Selective extraction of lithium from mineral, hydromineral, and secondary raw materials
- Authors: Tsivadze A.Y.1, Baulin V.E.1,2, Kostikova G.V.1, Bezdomnikov A.A.1
-
Affiliations:
- Frumkin Institute of Physical Chemistry and Electrochemistry of RAS
- Institute of Physiologically Active Compounds at Federal Research Center of Problems of Chemical Physics and Medicinal Chemistry
- Issue: Vol 93, No 7 (2023)
- Pages: 623-630
- Section: С КАФЕДРЫ ПРЕЗИДИУМА РАН
- URL: https://journals.rcsi.science/0869-5873/article/view/140570
- DOI: https://doi.org/10.31857/S0869587323070101
- EDN: https://elibrary.ru/RPXOOQ
- ID: 140570
Cite item
Full Text
Abstract
Russia enjoys large reserves of lithium, enabling it to fully meet the needs of the domestic market with the prospect of developing production of lithium-ion batteries, electric vehicles, unmanned systems, and portable electronics. Lithium mining is a complex process determined by the climate, the composition of the brine, and the effectiveness of available technologies. Today, Russian lithium extraction technologies are developing in two directions: sorption and extraction. The article, which is based on the materials of the report delivered at the meeting of the Presidium of the Russian Academy of Sciences on April 11, 2023, discusses general trends and prospects for improving lithium extraction methods, including liquid–liquid extraction and sorption.
Keywords
About the authors
A. Yu. Tsivadze
Frumkin Institute of Physical Chemistry and Electrochemistry of RAS
Email: vestnik.ran@yandex.ru
Moscow, Russia
V. E. Baulin
Frumkin Institute of Physical Chemistry and Electrochemistry of RAS; Institute of Physiologically Active Compounds at Federal Research Center of Problems of Chemical Physics and Medicinal Chemistry
Email: vestnik.ran@yandex.ru
Moscow, Russia; Chernogolovka, Russia
G. V. Kostikova
Frumkin Institute of Physical Chemistry and Electrochemistry of RAS
Email: vestnik.ran@yandex.ru
Moscow, Russia
A. A. Bezdomnikov
Frumkin Institute of Physical Chemistry and Electrochemistry of RAS
Author for correspondence.
Email: vestnik.ran@yandex.ru
Moscow, Russia
References
- Wei Q. et al. Spent lithium ion battery (LIB) recycle from electric vehicles: A mini-review // Sci. Total Environ. Elsevier B.V. 2023. V. 866. August 2022. Article number 161380.
- Рябцев А.Д. Переработка литиеносного поликомпонентного гидроминерального сырья на основе его обогащения по литию. Дис. докт. тех. наук: 05.17.02. Новосибирск, 2011.
- Hamzaoui A.H. et al. Contribution to the lithium recovery from brine // Desalination. 2003. V. 158. № 1–3. P. 221–224.
- Swain B. Recovery and recycling of lithium: A review // Sep. Purif. Technol. Elsevier B.V. 2017. V. 172. P. 388–403.
- A race for lithium is sparking fears of water shortages in northern Argentina. https://climatechangenews.com/ 2022/01/07/race-lithium-sparking-fears-water-shortages-northern-argentina/ (дата обращения: 01.06.2023).
- Ooi K. et al. Lithium-ion Insertion/Extraction Reaction with λ-MnO2 in the Aqueous Phase // Chem. Lett. The Chemical Society of Japan. 1988. V. 17 № 6. P. 989–992.
- Shi X. et al. Synthesis and properties of Li1.6Mn1.6O4 and its adsorption application // Hydrometallurgy. Elsevier. 2011. V. 110. № 1–4. P. 99–106.
- Fourquet J.L., Gillet P.A., Le Bail A. Li+ H+ topotactic exchange on LiSbO3: The series Li1–x Hx SbO3 (0 ≤ ≤ x ≤ 1) // Mater. Res. Bull. 1989. V. 24. № 10. P. 1207–1214.
- Yu C.L. et al. Peculiar shuttle-like nano-sized TiO(OH)2/C lithium ion sieve with improved adsorption rate and cycling reliability: Preparation and kinetics // Hydrometallurgy. Elsevier B.V. 2021. V. 203. Article number 105627.
- Lawagon C.P. et al. Adsorptive Li+ mining from liquid resources by H2TiO3: Equilibrium, kinetics, thermodynamics, and mechanisms // J. Ind. Eng. Chem. Korean Society of Industrial Engineering Chemistry. 2016. V. 35. P. 347–356.
- Рябцев А.Д. и др. Научные основы производства селективного к литию сорбента и промышленной технологии извлечения хлорида лития из гидроминерального поликомпонентного сырья // Технология неорганических веществ и материалов. 2020. № 8. С. 338–352.
- Lee J. et al. Highly selective lithium recovery from brine using a λ-MnO2–Ag battery // Phys. Chem. Chem. Phys. The Royal Society of Chemistry. 2013. V. 15. № 20. P. 7690.
- Trócoli R., Battistel A., La F. Selectivity of a Lithium-Recovery Process Based on LiFePO4 // Chem. Eur. J. Wiley-VCH Verlag. 2014. P. 9888–9891.
- Lawagon C.P. et al. Li1–xNi0.33Co1/3Mn1/3O2/Ag for electrochemical lithium recovery from brine // Chem. Eng. J. Elsevier B.V. 2018. V. 348. P. 1000–1011.
- Kalmykov D. et al. Operation of three-stage process of lithium recovery from geothermal brine: Simulation // Membranes (Basel). 2021. V. 11. № 3. P. 1–21.
- Caley E.R., Axilrod H.D. Separation of Lithium from Potassium and Sodium by Treatment of Chlorides with Higher Aliphatic Alcohols // Ind. Eng. Chem. Anal. Ed. American Chemical Society 1942. V. 14. № 3. P. 242–244.
- Gabra G.G., Torma A.E. Lithium chloride extraction by n-butanol // Hydrometallurgy. Elsevier. 1978. V. 3. № 1. P. 23–33.
- Bukowsky H., Uhlemann E. Selective Extraction of Lithium Chloride from Brines // Sep. Sci. Technol. 1993. V. 28. № 6. P. 1357–1360.
- Kahlenberg L., Krauskopf F.C. A new method of separating lithium chloride from the chlorides of the other alkalis, and from the chloride of barium // J. Am. Chem. Soc. American Chemical Society. 1908. V. 30. № 7. P. 1104–1115.
- Chagnes A., Swiatowska J. Lithium process chemistry: Resources, extraction, batteries, and recycling // Lithium Process Chemistry: Resources, Extraction, Batteries, and Recycling. 1st ed. Elsevier Ltd, 2015.
- Shi C. et al. Liquid-liquid extraction of lithium using novel phosphonium ionic liquid as an extractant // Hydrometallurgy. Elsevier B.V. 2017. V. 169. P. 314–320.
- Zhou Z. et al. A study on stoichiometry of complexes of tributyl phosphate and methyl isobutyl ketone with lithium in the presence of FeCl3 // Chinese J. Chem. Eng. Elsevier. 2012. V. 20. № 1. P. 36–39.
- Zhou Z. et al. Elucidation of the structures of tributyl phosphate/Li complexes in the presence of FeCl3 via UV-visible, Raman and IR spectroscopy and the method of continuous variation // Chem. Eng. Sci. Pergamon. 2013. V. 101. P. 577–585.
- Song J. et al. Recovery of lithium from salt lake brine of high Mg/Li ratio using Na[FeCl4*2TBP] as extractant: Thermodynamics, kinetics and processes // Hydrometallurgy. Elsevier B.V. 2017. V. 173. P. 63–70.
- Zhou Z. et al. Extraction equilibria of lithium with tributyl phosphate in kerosene and FeCl3 // J. Chem. Eng. Data. American Chemical Society. 2012. V. 57. № 1. P. 82–86.
- Torrejos R.E.C. et al. Design of lithium selective crown ethers: Synthesis, extraction and theoretical binding studies // Chem. Eng. J. Elsevier B.V. 2017. V. 326. P. 921–933.
- Kobiro K. New class of lithium ion selective crown ethers with bulky decalin subunits // Coord. Chem. Rev. Elsevier. 1996. V. 148. P. 135–149.
- Walkowiak W., Charewicz W.A., Jeon E.G. Selective transport of alkali metal cations in solvent extraction by proton-ionizable dibenzocrown ethers // J. Coord. Chem. Taylor & Francis Grou. 1992. V. 27. № 1–3. P. 75–85.
- Bartsch R.A. et al. Influence of ring substituents and matrix on lithium / sodium selectivity of 14-crown-4 and benzo-13-crown-4-compounds // Anal. Chim. Acta. 1993. V. 272. № 2. P. 285–292.
- Gohil H. et al. An Ionophore for High Lithium Loading and Selective Capture from Brine // Inorg. Chem. American Chemical Society. 2019. V. 58. № 11. P. 7209–7219.
- Swain B. Separation and purification of lithium by solvent extraction and supported liquid membrane, analysis of their mechanism: a review // J. Chem. Technol. Biotechnol. John Wiley & Sons. 2016. V. 91. № 10. P. 2549–2562.
- Izatt R.M. et al. Thermodynamic and Kinetic Data for Macrocycle Interaction with Cations and Anions // Chem. Rev. American Chemical Society. 1991. V. 91. № 8. P. 1721–2085.
- Bencini A. et al. Synthesis and Characterization of the New Macrocyclic Cage 5,12,17-Trimethyl-1,5,9,12,17-pentaazabicyclo[7.5.5]nonadecane (L), Which Can Selectively Encapsulate Lithium Ion Thermodynamic Studies on Protonation and Complex Formation. Crystal Structures of // Inorg. Chem. American Chemical Society. 1989. V. 28. № 23. P. 4279–4284.
- Brachvogel R.C., Maid H., von Delius M. NMR Studies on Li+, Na+ and K+ complexes of orthoester cryptand 0-Me2-1.1.1 // Int. J. Mol. Sci. Multidisciplinary Digital Publishing Institute. 2015. V. 16. № 9. P. 20641–20656.
- Formica M. et al. Cryptand ligands for selective lithium coordination // Coord. Chem. Rev. Elsevier. 1999. V. 184. № 1. P. 347–363.
- Sliwa W., Girek T. Calixarene complexes with metal ions // J. Incl. Phenom. Macrocycl. Chem. Springer. 2010. V. 66. № 1. P. 15–41.
- He Q. et al. Selective Solid–Liquid and Liquid–Liquid Extraction of Lithium Chloride Using Strapped Calix[4]pyrroles // Angew. Chemie – Int. Ed. Wiley-VCH Verlag, 2018. V. 57. № 37. P. 11924–11928.
- Sun H., Tabata M. Separation and transport of lithium of 10-5 m in the presence of sodium chloride higher than 0.1 M by 2,3,7,8,12,13,17,18-octabromo- 5,10,15,20-tetrakis(4-sulfonatophenyl)porphyrin // Talanta. Elsevier. 1999. V. 49. № 3. P. 603–610.
- Cram D.J. Preorganization–From Solvents to Spherands // Angew. Chemie Int. Ed. English. John Wiley & Sons, Ltd, 1986. V. 25. № 12. P. 1039–1057.
- Katsuta S. et al. Selective extraction of lithium with a macrocyclic trinuclear complex of (1,3,5-trimethylbenzene)ruthenium(II) bridged by 2,3-dioxopyridine // Anal. Sci. The Japan Society for Analytical Chemistry. 2008. V. 24. № 10. P. 1215–1217.
- Ivanova I.S., Tsivadze A.Y. et al. 2,4,6-Tris[2-(diphe-nylphosphoryl)-4-ethylphenoxy]-1,3,5-triazine: A new ligand for lithium binding // Inorganica Chim. Acta. Elsevier. 2019. V. 497. Article number 119095.
- Solov’ev V., Baulin D., Tsivadze A. Design of phosphoryl containing podands with Li+/Na+ selectivity using machine learning // SAR QSAR Environ. Res. Taylor and Francis Ltd. 2021. V. 32. № 7. P. 521–539.
- Kireeva N., Baulin V.E., Tsivadze A.Y. A Machine Learning-Based Study of Li+ and Na+ Metal Complexation with Phosphoryl-Containing Ligands for the Selective Extraction of Li+ from Brine // ChemEngineering. 2023. V. 7. № 3. Article number 41.
- Цивадзе А.Ю., Варнек А.А., Хуторский В.Е. Координационные соединения металлов с краун-лигандами. М.: Наука, 1991.
- Pranolo Y., Zhu Z., Cheng C.Y. Separation of lithium from sodium in chloride solutions using SSX systems with LIX 54 and Cyanex 923 // Hydrometallurgy. Elsevier. 2015. V. 154. P. 33–39.
- Harvianto G.R., Kim S.H., Ju C.S. Solvent extraction and stripping of lithium ion from aqueous solution and its application to seawater // Rare Met. Springer. 2016. V. 35. № 12. P. 948–953.
- Zhang L. et al. Lithium recovery from effluent of spent lithium battery recycling process using solvent extraction // J. Hazard. Mater. Elsevier. 2020. V. 398. Article number 122840.
- Zhang L. Method for extracting and separating lithium and alkaline earth metal from salt lake brine with high sodium-lithium ratio: pat. CN113981243A USA. China, 2021.
- Li Z., Binnemans K. Selective removal of magnesium from lithium-rich brine for lithium purification by synergic solvent extraction using β-diketones and Cyanex 923 // AIChE J. John Wiley and Sons Inc. 2020. V. 66. № 7. Article number 16246.
- Çelebi E.E. A novel lithium phosphate production method by stripping of lithium from the lithium enolate in kerosene using orthophosphoric acid // Hydrometallurgy. 2022. V. 210. Article number 105860.
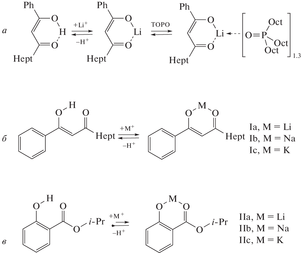
- Tsivadze A.Y. et al. A New Extraction System Based on Isopropyl Salicylate and Trioctylphosphine Oxide for Separating Alkali Metals // Molecules. 2022. V. 27. № 10. P. 3051.
- Bezdomnikov A.A., Tsivadze A.Y. et al. Liquid extraction of lithium using a mixture of alkyl salicylate and tri-n-octylphosphine oxide // Sep. Purif. Technol. 2023. V. 320. Article number 124137.
- Pearson R.G., Songstad J. Application of the Principle of Hard and Soft Acids and Bases to Organic Chemistry // J. Am. Chem. Soc. American Chemical Society. 1967. V. 89. № 8. P. 1827–1836.
- Пат. 2784157 Российская Федерация, МПК C22B 26/12 (2006.01). Способ селективного экстракционного извлечения лития из водного щелочного раствора, содержащего хлориды лития, натрия, калия и гидроксид натрия / А.А. Бездомников; заявитель и патентообладатель ИФХЭ РАН. № 2022115330; заявл. 07.06.2022; опубл. 23.11.2022 Бюл. № 33.
Supplementary files





