РОЛЬ ДИСТАНЦИОННОГО ЗОНДИРОВАНИЯ ЗЕМЛИ В ТОЧНОМ ЗЕМЛЕДЕЛИИ
- Авторы: Якушев В.П.1, Якушев В.В.1, Блохина С.Ю.1, Блохин Ю.И.1, Матвеенко Д.А.1
-
Учреждения:
- Агрофизический научно-исследовательский институт
- Выпуск: Том 93, № 10 (2023)
- Страницы: 955-969
- Раздел: ИЗ РАБОЧЕЙ ТЕТРАДИ ИССЛЕДОВАТЕЛЯ
- URL: https://journals.rcsi.science/0869-5873/article/view/232355
- DOI: https://doi.org/10.31857/S0869587323100110
- EDN: https://elibrary.ru/AACJGA
- ID: 232355
Цитировать
Полный текст
Аннотация
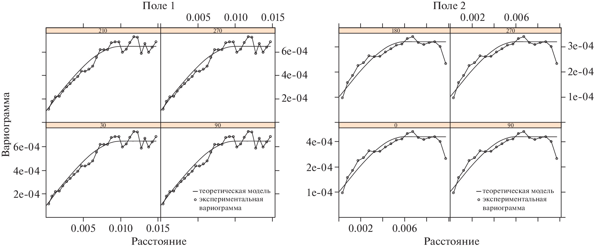
Проведена оценка возрастающей роли данных дистанционного зондирования Земли, методов, сервисов и средств их получения и использования в растениеводстве. Рассмотрены основные проблемы, сдерживающие масштабируемость применения аэрокосмических снимков в точном земледелии. Подчёркнута необходимость создания новой методологии исследований, формирования соответствующей физико-технической и экспериментальной инфраструктуры для преодоления обозначенных проблем. Продемонстрировано применение методологии планирования и проведения специализированных экспериментов в сочетании с дистанционным и наземным мониторингом полевых опытов с тестовыми площадками с целью обнаружения внутриполевой неоднородности и определения степени её интенсивности. Для этого создан функционал, реализующий возможности двух новых методов выявления внутриполевой изменчивости и границ её интенсивности по аэрофотоснимкам. В первом случае используется главный инструментарий геостатистики – вариограммный анализ, во втором – системная количественная оценка динамики изменения интегральных оптических характеристик посева.
Об авторах
В. П. Якушев
Агрофизический научно-исследовательский институт
Email: vyakushev@agrophys.ru
Россия, Санкт-Петербург
В. В. Якушев
Агрофизический научно-исследовательский институт
Email: mail@agrophys.com
Россия, Санкт-Петербург
С. Ю. Блохина
Агрофизический научно-исследовательский институт
Email: sblokhina@agrophys.ru
Россия, Санкт-Петербург
Ю. И. Блохин
Агрофизический научно-исследовательский институт
Email: blohin3k4@gmail.com
Россия, Санкт-Петербург
Д. А. Матвеенко
Агрофизический научно-исследовательский институт
Автор, ответственный за переписку.
Email: dmatveenko@inbox.ru
Россия, Санкт-Петербург
Список литературы
- FAO. The future of food and agriculture – Trends and challenges. Rome: Food and Agriculture Organization of the United Nations, 2017.
- Wheeler T., von Braun J. Climate change impacts on global food security // Science. 2013. V. 341. P. 508–513.
- Hendricks G.S., Shukla S., Roka F.M. et al. Economic and environmental consequences of overfertilization under extreme weather conditions // J. Soil Water Conserv. 2019. V. 74. P. 160–171.
- Доктрина продовольственной безопасности Российской Федерации до 2030 года. М., 2020.
- Указ Президента РФ от 01.12.2016 г. № 642 “О Стратегии научно-технологического развития Российской федерации”. http://pravo.gov.ru/proxy/ ips/?docbody=&firstDoc=1&lastDoc=1&nd=102416645.
- Концепция технологического развития на период до 2030 года (Распоряжение Правительства РФ от 20 мая 2023 г. № 1315-р).
- Chamara N., Islam M.D., Bai G.F. et al. Ag-IoT for crop and environment monitoring: Past, present, and future // Agric. Syst. 2022. V. 203. 103497.
- Singh P.K., Sharma A. An intelligent WSN-UAV-based IoT framework for precision agriculture application // Comput. Electr. Eng. 2022. V. 100. 107912.
- Pathmudi V.R., Khatri N., Kumar S. et al. A systematic review of IoT technologies and their constituents for smart and sustainable agriculture applications // Scientific African. 2023. V. 19. e01577.
- Mulla D.J. Twenty five years of remote sensing in precision agriculture: Key advances and remaining knowledge gaps // Biosystems Engineering. 2013. № 4. P. 358–371.
- Galioto F., Raggi M., Viaggi D. Assessing the potential economic viability of precision irrigation: a theoretical analysis and pilot empirical evaluation // Water. 2017. № 12. P. 990–1009.
- Якушев В.П., Якушев В.В. Перспективы “умного сельского хозяйства” в России // Вестник РАН. 2018. № 9. С. 773–784; Yakushev V.P., Yakushev V.V. Prospects for “Smart Agriculture” in Russia // Herald of the Russian Academy of Sciences. 2018. № 5. Р. 330–340.
- Ananev I.P., Zubets V.S., Belov A.V., Blokhin Yu.I. Mobile system for on-the-go measuring and mapping soil permittivity, electrical conductivity, moisture content, temperature and mechanical resistance // Proc. 3rd Global Workshop on Proximal Soil Sensing. 26–29 May 2013. P. 201–209.
- Блохин Ю.И., Якушев В.В., Блохина С.Ю. и др. Современные решения для формирования опорной информации с целью повышения точности определения агрофизических свойств почвы по спутниковым данным // Современные проблемы дистанционного зондирования Земли из космоса. 2020. № 4. С. 164–178.
- Якушев В.П., Якушев В.В., Блохина С.Ю. и др. Информационное обеспечение современных систем земледелия в России // Вестник РАН. 2021. № 8. С. 755–768.
- Блохина С.Ю. Применение дистанционного зондирования в точном земледелии // Вестник российской сельскохозяйственной науки. 2018. № 5. С. 10–16.
- Angelopoulou T., Tziolas N., Balafoutis A. et al. Remote sensing techniques for soil organic carbon estimation: A review // Remote Sens. 2019. № 6. 676.
- Viscarra Rossel R.A., Walvoort D.J.J., McBratney A.B. et al. Visible, near infrared, mid infrared or combined diffuse reflectance spectroscopy for simultaneous assessment of various soil properties // Geoderma. 2006. V. 131. P. 59–75.
- Bauer M.E., Cipra J.E. Identification of agricultural crops by computer processing of ERTS MSS data // LARS Technical Reports. 1973. Paper 20. http://docs.lib.purdue.edu/larstech/20
- Doraiswamy P.C., Moulin S., Cook P.W., Stern A. Crop yield assessment from remote sensing // Photogrammetric Engineering and Remote Sensing. 2003. V. 69. P. 665–674.
- Christy C.D. Real-time measurement of soil attributes using on-the-go near infrared reflectance spectroscopy // Computers and Electronics in Agriculture. 2008. V. 61. P. 10–19.
- Link A., Panitzki M., Reusch S. Hydro N-sensor: Tractor-mounted remote sensing for variable nitrogen fertilization // Proc. 6th Int. conf. on precision agric. 2002. P. 1012–1018.
- Chlingaryan A., Sukkarieh S., Whelan B. Machine learning approaches for crop yield prediction and nitrogen status estimation in precision agriculture: A review // Comput. Electron. Agric. 2018. V. 151. P. 61–69.
- Weiss M., Jacob F., Duveillerc G. Remote sensing for agricultural applications: A meta-review // Remote Sens. Environ. 2020. V. 236. 111402.
- Sishodia R.P., Ray R.L., Singh S.K. Applications of remote sensing in precision agriculture: a review // Remote Sens. 2020. № 19. 3136.
- Maes W.H., Steppe K. Perspectives for remote sensing with unmanned aerial vehicles in precision agriculture // Trends Plant Sci. 2019. V. 24. P. 152–154.
- Jung J., Maeda M., Chang A. et al. The potential of remote sensing and artificial intelligence as tools to improve the resilience of agriculture production systems // Current Opinion in Biotechnology. 2021. V. 70. P. 15–22.
- Sinde-Gonzalez I., Gil-Docampo M., Arza-Garcia M. et al. Biomass estimation of pasture plots with multitemporal UAV-based photogrammetric surveys // International Journal of Applied Earth Observations and Geoinformation. 2021. V. 101. 102355.
- Zheng H., Zhou X., He J. et al. Early season detection of rice plants using RGB, NIR-G-B and multispectral images from unmanned aerial vehicle (UAV) // Computers and Electronics in Agriculture. 2020. V. 169. 105223.
- Ye H., Huang W., Huang S. et al. Recognition of banana fusarium wilt based on UAV remote sensing // Remote Sensing. 2020. № 6. 938.
- Zhang J., Huang Y., Pu R. et al. Monitoring plant diseases and pests through remote sensing technology: A review // Comput. Electron. Agric. 2019. V. 165. 104943.
- Лысов А.К., Павлюшин В.А. Фитосанитарное проектирование агроэкосистем и дистанционное зондирование // Современные проблемы дистанционного зондирования Земли из космоса. 2022. № 5. С. 101–109.
- Шпанев А.М., Смук В.В. Изменение спектральных характеристик культурных и сорных растений под влиянием минеральных удобрений в агроценозах Северо-Запада России // Современные проблемы дистанционного зондирования Земли из космоса. 2022. № 3. С. 165–177.
- Kumar A., Taparia M., Rajalakshmi P. et al. UAV based remote sensing for tassel detection and growth stage estimation of maize crop using multispectral images // IGARSS 2020–2020 IEEE International Geoscience and Remote Sensing Symposium. 2020. P. 1588–1591.
- Lu B., Dao P.D., Liu J. et al. Recent advances of hyperspectral imaging technology and applications in agriculture // Remote Sens. 2020. V. 12. 2659.
- Денисов П.В., Середа И.И., Трошко К.А. и др. Возможности и опыт оперативного дистанционного мониторинга состояния озимых культур на территории России // Современные проблемы дистанционного зондирования Земли из космоса. 2021. № 2. С. 171–185.
- Якушев В.П., Дубенок Н.Н., Лупян Е.А. Опыт применения и перспективы развития технологий дистанционного зондирования Земли для сельского хозяйства // Современные проблемы дистанционного зондирования Земли из космоса. 2019. № 3. С. 11–23.
- Лупян Е.А., Прошин А.А., Бурцев М.А. и др. Центр коллективного пользования системами архивации, обработки и анализа спутниковых данных ИКИ РАН для решения задач изучения и мониторинга окружающей среды // Современные проблемы дистанционного зондирования Земли из космоса. 2015. № 5. С. 247–267.
- Якушев В.П., Якушев В.В., Блохина С.Ю. и др. Перспективы выявления идентификационных показателей состояния посевов по аэрокосмическим снимкам и специализированным полевым исследованиям // Современные проблемы дистанционного зондирования Земли из космоса. 2022. № 4. С. 113–127.
- Якушев В.П., Петрушин А.Ф., Якушев В.В. и др. Автоматизация процесса обнаружения и выделения границ внутриполевой изменчивости по аэрокосмическим снимкам и оптическим критериям // Современные проблемы дистанционного зондирования Земли из космоса. 2022. № 6. С. 151–162.
- Якушев В.П., Блохин Ю.И., Блохина С.Ю. и др. Теоретические основы дистанционной и наземной количественной оценки внутриполевой изменчивости для точного земледелия. СПб.: АФИ, 2023.
- Якушев В.П., Жуковский Е.Е., Петрушин А.Ф., Якушев В.В. Вариограммный анализ пространственной неоднородности сельскохозяйственных полей для целей точного земледелия (методическое пособие). СПб.: АФИ, 2010.
- Якушев В.П., Канаш Е.В., Русаков Д.В. и др. Корреляционные зависимости между вегетационными индексами, урожаем зерна и оптическими характеристиками листьев пшеницы при разном содержании в почве азота и густоте посева // Сельскохозяйственная биология. 2022. № 1. С. 98–112.
- Якушев В.П., Канаш Е.В., Якушев В.В. и др. Новые возможности автоматизации процесса обнаружения внутриполевой неоднородности по гиперспектральным снимкам и оптическим критериям // Современные проблемы дистанционного зондирования Земли из космоса. 2019. № 3. С. 24–32.
- Якушев В.П., Буре В.М., Митрофанова О.А. и др. Особенности обработки аэрокосмических снимков для оптимизации геостатистических исследований внутриполевой изменчивости в задачах точного земледелия // Современные проблемы дистанционного зондирования Земли из космоса. 2021. № 4. С. 128–139.
Дополнительные файлы














