Updated COMAGMAT-5: Modeling the Effects of Sulfide Precipitation in Parallel to Crystallization Of Alumino-Chromian Spinel
- Authors: Ariskin A.A.1,2, Bychkov K.A.3, Nikolaev G.S.2, Barmina G.S.2
-
Affiliations:
- Faculty of Geology, Moscow State University
- Vernadsky Institute of Geochemistry and Analytical Chemistry, Russian Academy of Sciences
- Limited Liability Company Myon
- Issue: Vol 31, No 5 (2023)
- Pages: 552-569
- Section: Articles
- URL: https://journals.rcsi.science/0869-5903/article/view/141018
- DOI: https://doi.org/10.31857/S0869590323050023
- EDN: https://elibrary.ru/CCVZZI
- ID: 141018
Cite item
Full Text
Abstract
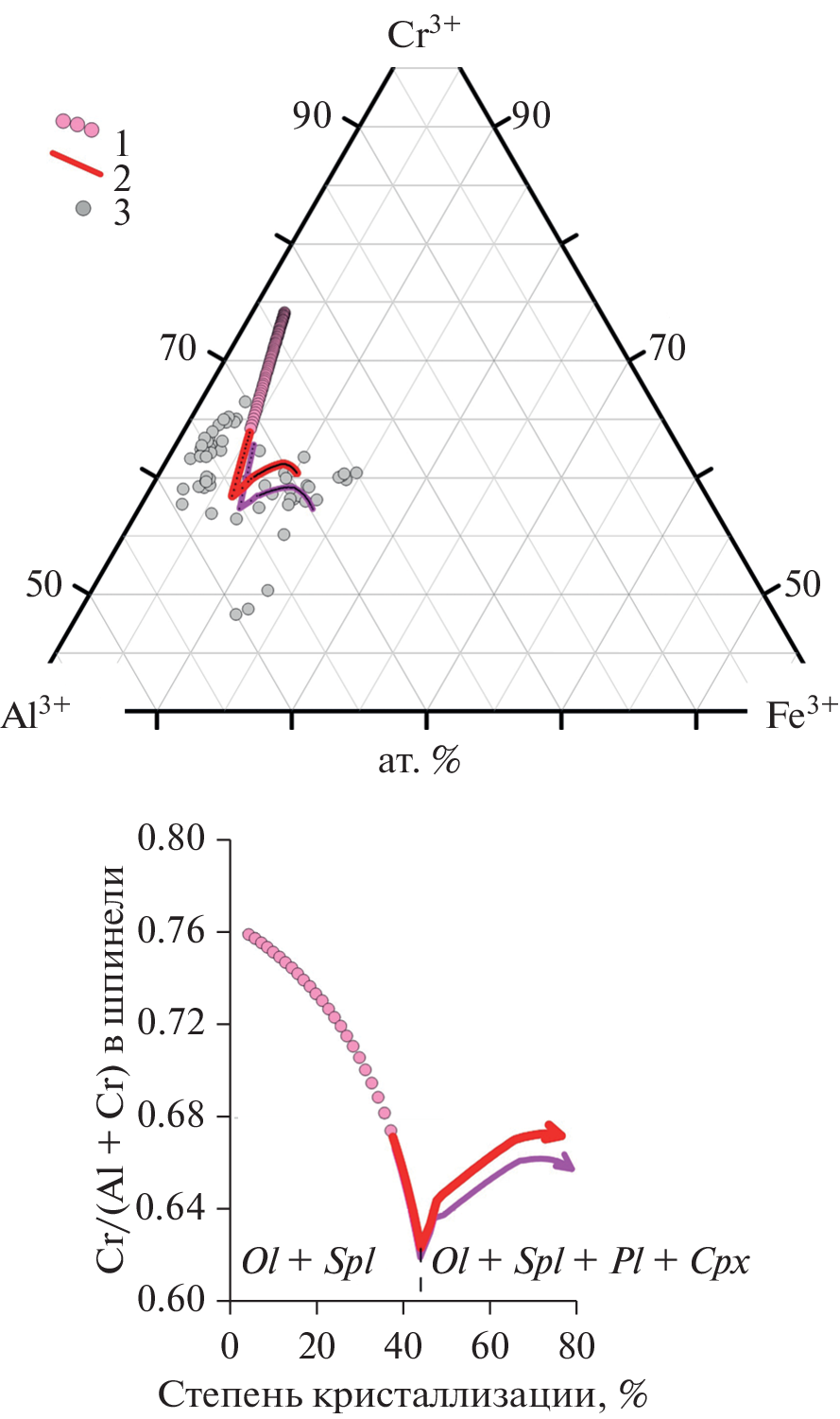
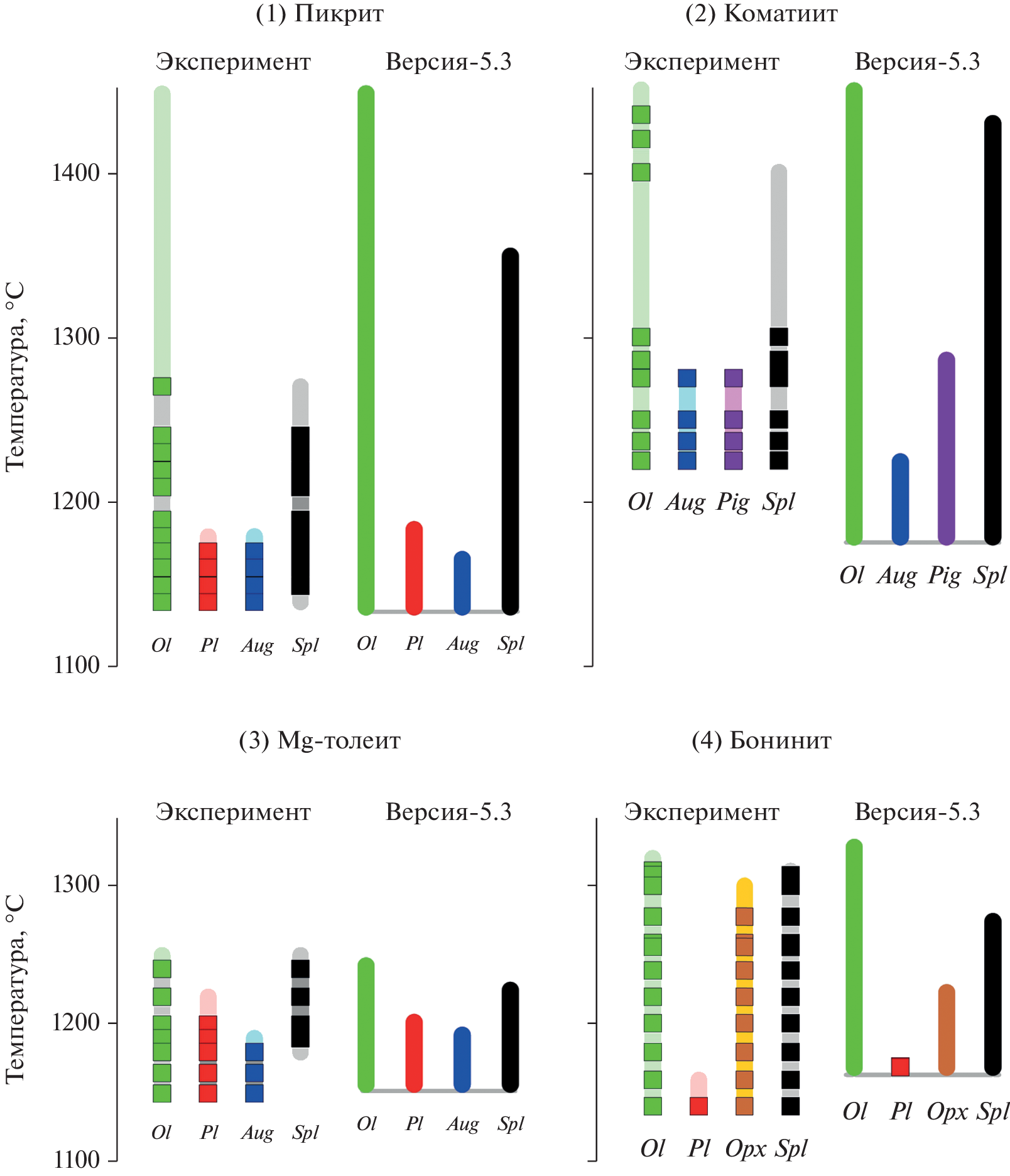
An updated version of the COMAGMAT-5.3 program is presented, which enables simulations of the silicate-sulfide immiscibility in parallel to crystallization of Al-Cr spinel and other rock-forming minerals. Main changes include a completed recalibration of the previous Fe-Ni sulfide solubility model (Ariskin et al., 2013) and incorporation of equations describing spinel-melt equilibria in a wide range of magmatic systems (Nikolaev et al., 2018а, 2018b). This allowed us to specify more accurately the link between compositions of immiscible sulfides and magma crystallization temperatures, as well as to correct partitioning of alumina between the model spinel and crystallizing melt. The updated COMAGMAT-5.3 can be used for calculations of the crystallization of basaltic to komatiitic magmas, as well as the history of solidification of mafic to ultramafic cumulates, including relative proportions of Al-Cr spinel and immiscible sulfides. Application example includes solidification of sulfide-bearing primitive olivine cumulate from the endocontact of the Yoko-Dovyren intrusion in Northern Transbaikalia (Russia). It is established that maximum crystallization proportions of Al-Cr spinel as much as 3.5 wt % are observed at Ol-Spl cotectic, following an abrupt decrease to slightly negative values during crystallization of plagioclase-bearing assemblages. This results in the inflection point on the trend of evolution of the spinel compositions, which changes from descending the Cr/Al ratio in the field of olivine to its increase when plagioclase starts to crystallize. As compared to previous version COMAGMAT-5.2, the updated model predicts somewhat higher proportions of precipitated sulfides.
About the authors
A. A. Ariskin
Faculty of Geology, Moscow State University; Vernadsky Institute of Geochemistry and Analytical Chemistry, Russian Academy of Sciences
Author for correspondence.
Email: ariskin@rambler.ru
Russia, Moscow; Russia, Moscow
K. A. Bychkov
Limited Liability Company Myon
Email: ariskin@rambler.ru
Russia, Moscow
G. S. Nikolaev
Vernadsky Institute of Geochemistry and Analytical Chemistry, Russian Academy of Sciences
Email: ariskin@rambler.ru
Russia, Moscow
G. S. Barmina
Vernadsky Institute of Geochemistry and Analytical Chemistry, Russian Academy of Sciences
Email: ariskin@rambler.ru
Russia, Moscow
References
- Альмеев Р.Р., Арискин А.А. ЭВМ-моделирование расплавно-минеральных равновесий в водосодержащей базальтовой системе // Геохимия. 1996. Т. 7. С. 624–636.
- Арискин А.А., Бармина Г.С. Моделирование фазовых равновесий при кристаллизации базальтовых магм // Под ред. И.Д. Рябчикова. М.: Наука, 2000, 363 с.
- Арискин А.А., Френкель М.Я. Моделирование фракционной кристаллизации основных силикатных расплавов на ЭВМ // Геохимия. 1982. Т. 3. С. 338–356.
- Арискин А.А., Бармина Г.С., Френкель М.Я., Ярошевский А.А. ЭВМ-моделирование фракционной кристаллизации толеитовых магм при низком давлении // Геохимия. 1987. Т. 9. С. 1240–1259.
- Арискин А.А., Френкель М.Я., Цехоня Т.И. Фракционная кристаллизация толеитовых магм в условиях повышенных давлений // Геохимия. 1990. Т. 2. С. 172–183.
- Арискин А.А., Бармина Г.С., Озеров А.Ю., Нильсен Р.Л. Генезис высокоглиноземистых базальтов Ключевского вулкана // Петрология. 1995. Т. 3. С. 42–67.
- Арискин А.А., Бычков К.А., Николаев Г.С. Моделирование микроэлементного состава сульфидной жидкости в кристаллизующейся базальтовой магме: развитие концепции R-фактора // Геохимия. 2017а. Т. 55. С. 453–462.
- Арискин А.А., Фомин И.С., Жаркова Е.В. и др. Окислительно-восстановительный режим формирования ультрамафитов и габброидов Йоко-Довыренского массива (по результатам измерений собственной летучести кислорода в оливине) // Геохимия. 2017б. Т. 55. С. 579–593.
- Бармина Г.С., Арискин А.А. Оценка химических и фазовых характеристик исходной магмы троктолитового интрузива Киглапейт (Лабрадор, Канада) // Геохимия. 2002. Т. 10. С. 1071–1083.
- Гонгальский Б.И., Криволуцкая Н.А., Арискин А.А., Николаев Г.С. Строение, состав и условия формирования Чинейского анортозит-габброноритового массива в Северном Забайкалье // Геохимия. 2008. Т. 7. С. 691–720.
- Коптев-Дворников Е.В., Арьяева Н.С., Бычков Д.А. Уравнение термобарометра для описания сульфид-силикатной ликвации в базитовых системах // Петрология. 2012. Т. 20. С. 495–513.
- Криволуцкая Н.А., Арискин А.А., Служеникин С.Ф., Туровцев Д.М. Геохимическая термометрия пород Талнахского интрузива: оценка состава расплава и степени закристаллизованности исходной магмы // Петрология. 2001. Т. 9. С. 451–479.
- Николаев Г.С., Арискин А.А. Бураковско-Аганозерский расслоенный массив Заонежья: II. Строение краевой группы и оценка состава родоначальной магмы методом геохимической термометрии // Геохимия. 2005. Т. 7. С. 712–732.
- Николаев Г.С., Арискин А.А., Бармина Г.С. SPINMELT-2.0: Численное моделирование равновесия шпинелид–расплав в базальтовых системах при давлениях до 15 кбар: I. Формулировка, калибровка и тестирование модели // Геохимия. 2018a. Т. 56. С. 28–49.
- Николаев Г.С., Арискин А.А., Бармина Г.С. SPINMELT-2.0: Численное моделирование равновесия шпинелид-расплав в базальтовых системах при давлениях до 15 кбар: II. Описание программы, топология модельной системы хромшпинелид – расплав и ее петрологические приложения // Геохимия. 2018б. Т. 56.С. 135–146.
- Николаев Г.С., Арискин А.А., Бармина Г.С. Численное моделирование влияния петрогенных компонентов на растворимость хромшпинелида в расплаве и возможный механизм образования хромититов // Докл. АН. 2019. Т. 487. С. 78–81.
- Френкель М.Я., Арискин А.А. Моделирование равновесной и фракционной кристаллизации базальтовых расплавов с помощью ЭВМ // Геохимия. 1984. Т. 10. С. 1419–1431.
- Френкель М.Я., Ярошевский А.А., Арискин А.А. и др. Динамика внутрикамерной дифференциации базитовых магм. М.: Наука, 1988. 216 с.
- Almeev R., Holtz F., Koepke J. et al. Depths of partial crystallization of H2O-bearing MORB: phase equilibria simulations of basalts at the MAR near Ascension Island (7–11° S) // J. Petrol. 2008. V. 49. P. 25–45.
- Almeev R.R., Ariskin A.A., Kimura J.-I., Barmina G. The role of polybaric crystallization in genesis of andesitic magmas: phase equilibria simulations of Bezymianny volcanic subseries // J. Volcanol. Geotherm. Res. 2013. V. 263. P. 182–192.
- Ariskin A.A. Phase equilibria modeling in igneous petrology: use of COMAGMAT model for simulating fractionation of ferro-basaltic magmas and the genesis of high-alumina basalt // J. Volcanol. Geotherm. Res. 1999. V. 90. P. 115–162.
- Ariskin A.A. The compositional evolution of differentiated liquids from the Skaergaard layered series as determined by geochemical thermometry // Russian J. Earth Sciences. 2003. V. 5. P. 1–29.
- Ariskin A.A., Barmina G.S. An empirical model for the calculation of spinel-melt equilibrium in mafic igneous systems at atmospheric pressure: II. Fe-Ti oxides // Contrib. Mineral. Petrol. 1999. V. 134. P. 251–263.
- Ariskin A.A., Barmina G.S. COMAGMAT: Development of a magma crystallization model and its petrologic applications // Geochem. International. 2004. V. 42 (Supplementary 1). S1–S157.
- Ariskin A.A., Nikolaev G.S. An empirical model for the calculation of spinel-melt equilibrium in mafic igneous systems at atmospheric pressure: I. Chromian spinels // Contrib. Mineral. Petrol. 1996. V. 123. P. 282–292.
- Ariskin A.A., Barmina G.S., Frenkel M.Ya., Nielsen R.L. COMAGMAT: a Fortran program to model magma diffe-rentiation processes // Computers and Geosciences. 1993. V. 19. P. 1155–1170.
- Ariskin A.A., Deutsch A., Ostermann M. The Sudbury Igneous Complex: Simulating phase equilibria and in situ differentiation for two proposed parental magmas // Geol. Soc. Amer. Special Paper. 1999. V. 339. P. 373–387.
- Ariskin A.A., Barmina G.S., Bychkov K.A., Danyushevsky L.V. Parental magmas of mafic layered intrusions: using an updated COMAGMAT model for calculations of sulfide-silicate cotectics during their crystallization // Northwestern Geology. 2009. V. 42. P. 1–3.
- Ariskin A.A., Danyushevsky L.V., Bychkov K.A. et al. Mode-ling solubility of Fe-Ni sulfides in basaltic magmas: The effect of Ni in the melt // Econom. Geol. 2013. V. 108. P. 1983–2003.
- Ariskin A.A., Kislov E.V., Danyushevsky L.V. et al. Cu-Ni-PGE fertility of the Yoko-Dovyren layered massif (Northern Transbaikalia, Russia): Thermodynamic modeling of sulfide compositions in low mineralized dunites based on quantitative sulfide mineralogy // Mineral. Deposita. 2016. V. 51. P. 993–1011.
- Ariskin A.A., Bychkov K.A., Nikolaev G.S., Barmina G.S. The COMAGMAT-5: Modeling the effect of Fe-Ni sulfide immiscibility in crystallizing magmas and cumulates // J. Petrol. 2018a. V. 59. P. 283–298.
- Ariskin A., Danyushevsky L., Nikolaev G. et al. The Dovyren Intrusive Complex (Southern Siberia, Russia): Insights into dynamics of an open magma chamber with implications for parental magma origin, composition, and Cu-Ni-PGE fertility // Lithos. 2018b. V. 302–303. P. 242–262.
- Ariskin A.A, Nikolaev G.S., Danyushevsky L.V. et al. Genetic interpretation of the distribution of PGE and chalcogens in sulfide-mineralized rocks from the Yoko-Dovyren layered intrusion // Geochem. Intern. 2018c. V. 56. P. 1322–1340.
- Ariskin A.A., Barmina G.S., Koptev-Dvornikov E.V. et al. Intrusive COMAGMAT: from simple magma differentiation models to complex algorithms simulating the structure of layered intrusions // Eds. V.P. Kolotov, N.S. Bezaeva. Advances in Geochemistry, Analytical Chemistry and Planetary Sciences. Springer, Cham. 2023. P. 101–119.
- Baker D.R., Moretti R. Modeling the solubility of sulfur in magmas: a 50-year old geochemical challenge // Rev. Mi-neral. Geochem. 2011. V. 73. P. 167–213.
- Barnes S.J., Godel B., Gürer D. et al. Sulfide-olivine Fe-Ni exchange and the origin of anomalously Ni rich magmatic sulfides // Econom. Geol. 2013. V. 108. P. 1971–1982.
- Batanova V.G., Pertsev A.N., Kamenetsky V.S. et al. Crustal evolution of island-arc ultramafic magma: Galmoenan pyroxenite-dunite plutonic complex, Koryak highland (Far East Russia) // J. Petrol. 2005. V. 46. P. 1345–1366.
- Campbell I.H., Naldrett A.J. The influence of silicate: sulfide ratios on the geochemistry of magmatic sulfides // Econom. Geol. 1979. V. 74. P. 1503–1506.
- Ding S., Dasgupta R., Tsuno K. Sulfur concentration of martian basalts at sulfide saturation at high pressures and temperatures – Implications for deep sulfur cycle on Mars // Geochim. Cosmochim. Acta. 2014. V. 131. P. 227–246.
- Fortin M.-A., Riddle J., Desjardins-Langlais Y., Baker D.R. The effect of water on the sulfur concentration at sulfide saturation (SCSS) in natural melts // Geochim. Cosmochim. Acta. 2015. V. 160. P. 100–116.
- Frenkel M.Ya., Yaroshevsky A.A., Ariskin A.A. et al. Convective-cumulative model simulating the formation process of stratified intrusions // Eds. B. Bonin, J. Didier, P. Le Fort et al. Magma-crust interactions and evolution. Athens-Greece: Theophrastus Publ. SA, 1989. P. 3–88.
- Gongalsky B.I., Krivolutskaya N.A., Ariskin A.A., Nikolaev G.S. The Chineysky gabbronorite-anorthosite layered massif (Northern Transbaikalia, Russia): its structure, Fe-Ti-V and Cu-PGE deposits, and parental magma composition // Mineral. Deposita. 2016. V. 51. P. 1013–1034.
- Jugo P.J. Sulfur content at sulfide saturation in oxidized magmas // Geology. 2009. V. 37. P. 415–418.
- Kamenetsky V.S., Maas R., Fonseca R.O. et al. Noble metals potential of sulfide-saturated melts from the subcontinental lithosphere // Geology. 2013. V. 41. P. 575–578.
- McNeill A.W., Danyushevsky L.V., Ariskin A.A. et al. The Siqueiros Transform Fault MORB; A tale of sulfur-saturation // Proceedings of the 11th Int. Platinum Sympos. (Sudbury, 21–24 June 2010). 2010.
- McNeill A., Danyushevsky L., Klimm K. et al. Siqueiros Transform MORB; Characteristics of a S-saturated suite // Goldschmidt Conference 22nd, Mineral. Mag. 2012. V. 76. P. 2095.
- Moune S., Holtz F., Botcharnikov R. E. Sulphur solubility in andesitic to basaltic melts: Implications for Hekla volcano // Contrib. Mineral. Petrol. 2009. V. 157. P. 691–707.
- Parman S.W., Dann J.C., Grove T.L., de Wit M.J. Emplacement conditions of komatiite magmas from the 3.49 Ga Komati Formation, Barberton Greenstone Belt, South Africa // Earth Planet. Sci. Lett. 1997. V. 150. P. 303–323.
- Poulson S.R., Ohmoto H. An evaluation of the solubility of sulfide sulfur in silicate melts from experimental data and natural samples // Chem. Geol. 1990. V. 85. P. 57–75.
- Ryerson F.J., Weed H.C., Piwinskii A.J. Pheology of subliquidus magmas 1. Picritic compositions // J. Geophys. Res. 1988. V. 93B. P. 3421–3436.
- Sano T., Yamashita S. Experimental petrology of basement lavas from Ocean Drilling Program Leg 192: implications for differentiation processes in Ontong Java Plateau magmas // Origin and Evolution of the Ontong Java Plateau. Geol. Soc.: London, Spec. Publ. 2004. V. 229. P. 185–218.
- Tsuchiyama A. Experimental study of olivine-melt reaction and its petrological implications // J. Volcanol. Geotherm. Res. 1986. V. 29. P. 245–264.
- Wykes J.L., O’Neill H.S.C., Mavrogenes J.A. The effect of FeO on the sulfur content at sulfide saturation (SCSS) and the selenium content at selenide saturation of silicate melts // J. Petrol. 2014. V. 56. P. 1407–1424.
Supplementary files










