Electron paramagnetic resonance on impurity copper ions in sodium trititanate with a hierarchical two-level architecture
- Authors: Saritsky D.A.1, Ziatdinov A.M.1, Zheleznov V.V.1, Opra D.P.1, Gnedenkov S.V.1
-
Affiliations:
- Institute of Chemistry FEB RAS
- Issue: No 1 (2024)
- Pages: 126-143
- Section: Chemical Sciences. Physical methods of materials research
- URL: https://journals.rcsi.science/0869-7698/article/view/261149
- DOI: https://doi.org/10.31857/S0869769824010099
- EDN: https://elibrary.ru/leevvq
- ID: 261149
Cite item
Full Text
Abstract
The results of studies of electron paramagnetic resonance on impurity copper ions in sodium trititanate (Na2Ti3O7) with a hierarchical two-level architecture, potentially suitable for use as negative electrodes of sodium-ion batteries, are presented. The main emphasis in the work was placed on the identification of magnetically different centers of the impurity copper ion, establishing the positions of these centers in the crystal lattice, determining the nature of their distributions in the volume of the sample, and elucidating the charge compensation mechanism for aliovalent substitutions. For Cu2+ ions in positions of Ti4+ substitution, the degree of a spin density delocalization from the bottom orbital to the σ-orbitals of the nearest equatorial oxygen ions was estimated.
Full Text
Введение
Для решения проблем экологии и поддержания экономического роста современного общества актуален поиск новых эффективных материалов и технологий для хранения энергии. На сегодняшний день одним из основных способов хранения энергии является электрохимический. Во многих работах было продемонстрировано [1–5], что в этом направлении перспективно использование материалов с иерархической структурной организацией благодаря их уникальным физическим и химическим свойствам.
Некоторые координационные соединения четырехвалентного титана, электрохимическую активность в которых обеспечивает редокс-пара Ti4+/Ti3+, потенциально пригодны для использования в качестве отрицательных электродов натрий-ионных аккумуляторов [4–8]. К этим соединениям относятся и различные модификации трититаната натрия (химическая формула: Na2Ti3O7), в том числе имеющие иерархическую двухуровневую (микро/нано) архитектуру, составленную из тонкостенных нанотрубок [4, 5]. Недостаток Na2Ti3O7 – большая ширина запрещенной зоны, которая, согласно литературным данным [9–16], находится в интервале от 3,37 до 3,85 эВ. Следствием этого является низкая электронная проводимость трититаната натрия, что препятствует непосредственному его применению в качестве электродного материала. Существуют разные способы влияния на ширину запрещенной зоны полупроводника, приводящие к изменению связанных с ней электрофизических характеристик образца. Одним из них является так называемое легирование – преднамеренное введение в полупроводник примесей [17–21]. Основной причиной изменения ширины запрещенной зоны полупроводника при легировании является изменение при этом характеристик его кристаллической решетки, которые в некоторых случаях приводят к появлению примесной зоны, перекрывающейся с валентной зоной или с зоной проводимости.
Разработке реалистичных моделей влияния конкретного примесного иона на ширину запрещенной зоны и электрофизические характеристики полупроводника, очевидно, должны предшествовать работы по определению его валентных и спиновых состояний в образце, типов центров данного валентного и/или спинового состояния и характера их распределения в объеме образца, а также механизмов зарядовой компенсации при алиовалентных замещениях. Настоящая работа посвящена исследованию методом электронного парамагнитного резонанса (ЭПР) образцов трититаната натрия, легированных ионами меди, с акцентом на получение знаний по всем вышеперечисленным аспектам строения легированных материалов.
Объекты и методы исследований
Нелегированные порошки трититаната натрия были синтезированы методом однореакторной гидротермальной синтетической процедуры. Синтез порошков трититаната натрия, легированных различным количеством меди, был выполнен этим же способом. В начале указанного синтеза TiCl4 (1 мл) и Cu(NO3)2∙3H2O (35, 45, 60, 65, 100 и 130 мг) смешивали в среде 10 M раствора NaOH (75 мл) в присутствии 36% H2O2. Полученные смеси помещали в реактор-автоклав объемом 100 мл и выдерживали при температуре 180оС в течение 18 ч. Затем реакционную смесь отфильтровывали с помощью бумажного фильтра. Осадок промывали 8–10 раз по 50 мл деионизированной водой (~17,4 MОм∙см) до нейтральной реакции и сушили на воздухе при 120 °C в течение 2 ч. Финальную термообработку продукта проводили при 500 °C на протяжении 2 ч. Далее в тексте продукты синтеза, с учетом концентрации допирующего прекурсора х, обозначены как NTO-Cu-x, где х = 35, 45, 60, 65, 100 и 130 мг.
Согласно данным рентгеновского фазового анализа, в образцах трититаната натрия, синтезированных методом гидротермальной технологии, доминирует кристаллическая фаза трититаната натрия, относящаяся к моноклинной пространственной группе P21/m с параметрами элементарной ячейки: a = 9,3987 Å, b = 3,7566 Å, c = 11,0272 Å, β = 101,6°. На микроскопических изображениях частицы образцов выглядят как «микроцветки», составленные из наночастиц трубчатой и листообразной формы. Внешний диаметр большинства нанотрубок равен 30–40 нм, толщина стенок составляет 2–3 нм, длина достигает нескольких сотен нанометров. Толщина нанолистов составляет несколько нанометров.
Производные поглощения энергии микроволнового поля по магнитному полю (спектры ЭПР) порошков трититаната натрия, легированных различным количеством ионов меди, были записаны на приборе JES-X330 (фирма JEOL, Япония) в X-диапазоне рабочей частоты. Мощность микроволнового поля при записи спектров была 1,00 мВт, магнитное поле (B) разворачивалось в диапазонах 0–500 мТл и модулировалось с частотой 100 кГц. Температурно-зависящие измерения проводили в непрерывном потоке газообразного азота, используя стандартный блок переменной температуры ES-13060 DVT5 (фирма JEOL, Япония).
Компьютерный анализ спектров выполнили с помощью программного пакета EasySpin, написанного на языке MATLAB.
Экспериментальные результаты
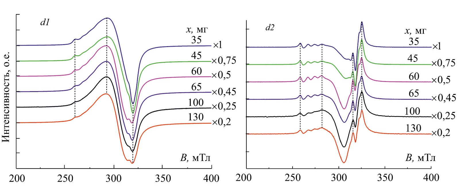
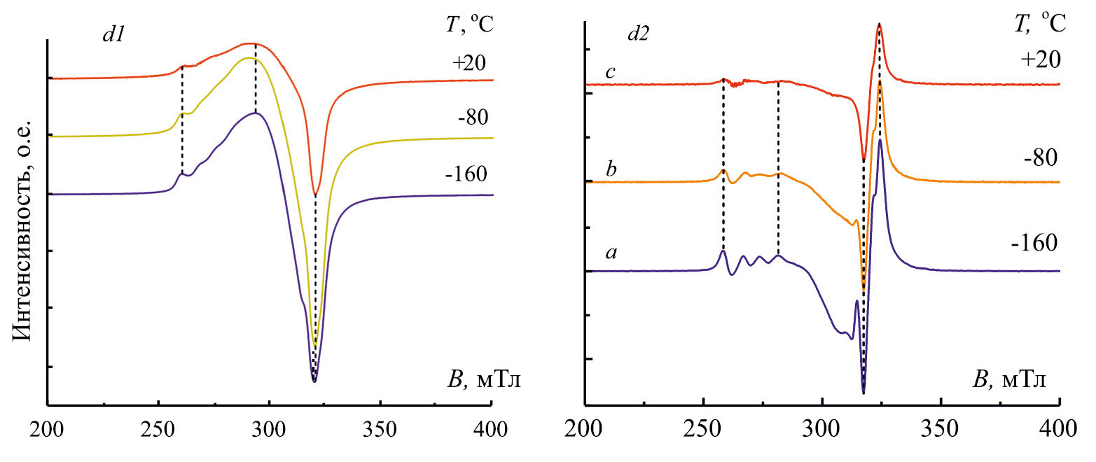
На рис. 1, d1 представлены первые производные поглощения энергии микроволнового поля по постоянному магнитному полю порошков Na2Ti3O7, легированных различным количеством меди и кальцинированных при 500oC. На рис. 2, d1 показано влияние температуры на спектр ЭПР образца с наименьшим содержанием меди (х = 35 мг). Все представленные на этих рисунках спектры содержат интенсивную широкую асимметричную резонансную полосу. Волнистость контура этой полосы, наиболее выраженная в спектрах образцов с малым содержанием примеси (рис. 2, d1), указывает на наличие у нее структуры. Для разрешения перекрывающихся резонансов были записаны вторые производные поглощения микроволнового поля. Их контуры (рис. 1, d2 и рис 2, d2) подтверждают предположение о многокомпонентности спектров ЭПР исследуемых образцов. Независимо от содержания примеси в образце и температуры, при которой проводились измерения, характерные особенности производных поглощения микроволнового поля имеют место при одних и тех же значениях внешнего постоянного магнитного поля (рис. 1 и 2).
Рис. 1. Контуры первой (d1) и второй (d2) производной поглощения энергии микроволнового поля по внешнему магнитному полю порошками NTO-Cu-x (х = 35, 45, 60, 65, 100 и 130) при −160оС
Рис. 2. Контуры первой (d1) и второй (d2) производной поглощения микроволнового поля по внешнему магнитному полю порошком NTO-Cu-35 при разных температурах
В изученных образцах при всех температурах исследований качественные виды контуров производных поглощения микроволнового поля характерны для соответствующих контуров порошков трехмерно-разупорядоченных кристаллических частиц, содержащих ионы с электронным спином S = 1/2 и ядерным спином I = 3/2 в кристаллическом поле с доминирующим осевым искажением [22, 23]. Это позволяет интерпретировать их как контуры спектров ЭПР примесных ионов Cu2+ (3d9, S = 1/2, I = 3/2), находящихся в соответствующем кристаллическом поле. Бòльшую размытость и худшее разрешение экстремумов контуров производных поглощения в образцах с бòльшим содержанием примеси, а в данном образце при более высоких температурах, особенно заметные в контурах вторых производных поглощения (рис. 1, d2 и 2, d2), можно объяснить увеличением ширин резонансов на частицах порошка, соответственно вследствие усиления спин-спиновых взаимодействий между примесными ионами и увеличения скорости спин-решеточной релаксации.
Квартет малоинтенсивных экстремумов контуров производных поглощения микроволнового поля на их низкополевом крыле, называемый в профильной литературе «параллельным» спектром (рис. 1 и 2), формируют резонансы на частицах порошка, у которых оси аксиальной (или квазиаксиальной) симметрии кристаллического поля на ионах Cu2+ параллельны внешнему магнитному полю либо незначительно от него отклонены [22, 23]. Разреженность квартетной структуры этого спектра (рис. 1, d2 и 2, d2) свидетельствует о его принадлежности к множеству хорошо диспергированных ионов Cu2+. Увеличение вместе с магнитным полем ширин компонент «параллельного» спектра при одновременном уменьшении их интенсивностей (рис. 1 и 2) наводит на мысль о наличии некоего дополнительного фактора, участвующего в его формировании, иными словами, он не является результатом только суммирования одинаковых резонансов на одинаково ориентированных относительно внешнего магнитного поля частицах порошка. Отметим, что выявленная особенность «параллельного» спектра иона Cu2+ в титанате натрия наблюдалась ранее в соответствующих спектрах порошков и некоторых других оксидов, легированных медью (например, в «параллельных» спектрах Cu2+ в порошках ZrO2 [24], SiO2 [25] и TiO2 [26]), но ее происхождение не было объяснено.
Интенсивную многокомпонентную структуру в высокополевой части контуров вторых производных поглощения микроволнового поля, называемую в профильной научной литературе «перпендикулярным» спектром (рис. 1 и 2), формируют резонансы на частицах порошка, у которых аксиальная (или квазиаксиальная) ось кристаллического поля на ионах Cu2+ находится в плоскости или вблизи плоскости, перпендикулярной к внешнему магнитному полю [22, 23, 27]. При такой взаимной ориентации магнитного поля и аксиальной (или квазиаксиальной) оси кристаллического поля энергия взаимодействия электронного и ядерного спинов Cu2+ и энергия взаимодействия электрического квадрупольного момента ядра Cu2+ с градиентом напряженности электрического поля в области ядра (так называемого квадрупольного взаимодействия) имеют сопоставимые значения [22, 27]. Квадрупольное взаимодействие существенно влияет на структуру спиновых уровней энергии Cu2+ в тех частицах порошка, которые формируют «перпендикулярный» спектр. По этой причине путем только качественного анализа этого спектра невозможно установить наличие или отсутствие у кристаллического поля на ионах Cu2+ слабой неосевой (ромбической) составляющей.
Анализ экспериментальных результатов
С учетом изложенных в предыдущем разделе результатов качественного анализа спектров ЭПР порошков трититаната натрия, легированных различным количеством меди, их количественный анализ был выполнен в допущении, что спектр ЭПР отдельной частицы порошка описывается стандартным спиновым гамильтонианом вида:
(1)
где β – магнетон Бора, gi (i = x, y, z) – главные (диагональные) компоненты тензора спектроскопического расщепления, Bi (i = x, y, z), Ŝi (i = x, y, z) и Îi (i = x, y, z) – проекции вектора напряженности магнитного поля, векторных операторов спинового момента импульса электрона и ядра на оси координат соответственно, Ai (i = x, y, z) и Pi (i = x, y, z) – константы, характеризующие соответственно взаимодействие электронного и ядерного спинов и электрического квадрупольного момента ядра Cu2+ с градиентом напряженности электрического поля в области ядра при ориентации внешнего магнитного поля вдоль i-ой оси координат. Поскольку Px + Py + Pz = 0, то последний член в выражении (1) можно привести к виду:
,
где и (параметр асимметрии, описывающий отклонение градиента электрического поля от аксиальной симметрии относительно оси z). Отметим также, что , где e – заряд электрона, I – спин ядра, eQ – электрический квадрупольный момент ядра (величина, характеризующая отклонение распределения электрического заряда в атомном ядре от сферически симметричного, для 63-го и 65-го изотопов меди Q равен соответственно −0,211 ∙ 10–24 и −0,195 ∙ 10–24 см2 [27]), eq – градиент электрического поля в области ядра. Поскольку в изученных образцах спектры ЭПР изотопов 63Cu2+ и 65Cu2+ не разрешаются, то найденные из экспериментов значения Ai (i = x, y, z) и P|| следует понимать как: Ai = 63k ∙63Ai + + 65k ∙65Ai (i = x, y, z) и P|| = 63k ∙ 63P|| + 65k ∙ 65P||, гдеnAi и nP|| (n = 63, 65) – значения соответствующих параметров n-го изотопа меди, а коэффициенты 63k = 0,6917 и 65k = 0,3083 отражают их процентное содержание в природе [27].
Расчет теоретических контуров производных поглощения микроволнового поля порошками трехмерно-разупорядоченных кристаллических частиц трититаната натрия, содержащих примесные ионы Cu2+, проводили путем усреднения теоретического спектра отдельной частицы по всем возможным ее ориентациям в пространстве. При этом форма отдельной компоненты сверхтонкой структуры (СТС) спектра предполагалась фойгтовской, т. е. считали, что она представляет собой свертку лоренцевой (L) и гауссовой (G) форм линий с различными межпиковыми ширинами ΔBL и ΔBG соответственно. Дополнительно полагали, что гауссова составляющая ширины линии имеет ориентационную зависимость.
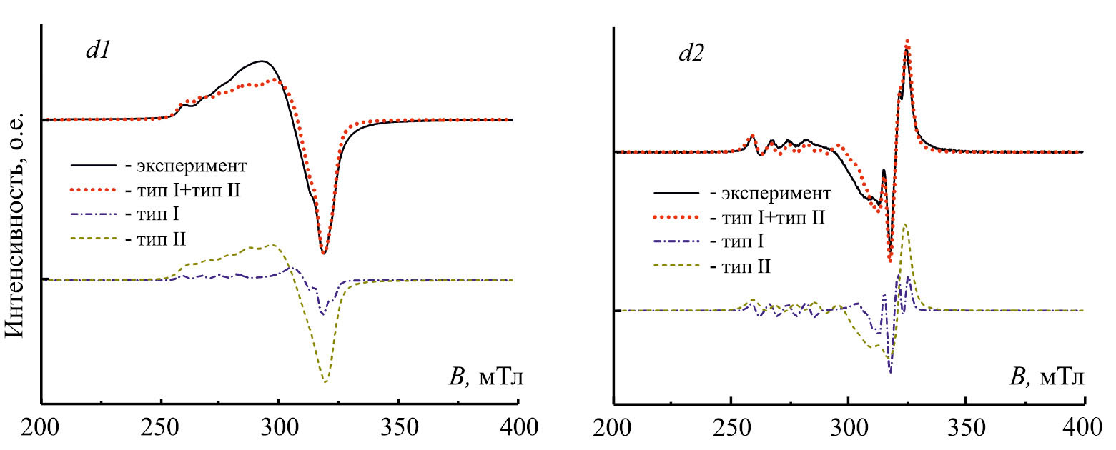
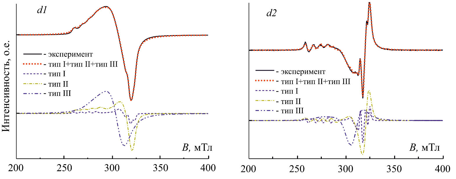
На первом (пробном) этапе вычислений, нацеленном на объяснение полевой зависимости ширин и интенсивностей компонент «параллельного» спектра, расчеты контуров были выполнены в допущении, что частицы порошка содержат два типа центров Cu2+ с близкими значениями gz и Az. Из рис. 3, где представлены результаты таких расчетов для образца с наименьшим содержанием меди, видно, что теоретический спектр, представляющий собой сумму спектров двух типов центров меди со значениями параметров спинового гамильтониана (1) из табл. 1, качественно приемлемо описывает «краевые» спектры, в том числе полевую зависимость параметров компонент «параллельного» спектра, но плохо аппроксимирует экспериментальные данные между ними (рис. 3, d2). Поскольку в спектре исходного (нелегированного) образца при значениях магнитного поля между «краевыми» спектрами легированного медью образца нет резонансного поглощения, то указанное расхождение следует рассматривать как свидетельство присутствия в частицах порошка центров Cu2+, резонансы на которых не были учтены в пробных расчетах. Действительно, учет при компьютерном моделировании экспериментального спектра резонансного поглощения на центрах Cu2+, значение g-фактора которого находится между значениями соответствующего параметра «параллельного» и «перпендикулярного» спектров (табл. 2), позволяет существенно улучшить аппроксимацию (рис. 4).
Таблица 1. Параметры спинового гамильтониана 1, ширины лоренцевой и гауссовой составляющих фойгтовских контуров резонансов и доли вкладов разных типов центров Cu2+ в интегральную интенсивность теоретического спектра, представленного на рис. 3
Тип центра | gi | Ai, мТл | P||/h, МГц (η) | eq ⋅ 1021, В/м2 | ΔBL, мТл | ΔBGi, мТл | Доля вклада, % |
I | gx = 2,089 gy = 2,071 gz = 2,419 | Ax = 4,41 Ay = 3,40 Az = 9,37 | 53,7 (0,08) | 43,1 | 0,67 | ΔBGx = 3,79 ΔBGy = 2,51 ΔBGz = 3,96 | 15,3 |
II | gx = 2,148 gy = 2,054 gz = 2,398 | Ax = 4,05 Ay = 1,68 Az = 9,90 | 33,9 (0,28) | 27,3 | 2,07 | ΔBGx = 6,96 ΔBGy = 3,37 ΔBGz = 7,06 | 84,7 |
Рис. 3. Экспериментальный и теоретический контуры первой (d1) и второй (d2) производной поглощения микроволнового поля по внешнему магнитному полю порошком NTO-Cu-35 при −160оС. Контуры спектров центров Cu2+ типа I и II были рассчитаны с помощью спинового гамильтониана 1 с соответствующими параметрами из табл. 1
Таблица 2. Параметры спинового гамильтониана 1, ширины лоренцевой и гауссовой составляющих фойгтовских контуров резонансов и доли вкладов разных типов центров Cu2+ в интегральную интенсивность теоретического спектра, представленного на рис. 4
Тип центра | gi | Ai, мТл | P||/h, МГц (η) | eq ⋅ 1021, В/м2 | ΔBL, мТл | ΔBGi, мТл | Доля вклада, % |
I | gx = 2,087 gy = 2,070 gz = 2,419 | Ax = 3,95 Ay = 3,59 Az = 9,36 | 45.5 (0,21) | 36,54 | 0,48 | ΔBGx = 3,08 ΔBGy = 2,30 ΔBGz = 3,54 | 6,5 |
II | gx = 2,091 gy = 2,057 gz = 2,393 | Ax = 3,29 Ay = 1,59 Az = 10,35 | 41,9 (0,32) | 33,6 | 2,41 | ΔBGx = 5,52 ΔBGy = 3,48 ΔBGz = 5,45 | 30,3 |
III | gx = 2,143 gy = 2,143 gz = 2,261 | Ax = 2,32 Ay = 2,32 Az = 9,04 | 0 | 0 | 11,75 | ΔBGx = 2,58 ΔBGy = 2,58 ΔBGz = 2,94 | 63,2 |
Рис. 4. Экспериментальный и теоретический контуры первой (d1) и второй (d2) производной поглощения микроволнового поля по внешнему магнитному полю порошком NTO-Cu-35 при −160оС. Контуры спектров центров Cu2+ типа I, II и III были рассчитаны с помощью спинового гамильтониана 1 с соответствующими параметрами из табл. 2
Обсуждение
Компьютерный анализ спектров ЭПР порошков трититаната натрия, легированных различным количеством ионов меди (рис. 3 и 4), свидетельствует о присутствии в частицах порошка трех типов парамагнитных центров Cu2+ (табл. 2). У центров меди типа I и II значения главных компонент g-фактора (табл. 2) и соотношения между ними характерны для ионов Cu2+ в октаэдрическом кислородном окружении с доминирующим осевым и малым ромбическим искажениями [24, 26, 28]. Следовательно, они находятся в позициях замещения матричных ионов Ti4+. Из табл. 2 видно, что компоненты g-факторов этих центров удовлетворяют неравенствам gz > gx (gy) > ge (ge = 2,0023 – фактор спектроскопического расщепления свободного электрона) и (gx – gy)<(gz – gx) < 1. Согласно литературным данным [29–31], выполнение этих неравенств свидетельствует о нахождении ионов Cu2+ в кристаллическом поле аксиально-вытянутого октаэдра. В таком поле неспаренная дырка иона меди находится преимущественно на атомной орбитали [31, 32]. Небольшое отличие искажений октаэдрического кислородного окружения центров меди типов I и II можно объяснить тем, что они находятся в различных областях частицы. Логично предположить, что центры меди типа I, которым отвечает спектр ЭПР с меньшей интегральной интенсивностью (табл. 2), распределены в объеме частицы, а центры меди типа II, которым отвечает спектр ЭПР примерно в пять раз бòльшей интегральной интенсивности (табл. 2), сконцентрированы у ее поверхности.
Дисбаланс заряда, возникающий в Na2Ti3O7 при замещении матричных ионов Ti4+ примесными ионами Cu2+, может компенсироваться за счет: 1) увеличения числа вакансий кислорода, 2) замещения ионами Cu2+ некоторых ионов Na+ и 3) внедрения ионов Cu2+ в межузельные (нерешеточные) позиции. В спектрах ЭПР всех изученных образцов (рис. 1 и 2) отсутствует узкий резонанс с g ~ 2,003, характерный для электронов, захваченных кислородными вакансиями [33–35]. Этот факт свидетельствует не в пользу достижения зарядовой компенсации в образце за счет увеличения концентрации кислородных вакансий. С другой стороны, слоистое строение Na2Ti3O7 [36, 37] благоприятствует внедрению ионов Cu2+ в межслоевые пространства [11, 38]. Причем внедренные ионы могут находиться там как в позициях замещения решеточных ионов Na+ [11, 39], так и между ними, т. е. занимать межузельные (нерешеточные) позиции [39]. Очевидно, что в первом случае зарядовая компенсация будет достигнута тогда, когда число ионов Cu2+ в межслоевых пространствах станет в два раза больше числа этих ионов в позициях замещения ионов Ti4+. Во втором случае для достижения зарядовой компенсации достаточно, чтобы числа ионов Cu2+ в межслоевых пространствах и в позициях замещения ионов Ti4+ были равны. В изученных нами образцах интегральная интенсивность спектра ЭПР центров Cu2+ третьего типа в ~1,7 раза больше суммы интегральных интенсивностей спектров ЭПР двух других типов центров Cu2+ (табл. 2). Из этого следует, что в межслоевых пространствах титаната натрия ~90% примесных ионов Cu2+ находятся в позициях замещения решеточных ионов Na+, а остальные ~10% этих ионов занимают межузельные позиции (находятся между ионами Na+).
Ширины индивидуальных резонансов на различных типах центров Cu2+ существенно отличаются друг от друга (табл. 2). Это является признаком слабого взаимодействия спинов разных типов центров меди. Очевидно, такое возможно, если они сконцентрированы в разных областях частицы порошка, т. е. пространственно разнесены.
Спин-спиновые взаимодействия обратно пропорциональны кубу расстояния между парамагнитными ионами [22, 27]. Поэтому в случае, когда их вклады в ширину спинового резонанса являются доминирующими, при сравнении ширины резонансов на магнитно-неэквивалентных центрах меди можно сделать качественные заключения о характере различия средних расстояний между парамагнитными ионами в сосредоточениях разных типов центров меди. В изученных нами образцах ширины резонансов увеличиваются с I-го к III-му типу центров меди (табл. 2). Это означает, что средние расстояния между парамагнитными ионами в группах рассматриваемых центров меди увеличиваются в обратном порядке. Очевидной причиной этого является отличие концентраций центров меди разного типа в областях их преимущественного сосредоточения. Отметим, что увеличение интегральных интенсивностей спектров ЭПР с I-го к III-му типу центров меди (табл. 2) хорошо согласуется с таким объяснением.
Анализ данных ЭПР примесных ионов Cu2+ в трититанате натрия методами теории молекулярных орбиталей
В этом разделе, используя представления и методы теории молекулярных орбиталей – линейной комбинации атомных орбиталей (МО ЛКАО), оценим степень делокализации дырки с основной атомной орбитали иона Cu2+, находящегося в позиции замещения Ti4+, на σ-орбитали ближайших экваториальных ионов кислорода. Согласно рентгеноструктурным данным [36, 37], кристаллы Na2Ti3O7 относятся к моноклинной пространственной группе симметрии P21/m, а симметрия кристаллического поля, воздействующего на ионы Ti4+, ниже ромбической. Надо полагать, симметрия октаэдрического кислородного окружения примесных ионов Cu2+, находящихся в позициях замещения Ti4+, также ниже ромбической. Тем не менее, с учетом небольших отклонений углов O–Ti–O от 90o [36, 37], в дальнейшем мы будем считать, что примесные ионы Cu2+ находятся в кристаллическом поле более высокой ромбической симметрии D2h. Такой выбор симметрии кристаллического поля позволяет учитывать основные эффекты низкой симметрии: вклад dz2-орбитали в основное состояние , а также смешивание 3d- и 4s-орбиталей.
В поле симметрии D2h у иона с 3d9-электронной конфигурацией нижний орбитальный дублет 2Eg кубического случая расщепляется на синглеты 2A’1g и 2A1g, причем последний из них имеет меньшую энергию (рис. 5) [22, 27]. Одновременно верхний орбитальный триплет 2T2g кубического случая расщепляется на синглеты 2B1g, 2B2g и 2B3g (рис. 5) [22, 27]. Учитывая это, антисвязывающие молекулярные орбитали иона Cu2+ в октаэдрическом кристаллическом поле симметрии D2h можно записать в виде [40, 41]:
,
,
,
,
,
где Ψ(2А1g) – основная молекулярная орбиталь системы, Li (i = 1–5) – линейные комбинации σ-орбиталей лигандов, участвующих в образовании связи с орбиталями центрального иона меди. Для коэффициентов a, b и cs основного состояния выполняется условие нормировки a2 + b2 + cs2 = 1, а для параметров α и α’ этого же состояния справедливо выражение α2 + α’2–2αα’J = 1, где J – интеграл перекрытия орбитали с σ-орбиталями четырех ближайших экваториальных ионов кислорода. Основываясь на типичном расстоянии медь–кислород, равном 1,9 Å, Д. Кивельсон и Р. Нейман [42] нашли, что J = 0,076. Аналогичные соотношения существуют между коэффициентами и других антисвязывающих молекулярных орбиталей иона Cu2+, но значения входящих в них интегралов перекрытия с σ-орбиталями ионов кислорода столь малы, что ими обычно пренебрегают. Отметим, что квадраты коэффициентов при волновых функциях имеют смысл вероятности нахождения квантовой системы в состоянии, описываемом этой волновой функцией.
Рис. 5. Орбитальные уровни энергии и состояния иона с конфигурацией d9 в кристаллическом поле октаэдрической симметрии (Oh), а также при наличии тетрагонального (D4h) и ромбического (D2h) искажений этой симметрии
Расчеты, выполненные во втором порядке теории возмущений, показывают, что в основном состоянии Ψ(2А1g) значения главных (диагональных) компонент g и A тензоров определяются следующими выражениями [40, 41]:
, , ; (2)
,
,
, (3)
где Δgi = gi – 2,0023 (i = x, y, z), λ = –828 см-1 [43, 44] – константа спин-орбитальной связи для свободного иона Cu2+, Exy, Exz и Eyz – соответственно энергии орбиталей dxy, dxz и dyz относительно энергии основной орбитали (определяются из оптических измерений), ρ = 0,036 см−1 [43, 44] представляет собой среднюю протяженность орбитали , κ – контактный член Ферми для свободного иона Cu2+, равный 0,43 [44]. Первый член в выражениях для Ai (i = x, y и z) представляет собой изотропный вклад 4s-орбитали в сверхтонкое расщепление. Он небольшой (cs << 1 [40, 41]), поэтому в дальнейшем при анализе данных мы не будем его учитывать.
Схема нахождения значений неизвестных коэффициентов в выражениях (2) и (3) была следующей. На первом этапе вычислений находили совместные решения уравнений (3) с учетом условия нормировки a2 + b2 = 1. В результате были найдены три набора значений коэффициентов a, b, α и k, удовлетворяющих всем этим уравнениям. Истинный из них определялся по результатам анализа решений уравнений (2) с использованием значений компонент a, b, α каждого набора. При этом энергии орбиталей Exy, Eyzи Exz, входящие в эти уравнения, были взяты равными соответственно 11 000, 11 700 и 13 100 см-1 из статьи Т. Асвани и др. [45], посвященной изучению оптического и ЭПР спектров ионов Cu2+ в аксиально-вытянутом кислородном октаэдре симметрии D2h. Критерием истинности тестируемого набора значений коэффициентов было требование, чтобы все определенные с его помощью значения |β1|, |β2| и |β3| были меньше единицы. Найденные описанным выше способом значения коэффициентов в выражениях (2) и (3) представлены в табл. 3. С их помощью волновую функцию основного состояния центров Cu2+ типов I и II можно записать соответственно в виде:
и .
Таблица 3. Значения коэффициентов в выражениях 2 и 3
Тип центра | a2 | b2 | κ | α2 | α’2 | β12 | β22 | β32 |
I | 0,999950 | 5 ⋅ 10–5 | 0,241 | 0,852 | 0,213 | 0,811 | 0,767 | 0,574 |
II | 0,999996 | 4 ⋅ 10–6 | 0,277 | 0,813 | 0,256 | 0,797 | 0,867 | 0,472 |
Из вида этих волновых функций следует, что для центров меди типов I и II, находящихся в позициях замещения ионов Ti4+, делокализация дырки (спиновой плотности) c основной атомной орбитали на четыре σ-орбитали экваториальных ионов кислорода составляет ≈21 и ≈26% соответственно, а примесь в основную орбиталь ближайшей к нему возбужденной - орбитали является пренебрежимо малой. Последний результат свидетельствует о фактическом отсутствии взаимодействия между электронными и ядерными колебательными движениями (так называемой вибронной связи [46]) в кластерах CuO6, так как орбитали и никаким другим образом не смешиваются [47]. Надо полагать, само подавление вибронных взаимодействий в примесных кластерах CuO6 связано с отличием их конфигурации от идеальной октаэдрической. Отметим также, что отсутствие вибронных связей в кластерах CuO6 объясняет и наблюдаемое в экспериментах слабое влияние температуры на параметры спектров ЭПР примесных ионов Cu2+ (рис. 2).
Согласно теории точечных групп симметрии [48], в кристаллическом поле искаженного октаэдрического кластера CuО6, симметрия которого ниже D2h, в волновую функцию основного состояния иона Cu2+ могут вносить вклад, наряду с орбиталями и также орбитали , , . Следовательно, в соответствии с условием нормировки, в таком кристаллическом поле вероятность нахождения дырки на орбитали будет меньше, чем в поле симметрии D2h. Поэтому найденные выше делокалзации дырки с орбитали на четыре σ-орбитали экваториальных ионов кислорода в комплексах симметрии D2h следует рассматривать как верхний предел возможных значений этой величины. Помимо этого, с учетом бо̀льших значений энергий орбиталей , , и относительно энергии основной орбитали (> 104 см-1 [45]), а также ориентаций этих орбиталей относительно σ-орбиталей лигандов [48], можно ожидать, что учет их вкладов в основное состояние не приведет к существенным изменениям найденных значений делокализации дырки на экваториальные атомы кислорода.
У иона Cu2+ в кристаллическом поле аксиально вытянутого кислородного октаэдра знак параметра СТС Az отрицательный [49, 50]. При этом знаки параметров СТС Ax и Ay, в зависимости от соединения, могут быть как отрицательными, так и положительными. В Na2Ti3O7 у решеточных ионов Cu2+ знак Az отрицательный, а параметры Ax и Ay положительные, так как только при таком выборе их знаков система уравнений (3) имеет решение.
Заключение
Таким образом, из данных ЭПР-исследований трититаната натрия, легированного медью, следует, что примесные ионы меди находятся в образце в трех магнитно-неэквивалентных состояниях. Два из них представляют собой ионы Cu2+ в позициях замещения матричного иона Ti4+ в кристаллическом поле тетрагонально вытянутого кислородного октаэдра, которое стабилизирует неспаренную дырку преимущественно на атомной орбитали . Некоторое отличие искажений кислородного окружения этих типов центров Cu2+ можно объяснить тем, что они находятся в разных областях частицы. Например, центры меньшей и большей численности могут быть распределены в ее объеме и сконцентрированы в областях преимущественно вблизи поверхности частицы, соответственно. Существенное отличие ширин резонансов магнитно-неэквивалентных центров Cu2+ также говорит в пользу их преимущественной локализации в разных областях частицы.
Анализ методами теории молекулярных орбиталей параметров спектров ЭПР центров Cu2+, находящихся в позициях замещения ионов Ti4+, показывает, что делокализация дырки (спиновой плотности) с орбитали на четыре σ-орбитали экваториальных ионов кислорода составляет ≈21 и ≈26% соответственно для центров меди типов I и II. При этом примесь возбужденной - орбитали к основному состоянию дырки является пренебрежимо малой, что свидетельствует об отсутствии вибронной связи между ними.
Отсутствие в спектрах ЭПР легированных медью образцов трититаната натрия резонансного поглощения на электронах, захваченных кислородными вакансиями, свидетельствует о том, что дисбаланс заряда, возникающий в результате замещения матричного иона Ti4+ примесным ионом Cu2+, компенсируется не путем образования новых кислородных вакансий. Сравнительный анализ значений параметров спектров ЭПР всех трех типов примесных центров Cu2+ показывает, что зарядовую нейтральность образца обеспечивают центры меди III-го типа, расположенные в межслоевых пространствах образца. Основная часть этих ионов (~90%) находится в позициях замещения решеточных ионов Na+. Существенно меньшая их часть (~10%) расположена в межузлиях.
About the authors
Denis A. Saritsky
Institute of Chemistry FEB RAS
Email: denissaricki@mail.ru
ORCID iD: 0009-0006-2195-1042
Junior Researcher
Russian Federation, VladivostokAlbert M. Ziatdinov
Institute of Chemistry FEB RAS
Author for correspondence.
Email: ziatdinov@ich.dvo.ru
ORCID iD: 0000-0001-7917-9207
Doctor of Sciences in Physics and Mathematics, Chief Researcher, Head of the Laboratory
Russian Federation, VladivostokVeniamin V. Zheleznov
Institute of Chemistry FEB RAS
Email: zhvv53@mail.ru
Doctor of Sciences in Chemistry, Leading Researcher
Russian Federation, VladivostokDenis P. Opra
Institute of Chemistry FEB RAS
Email: dp.opra@gmail.com
ORCID iD: 0000-0003-4337-5550
Candidate of Sciences in Chemistry, Senior Researcher, Head of the Laboratory
Russian Federation, VladivostokSergey V. Gnedenkov
Institute of Chemistry FEB RAS
Email: svg21@hotmail.com
ORCID iD: 0000-0003-1576-8680
Corresponding Member of the RAS, Doctor of Sciences in Chemistry, Professor, Director
Russian Federation, VladivostokReferences
- Xia G., Zhou T., Yu X., eds. Hierarchical materials for advanced energy storage. Lausanne: Frontiers Media SA; 2020. 103 p. https://doi.org/10.3389/978–2–88966–185–5.
- Guan M., Wang Q., Zhang X., Bao J., Gong X., Liu Y. Two-dimensional transition metal oxide and hydroxide-based hierarchical architectures for advanced supercapacitor materials. Front. Chem. 2020; 8:390. https://doi.org/10.3389/fchem.2020.00390.
- Jayan J. S., Saritha A., Joseph K. Development of hierarchical nanostructures for energy storage. In: Shalan A. E., Hamdy Makhlouf A. S., Lanceros–Méndez S. (eds). Advances in nanocomposite materials for environmental and energy harvesting applications. Engineering Materials. Cham: Springer; 2022. P. 663–695. https://doi.org/10.1007/978–3–030–94319–6_21.
- Chen H., Wu Y., Duan J., Zhan R., Wei Wang W., Wang V.-Q., Chen Y., Xu M., Bao S.-J. (001) Facet-dominated hierarchically hollow Na2Ti3O7 as a high-rate anode material for sodium-ion capacitors. ACS Appl. Mater. Interfaces. 2019; 11:42197–42205. https://doi.org/10.1021/acsami.9b14560.
- Opra D. P., Sinebryukhov S. L., Neumoin A. I., Podgorbunskii A. B., Gnedenkov S. V. Mezoporistye nanotrubchatye materialy na osnove Na2Ti3O7 s ierarkhicheskoi arkhitekturoi: sintez i svoistva. ChemChemTech. 2022;65(12):37–43. (In Russ.). https://doi.org/10.6060/ivkkt.20226512.6552.
- Wang W., Liu Y., Wu X., Wang J., Fu L., Zhu Y., Wu Y., Liu X. Advances of TiO2 as negative electrode materials for sodium-ion batteries. Adv. Mater. Technol. 2018;3(9):1800004. https://doi.org/10.1002/admt.201800004.
- Doeff M. M., Cabana J., Shirpour M. Titanate anodes for sodium-ion batteries. J. Inorg. Organomet. Polym. Mater. 2014;24(1):5–14. https://doi.org/10.1007/s10904-013-9977-8.
- Wang Y., Zhu W., Guerfi A., Kim C., Zaghib K. Roles of Ti in electrode materials for sodium-ion batteries. Front. Energy Res. 2019; 7:1. https://doi.org/10.3389/fenrg.2019.00028.
- Zhang Z., Goodall J. B.M., Brown S., Karlsson L., Clark R. J.H., Hutchison J. L., Rehman I. U., Darr J. A. Continuous hydrothermal synthesis of extensive 2D sodium titanate (Na2Ti3O7) nano-sheets. Dalt. Trans. 2010; 39:711–714. https://doi.org/10.1039/B915699B.
- An Y., Li Z., Xiang H., Huang Y., Shen J. First-principle calculations for electronic structure and bonding properties in layered Na2Ti3O7. Open Phys. 2011; 9:1488–1492. https://doi.org/10.2478/s11534-011-0072-x.
- Vithal M., Rama Krishna, S., Ravi G., Palla S., Velchuri R., Pola S. Synthesis of Cu2+ and Ag+ doped Na2Ti3O7 by a facile ion-exchange method as visible-light-driven photocatalysts. Ceram. Int. 2013; 39:8429–8439. https://doi.org/10.1016/j.ceramint.2013.04.025.
- Pan H., Lu X., Yu X., Hu Y.-S., Li H., Yang X.-Q., Chen L. Sodium storage and transport properties in layered Na2Ti3O7 for room-temperature sodium-ion batteries. Adv. Energy Mater. 2013; 3:1186–1194. https://doi.org/10.1002/aenm.201300139.
- Fu S., Ni J., Xu Y., Zhang Q., Li L. Hydrogenation driven conductive Na2Ti3O7 nanoarrays as robust binder-free anodes for sodium-ion batteries. Nano Lett. 2016; 16:4544–4551. https://doi.org/10.1021/acs.nanolett.6b01805.
- Araújo-Filho A.A., Silva F. L.R., Righi A., da Silva M. B., Silva B. P., Caetano E. W.S., Freire V. N. Structural, electronic and optical properties of monoclinic na2ti3o7 from density functional theory calculations: A comparison with XRD and optical absorption measurements. J. Solid State Chem. 2017; 250:68–74. https://doi.org/10.1016/j.jssc.2017.03.017
- Garay-Rodríguez L.F., Murcia-López S., Andreu T., Moctezuma E., Torres-Martínez L.M., Morante J. R. Photocatalytic hydrogen evolution using bi-metallic (Ni/Pt) Na2Ti3O7 whiskers: Effect of the deposition order. Catalysts. 2019; 9:285. https://doi.org/10.3390/catal9030285.
- Opra D. P., Neumoin A. I., Sinebryukhov S. L., Podgorbunsky A. B., Kuryavyi V. G., Mayorov V. Yu., Ustinov A. Yu., Gnedenkov S. V. Moss-like hierarchical architecture self-assembled by ultrathin Na2Ti3O7 nanotubes: Synthesis, electrical conductivity, and electrochemical performance in sodium-ion batteries. Nanomaterials. 2022; 12:1905. https://doi.org/10.3390/nano12111905.
- Opra D. P., Gnedenkov S. V., Sinebryukhov S. L., Podgorbunskii A. B., Sokolov A. A., Ustinov A. Yu., Kuryavyi V. G., Maiorov V. Yu., Zheleznov V. V. Legirovannyi margantsem dioksid titana s uluchshennymi elektrokhimicheskimi kharakteristikami dlya litii-ionnykh akkumulyatorov. Elektrokhimicheskaya energetika. 2019;19(3):123–140. (In Russ.). https://doi.org/10.18500/1608-4039-2019-19-3-123-140.
- Opra D. P., Gnedenkov S. V., Sinebryukhov S. L., Gerasimenko A. V., Ziatdinov A. M., Sokolov A. A., Podgorbunsky A. B., Ustinov A. Yu., Kuryavyi V. G., Mayorov V. Yu., Tkachenko I. A., Sergienko V. I. Enhancing lithium and sodium storage properties of TiO2(B) nanobelts by doping with nickel and zinc. Nanomaterials. 2021;11(7):1703. https://doi.org/10.3390/nano11071703.
- Anh L. T., Rai A. K., Thi T. V. et al. Improving the electrochemical performance of anatase titanium dioxide by vanadium doping as an anode material for lithium-ion batteries. J. Power Sources. 2013;243:891– 898. https://doi.org/10.1016/j.jpowsour.2013.06.080.
- Opra D. P., Gnedenkov S. V., Sinebryukhov S. L., Podgorbunsky A. B., Sokolov A. A., Ustinov A. Yu., Kuryavyi V. G., Mayorov V. Yu., Zheleznov V. V. Doping of titania with manganese for improving cycling and rate performances in lithium-ion batteries. Chem. Phys. 2020;538(1):110864. https://doi.org/10.1016/j.chemphys.2020.110864.
- Sekhar M. C., Reddy B. P., Vattikuti S. V.P. et al. Structural, magnetic, and catalytic properties of Mn-doped titania nanoparticles synthesized by a sol–gel process. J. Cluster Science. 2018; 29:1255–1267. https://doi.org/10.1007/s10876–018–1437–8.
- Mabbs F. E., Collison D. (eds). Electron paramagnetic resonance of d transition metal compounds. Vol. 16. Elsevier: Amsterdam, Netherlands; 1992. 1326 p.
- Zhidomirov G. M., Lebedev Ya.S., Dobryakov S. N., Shteynshneyder N. Y., Chirkov A. K., Gubanov V. A. Interpretatsiya slozhnykh spektrov EPR. Moskva: Nauka; 1975. 216 s. (In Russ.).
- Ramaswamy V., Bhagwat M., Srinivas D., Ramaswamy A. V. Structural and spectral features of nano-crystalline copper-stabilized zirconia. Catal. Today. 2004;97(1):63–70. https://doi.org/10.1016/j.cattod.2004.06.141.
- Wang Z., Liu Q., Yu J., Wu T., Wang G. Surface structure and catalytic behavior of silica-supported copper catalysts prepared by impregnation and sol–gel methods. Appl. Catal. A: Gen. 2003; 239:87–94. https://doi.org/10.1016/S0926-860X(02)00421-0.
- Miyamoto S. N., Miyamoto R., Giamello E., Kurisaki T., Hisanobu W. Evaluation of coexistent metal ions with TiO2: an EPR approach. Res. Chem. Intermed. 2018; 44:4563–4575. https://doi.org/10.1007/s11164–018–3468-z.
- Weil J., Bolton J. R. Electron paramagnetic resonance: Elementary theory and practical applications. 2nd ed. New Jersey: Wiley Interscience; 2007. 688 p.
- Cordoba G., Viniegra V., Fierro J. L.G., Padilla J., Arroyo R. TPR, ESR, and XPS study of Cu2+ ions in sol–gel-derived TiO2. Solid St. Chem. 1998;138(1):1–6. http://dx.doi.org/10.1006/jssc.1997.7690.
- Dudley R. J., Hathaway B. J. Single-crystal electronic and E.S.R. spectra of bis-(aquo)monoacetylacetonatocopper(II) picrate. J. Chem. Soc. A. 1970; 0:1725–1728.
- Billing D. E., Dudley R. J., Hathaway B. J., Tomlinson A. A. G. Single-crystal electronic and electron spin resonance spectra of dichloroaquo-(2,9-dimethyl-l,10-phenanthroline)copper(II). J. Chem. Soc. A. 1971; 0:691–696. http://dx.doi.org/10.1039/J19710000691.
- Narayana P. A., Sastry K. V.L.N. Core polarization of NH4Br: Cu2+. J. Chem. Phys. 1972;57(8):3266– 3268. https://doi.org/10.1063/1.1678750.
- Garribba E., Micera G. The determination of the geometry of Cu(II) complexes: An EPR spectroscopy experiment. J. Chem. Educ. 2006; 83:1229–1232. https://doi.org/10.1021/ed083p1229.
- Reyes-Garcia E.A., Sun Y., Reyes-Gil K.R., Raftery D. Solid-state NMR and EPR analysis of carbon-doped titanium dioxide photocatalysts (TiO2-xCx). Solid State Nucl. Magn. Reson. 2009;35;74–81. https://doi.org/10.1016/j.ssnmr.2009.02.004.
- Serwicka E. ESR study on the interaction of water vapour with polycrystalline TiO2 under illumination. Colloids Surf. 1985;13(4):287–293. https://doi.org/10.1016/0166-6622(85)80028-7.
- Yang G., Jiang Z., Shi H., Xiao T., Yan Z. Preparation of highly visible-light active N-doped TiO2 photocatalyst. J. Mater. Chem. 2010;20(25):5301–5309. https://doi.org/10.1039/C0JM00376J.
- Andersson S., Wadsley A. D. The crystal structure of Na2Ti3O7. Acta Cryst. 1961; 14:1245–1249. https://doi.org/10.1107/S0365110X61003636.
- Yakubovich O. V., Kireev V. V. Refinement of the crystal structure of Na2Ti3O7. Crystallogr. Rep. 2003;48(1):24–28. https://doi.org/10.1134/1.1541737.
- Li N., Zhang L., Chen Y., Fang M., Zhang J., Wang H. Highly efficient, irreversible and selective ion exchange property of layered titanate nanostructures. Adv. Funct. Mater. 2012; 22:835–841. https://doi.org/10.1002/adfm.201102272.
- Umek P., Pregelj M., Gloter A., Cevc P., Jaglicic Z., Ceh M., Pirnat U., Arcon D. Coordination of intercalated Cu2+ sites in copper doped sodium titanate nanotubes and nanoribbons. J. Phys. Chem. C. 2008; 112:15311–15319. https://doi.org/10.1021/jp805005k.
- Hoffman S. K., Goslar J., Tadyszak K. Electronic structure and dynamics of low symmetry Cu2+ complexes in kainite-type crystal KZnClSO4·3H2O: EPR and ESE studies. J. Magn. Reson. 2010;205(2)293– 303. https://doi.org/10.1016/j.jmr.2010.05.014.
- Attanasio D. ESR Study of Bis(ω-nitroacetophenonato)bis(4-methylpyridine)Cu(II): A six-coordinated low-symmetry copper chelate. J. Magn. Reson. 1977;26(1):81–91. https://doi.org/10.1016/0022-2364(77)90237-2.
- Kivelson D., Neiman R. ESR Studies on the Bonding in Copper Complexes. J. Chem. Phys. 1961;35(1):149–155. https://doi.org/10.1063/1.1731880.
- Abragam A., Pryce M. H. L. Theory of the nuclear hyperfine structure of paramagnetic resonance spectra in crystals. Proc. R. Soc. Lond. A. 1951;205(1080):135–153. https://doi.org/10.1098/rspa.1951.0022.
- Abragam A., Pryce M. H. L. The theory of the nuclear hyperfine structure of paramagnetic resonance spectra in the copper Tutton salts. Proc. R. Soc. Lond. A. 1951;206(1085):164–172. https://doi.org/10.1098/rspa.1951.0062.
- Aswani T., Pushpa Manjari V., Babu B., Muntaz Begum Sk., Rama Sundari G., Ravindranadh K., Ravikumar R. V.S.S.N. Spectral characterizations of undoped and Cu2+ doped CdO nanopowder. J. Mol. Struct. 2014; 1063:178–183. https://doi.org/10.1016/j.molstruc.2014.01.059.
- Azumi T., Kazuo M. What does the term “Vibronic coupling” mean? Photochem. Photobiol. 1977;25(3):315–326. https://doi.org/10.1111/j.1751-1097.1977.tb06918.x.
- O’Brien M.C.M. The dynamic Jahn-Teller effect in octahedrally co-ordinated d9 ions. Proc. R. Soc. Lond. A. 1964;281(1386):323–339. https://doi.org/10.1098/rspa.1964.0185.
- Flurry R. L. Symmetry Groups. Theory and Chemical Applications. Prentice-Hall, Inc.: New Jersey, USA; 1980. 356 p.
- Ensign T. C., Chang T., Kahn A. H. Hyperfine and nuclear quadrupole interactions in copper-doped TiO2. Phys. Rev. 1969;188(2):703–709. https://doi.org/10.1103/PhysRev.188.703.
- Dong H. N., Wu S. Y., Li P. Theoretical explanation of EPR parameters for Cu2+ ion in TiO2 crystal. Phys. Stat. Sol. (b). 2004;241(8):1935–1938. https://doi.org/10.1002/pssb.200402033.
Supplementary files







