sanmartí R, Cañete JD (2017) Clinical and sonographic biomarkers of structural damage progression in RA patients in clinical remission: A prospective study with 12 months follow-up. Seminars Arthrit & Rheumat 47(3): 303–309. https://doi.org/10.1016/j.semarthrit.2017.04.007
- Kamel SR, Sadek HA, Mohamed FA, Osman HM (2018) Role of ultrasound disease activity score in assessing inflammatory disease activity in rheumatoid arthritis patients. Egypt Rheumat 40(1): 1–5. https://doi.org/10.1016/j.ejr.2017.04.002
- Oderda GM, Lawless GD, Wright GC, Nussbaum SR, Elder R, Kim K, Brixner DI (2018) The potential impact of monitoring disease activity biomarkers on rheumatoid arthritis outcomes and costs. Personal Med 15(4): 291–301. https://doi.org/10.2217/pme-2018-0001
- Bensen WG, Jovaisas A, Thorne C, Baer P, Khraishi M, Dixit S, Choquette D, Starr M, Fortin I, Sholter D, Rampakakis E, Sampalis JS, Lehman AJ, Nantel F, Shawi M, Otawa S (2013) SAT0035 Variability in the Classification of Remission among Disease Activity Indices and Their Correlation: An Analysis From a Prospective, Observational Registry. Ann Rheumat Disease 72(Suppl 3): A591–A592. https://doi.org/10.1136/annrheumdis-2013-eular.1761
- Syversen SW, Haavardsholm EA, Boyesen P, Goll GL, Okkenhaug C, Gaarder P I, van der Heijde D, Kvien TK (2010) Biomarkers in early rheumatoid arthritis: longitudinal associations with inflammation and joint destruction measured by magnetic resonance imaging and conventional radiographs. Ann Rheumat Disease 69(5): 845–850. https://doi.org/10.1136/ard.2009.122325
- Chandra PE, Sokolove J, Hipp BG, Lindstrom TM, Elder JT, Reveille JD, Eberl H, Klause U, Robinson WH (2011) Novel multiplex technology for diagnostic characterization of rheumatoid arthritis. Arthrit Res & Therap 13(3): R102. https://doi.org/10.1186/ar3383
- Sagoo P, Perucha E, Sawitzki B, Tomiuk S, Stephens DA, Miqueu P, Chapman S, Craciun L, Sergeant R, Brouard S, Rovis F, Jimenez E, Ballow A, Giral M, Rebollo-Mesa I, le Moine A, Braudeau C, Hilton R, Gerstmayer B, Bourcier K, Sharif A, Krajewska M, Lord GM, Roberts I, Goldman M, Wood KJ, Newell K, Seyfert-Margolis V, Warrens AN, Janssen U, Volk HD, Soulillou JP, Hernandez-Fuentes MP, Lechler R (2010) Development of a cross-platform biomarker signature to detect renal transplant tolerance in humans. J Clin Invest 120(6): 1848–1861. https://doi.org/10.1172/JCI39922
- Wener MH (2011) Multiplex, megaplex, index, and complex: the present and future of laboratory diagnostics in rheumatology. Arthrit Res & Therapy 13(6): 134. https://doi.org/10.1186/ar3498
- Novikov A, Aleksandrova E, Gerasimov A, Cherkasova M, Karateev D, Luchikhina E, Nasonov E (2013) Multiparameter analysis of biomarkers in the laboratory diagnosis of early rheumatoid arthritis. Rheumat Sci and Practic 51(2): 111–116. https://doi.org/10.14412/1995-4484-2013-636
- Novikov A, Aleksandrova E, Nasonov E (2014) Elaboration and application of the diagnostic index based on multivariate analysis of biomarkers to determine the activity of rheumatoid arthritis. Rheumat Sci and Pract 52(1): 72–78. https://doi.org/10.14412/1995-4484-2014-72-78
- Maslaynski A, Lapin S, Mazing A, Bulgakova T, Lazareva N, Cheshuina M, Oleinick P, Ilivanova E, Totolyan A, Mazurov V (2012) Diagnostic value of serological markers of rheumatoid arthritis. Rheumat Sci and Pract 50(5): 20–24. https://doi.org/10.14412/1995-4484-2012-1175
- Hueber W, Tomooka BH, Zhao X, Kidd BA, Drijfhout JW, Fries JF, van Venrooij WJ, Metzger AL, Genovese MC, Robinson WH (2007) Proteomic analysis of secreted proteins in early rheumatoid arthritis: anti-citrulline autoreactivity is associated with up regulation of proinflammatory cytokines. Ann Rheumat Disease 66(6): 712–719. https://doi.org/10.1136/ard.2006.054924
- van der Pouw Kraan TCTM, van Gaalen FA, Kasperkovitz PV, Verbeet NL, Smeets TJM, Kraan MC, Fero M, Tak PP, Huizinga TWJ, Pieterman E, Breedveld FC, Alizadeh AA, Verweij CL (2003) Rheumatoid arthritis is a heterogeneous disease: Evidence for differences in the activation of the STAT-1 pathway between rheumatoid tissues. Arthrit & Rheumat 48(8): 2132–2145. https://doi.org/10.1002/art.11096
- Kilborn S, Bukhari M (2018) AB0302 The role of the biomarker 14-3-3 eta in rheumatoid arthritis: a review. Rheumat Arthrit – Prognosis, Predictors and Outcome 1329.1–1329. https://doi.org/10.1136/annrheumdis-2018-eular.6614
- Lee DG, Woo JW, Kwok SK, Cho ML, Park SH (2013) MRP8 promotes Th17 differentiation via upregulation of IL-6 production by fibroblast-like synoviocytes in rheumatoid arthritis. Exp Mol Med 45(4): e20–e20. https://doi.org/10.1038/emm.2013.39
- Bach M, Moon J, Moore R, Pan T, Nelson J, Lood C (2020) Neutrophil Activation Biomarker Panel in Prognosis and Monitoring of Patients with Rheumatoid Arthritis. Arthrit & Rheumat 72(1): 47–56. https://doi.org/10.1002/art.41062
- Maksymowych WP, van der Heijde D, Allaart CF, Landewé R, Boire G, Tak PP, Gui Y, Ghahary A, Kilani R, Marotta A (2014) 14-3-3η is a novel mediator associated with the pathogenesis of rheumatoid arthritis and joint damage. Arthrit Res & Therap 16(2): R99. https://doi.org/10.1186/ar4547
- Zhukov OS, Abolhosn RW, Popov JM, Naides SJ (2013) FRI0054 Elevated 14-3-3 eta in rheumatoid arthritis and arthritogenic viral infections. Ann Rheumat Disease 72(Suppl 3): A386.2–A386. https://doi.org/10.1136/annrheumdis-2013-eular.1181
- Kadavath S, Chittalae S, Nidal Shuaib O, Soon Goh K, Tosic M, Giles J, Efthimiou P (2014) SAT0211 14-3-3 ETA Protein: A Novel Biomarker for the Diagnosis of Rheumatoid Arthritis: Ann Rheumat Disease 73(Suppl 2): 666.1–666. https://doi.org/10.1136/annrheumdis-2014-eular.5776
- Altman R, Asch E, Bloch D, Bole G, Borenstein D, Brandt K, Christy W, Cooke TD, Greenwald R, Hochberg M, Howell D, Kaplan D, Koopman W, Longley S, Mankin H, McShane DJ, Medsger T, Meenan R, Mikkelsen W, Murphy W, Rothschild B, Segal M, Sokoloff L, Wolfe F (1986) Development of criteria for the classification and reporting of osteoarthritis: Classification of osteoarthritis of the knee. Arthrit & Rheumat 29(8): 1039–1049. https://doi.org/10.1002/art.1780290816
- Metz CE (1978) Basic principles of ROC analysis. Sem Nuc Med 8: 283–298. https://doi.org/10.1016/s0001-2998(78)80014-2
- Maksymowych W, Landewé R, Tak P, Ritchlin C, Ostergaard M, Mease P, El-Gabalawy H, Garnero P, Gladman D, Fitzgerald O, Aletaha D, Bykerk V, Bathon J, Syversen S, Boers M, Geusens P, Inman R, Kraus V, Kvien T, Taylor W, Wells G, Van der Heijde D (2009) Reappraisal of OMERACT 8 draft validation criteria for a soluble biomarker reflecting structural damage endpoints in rheumatoid arthritis, psoriatic arthritis, and spondyloarthritis: the OMERACT 9 v2 criteria. J Rheumat 36 (8): 1785–1791. https://doi.org/10.3899/jrheum.090346
- Felson DT, Smolen JS, Wells G, Zhang B, van Tuyl LHD, Funovits J, Aletaha D, Allaart CF, Bathon J, Bombardieri S, Brooks P, Brown A, Matucci-Cerinic M, Choi H, Combe B, de Wit M, Dougados M, Emery P, Furst D, Hawker G, Keystone E, Khanna D, Kirwan J, Kvien TK, Landewé R, Listing J, Michaud K, Martin-Mola E, Montie P, Pincus T, Richards P, Siegel JN, Simon LS, Sokka T, Strand V, Tugwell P, Tyndall A, van der Heijde D, Verstappen S, White B, Wolfe F, Zink A, Boers M (2011) American College of Rheumatology/European League Against Rheumatism provisional definition of remission in rheumatoid arthritis for clinical trials. Arthrit & Rheumat 63(3): 573–586. https://doi.org/10.1002/art.30129
Supplementary files






