Variations in the Composition of MORB Chilled Glasses from the Mid-Atlantic Ridge, 12°–31° N: Reflection of Composition Evolution of Parent Melts and the Influence of the Hydrothermal Component
- Authors: Silantyev S.A.1, Buikin A.I.1, Zhovrebova A.R.1, Shabykova V.V.1, Bel’tenev V.E.2
-
Affiliations:
- Vernadsky Institute of Russian Academy of Sciences
- VNIIOkeangeologia
- Issue: Vol 31, No 5 (2023)
- Pages: 463-481
- Section: Articles
- URL: https://journals.rcsi.science/0869-5903/article/view/141014
- DOI: https://doi.org/10.31857/S0869590323050059
- EDN: https://elibrary.ru/BXMUBN
- ID: 141014
Cite item
Full Text
Abstract
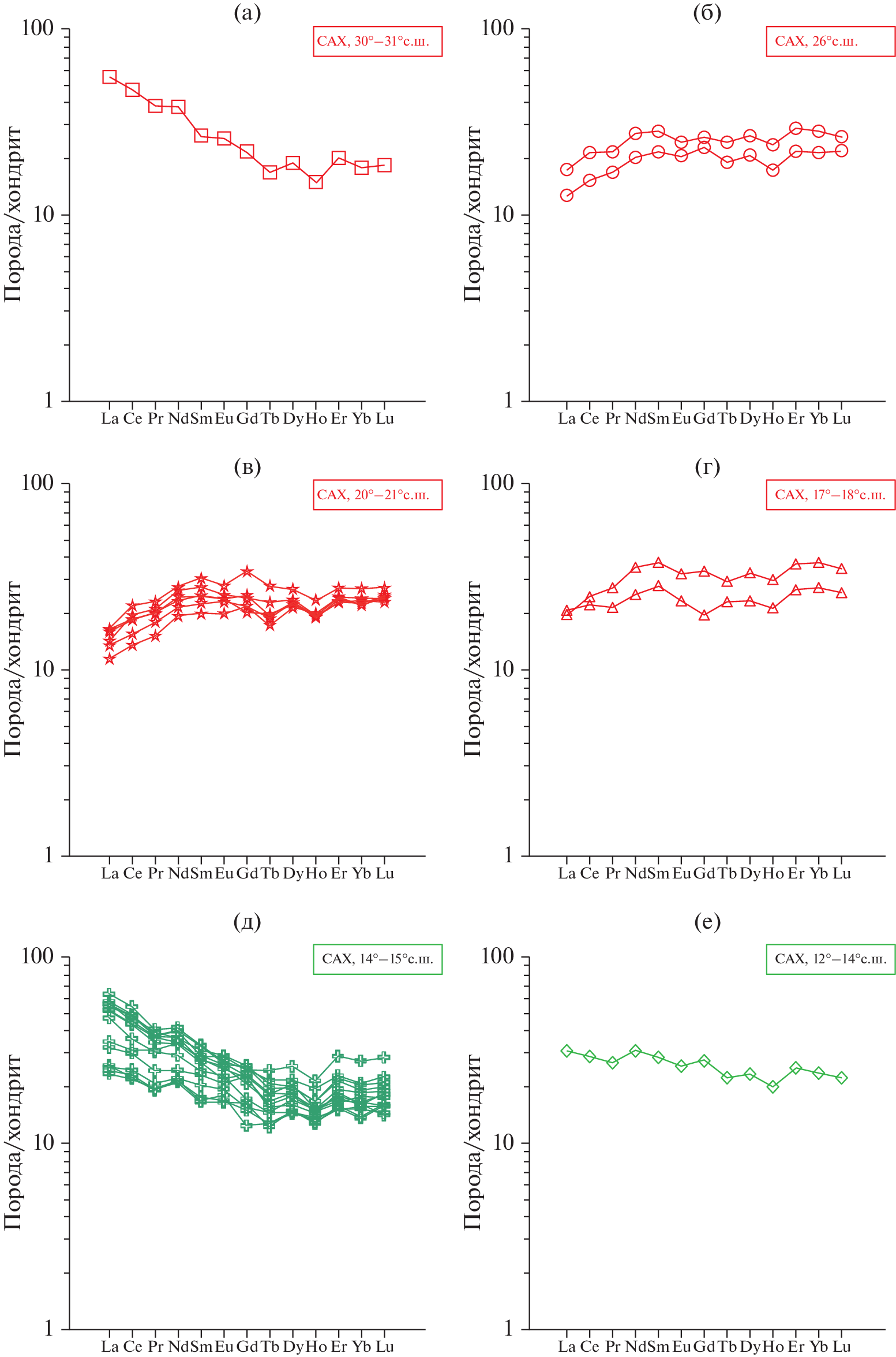
The geochemical peculiarities of sample collection of MORB chilled glasses obtained in six areas of the axial zone of the Mid-Atlantic Ridge (MAR), 12°–31° N have been studied. The results of this study provided information on the composition of the parent melts for these glasses and made it possible to assess probable geochemical effects reflecting the interaction of magmatic melts with hydrothermal systems of the MAR axial zone or with altered oceanic crust (AOC). It is shown that basalts of the E-MORB family which includes most of samples are localized mainly in the “cold” segments of the MAR in the crustal section of which serpentinites predominate. On the other hand, samples with depleted signature (N-MORB) belong to segments of the MAR in which serpentinite outcrops are either absent or play a subordinate role. The E-MORB chilled glasses from “cold” segments of the MAR show signs of contamination of basaltic melts with components borrowed either from the host serpentinites or from aqueous-saline fluids circulating in hydrothermal systems located in serpentinites (“serpentinite hosted”). Judging by the data obtained on the nature of variations in the content of Cl, U, and Sr in the studied chilled glasses belonging to the N-MORB family, there are no signs of intracrustal contamination. It is assumed that relics of the ancient continental lithosphere preserved under axial zone of the MAR and involved in the process of partial melting of the shallow mantle took part in the formation of E-MORB parental melts in some segments of the MAR.
About the authors
S. A. Silantyev
Vernadsky Institute of Russian Academy of Sciences
Author for correspondence.
Email: silantyev@geokhi.ru
Russia, Moscow
A. I. Buikin
Vernadsky Institute of Russian Academy of Sciences
Email: silantyev@geokhi.ru
Russia, Moscow
A. R. Zhovrebova
Vernadsky Institute of Russian Academy of Sciences
Email: silantyev@geokhi.ru
Russia, Moscow
V. V. Shabykova
Vernadsky Institute of Russian Academy of Sciences
Email: silantyev@geokhi.ru
Russia, Moscow
V. E. Bel’tenev
VNIIOkeangeologia
Email: silantyev@geokhi.ru
Russia, St-Petersburg
References
- Бортников Н.С., Силантьев С.А., Беа Ф. и др. Разновозрастные цирконы и их изотопный состав (Hf, O) в породах осевой зоны Срединно-Атлантического хребта: свидетельства неоднократного плавления гетерогенной мантии и эпизодической аккреции океанической коры в зоне спрединга // Петрология. 2022. Т. 30. № 1. С. 3–30.
- Бельтенев В.Е., Рождественская И.И., Самсонов И.К. и др. Поисковые работы на площади Российского разведочного района в Атлантическом океане с оценкой прогнозных ресурсов ГПС категории Р2 и Р3 в блоках 31–45. Ломоносов: Фонды ФГУНПП “ПМГРЭ”, 2016.
- Бельтенев В.Е., Лазарева Л.И., Черкашёв Г.А. и др. Новые гидротермальные рудные поля на Срединно-Атлантическом хребте: Юбилейное (20°09ʹ с.ш.) и Сюрприз (20°45ʹ с.ш.) // Докл. АН. 2017. Т. 476. № 3. С. 305–310.
- Богданов Ю.А., Лисицын А.П., Сагалевич А.М., Гуревич Е.Г. Гидротермальный рудогенез океанского дна. М.: Наука, 2006. 527 с.
- Дмитриев Л.В. Вариации состава базальтов срединно-океанических хребтов как функция геодинамической обстановки их формирования // Петрология. 1998. Т. 6. № 4. С. 340–362.
- Дмитриев Л.В., Соколов С.Ю. Геодинамика трех контрастных типов магматизма океана и их отражение в данных сейсмотомографии // Петрология. 2003. Т. 11. № 6. С. 655–672.
- Дмитриев Л.В., Соколов С.Ю., Плечова А.А. Статистическая оценка вариаций состава и P-T условий эволюции базальтов срединно-океанических хребтов и их региональное распределение // Петрология. 2006. Т. 14. № 2. С. 1–22.
- Костицын Ю.А., Силантьев С.А., Аносова М.О. и др. Возраст плутонических пород разлома Вима (Центральная Атлантика) и природа их мантийных источников // Геохимия. 2018. № 2. С. 1–23.
- Cилантьев С.А. Условия формирования плутонического комплекса Срединно-Атлантического хребта, 13°–17° с.ш. // Петрология. 1998. Т. 6. № 4. С. 381–421.
- Силантьев С.А. Вариации геохимических и изотопных характеристик реститовых перидотитов вдоль простирания Срединно-Атлантического хребта как отражение природы мантийных источников магматизма // Петрология. 2003. Т. 11. № 4. С. 339–362.
- Силантьев С.А., Данюшевский Л.В., Плечова А.А. и др. Геохимические и изотопные черты продуктов магматизма рифтовой долины САХ в районах 12°49ʹ–17°23ʹс.ш. и 29°59ʹ–33°41ʹс.ш.: свидетельство двух контрастных источников родительских расплавов // Петрология. 2008. Т. 16. № 1. С. 38–65.
- Силантьев С.А., Мироненко М.В., Новоселов А.А. Гидротермальные системы в перидотитовом субстрате медленно-спрединговых хребтов. Моделирование фазовых превращений и баланса вещества: Нисходящая ветвь // Петрология. 2009. Т. 17. № 2. С. 154–174.
- Силантьев С.А., Краснова Е.А., Каннат М. и др. Перидотит-габбро-трондьемитовая ассоциация пород Срединно-Атлантического хребта в районе 12°58ʹ–14°45ʹ с.ш.: гидротермальные поля Ашадзе и Логачев // Геохимия. 2011. № 4. С. 1–34.
- Силантьев С.А., Бортников Н.С., Шатагин К.Н. и др. Перидотит-базальтовая ассоциация САХ на 19°42´–19°59´с.ш.: оценка условий петрогенезиса и баланса вещества при гидротермальном преобразовании океанической коры // Петрология. 2015. Т. 23. № 1. С. 1–23.
- Суханова А.А. Минералого-геохимические особенности глубоководных сульфидных руд поля Юбилейное (Российский разведочный район Срединно-Атлантического хребта). Дис. … канд. геол.-мин. наук. СПб.: Государственный горный ун-т, 2018. 137 с.
- Andreani M., Escartin J., Delacour A. et al. Tectonic structure, lithology, and hydrothermal signature of the Rainbow massif (Mid-Atlantic Ridge 36°14' N) // Geochem. Geophys. Geosyst. 2014. V. 15. P. 3543–3571.
- Arevalo R.Jr., McDonough W.F. Chemical variations and regional diversity observed in MORB // Chemical Geol. 2010. V. 271. P. 70–85.
- Becker T.W., Boschi L. A comparison of tomographic and geodynamic mantle models // Geochem. Geophys. Geosyst. 2002. V. 3. P. 1–48.
- Bel’tenev V., Shagin A., Markov V. et al. A new hydrothermal field at 16° 38.4ʹ N, 46° 28.5ʹ W on the Mid-Atlantic Ridge // InterRidge News. 2004. № 13. P. 5–6.
- Bonatti E., Peyve A., Kepezhinskas P. et al. Upper mantle heterogeneity below Mid-Atlantic Ridge 0°–15° N // J. Geophys. Res. 1992. V. 97. B4. P. 4461–4476.
- Bottazzi P., Ottolini L., Vannucci R., Zanetti A. An accurate procedure for the quantification of rare earth elements in silicates // SIMS IX Proceedings. Eds. A. Benninghoven, Y. Nihei, R. Shimizu and H.W. Werner. Chichester: Wileys, 1994. P. 927–930.
- Bougault H., Dmitriev L., Schilling J.-G. et al. Mantle hete-rogeneity from trace elements: MAR triple junction near 14° N // Earth Planet. Sci. Lett. 1988. V. 88. P. 27–36.
- Broadley M.W., Burgess R., Kumagai H. et al. Halogen variations through the quenched margin of a MORB lava: evidence for direct assimilation of seawater during eruption // Geochem. Geophys. Geosyst. 2017. V. 18. P. 2413–2428.
- Buikin A.I., Silantyev S.A., Verchovsky A.B. N-Ar-He-CO2 systematics combined with H2O, Cl, K abundances in MORB glasses demonstrate interaction of magmatic and hydrothermal systems: a case for MAR at 16°07ʹ–17°11ʹ N // Geochem Int. 2022. V. 60. № 11. P. 1068–1086.
- Cannat M., Casey J.F. An Ultramafic lift at the Mid-Atlantic Ridge: successive stages of magmatism in serpentinized peridotites from the 15° N Region // Mantle and Lower Crust Exposed in Oceanic Ridges and in Ophiolites. Eds. R.L.M. Vissers and A. Nicolas. Kluwer Academic Publ., 1995. P. 5–34.
- Casey J.F. Comparison of major and trace-element geochemistry of abyssal peridotites and mafic plutonic rocks with basalts from the MARK Region of the Mid-Atlantic Ridge // Eds. J.A. Karson, M. Cannat, D.J. Miller, and D. Elthon. Proceedings of the Ocean Drilling Program, Sci. Res. 1997. V. 153. P. 181–241.
- Cherkashov G., Poroshina I., Stepanova T. et al. Seafloor massive sulfides from the northern equatorial Mid-Atlantic Ridge: new discoveries and perspectives // Marine Georesources and Geotechnology. 2010. V. 28. № 3. P. 222– 239.
- Clog M., Aubaud C., Cartigny P., Dosso L. The hydrogen isotopic composition and water content of southern Pacific MORB: a reassessment of the D/H ratio of the depleted mantle reservoir // Earth Planet. Sci. Lett. 2013. V. 381. P. 156–165.
- Dick H.J.B., Lissenberg C.J., Warren J.M. Mantle melting, melt transport, and delivery beneath a Slow-Spreading Ridge: the Paleo-MAR from 23°15′ N to 23°45′ N // J. Petrol. 2010. V. 51. Iss. 1–2. P. 425–467.
- Dosso L., Hanan B.B., Bougault H. et al. Sr-Nd-Pb geochemical morphology between 10° and 17° N on the Mid-Atlantic Ridge: a new MORB isotope signature // Earth Planet. Sci. Lett. 1991. V. 106. P. 29–43.
- Dosso L., Bougault H., Langmuir C. et al. The age and distribution of mantle heterogeneity along the Mid-Atlantic Ridge (31°–41° N) // Earth Planet. Sci. Lett. 1999. V. 179. P. 269–286.
- Eason D., Sinton J. Origin of high-Al N-MORB by fractional crystallization in the upper mantle beneath the Galápagos Spreading Center // Earth Planet. Sci. Lett. 2006. V. 252. P. 423–436.
- Fedotova A.A., Bibikova E.V., Simakin S.G. Ion-microprobe zircon geochemistry as an indicator of mineral genesis during geochronological studies // Geochem. Int. 2008. V. 46. № 9. P. 912–927.
- Firstova A., Stepanova T., Cherkashov G. et al. Composition and formation of gabbro-peridotite hosted seafloor massive sulfide deposits from the Ashadze-1 hydrothermal field, Mid-Atlantic Ridge // Minerals. 2016. V. 6. № 19. https://doi.org/10.3390/min6010019
- Grand S.P. Mantle Shear-Wave Tomography and the Fate of Subducted Slabs // Phil. Trans. R. Soc. Lond. 2002. V. 360. P. 2475–2491.
- Grand S.P., van der Hilst R.D., Widiyantoro S. Global seismic tomography: a snapshot of convection in the Earth // GSA Today. 1997. V. 7. № 4. P. 1–7
- Halliday A.N., Lee D.-C., Tommasini S. et al. Incompatible trace elements in OIB and MORB and source enrichment in the sub-oceanic mantle // Earth Planet. Sci. Lett. 1995. V. 133. P. 379–395.
- Hemond C., Hofmann A.W., Vlastelic I., Nauret F. Origin of MORB enrichment and relative trace element compatibilities along the Mid-Atlantic Ridge between 10° and 24° N // Geochem. Geophys. Geosyst. 2006. V. 7. № 12. Q12010. .https://doi.org/10.1029/2006GC001317
- Humphris S.E., Tivey M.K., Tivey M.A. The Trans-Atlantic Geotraverse hydrothermal field: a hydrothermal system on an active detachment fault // Deep Sea Research Part II: Topical Studies in Oceanography. 2015. V. 121. P. 8–16.
- James R.H., Elderfield H., Palmer M.R. The chemistry of hydrothermal fluids from the Broken Spur site, 29° N Mid-Atlantic Ridge // Geochim. Cosmochim. Acta. 1995. V. 59. № 4. P. 651–659.
- Jochum K.P., Dingwell D.B., Rocholl A. et al. The preparation and preliminary characterisation of eight geological MPI-DING reference glasses for in situ microanalysis // Geost. Newslett. 2000. V. 24. P. 87–133.
- Kendrick M.A., Kamenetsky V.S., Phillips D., Honda M. Halogen systematics (Cl, Br, I) in Mid-Ocean Ridge basalts: a Macquarie Island case study // Geochim. Cosmochim. Acta. 2012. V. 81. P. 82–93.
- Klein E.M., Langmuir C.H. Global correlations of ocean ridge basalt chemistry with axial depth and crustal thickness // J. Geophys. Res. 1987. V. 92. P. 8089–8115.
- Klitgord K.D., Dmitriev L.V., Casey J.F. et al. 12th Cruise of the R/V “Akademik Boris Petrov” (Leg 1)/February 2–February 28. 1989. U.S. Soviet Collaborative Geological and Geophysical Survey of the Mid-Atlantic Ridge near 31° N. The Petrov Fracture Zone // U.S. Geol. Survey Open File Report № 94-7. December 30. 1993.
- Michael P.J., Cornell W.C. Influence of spreading rate and magma supply on crystallization and assimilation beneath Mid-Ocean Ridges: evidence from chlorine and major element chemistry of Mid-Ocean Ridge basalt // J. Geophys. Res. 1998. V. 103. B8. P. 18.325–18.356.
- Maslennikov V.V., Cherkashov G.A., Artemyev D.A. et al. Pyrite varieties at pobeda hydrothermal fields, Mid-Atlantic Ridge 17°07′–17°08′ N: LA-ICP-MS data deciphering // Minerals. 2020. V. 10. № 7. https://doi.org/10.3390/min10070622
- Melekestseva I., Maslennikov V.V., Safina N.P. et al. Sulfide breccias from the Semenov-3 hydrothermal field, Mid-Atlantic Ridge: authigenic mineral formation and trace element pattern // Minerals. 2018. V. 8. № 321. https://doi.org/10.3390/min8080321
- Murton B.J., Van Dover C., Southward E. Geological setting and ecology of the Broken Spur hydrothermal vent field: 29°10′ N on the Mid-Atlantic Ridge // Geol. Soc. London. Special Publ. 1995. V. 87. P. 33–41.
- Nosova A.A., Sazonova L.V., Narkisova V.V., Simakin S.G. Minor elements in clinopyroxene from Paleozoic volcanics of the Tagil Island Arc in the Central Urals // Geokhimiya. 2002. V. 40. № 3. P. 254–268.
- RIDGE Petrological Data Base, LGEO, 1999.
- Pertsev A.N., Aranovich L.Ya., Prokofiev V.Y. et al. Potassium-rich granite melt inclusions in zircon from gabbro-hosted felsic stringers, Mid-Atlantic Ridge at 13°34′ N: E‑MORB connection // Lithos. 2021. V. 400–401. 106300.
- Rona P.A. TAG hydrothermal field: Mid-Atlantic Ridge crest at latitude 26° N // J. Geol. Soc. 1980. V. 137. P. 385–402.
- Rona P.A., Hannington M.D., Raman C.V. et al. Active and relict Sea-Floor hydrothermal mineralization at the TAG hydrothermal field. Mid-Atlantic Ridge // Econom. Geol. 1993. V. 88. P. 1989–2017.
- Sarda P., Graham D. Mid-Ocean Ridge popping rocks: implications for degassing at ridge crests // Earth Planet. Sci. Lett. 1990. V. 97. P. 268–289.
- Schilling J.-G., Zajac M., Evans R. et al. Petrologic and geochemical variations along the Mid-Atlantic Ridge from 27° and 73° N // Amer. J. Sci. 1983. V. 283. P. 510–586.
- Sharp Z.D., Barnes J.D. Water-soluble chlorides in massive seafloor serpentinites: a source of chloride in subduction zones // Earth Planet. Sci. Lett. 2004. V. 226. P. 243–254.
- Shimizu K., Saal A.E., Myers C.E. et al. Two-component mantle melting-mixing model for the generation of Mid-Ocean Ridge basalts: implications for the volatile content of the Pacific upper mantle // Geochim. Cosmochim. Acta. 2016. V. 176. P. 44–80.
- Shipboard Scientific Party. Drilling Mantle Peridotite along the Mid-Atlantic Ridge from 14° to 16° N. Ocean Drilling Program, Leg 209 Preliminary Report, Texas A&M University, College Station TX, 2003. 160 p.
- Shipboard Scientific Party. SERPENTINE. Scientific Cruise Report. February 25–April 5. Iferemer – Centre de Brest. 2007. 375 p.
- Smirnov V.K., Sobolev A.V., Batanova V.G. et al. Quantitative SIMS analysis of melt inclusions and host minerals for trace elements and H2O // EOS Trans. Spring Meet. Suppl. AGU 17. 1995. P. 270.
- Sokolov S.Y., Chamov N.P., Khutorskoy M.D., Silantyev S.A. Intensity indicators of geodynamic processes along the Atlantic-Arctic Rift System // Geodynam. Tectonoph. 2020. V. 11. № 2. P. 302–319.
- Stroncik N.A., Niedermann S. Atmospheric contamination of the primary Ne and Ar signal in mid-ocean ridge basalts and its implications for ocean crust formation // Geochim. Cosmochim. Acta. 2016. V. 172. P. 306–321
- Su Y.J. Mid-Ocean Ridge basalt trace element systematics: constraints from database management, ICP-MS analyses, global data compilation, and petrologic modeling. Ph.D. Thesis. New York: Columbia University, 2002. 457 p.
- Sun C., Graff M., Liang Y. Trace element partitioning between plagioclase and silicate melt: the importance of temperature and plagioclase composition, with implications for terrestrial and lunar magmatism // Geochim. Cosmochim. Acta. 2017. V. 206. № 3. https://doi.org/10.1016/j.gca,2017.03.003
- Sun S.-S., McDonough W.F. Chemical and isotopic systematics of oceanic basalts: implications for mantle composition and processes // Magmatism in Ocean Basins. Eds. A.D. Saunders, M.J. Norry. Geol. Soc. Spec. Publ. London. 1989. V. 42. P. 313–345.
- Urann B.M., Le Roux V., Hammond K. et al. Fluorine and chlorine in mantle minerals and the halogen budget of the Earth’s mantle // Contrib. Mineral. Petrol. 2017. https://doi.org/10.1007/s00410-017-1368-7
- Wilson M. Igneous Petrogenesis. London: Unwin Hyman, Boston-Sidney-Wellington, 1989. 466 p.
- Verma S.P. Seawater alteration effects on REE, K, Rb, Cs, Sr, U, Th, Pb and Sr-Nd-Pb isotope systematics of Mid-Ocean Ridge basalt // Geochem. J. 1992. V. 26. P. 159–177.
- Winter J.D. An introduction to igneous and Metamorphic petrology // Upper Saddle River. New York: Prentice Hall, 2001. 697 p.
- Yang S., Humayun M., Salters V.J.M. Elemental systematics in MORB glasses from the Mid-Atlantic Ridge // Geochem. Geophys. Geosyst. 2018. V. 19. P. 4236–4259.
Supplementary files















